Abstract
Methylene blue (MB) is a disinfectant used in aquaculture to prevent and treat fish diseases. However, the release of MB can pose a risk to the receiving water bodies. Zooplankton are the most sensitive organisms among aquatic life. Hence, this study examined the acute and chronic toxic effects of MB on zooplankton using Daphnia magna (D. magna) as a test organism to provide basic data for risk assessment. The results show that 48 h-EC50 and 24 h-LC50 were 61.5 ± 2.3 and 149.0 ± 2.2 μg/L, respectively. Chronic exposure to MB affected the heart rate, beat frequency of the thoracic limbs, and reproductive ability of D. magna at environmental concentrations higher than 4.7 μg/L. The cumulative molts, time to production of the first brood, and total number of living offspring were affected at different MB concentrations, while “abortions” were observed in high-exposure groups. The activity of superoxide dismutase was increased, while glutathione S-transferase activity was stimulated at low concentrations and inhibited at high concentrations. In addition, the malondialdehyde content increased with increasing concentrations of MB. Our findings demonstrate the impact of MB on the reproduction and growth of freshwater species, as well as their physiological responses. These results have implications for establishing guidelines on the use of MB in aquaculture and setting discharge standards.
1. Introduction
Methylene blue (MB) is an aromatic dye with the molecular formula C16H18CIN3S and a benzene ring with redox characteristics. It is commonly used in various industries, including the textile, pharmaceutical, paper, dyeing, printing, paint, pharmaceutical, and food industries, as well as in medical research and aquaculture [1,2,3].
In aquaculture, MB is a popular environmental disinfectant. Disinfectants frequently used in aquaculture can be broadly categorized into three groups: halogens, dyes, and surfactants. Among the dyes, trityl methane dyes such as malachite green and crystal violet are prohibited substances due to their long residual time and toxic side effects, so MB has emerged as one of the best alternatives. It is commonly used to disinfect aquaculture environments because the ionic compound generated in the aqueous solution can compete with microbial enzyme systems for hydrogen ions and inactivate the enzymes, which results in the loss of viability of microorganisms. Furthermore, MB, as an antifungal drug, is used to prevent and control fish diseases such as saprolegniasis, ichthyophthiriasis, chilodonelliosis, and gill disease to reduce mortality in fish during transportation [4].
The environment of aquaculture water directly affects whether aquatic animals can grow quickly and healthily, and the quality of the water is closely related to the occurrence of diseases. As the water quality deteriorates, it encourages the production of different types of pathogens, endangering the growth and development of farmed animals. Disinfectants play a crucial role in aquaculture, from cleansing water bodies to bathing fish before transferring them to ponds, disease management, and even water quality regulation. Disinfectants should be used rationally and scientifically to eradicate or destroy pathogenic microorganisms in the aquaculture environment and stop the spread of disease.
Malachite green is listed as a banned drug in some countries [5] due to its potential toxicity to the water environment and human health. It belongs to the same group of tritylene-based dyes as methylene blue and has a long residual time, as well as teratogenic, carcinogenic, and mutagenic risks [6]. The widespread use of methylene blue can result in residues in water bodies that persist in the environment [7], and the associated water contamination problems cannot be ignored. Additionally, the color of malachite green can prevent sunlight from passing through the water body, resulting in reduced dissolved oxygen and inhibited photosynthesis [8]. This can lead to reduced diversity in biological communities [9,10,11,12] and interfere with the normal functioning of aquatic ecosystems.
Recent studies have reported varying toxic effects of MB on different aquatic organisms (Supplementary Materials, Table S1). Perlberg et al. [13] found that MB was teratogenic to Pterophyllum scalare, reporting that exposure to a 5 ppm concentration resulted in a higher incidence of non-inflatable swim bladders. In contrast, Soltanian et al. [14] found that goldfish (Carassius auratus) exposed to a 2 mg/L solution of methylene blue for 21 days had significantly reduced lethality caused by Aeromonas hydrophila. However, the fish also exhibited significantly lower levels of neutrophils and aspartate aminotransferase, indicating some immunosuppressive effects and potential harm to their health. Comparing the toxicity of MB in various aquatic animals, it is evident that although it is a valuable tool in aquaculture, it still has some negative consequences. Currently, the U.S. Food and Drug Administration (FDA), EU Directive 96/23/EC, and Japan’s “positive list” have established guidelines for detecting MB residues in aquatic products [15]. Despite being repeatedly banned, MB continues to be used due to its low cost and high efficiency [16,17]. In addition, many countries, such as China, have yet to establish limits on the use of methylene blue in animal-derived food products.
Freshwater zooplankton are a critical component of aquatic environments, playing a vital role in the material cycle and energy flow. Despite their importance, there are still unanswered questions regarding the ecotoxicity of MB in this group of organisms. Daphnia magna is a typical representative of zooplankton [18], with a transparent body. It feeds on algae, which helps improve water quality, and is a natural bait for filter-feeding fish [19,20]. D. magna lays eggs in its brood chamber, where they develop until the eye point appears, forming an embryo. The embryo then develops into a neonate and is released from the parent’s body (Supplementary Materials, Figure S1).
Daphnia magna has been extensively used for toxicity testing, identifying water pollution, and creating water quality standards due to its sensitivity to chemical exposure [21,22]. To assess the toxicity of chemicals to D. magna, a range of parameters were determined, including reproduction, physiology, swimming behavior, and biochemistry. Growth and reproductive capacity are sensitive indicators of chronic toxicity for D. magna [23] and are also important factors in assessing population growth capacity [24], including parameters such as lifespan, total number of living offspring, time to first brood, cumulative molts, reproductive rate, and number of aborted eggs. Swimming behavior parameters consist of swimming activity, swimming time, swimming speed, and so on. Among the physiological parameters are feeding rate, heart rate, thoracic limb activity, post-abdominal claw movement, and compound eye activity. Biochemical parameters can be categorized as enzymatic or non-enzymatic. Quantitative studies on enzyme activity variations in D. magna have been conducted to determine the ecological risk of chemicals [25,26,27].
The safety of the aquatic environment is a pressing issue in the 21st century, with significant ramifications for society and the global economy. Yee et al. [28] highlighted the persistent issue of the negative effects of man-made surface biological contamination. To address this issue, we used D. magna as a test organism to investigate the acute and chronic toxic effects of MB and calculated the median effect concentration (EC50), median lethal concentration (LC50), and no observed effective concentration (NOEC) to provide basic data for aquatic ecological risk assessment. Additionally, our findings provide a reference for the safe and rational use of MB and ecological diversity conservation.
2. Materials and Methods
2.1. Chemicals
The MB solution used in this study was purchased from Sangon Biotech Company (Shanghai, China), with a blue color and purity ≥ 98%. The basic physical and chemical properties of MB are presented in Table 1. A stock solution with a concentration of 100 mg/L was prepared with ultrapure water and stored at 4 °C in a refrigerator protected from light.
Table 1.
Physical and chemical properties of methylene blue (MB).
2.2. Preparation of Daphnia magna
D. magna were cultured in the laboratory for over 3 generations, all derived from a single parent. They were cultured in a 500 mL glass beaker placed in an incubator at 20 ± 1 °C, with a 16:8 light/dark photoperiod and a light intensity of 3000 Lux. EPA medium was used as the culture medium, and it was renewed 2–3 times a week. The animals were fed daily on Chlorella vulgaris (at a concentration of 2.5 × 106 cells/mL), and dead D. magna and impurities at the bottom were cleaned daily. Larger, more active females with more eggs were selected 24 h before the experiment and incubated in a separate beaker. The newly produced juveniles (6~24 h) were used as test organisms.
2.3. Acute Experiments
In 48 h immobilization toxicity tests, referring to the Test No. 221 guidance document [29], 6 concentration groups (30, 39.6, 52.3, 69, 91.1, and 120 μg/L) and a control group were set up according to the pilot experiment. The test system consisted of 50 mL beakers containing 30 mL of MB solution. Ten healthy neonates (<24 h) were randomly placed in each beaker without feeding, and three replicates were set up for each group. After 48 h, the morphology of D. magna was observed under a microscope, and the inhibition rate was calculated (inhibited being defined as having a heartbeat but not swimming). The 48 h-EC50 value was obtained through curve fitting.
In 24 h lethality toxicity tests, after pilot experiments, 6 treatment groups (110, 124, 140, 157, 177, and 200 μg/L) and a control group were established. The test system consisted of 50 mL beakers containing 30 mL of MB solution. Ten healthy neonates (<24 h) were randomly placed in each beaker without feeding, and three replicates were set up for each group. After 24 h, the morphology of D. magna was observed under a microscope, and the mortality rate was calculated (with the criterion of no heartbeat as death). The 24 h-LC50 value was obtained by curve fitting.
2.4. Chronic Experiments
According to the value of 24 h-LC50, 6 treatment groups (1.5, 2.7, 4.7, 8.4, 15, and 26.7 μg/L) and one blank control group were set up using the equal logarithmic spacing method. The experimental system consisted of 50 mL beakers containing 30 mL of MB solution, with one healthy neonate (<24 h) randomly placed in each beaker, and 10 replicates were set up for each concentration group, for a total of 70 neonates (7 × 10) used in the experiment, which lasted 21 days. Chlorella vulgaris were fed daily at a density of 2.5 × 106 cells/mL. During the experiment, a semi-static exposure test was used, and the exposure solution was replaced every 2 days. The growth and reproductive status were observed and recorded daily, including cumulative molts, time of the first brood, number of offspring in the first brood, total number of broods, and number of living offspring per brood, to calculate the intrinsic growth rate (rm) of the population. The newborns were promptly removed after birth.
At the end of the experiment, each D. magna was placed in the groove of a single concave glass slide, and an appropriate amount of MB exposure solution was dropped in. The body length (from the helmet to the front end of the tail spine, excluding the tail spine), the heart rate, and the frequency of thoracic limb movement were measured using a stereomicroscope and VistarImage software. Each D. magna was measured 3 times.
2.5. Measurement of Physiological Parameters
Antioxidant damage tests were conducted on D. magna in the 8.4, 15, and 26.7 μg/L exposure concentrations and the blank control group based on the results of the chronic test. For these tests, 100 healthy neonates (age 6~24 h) were randomly placed in a 250 mL beaker containing 200 mL of MB solution, without feeding, and there were 3 replicates for each group. After 24 h, the D. magna were collected, washed 3 times, and transferred to a 1.5 mL tube containing 0.81 mL of physiological saline. The tube was then placed at −40 °C for 12 h and then at 4 °C for 1 h to thaw. An ultrasonic cell disrupter was used to crush the tissue. The prepared 10% tissue homogenate was centrifuged at 2500 rpm for 15 min in a high-speed frozen centrifuge at 4 °C. The supernatant obtained was the crude enzyme solution for measurement. Superoxide dismutase (SOD) activity, glutathione S-transferase (GST) activity, and malondialdehyde (MDA) content were measured using test kits purchased from Nanjing Jiancheng Bioengineering Institute, Nanjing, China.
2.6. Statistical Analysis
The experimental data were analyzed and statistically processed using SPSS 23.0 and Excel software. The experimental results were subjected to linear or nonlinear fitting analysis using OriginPro 9.1 software. The most suitably fitted model was selected based on the R2 value of the fitting curve being closer to 1 and the p value being smaller. The trend of inhibition and mortality of D. magna under exposure to different concentrations of methylene blue was fitted using the Hill function (Equation (1)) to obtain the 48 h-EC50 and 24 h-LC50 values:
where f(x) refers to the mortality (or immobilization rate) of D. magna, x refers to the concentration of MB solution (μg/L), and m refers to the curve shape parameter.
The Log3P1 model (Equation (2)) was used to fit the trend of heart rate and thoracic limb activity in the chronic treatment:
where y refers to the heart rate or beat frequency of the thoracic limb (times/min), x refers to the concentration of MB solution (μg/L), and a, b and c are constants.
The intrinsic rate of population increase (rm) was initially calculated by Equation (3), and then the precise value was obtained through the stepwise approximation method in Equation (4) [30,31]:
where x is the age of D. magna (d), lx is the survival rate at age x, mx is the fecundity at age x, R0 is the net reproduction rate, and T is the generation time (d).
The normality of the parameters was tested using the Shapiro–Wilks test. A one-way ANOVA followed by an LSD post hoc test was used to analyze the differences between the blank control and various MB concentration groups, and the experimental results were presented as mean ± standard error.
3. Results
3.1. Acute Immobilization Toxicity Tests
The immobilization rate of D. magna increased with increasing MB concentration (Figure 1). The 48 h-EC50 of MB for D. magna was determined to be 61.5 ± 2.3 μg/L.
Figure 1.
Trend of immobilization rate fitted by Hill function in acute toxicity tests. Means and standard errors are shown.
3.2. Acute Lethality Toxicity Tests
The mortality of D. magna increased with the increased MB concentration (Figure 2). The 24 h-LC50 of MB for D. magna was determined to be 149.0 ± 2.2 μg/L.
Figure 2.
Trend of mortality rate fitted by Hill function in acute toxicity tests. Means and standard errors are shown.
3.3. Damage Caused by MB to D. magna Bodies in Acute Toxicity Tests
In the acute exposure test, the tested D. magna suffered from various degrees of damage. Some individuals had holes in their carapace and lost their thoracic limbs, while others had a swollen carapace and blue residue on their antennae, appendages, intestines, and carapace. The bodies of D. magna that had stopped beating were white and sank to the bottom of the exposure solution (Figure 3).
Figure 3.
Damage to D. magna caused by MB in acute toxicity tests: (A) swollen and whitish carapace; (B) blue intestines; (C) swollen carapace and blue intestines; (D) carapace stuck with blue substance; (E) swollen carapace and partial loss of thoracic limb; (F) blue substance sticking to second antenna; (G) body turned blue throughout, with swollen carapace and holes; (H) swollen carapace and blue substance sticking to thoracic limb; (I) blue deposits in intestines and thoracic limbs.
3.4. Chronic Toxicity of Methylene Blue in D. magna
3.4.1. Heart Rate and Thoracic Limb Activity
The heart rate of D. magna decreased as the MB concentration increased (Figure 4). At 4.7 μg/L, the heart rate of the exposed group (269 ± 2.35 times/min) was significantly different (p < 0.05) from that of the control group (298 ± 10.15 times/min). The lowest heart rate was observed in the 26.7 μg/L MB treated group (256 ± 5.57 times/min), which was significantly different (p < 0.05) from the control group, as well as the 1.5, 2.7, 4.7, and 8.4 μg/L MB treated groups. Similarly, as the MB concentration increased, the thoracic limb beat frequency decreased. At 4.7 μg/L, the beat frequency of the exposed group (289 ± 10.75 times/min) was significantly different (p < 0.05) from that of the control group (301 ± 4.95 times/min). The lowest beat frequency was observed in the 26.7 μg/L exposed group (280.2 ± 1.92 times/min), which was significantly different (p < 0.05) from that of the control group as well as the 1.5, 2.7, 4.7, and 8.4 μg/L treatment groups.
Figure 4.
Effect of MB on (a) heart rate and (b) thoracic limb activity of D. magna (mean ± SE, n = 10); significant differences (p < 0.05) between different treatment groups and the control group are indicated by different letters.
The inhibitory effect of MB on heart rate and thoracic limb beat frequency was dose-dependent (Figure 5).
Figure 5.
Effects of MB on (a) heart rate and (b) thoracic limb activity of D. magna after fitting with the Log3P1 curve. Means and standard errors are shown.
3.4.2. Body Length
After exposure to methylene blue for 21 days, the body length of D. magna in the 15 μg/L group increased (3.472 ± 0.078 mm) compared to the control group (3.462 ± 0.094 mm), but there was no significant difference (p > 0.05). The body length of D. magna in all other groups was shorter than that of the control group, and the body length in the highest concentration group (26.7 μg/L) was significantly shorter (3.206 ± 0.211 mm, p < 0.05; Figure 6).
Figure 6.
Effect of MB on (a) body length and (b) morphology of D. magna in each group at 21 days (mean ± SE, n = 10); significant differences (p < 0.05) between different treatment groups and the control group are indicated by different letters.
3.4.3. Reproduction
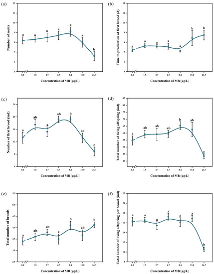
The total number of molts of D. magna showed a trend of increasing and then decreasing with increasing MB concentration. When the MB concentration was 8.4 μg/L, the number of molts reached a peak at 9.1 ± 1.52 times, but there was no significant difference (p > 0.05) compared with the control group (8.2 ± 1.14 times) (Figure 7a). When the concentration was higher than 8.4 μg/L, the number of molts began to decrease. The total number of molts in the group exposed to the highest concentration of 26.7 μg/L (6.6 ± 1.43 times) was significantly less than that of the control group (p < 0.05).
Figure 7.
Influences of MB on (a) number of molts, (b) time to production of first brood, (c) number of first brood, (d) total number of living offspring, (e) total number of broods, and (f) total number of living offspring per brood (mean ± SE; n = 10). Significant differences (p < 0.05) among groups are indicated by different letters.
Except for the 8.4 μg/L exposure group, which had a slightly earlier first brood time than the control group (7.1 ± 0.316 days versus 7.2 ± 0.422 days), the first brood time in all other groups was delayed compared to the control group. In particular, the first brood time of D. magna in the 15 and 26.7 μg/L exposure groups (8.4 ± 2.297 and 8.75 ± 1.389 days, respectively) was significantly later than that of the control group (p < 0.05) (Figure 7b).
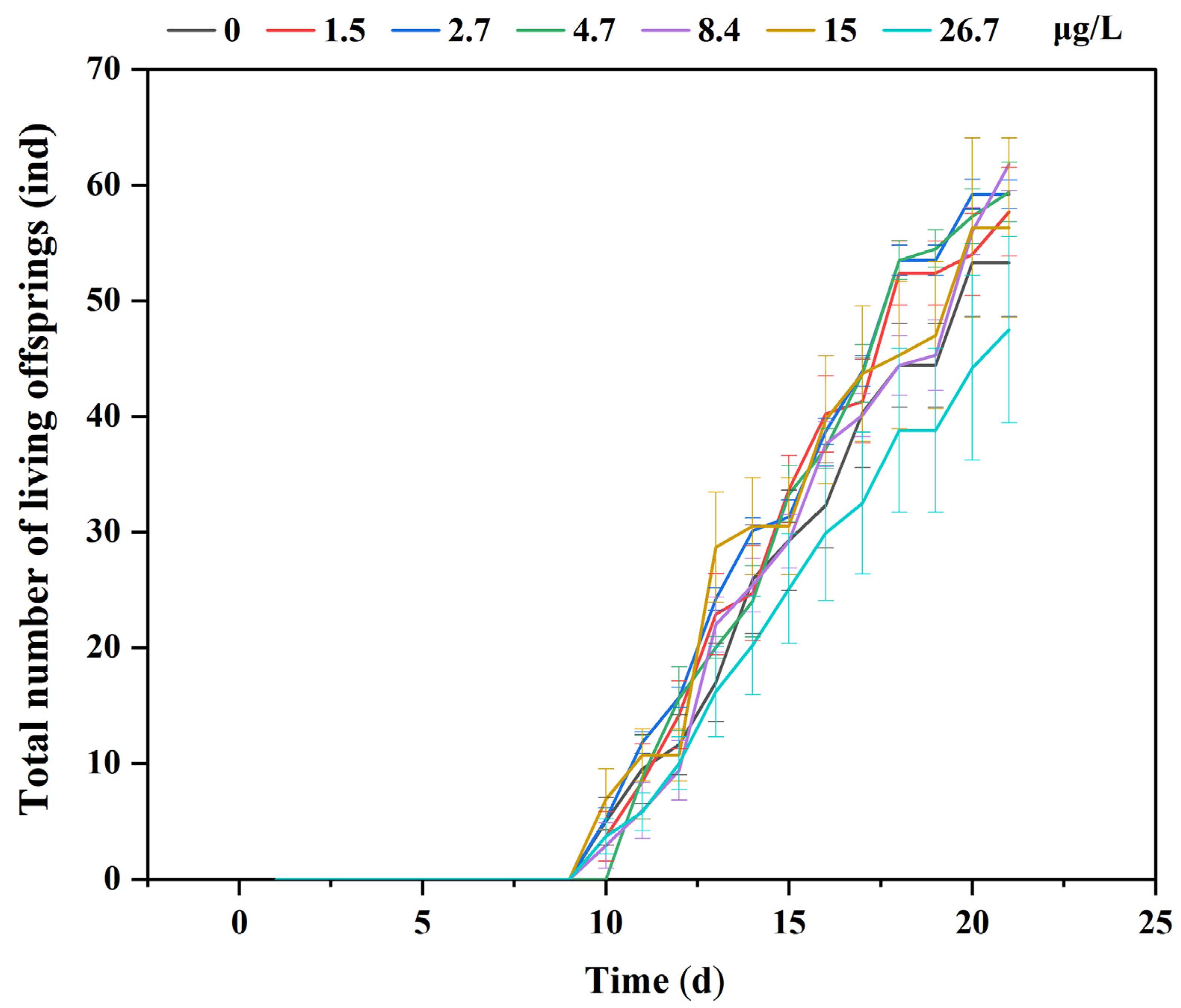
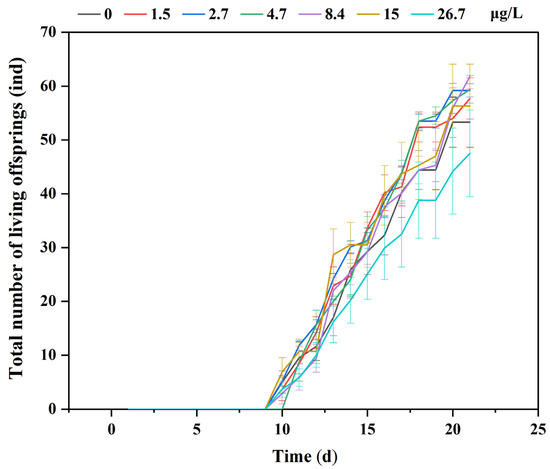
The number of first brood neonates and total offspring produced by D. magna showed an initial increase followed by a decrease with increasing MB concentration. The highest number of first brood neonates (19.3 ± 3.302) and total offspring produced (65.3 ± 9.21) were observed in the 8.4 μg/L concentration group, which was significantly higher than the control group (p < 0.05). In contrast, the lowest number of first brood neonates (8.875 ± 4.051) and total offspring produced (43.5 ± 4.75) was observed in the highest concentration group (26.7 μg/L), which was significantly lower than the control group and other exposure groups (p < 0.05; Figure 7c,d). The number of broods produced in all exposure groups was higher compared to the control group, and the number was significantly higher in the 8.4 and 26.7 μg/L groups than the control group (p < 0.05), with 4.1 ± 0.57 and 4.1 ± 0.35 broods, respectively (Figure 7e). The average number of neonates produced per brood decreased with increasing MB concentration, and all exposure groups had fewer neonates per brood than the control group. The lowest average number of neonates produced per brood was observed in the highest concentration group (26.7 μg/L), with 10.58 ± 1.23, which was significantly lower compared to the control group (p < 0.05; Figure 7f). The cumulative number of living offspring in each group over 21 days is shown in Figure 8.
Figure 8.
Cumulative number of living offspring over a 21-day period. Means and standard errors are shown.
In addition, “abortion” was observed during the experiment (Figure 9). One D. magna in the 15 μg/L exposure group aborted seven eggs on the seventh day. The undeveloped eggs fell off the brood chamber and adhered to the molted carapace. Another individual in the 26.7 μg/L exposure group aborted four eggs on the fifth day, and the eggs sank to the bottom of the beaker.
Figure 9.
(a) Control group of D. magna and aborted eggs in groups exposed to (b) 15 and (c) 26.7 μg/L observed under a stereomicroscope (3×).
As the concentration of MB increased, the intrinsic growth rate showed a trend of first increasing and then decreasing (Figure 10). The intrinsic growth rate was higher in the groups exposed to 1.5, 2.7, 4.7, 8.4, and 15 μg/L of methylparaben than the control group, while the rate was lower in the 26.7 μg/L group than the control group, but the difference was not significant (p > 0.05).
Figure 10.
Intrinsic rate of population increase of D. magna (mean ± SE; n = 10).
3.5. Antioxidant Enzymes, Detoxification Enzymes, and Oxidative Damage Markers
The changes in superoxide dismutase (SOD) activity in D. magna tissues after exposure to MB are shown in Figure 11a. The SOD activity of the control group was the lowest, at 2.973 ± 0.479 U/mgprot. With increasing MB concentration, the SOD activity gradually increased. The SOD activity in D. magna exposed to 8.4 μg/L MB was significantly higher than that in the control group (p < 0.05). The SOD activity in D. magna exposed to 15 μg/L MB was 7.996 ± 0.878 U/mgprot, significantly higher than that in the control group (p < 0.01). When the MB concentration was 26.7 μg/L, the SOD activity of D. magna was the highest (15.497 ± 1.83 U/mgprot), which was 5.21 times that of the control group, and there was a significant difference (p < 0.01).
Figure 11.
Effects of MB on (a) SOD activity, (b) GST activity, and (c) MDA content of D. magna (mean ± SE; n = 3; * p < 0.05 between the different treatment groups and the control group; ** p < 0.01 between the different treatment groups and the control group).
As the concentration of MB increased, GST activity in D. magna tissues was first induced and then inhibited. When the MB concentration was 8.4 μg/L, the GST activity was the highest (5.338 ± 0.505 U/mgprot), which was 1.86 times that in the control group (2.868 ± 0.835 U/mgprot), and the induced GST activity was significant (p < 0.01). However, when the MB concentration exceeded 8.4 μg/L, the GST activity significantly decreased compared to the control group (p < 0.05). This was evidenced by the GST activity in the D. magna tissues exposed to 15 and 26.7 μg/L MB, which was 2.119 ± 0.403 and 0.808 ± 0.319 c U/mgprot, respectively (Figure 11b).
As the concentration of MB increased, the MDA content in D. magna tissues also increased. However, there was no significant difference in MDA content between the 8.4 and 15 μg/L exposure groups and the blank control group (p > 0.05), with values of 0.292 ± 0.033 and 0.389 ± 0.055 nmol/mgprot, respectively. In contrast, the MDA content in D. magna exposed to the highest concentration of 26.7 μg/L (0.538 ± 0.038 nmol/mgprot) was 1.92 times higher than that in the control group (0.28 ± 0.062 nmol/mgprot) (Figure 11c).
4. Discussion
EC50 and LC50 are commonly used to assess the toxicity of pollutants to aquatic organisms. Previous studies reported 24 h-LC50 values of MB of 5.769 mg/L for Litopenaeus vannamei [32] and 31.60 mg/L for Limnodrilus [33], suggesting that the sensitivity to MB is highest in D. magna and that MB is a potent toxin for zooplankton. Furthermore, the EC50 and LC50 values vary depending on the type of pollutant. Abe et al. [30] reported EC50 values of two azo dyes, basic red 51 (BR51), a synthetic dye, and erythromycin (Ery), a natural dye, on D. magna of 0.10 mg/L (0.09–0.11) and 19.7 mg/L (15.7–24.9), respectively. Similarly, Verma [34] found that the 48 h-EC50 values of the azo dyes Remazol Parrot Green and Remazol Golden Yellow for D. magna were 55.32 and 46.84 mg/L, respectively, while Kanhere [35] reported that the 48 h-EC50 of malachite green was 0.77 mg/L. Compared with these results, D. magna was found to be more sensitive to the toxicity of methylene blue, a thiazide dye. Based on the United Nations Globally Harmonized System of Classification and Labelling of Chemicals (GHS Rev. 9, 2021) for acute aquatic toxicity (class I: 48 h-EC50 ≤ 1 mg/L; class II: 1 mg/L < 48 h-EC50 ≤ 10 mg/L; class III: 10 mg/L < 48 h-EC50), the toxicity of MB to D. magna falls into class I.
The heart rate and beat frequency of the thoracic limbs of D. magna are important indicators of their overall health, reflecting the status of their feeding, respiration, metabolism, and endocrine system [36]. Several chemicals have been found to affect D. magna’s heart rate and beat frequency [37,38]. In this experiment, higher MB concentrations were found to decrease the heart rate and beat frequency of the thoracic limbs in D. magna. This may be due to the accumulation of MB with prolonged exposure, resulting in high toxicity and difficulty degrading it [39]. Long-term accumulation of MB in D. magna may lead to physiological abnormalities, decreased heart rate, and diminished eating capacity. Similar findings were reported by Eghan et al. [40], who observed time- and dose-dependent suppression of heart rate and thoracic limb beat frequency in D. magna exposed to acrylamide. Bownik et al. [41] also reported a time- and dose-dependent decrease in heart rate and thoracic limb beat frequency in response to ketoprofen, while procaine penicillin caused a concentration-dependent depression of heart rate and beat frequency [42]. D. magna has a myogenic heart, which means the myocardial contractions are not influenced by brain activity [43,44,45,46]. Pirtle et al. [45] suggested that the autonomic beating of D. magna’s heart relies on hyperpolarization activating T-type calcium channels and cyclic nucleotide-gated ion channels. MB alters the activity of these ion channels, leading to changes in heart rate, which could explain the observed decrease in heart rate in D. magna. A decreased heart rate implies reduced O2 and nutrient supply to cells [47], which impacts lymphatic blood circulation and immune response [48], thereby affecting the beat frequency of the thoracic limbs.
The thoracic limbs, which are the feeding organs of D. magna, are covered with bristles that filter food from the water and deliver it to the mouth. A decrease in the beat frequency of the thoracic limbs can affect the water filtration rate of D. magna, reducing their feeding capacity. Food intake is crucial for energy replenishment, and feeding capacity is closely related to individual growth and reproduction ability [49]. Moreover, decreased beat frequency of the thoracic limbs may be associated with the intestinal contents. On the one hand, it can be caused by an increase in particulate matter, including food [50,51]. Lari et al. [50] studied the effect of oil sands process-affected water (OPSW), a by-product of bitumen extraction, on D. magna and found that the exposed group exhibited a change in the color of the intestine from green to brown, a significantly higher density of algal cells compared to the control group, and a simultaneous decrease in the beat frequency of the thoracic limbs. On the other hand, exposure to dissolved toxicants can lead to decreased Na+/K+-ATPase activity in D. magna, resulting in reduced transmission between thoracic limb neurons and muscles and, in turn, decreased beat frequency of the thoracic limbs [36]. Additionally, blue residue was observed in the intestines of exposed D. magna, partially obstructing the flow of intestinal contents and potentially contributing to reduced feeding capacity.
Chronic exposure to MB significantly impacted the growth and reproductive capacity of D. magna. Specifically, the 26.7 μg/L exposure group exhibited significantly shorter body length and fewer molts than the control group, indicating that MB had some developmentally toxic effects, strongly inhibiting the growth and development of D. magna, as it normally develops through molting.
Regarding reproduction, exposure to high concentrations of MB caused a significant delay in the production of the first brood. At medium MB concentrations, the number of the first brood and total number of living offspring significantly increased, while at higher concentrations they decreased, indicating hormesis, a stimulative effect at low concentrations, and an inhibitory effect at high concentrations [52]. The total number of broods was higher in all exposure groups than in the control group, but the number of living offspring per brood was lower in the exposure groups. When considering the 21-day reproduction results, the increase in the number of the first brood and total number of living offspring in the 8.4 μg/L group was due to the earlier sexual maturation time, while the decrease in the 26.7 μg/L group was due to a significant delay in sexual maturation and a decrease in the number of living offspring per brood. This adaptive response to the environment aligns with previous studies, suggesting that D. magna deliberately increase the number of reproductions and reduce the number of single reproductions to stabilize the population in adverse environments [53].
Many studies have demonstrated the occurrence of hormesis in the growth, reproduction, and swimming behavior of D. magna when exposed to various contaminants. For instance, low concentrations of bioplastics promoted the reproductive rate, while higher concentrations inhibited it [54]. Similarly, low concentrations of ciprofloxacin and ofloxacin were found to stimulate a shortening of the first oogenesis time and an increase in brood size in D. magna [55]. In studies investigating the effects of fluoxetine and propranolol on D. magna swimming activity [56], intermediate drug doses (1~10 μg/L) significantly promoted swimming activity, while high doses (>100 μg/L) had the opposite effect, causing a significant decrease in swimming activity.
The decreased reproductive capacity of D. magna in the high-concentration groups may be attributed to the allocation of energy, primarily used for growth, reproduction, and basal metabolism. The stress response triggered by MB elevated the basal metabolic energy consumption of D. magna, thereby reducing the available energy reserves for growth and reproduction [57]. Consequently, there was a decline in reproductive ability and, in certain instances, even the occurrence of “abortion”. These findings are consistent with those of a previous study [57].
The intrinsic rate of population increase is a measure of the population’s ability to expand under ideal conditions. In this study, the intrinsic rate of population increase initially showed an increasing trend with increasing MB concentration, followed by a decreasing trend. However, these trends were not significantly different from those observed in the control group. The concentration of energy allocated to basal metabolism in D. magna under the stress of MB may influence its growth and reproduction, contributing to the observed pattern. The sensitivity of reproduction parameters to MB varied, and the order of sensitivity for these indicators was as follows: number of first brood = total number of broods = total number of living offspring > time to production of first brood > cumulative molts = number of living offspring per brood.
SOD plays a vital role in D. magna’s antioxidant defense system by eliminating reactive oxygen species (ROS) through the catalysis of superoxide anion radicals (O2−) into hydrogen peroxide (H2O2) and oxygen (O2) [58]. This enzyme exerts a protective effect on the cells of the organism. Assessing SOD activity in D. magna can provide insights into its ability to adapt to MB exposure. In our study, SOD activity exhibited a continuous increase with escalating MB concentration. SOD activity in the highest concentration group was 5.21 times higher than that in the control group. These findings indicate that under the stress of MB, D. magna consistently enhanced its antioxidant capacity in response to the increasing assault of ROS and the unfavorable environment.
Excess reactive oxygen radicals in D. magna tissues that cannot be scavenged by SOD can lead to lipid peroxidation of cell membranes, causing cellular damage. This damage can be assessed by measuring the MDA content. In our study, the MDA content in D. magna exhibited a positive correlation with increasing MB concentration and was significantly higher compared to the control group, indicating oxidative damage. Despite the increased SOD activity, the MDA content also increased, suggesting that SOD was unable to fully eliminate all ROS. It is noteworthy that the highest MB concentration tested did not inhibit SOD activity, as reported in previous studies by Shen et al. [59] and Duan et al. [60] using different compounds but demonstrating similar effects. The elevated MDA levels in our study imply that MB exposure stimulated the generation of intracellular ROS in D. magna, leading to oxidative alterations of cellular components.
GST is an essential detoxifying enzyme that plays a crucial role in scavenging free radicals and facilitating detoxification processes. It catalyzes the conjugation of harmful endogenous or exogenous substances with reduced glutathione (GSH), forming more soluble and nontoxic derivatives that can be efficiently excreted or broken down by enzymes [61]. GST also possesses the ability to scavenge excess ROS, limit lipid peroxidation, and mitigate oxidative stress-induced damage [62]. In this study, GST activity exhibited hormetic effects, with induction observed in the low-concentration group and inhibition in the high-concentration group. At low concentrations of MB, GST activity increased to 1.86 times that of the control group, effectively scavenging free radicals and serving a detoxification function. However, at high MB concentrations, GST activity declined rapidly, possibly due to the depletion of intracellular GSH content. Consequently, toxins accumulated, disrupting the balance between free radical production and elimination and leading to the inactivation of GST, impairing its normal participation in the detoxification reaction. This finding is consistent with previous research [59], which demonstrated that after 24 h of dibutyl phthalate exposure, GST activity in D. magna neonates was dramatically elevated at 0.5 mg/L and reduced at 2 mg/L.
The influence of MB on D. magna involves complex physiological and biochemical processes, and our study examined only its effects on growth and reproduction. Consequently, there remains a knowledge gap concerning the toxicological mechanism of MB. Future investigations could bridge this gap by integrating conventional toxicological analysis with ecotoxicological genomics data, including transcriptomics, proteomics, metabolomics, and epigenomics. This comprehensive approach would enable a thorough exploration of the effects of MB on D. magna and other zooplankton species [63].
5. Conclusions
Methylene blue exhibited pronounced toxicity toward D. magna, with increasing toxic effects correlating with increasing concentration. Chronic exposure to MB significantly affected the growth and reproduction of D. magna, with heart rate and thoracic limb beat frequency proving to be more sensitive indicators than body length. Furthermore, MB could induce antioxidant stress in D. magna. The maximal concentration of MB at which no adverse effects were observed (NOEC) was determined to be 4.7 μg/L. Establishing water quality criteria for MB primarily relies on zooplankton, particularly D. magna, which is the most sensitive species to MB contamination (Supplementary Materials, Figure S2).
Supplementary Materials
The following supporting information can be downloaded at: https://www.mdpi.com/article/10.3390/toxics11070594/s1, Table S1. Acute toxicity of methylene blue to aquatic animals. Figure S1. Developmental stages of Daphnia magna under the stereomicroscope. Figure S2. Logistic fitting curve of species mean acute values (SMAV) of methylene blue. References [32,3364,65,66,67,68] are cited in the supplementary materials.
Author Contributions
Conceptualization, G.J. and S.L.; data curation, G.J. and S.L.; formal analysis, S.L., G.J. and Y.C.; investigation, S.L., M.W. and Y.C.; methodology, S.L., M.W. and Y.C.; project administration, G.J.; resources, G.J.; visualization, G.J. and S.L.; writing—original draft, S.L.; writing—review and editing, M.W., Y.C. and G.J. All authors have read and agreed to the published version of the manuscript.
Funding
This work was supported by the program of the Shanghai Collaborative Innovation Center for Cultivating Elite Breeds and Green-culture of Aquaculture Animals (No. 2021-KJ-02-12), the Innovation Project for Chongming Agriculture Industry from Chongming District Agriculture Commission of Shanghai (2022CNKC-01-05), Shanghai Ocean University (A2-2006-21-200301), and Luo Zhaorao Science and Innovation Fund (A1-2004-22-201315).
Institutional Review Board Statement
Not applicable.
Informed Consent Statement
Not applicable.
Data Availability Statement
The data presented in this study are available upon request from the corresponding author.
Acknowledgments
The authors are grateful to Hongbo Pan, Wei Zhang, and Ruilei Zhang for their kind help with the experiment. They also thank the anonymous reviews.
Conflicts of Interest
The authors declare no conflict of interest.
References
- Balarak, D.; Bazzi, M.; Shehu, Z.; Chandrika, K. Application of Surfactant-Modified Bentonite for Methylene Blue Adsorption from Aqueous Solution. Orient. J. Chem. 2020, 36, 293–299. [Google Scholar] [CrossRef]
- Koyuncu, H.; Kul, A.R. Removal of methylene blue dye from aqueous solution by nonliving lichen (Pseudevernia furfuracea (L.) Zopf.), as a novel biosorbent. Appl. Water Sci. 2020, 10, 72. [Google Scholar] [CrossRef]
- Mijinyawa, A.H.; Durga, G.; Mishra, A. A sustainable process for adsorptive removal of methylene blue onto a food grade mucilage: Kinetics, thermodynamics, and equilibrium evaluation. Int. J. Phytoremed. 2019, 21, 1122–1129. [Google Scholar] [CrossRef]
- Safarik, I.; Safarikova, M. Detection of low concentrations of malachite green and crystal violet in water. Water Res. 2002, 36, 196–200. [Google Scholar] [CrossRef] [PubMed]
- Van Tran, T.; Nguyen, D.T.; Kumar, P.S.; Din, A.T.; Qazaq, A.S.; Vo, D.V. Green synthesis of Mn3O4 nanoparticles using Costus woodsonii flowers extract for effective removal of malachite green dye. Environ. Res. 2022, 214 Pt 2, 113925. [Google Scholar] [CrossRef]
- Sarojini, G.; Babu, S.V.; Rajamohan, N.; Rajasimman, M. Performance evaluation of polymer-marine biomass based bionanocomposite for the adsorptive removal of malachite green from synthetic wastewater. Environ. Res. 2022, 204, 112132. [Google Scholar] [CrossRef] [PubMed]
- Majidian, S.; Taghavi, M.; Kohan, N.A.; Dehghan, A.; Afsharnia, M. Photocatalytic degradation of methylene blue dye using bismuth oxyiodide from aqueous solutions. Int. J. Environ. Anal. Chem. 2022, 1–13. [Google Scholar] [CrossRef]
- Meili, L.; Lins, P.; Costa, M.; Almeida, R.; Abud, A.; Soletti, J.; Dotto, G.; Tanabe, E.; Sellaoui, L.; Carvalho, S.; et al. Adsorption of methylene blue on agroindustrial wastes: Experimental investigation and phenomenological modelling. Prog. Biophys. Mol. Biol. 2019, 141, 60–71. [Google Scholar] [CrossRef]
- Kosswattaarachchi, A.M.; Cook, T.R. Repurposing the Industrial Dye Methylene Blue as an Active Component for Redox Flow Batteries. Chemelectrochem 2018, 5, 3437–3442. [Google Scholar] [CrossRef]
- Lawagon, C.P.; Amon, R.E.C. Magnetic rice husk ash ‘cleanser’ as efficient methylene blue adsorbent. Environ. Eng. Res. 2020, 25, 685–692. [Google Scholar] [CrossRef]
- Zaini, M.A.A.; Sudi, R.M. Valorization of human hair as methylene blue dye adsorbents. Green Process. Synth. 2018, 7, 344–352. [Google Scholar] [CrossRef]
- Zhou, S.; Du, Z.; Li, X.; Zhang, Y.; He, Y.; Zhang, Y. Degradation of methylene blue by natural manganese oxides: Kinetics and transformation products. R. Soc. Open Sci. 2019, 6, 190351. [Google Scholar] [CrossRef]
- Perlberg, S.T.; Diamant, A.; Ofir, R.; Zilberg, D. Characterization of swim bladder non-inflation (SBN) in angelfish, Pterophyllum scalare (Schultz), and the effect of exposure to methylene blue. J. Fish Dis. 2008, 31, 215–228. [Google Scholar] [CrossRef]
- Soltanian, S.; Gholamhosseini, A.; Banaee, M. Effects of exposure to a therapeutic level of methylene blue on antioxidant capacity, haemato-immunological responses and resistance of goldfish, Carassius auratus to Aeromonas hydrophila. Aquac. Res. 2021, 52, 2640–2650. [Google Scholar] [CrossRef]
- Turnipseed, S.B.; Roybal, J.E.; Plakas, S.M.; Pfenning, A.P.; Hurlbut, J.A.; Long, A.R. Determination of methylene blue in channel catfish (Ictalurus punctatus) tissue by liquid chromatography with visible detection. J. Aoac Int. 1997, 80, 31–35. [Google Scholar] [CrossRef] [PubMed]
- Pandey, S. A comprehensive review on recent developments in bentonite-based materials used as adsorbents for wastewater treatment. J. Mol. Liq. 2017, 241, 1091–1113. [Google Scholar] [CrossRef]
- Pandey, S.; Do, J.Y.; Kim, J.; Kang, M. Fast and highly efficient removal of dye from aqueous solution using natural locust bean gum based hydrogels as adsorbent. Int. J. Biol. Macromol. 2019, 143, 60–75. [Google Scholar] [CrossRef]
- Forro, L.; Korovchinsky, N.M.; Kotov, A.A. Global diversity of cladocerans (Cladocera; Crustacea) in freshwater. Hydrobiologia 2008, 595, 177–184. [Google Scholar] [CrossRef]
- Dietrich, S.; Ploessl, F.; Bracher, F.; Laforsch, C. Single and combined toxicity of pharmaceuticals at environmentally relevant concentrations in Daphnia magna—A multigenerational study. Chemosphere 2010, 79, 60–66. [Google Scholar] [CrossRef]
- Tatarazako, N.; Oda, S. The water flea Daphnia magna (Crustacea, Cladocera) as a test species for screening and evaluation of chemicals with endocrine disrupting effects on crustaceans. Ecotoxicology 2007, 16, 197–203. [Google Scholar] [CrossRef]
- Fan, W.; Cui, M.; Liu, H.; Wang, C.; Shi, Z.; Tan, C.; Yang, X. Nano-TiO2 enhances the toxicity of copper in natural water to Daphnia magna. Environ. Pollut. 2011, 159, 729–734. [Google Scholar] [CrossRef]
- Reyes, V.P.; Ventura, M.A.; Amarillo, P.B. Ecotoxicological Assessment of Water and Sediment in Areas of Taal Lake with Heavy Aquaculture Practices Using Allium cepa and Daphnia magna Assay. Philipp. J. Sci. 2022, 151, 969–974. [Google Scholar] [CrossRef]
- Day, K.; Kaushik, N.K. An assessment of the chronic toxicity of the synthetic pyrethroid, fenvalerate, to Daphnia galeata mendotae, using life tables. Environ. Pollut. 1987, 44, 13–26. [Google Scholar] [CrossRef] [PubMed]
- Kim, H.Y.; Lee, M.J.; Yu, S.H.; Kim, S.D. The individual and population effects of tetracycline on Daphnia magna in multigenerational exposure. Ecotoxicology 2012, 21, 993–1002. [Google Scholar] [CrossRef]
- Sanpradit, P.; Peerakietkhajorn, S. Disturbances in growth, oxidative stress, energy reserves and the expressions of related genes in Daphnia magna after exposure to ZnO under thermal stress. Sci. Total Environ. 2023, 21, 161682. [Google Scholar] [CrossRef]
- Mahaye, N.; Musee, N. Effects of Two Antiretroviral Drugs on the Crustacean Daphnia magna in River Water. Toxics 2022, 10, 423. [Google Scholar] [CrossRef] [PubMed]
- Galhano, V.; Zeumer, R.; Monteiro, M.S.; Knopf, B.; Meisterjahn, B.; Soares, A.M.; Loureiro, S.; Schlechtriem, C.; Lopes, I. Effects of wastewater-spiked nanoparticles of silver and titanium dioxide on survival, growth, reproduction and biochemical markers of Daphnia magna. Sci. Total Environ. 2022, 839, 156079. [Google Scholar] [CrossRef]
- Yee, M.S.; Khiew, P.S.; Chiu, W.S.; Tan, Y.F.; Leong, C.O. Polyethyleneimine-Capped Silver Nanoparticles as Antifouling Photocatalyst for Wastewater Treatment. Mater. Today Proc. 2019, 19, 1497–1506. [Google Scholar]
- OECD. Test No. 211: Daphnia Magna Reproduction Test; OECD: Paris, France, 2012. [Google Scholar]
- Abe, F.R.; Machado, A.L.; Soares, A.M.; de Oliveira, D.P.; Pestana, J.L. Life history and behavior effects of synthetic and natural dyes on Daphnia magna. Chemosphere 2019, 236, 124390. [Google Scholar] [CrossRef]
- Hu, H.Y.; Xi, Y.L. Demographic parameters and mixis of three Brachionus angularis Gosse (Rotatoria) strains fed on different algae. Limnologica 2008, 38, 56–62. [Google Scholar] [CrossRef]
- Zhou, G.; Rongrong, M.; Zongying, Y.; Kun, H. Acute toxicity of prometryn, phoxim, and methylene blue and their histopathological effects on Penaeus vannamei. Asian J. Ecotoxicol. 2020, 15, 279–289. [Google Scholar]
- Yin, H.; Kan, X.; Shi, X.; Fan, X. The acute poisoning function of methyl to Limnodilus hoffineisteri. Nat. Sci. J. Harbin Norm. Univ. 2007, 4, 80–82. [Google Scholar]
- Verma, Y. Acute toxicity assessment of textile dyes and textile and dye industrial effluents using Daphnia magna bioassay. Toxicol. Ind. Health 2008, 24, 491–500. [Google Scholar] [CrossRef] [PubMed]
- Kanhere, J.; Gopinathan, R.; Banerjee, J. Cytotoxicity and Genotoxicity of Malachite Green on Non-Target Aquatic Organisms: Chlorella Pyrenoidosa and Daphnia magna. Water Air Soil Pollut. 2014, 225, 1–8. [Google Scholar] [CrossRef]
- Farkas, A.; Somogyvári, D.; Kovács, A.W.; Mörtl, M.; Székács, A.; Győri, J. Physiological and metabolic alterations induced by commercial neonicotinoid formulations in Daphnia magna. Ecotoxicology 2022, 31, 415–424. [Google Scholar] [CrossRef] [PubMed]
- Steinkey, D.; Lari, E.; Woodman, S.G.; Steinkey, R.; Luong, K.H.; Wong, C.S.; Pyle, G.G. The effects of diltiazem on growth, reproduction, energy reserves, and calcium-dependent physiology in Daphnia magna. Chemosphere 2019, 232, 424–429. [Google Scholar] [CrossRef]
- Wei, X.; Li, X.; Liu, H.; Lei, H.; Sun, W.; Li, D.; Dong, W.; Chen, H.; Xie, L. Altered life history traits and transcripts of molting- and reproduction-related genes by cadmium in Daphnia magna. Ecotoxicology 2022, 31, 735–745. [Google Scholar] [CrossRef]
- Alencar, J.M.; Oliveira, F.J.; Airoldi, C.; Filho, E.C.S. Organophilic nickel phyllosilicate for reactive blue dye removal. Chem. Eng. J. 2014, 236, 332–340. [Google Scholar] [CrossRef]
- Eghan, K.; Lee, S.; Kim, W.-K. Cardiotoxicity and neurobehavioral effects induced by acrylamide in Daphnia magna. Ecotoxicol. Environ. Saf. 2022, 242, 113923. [Google Scholar] [CrossRef]
- Bownik, A.; Jasieczek, M.; Kosztowny, E. Ketoprofen affects swimming behavior and impairs physiological endpoints of Daphnia magna. Sci. Total Environ. 2020, 725, 138312. [Google Scholar] [CrossRef]
- Bownik, A.; Ślaska, B.; Bochra, J.; Gumieniak, K.; Gałek, K. Procaine penicillin alters swimming behaviour and physiological parameters of Daphnia magna. Environ. Sci. Pollut. Res. 2019, 26, 18662–18673. [Google Scholar] [CrossRef]
- Bekker, J.M.; Krijgsman, B.J. Physiological investigations into the heart function of Daphnia. J. Physiol. 1951, 115, 249–257. [Google Scholar] [CrossRef]
- Campbell, A.K.; Wann, K.T.; Matthews, S.B. Lactose causes heart arrhythmia in the water flea Daphnia pulex. Comp. Biochem. Physiol. Part B Biochem. Mol. Biol. 2004, 139, 225–234. [Google Scholar] [CrossRef]
- Pirtle, T.J.; Carr, T.L.; Khurana, T.; Meeker, G. ZD7288 and mibefradil inhibit the myogenic heartbeat in Daphnia magna indicating its dependency on HCN and T-type calcium ion channels. Comp. Biochem. Physiol. Part A Mol. Integr. Physiol. 2018, 222, 36–42. [Google Scholar] [CrossRef] [PubMed]
- Yamagishi, H.; Ando, H.; Makioka, T. Myogenic Heartbeat in the Primitive Crustacean Triops longicaudatus. Biol. Bull. 1997, 193, 350–358. [Google Scholar] [CrossRef] [PubMed]
- Jeong, T.Y.; Yoon, D.; Kim, S.; Kim, H.Y.; Kim, S.D. Mode of action characterization for adverse effect of propranolol in Daphnia magna based on behavior and physiology monitoring and metabolite profiling. Environ. Pollut. 2018, 233, 99–108. [Google Scholar] [CrossRef] [PubMed]
- Bownik, A.; Kowalczyk, M.; Bańczerowski, J. Lambda-cyhalothrin affects swimming activity and physiological responses of Daphnia magna. Chemosphere 2018, 216, 805–811. [Google Scholar] [CrossRef]
- Lu, G.; Yang, H.; Xia, J.; Zong, Y.; Liu, J. Toxicity of Cu and Cr Nanoparticles to Daphnia magna. Water Air Soil Pollut. 2016, 228, 18. [Google Scholar] [CrossRef]
- Lari, E.; Steinkey, D.; Morandi, G.; Rasmussen, J.B.; Giesy, J.P.; Pyle, G.G. Oil sands process-affected water impairs feeding by Daphnia magna. Chemosphere 2017, 175, 465–472. [Google Scholar] [CrossRef]
- Lovern, S.B.; Strickler, J.R.; Klaper, R.D. Behavioral and physiological changes in Daphnia magna when exposed to nanoparticle suspensions (titanium dioxide, nano-C60, and C60HxC70Hx). Environ. Sci. Technol. 2007, 12, 4465–4470. [Google Scholar] [CrossRef]
- Calabrese, E.J.; Baldwin, L.A. Toxicology rethinks its central belief. Nature 2003, 421, 691–692. [Google Scholar] [CrossRef] [PubMed]
- Lyu, K.; Cao, H.; Chen, R.; Wang, Q.; Yang, Z. Combined effects of hypoxia and ammonia to Daphnia similis estimated with life-history traits. Environ. Sci. Pollut. Res. 2013, 20, 5379–5387. [Google Scholar] [CrossRef] [PubMed]
- Boisseaux, P.; Hopkinson, P.; Santillo, D.; Smith, C.; Garmulewicz, A.; Powell, Z.; Galloway, T. Environmental safety of second and third generation bioplastics in the context of the circular economy. Ecotoxicol. Environ. Saf. 2023, 256, 114835. [Google Scholar] [CrossRef] [PubMed]
- Nguyen, T.-D.; Itayama, T.; Ramaraj, R.; Iwami, N.; Shimizu, K.; Dao, T.-S.; Pham, T.-L.; Maseda, H. Chronic ecotoxicology and statistical investigation of ciprofloxacin and ofloxacin to Daphnia magna under extendedly long-term exposure. Environ. Pollut. 2021, 291, 118095. [Google Scholar] [CrossRef]
- Nielsen, M.E.; Roslev, P. Behavioral responses and starvation survival of Daphnia magna exposed to fluoxetine and propranolol. Chemosphere 2018, 211, 978–985. [Google Scholar] [CrossRef]
- Sancho, E.; Villarroel, M.; Andreu, E.; Ferrando, M. Disturbances in energy metabolism of Daphnia magna after exposure to tebuconazole. Chemosphere 2009, 74, 1171–1178. [Google Scholar] [CrossRef]
- Jemec, A.; Tišler, T.; Erjavec, B.; Pintar, A. Antioxidant responses and whole-organism changes in Daphnia magna acutely and chronically exposed to endocrine disruptor bisphenol A. Ecotoxicol. Environ. Saf. 2012, 86, 213–218. [Google Scholar] [CrossRef]
- Shen, C.; Wei, J.; Wang, T.; Wang, Y. Acute toxicity and responses of antioxidant systems to dibutyl phthalate in neonate and adult Daphnia magna. PeerJ 2019, 7, e6584. [Google Scholar] [CrossRef]
- Duan, S.; Fu, Y.; Dong, S.; Ma, Y.; Meng, H.; Guo, R.; Chen, J.; Liu, Y.; Li, Y. Psychoactive drugs citalopram and mirtazapine caused oxidative stress and damage of feeding behavior in Daphnia magna. Ecotoxicol. Environ. Saf. 2022, 230, 113147. [Google Scholar] [CrossRef]
- Coleman, J.; Blake-Kalff, M.; Davies, E. Detoxification of xenobiotics by plants: Chemical modification and vacuolar compartmentation. Trends Plant Sci. 1997, 2, 144–151. [Google Scholar] [CrossRef]
- Li, W.; Zhu, L.; Du, Z.; Li, B.; Wang, J.; Wang, J.; Zhang, C.; Zhu, L. Acute toxicity, oxidative stress and DNA damage of three task-specific ionic liquids ([C2NH2MIm] BF4,[MOEMIm] BF4, and [HOEMIm] BF4) to zebrafish (Danio rerio). Chemosphere 2020, 249, 126119. [Google Scholar] [CrossRef] [PubMed]
- Kim, H.J.; Koedrith, P.; Seo, Y.R. Ecotoxicogenomic Approaches for Understanding Molecular Mechanisms of Environmental Chemical Toxicity Using Aquatic Invertebrate, Daphnia Model Organism. Int. J. Mol. Sci. 2015, 16, 12261–12287. [Google Scholar] [CrossRef] [PubMed]
- Dai, Y.; Xie, N.; Ma, H.; Dai, Y.; Xu, B.; Lin, Q.; Huang, H. Acute toxicity test of copper iron mixture, metrifonate, methylene blue and povidone-iodine on summerlings of Megalobrama terminalis. Fish. Sci. Technol. Inf. 2020, 47, 4. [Google Scholar]
- Chen, W.; Qu, J.; Zhou, F. Study on the acute toxicity of methylene blue to young Rhodeus Ocellatus. Guangdong Agric. Sci. 2010, 37, 131–132. [Google Scholar]
- Rifici, L.M.; Cherry, D.S.; Farris, J.L.; Cairns, J., Jr. Acute and subchronic toxicity of methylene blue to larval fathead minnows (Pimephales promelas): Implications for aquatic toxicity testing. Environ. Toxicol. Chem. 1996, 15, 1304–1308. [Google Scholar] [CrossRef]
- Hanks, K.S. Toxicity of some chemical therapeutics to the commercial shrimp, Penaeus californiensis. Aquaculture 1976, 7, 293–294. [Google Scholar] [CrossRef]
- Willford, W.A.; USDOI, FWS, Bur Sport Fish Wildl. Invest Fish Control No.18, Resourc Publ No. 35: 10 (1966) as Cited in the ECOTOX Database. 28 November 2022. [Google Scholar]
Disclaimer/Publisher’s Note: The statements, opinions and data contained in all publications are solely those of the individual author(s) and contributor(s) and not of MDPI and/or the editor(s). MDPI and/or the editor(s) disclaim responsibility for any injury to people or property resulting from any ideas, methods, instructions or products referred to in the content. |
© 2023 by the authors. Licensee MDPI, Basel, Switzerland. This article is an open access article distributed under the terms and conditions of the Creative Commons Attribution (CC BY) license (https://creativecommons.org/licenses/by/4.0/).











