The Treatment of Aquaculture Wastewater with Biological Aerated Filters: From the Treatment Process to the Microbial Mechanism
Abstract
1. Introduction
2. Materials and Methods
2.1. Characteristics of Aquaculture Wastewater and Seeding Sludge
2.2. BAF Setup and Operation
2.3. Collection and Characterization of Aquaculture Wastewater
2.4. Microbial Community Analysis
3. Results and Discussion
3.1. Nitrogen Removal Performance of BAFs
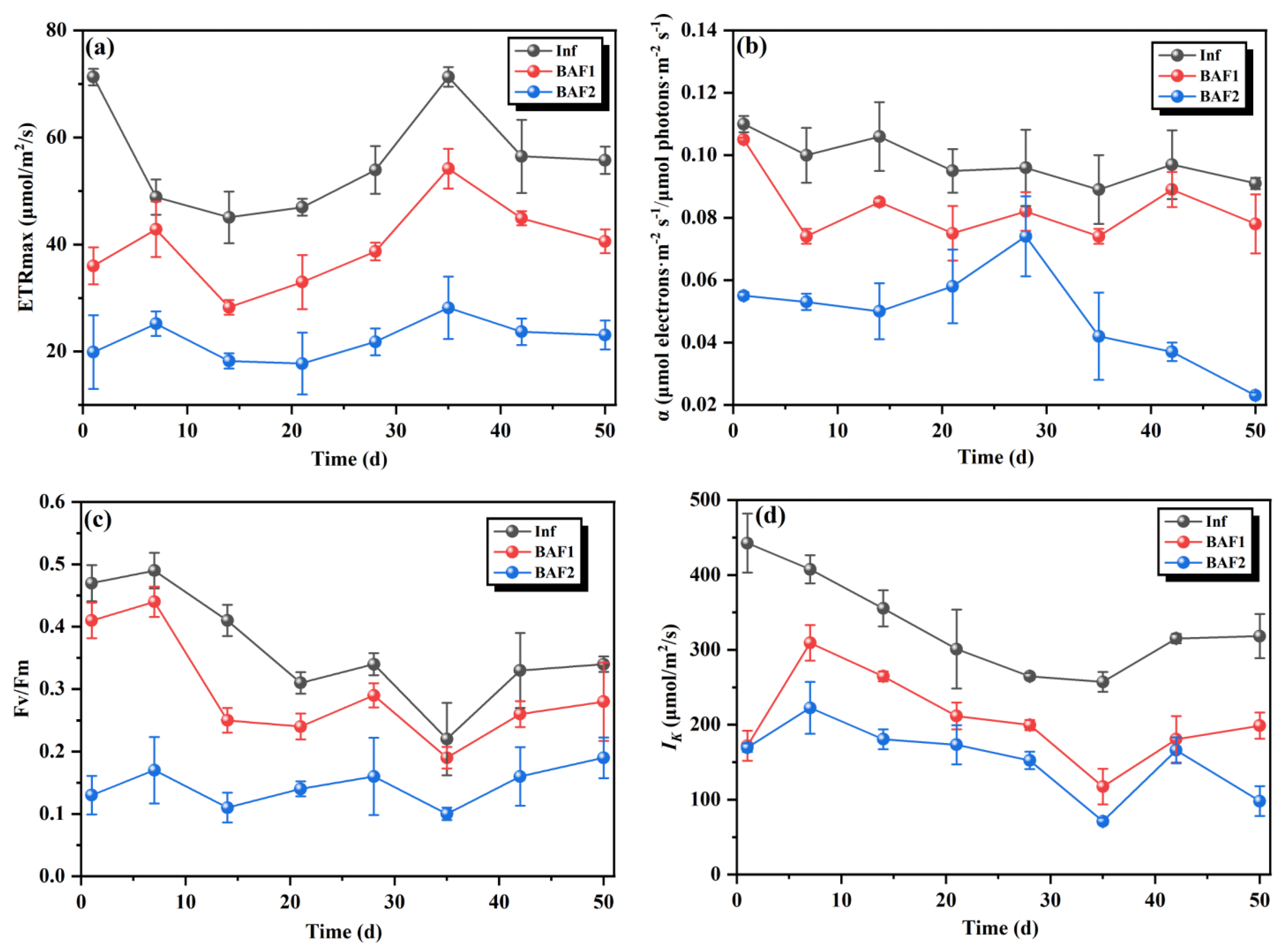
3.2. Algae Removal Efficiency of BAFs
3.3. TOC Removal Performance of the BAFs
3.4. EEM Fluorescence Spectral Analysis
3.5. Microbial Community Analysis
4. Conclusions
Author Contributions
Funding
Institutional Review Board Statement
Informed Consent Statement
Data Availability Statement
Conflicts of Interest
References
- Huang, J.; Xiao, Y.; Chen, B. Nutrients removal by Olivibacter jilunii immobilized on activated carbon for aquaculture wastewater treatment: ppk1 gene and bacterial community structure. Bioresour. Technol. 2023, 370, 128494. [Google Scholar] [CrossRef]
- Barnharst, T.; Rajendran, A.; Sun, X.; Hu, B. Process optimization of aquaculture wastewater treatment using a mycoalgae biofilm. Algal Res. 2023, 70, 103020. [Google Scholar] [CrossRef]
- Wan, Y.; Xie, P.; Wang, Z.; Ding, J.; Wang, J.; Wang, S.; Wiesner, M.R. Comparative study on the pretreatment of algae-laden water by UV/persulfate, UV/chlorine, and UV/H2O2: Variation of characteristics and alleviation of ultrafiltration membrane fouling. Water Res. 2019, 158, 213–226. [Google Scholar] [CrossRef] [PubMed]
- Wu, H.; Wang, H.; Zhang, Y.; Antonopoulou, G.; Ntaikou, I.; Lyberatos, G.; Yan, Q. In situ biogas upgrading via cathodic biohydrogen using mitigated ammonia nitrogen during the anaerobic digestion of Taihu blue algae in an integrated bioelectrochemical system (BES). Bioresour. Technol. 2021, 341, 125902. [Google Scholar] [CrossRef]
- Zhang, Q.; Xu, X.; Zhang, R.; Shao, B.; Fan, K.; Zhao, L.; Ji, X.; Ren, N.; Lee, D.-J.; Chen, C. The mixed/mixotrophic nitrogen removal for the effective and sustainable treatment of wastewater: From treatment process to microbial mechanism. Water Res. 2022, 226, 119269. [Google Scholar] [CrossRef] [PubMed]
- Gogoi, M.; Bhattacharya, P.; Kumar Sen, S.; Mukherjee, I.; Bhushan, S.; Chaudhuri, S.R. Aquaculture effluent treatment with ammonia remover Bacillus albus (ASSF01). J. Environ. Chem. Eng. 2021, 9, 105697. [Google Scholar] [CrossRef]
- Sheng, D.; Bu, L.; Zhu, S.; Deng, L.; Shi, Z.; Zhou, S. Transfer organic chloramines to monochloramine using two-step chlorination: A method to inhibit N-DBPs formation in algae-containing water treatment. J. Hazard. Mater. 2023, 443, 130343. [Google Scholar] [CrossRef]
- Lu, S.; Shen, L.; Li, X.; Yu, B.; Ding, J.; Gao, P.; Zhang, H. Advances in the photocatalytic reduction functions of graphitic carbon nitride-based photocatalysts in environmental applications: A review. J. Clean. Prod. 2022, 378, 134589. [Google Scholar] [CrossRef]
- Zhang, H.; Li, X.; Wu, D.; Yu, B.; Lu, S.; Wang, J.; Ding, J. A novel strategy for efficient capture of intact harmful algal cells using Zinc oxide modified carbon nitride composites. Algal Res. 2023, 69, 102932. [Google Scholar] [CrossRef]
- Sun, P.; Liu, Y.; Mo, F.; Wu, M.; Xiao, Y.; Xiao, X.; Wang, W.; Dong, X. Efficient photocatalytic degradation of high-concentration moxifloxacin over dodecyl benzene sulfonate modified graphitic carbon nitride: Enhanced photogenerated charge separation and pollutant enrichment. J. Clean. Prod. 2023, 393, 136320. [Google Scholar] [CrossRef]
- Liu, H.; Zhu, L.; Tian, X.; Yin, Y. Seasonal variation of bacterial community in biological aerated filter for ammonia removal in drinking water treatment. Water Res. 2017, 123, 668–677. [Google Scholar] [CrossRef] [PubMed]
- Cui, B.; Yang, Q.; Zhang, Y.; Liu, X.; Wu, W.; Li, J. Improving nitrogen removal in biological aeration filter for domestic sewage treatment via adjusting microbial community structure. Bioresour. Technol. 2019, 293, 122006. [Google Scholar] [CrossRef] [PubMed]
- Ashour, M.; Alprol, A.E.; Heneash, A.M.M.; Saleh, H.; Abualnaja, K.M.; Alhashmialameer, D.; Mansour, A.T. Ammonia Bioremediation from Aquaculture Wastewater Effluents Using Arthrospira platensis NIOF17/003: Impact of Biodiesel Residue and Potential of Ammonia-Loaded Biomass as Rotifer Feed. Materials 2021, 14, 5460. [Google Scholar] [CrossRef] [PubMed]
- Abou-Elela, S.I.; Fawzy, M.E.; El-Gendy, A.S. Potential of using biological aerated filter as a post treatment for municipal wastewater. Ecol. Eng. 2015, 84, 53–57. [Google Scholar] [CrossRef]
- Chang, W.-S.; Hong, S.-W.; Park, J. Effect of zeolite media for the treatment of textile wastewater in a biological aerated filter. Process Biochem. 2002, 37, 693–698. [Google Scholar] [CrossRef]
- Dong, J.; Wang, Y.; Wang, L.; Wang, S.; Li, S.; Ding, Y. The performance of porous ceramsites in a biological aerated filter for organic wastewater treatment and simulation analysis. J. Water Process Eng. 2020, 34, 101134. [Google Scholar] [CrossRef]
- Tanaka, M.; Esaki, T.; Kenmoku, H.; Koeduka, T.; Kiyoyama, Y.; Masujima, T.; Asakawa, Y.; Matsui, K. Direct evidence of specific localization of sesquiterpenes and marchantin A in oil body cells of Marchantia polymorpha L. Phytochemistry 2016, 130, 77–84. [Google Scholar] [CrossRef]
- Rice, E.W.; Baird, R.B.; Eaton, A.D.; Clesceri, L.S. Standard Methods for the Examination of Water and Wastewater; American Public Health Association: Washington, DC, USA, 2012; Volume 10. [Google Scholar]
- Lu, S.; Li, X.; Yu, B.; Ding, J.; Zhong, Y.; Zhang, H. Efficient Microcystis aeruginosa coagulation and removal by palladium clusters doped g-C3N4 with no light irradiation. Ecotoxicol. Environ. Saf. 2022, 246, 114148. [Google Scholar] [CrossRef]
- Zhu, Y.; Cheng, S.; Wang, P.; Chen, H.; Zhang, X.; Liu, L.; Li, X.; Ding, Y. A possible environmental-friendly removal of Microcystis aeruginosa by using pyroligneous acid. Ecotoxicol. Environ. Saf. 2020, 205, 111159. [Google Scholar] [CrossRef]
- Lichtenthaler, H.K.; Wellburn, A.R. Determinations of Total Carotenoids and Chlorophylls a and b of Leaf Extracts in Different Solvents. Analysis. 1983, 11, 591–592. [Google Scholar] [CrossRef]
- Zhao, W.; Zheng, Z.; Zhang, J.; Roger, S.-F.; Luo, X. Allelopathically inhibitory effects of eucalyptus extracts on the growth of Microcystis aeruginosa. Chemosphere 2019, 225, 424–433. [Google Scholar] [CrossRef] [PubMed]
- Ding, J.; Chen, B.; Zhang, Y.; Ye, X.; Li, Y.; Zhou, D.; Ding, Y.; Zhu, W.; Zhang, H. Effects of poly (1, 4-butanediol succinate) carrier on the nitrogen removal performance and microbial community of sequencing batch reactors. J. Clean. Prod. 2021, 291, 125279. [Google Scholar] [CrossRef]
- Zhang, Q.; Wu, J.; Yu, Y.-Y.; He, Y.-J.; Huang, Y.; Fan, N.-S.; Huang, B.-C.; Jin, R.-C. Microbial and genetic responses of anammox process to the successive exposure of different antibiotics. Chem. Eng. J. 2021, 420, 127576. [Google Scholar] [CrossRef]
- Tian, Z.; Palomo, A.; Zhang, H.; Luan, X.; Liu, R.; Awad, M.; Smets, B.F.; Zhang, Y.; Yang, M. Minimum influent concentrations of oxytetracycline, streptomycin and spiramycin in selecting antibiotic resistance in biofilm type wastewater treatment systems. Sci. Total Environ. 2020, 720, 137531. [Google Scholar] [CrossRef]
- Xiang, S.; Han, Y.; Jiang, C.; Li, M.; Wei, L.; Fu, J.; Zhu, L. Composite biologically active filter (BAF) with zeolite, granular activated carbon, and suspended biological carrier for treating algae-laden raw water. J. Water Process Eng. 2021, 42, 102188. [Google Scholar] [CrossRef]
- Li, H.; Zheng, F.; Wang, J.; Zhou, J.; Huang, X.; Chen, L.; Hu, P.; Gao, J.-m.; Zhen, Q.; Bashir, S.; et al. Facile preparation of zeolite-activated carbon composite from coal gangue with enhanced adsorption performance. Chem. Eng. J. 2020, 390, 124513. [Google Scholar] [CrossRef]
- Wang, X.; Szeto, Y.T.; Jiang, C.; Wang, X.; Tao, Y.; Tu, J.; Chen, J. Effects of Dracontomelon duperreanum leaf litter on the growth and photosynthesis of Microcystis aeruginosa. Bull. Environ. Contam. Toxicol. 2018, 100, 690–694. [Google Scholar] [CrossRef]
- Zhou, S.; Shao, Y.; Gao, N.; Deng, Y.; Qiao, J.; Ou, H.; Deng, J. Effects of different algaecides on the photosynthetic capacity, cell integrity and microcystin-LR release of Microcystis aeruginosa. Sci. Total Environ. 2013, 463, 111–119. [Google Scholar] [CrossRef]
- Li, J.; Hu, J.; Cao, L.; Yuan, Y. Growth, physiological responses and microcystin-production/-release dynamics of Microcystis aeruginosa exposed to various luteolin doses. Ecotoxicol. Environ. Saf. 2020, 196, 110540. [Google Scholar] [CrossRef]
- Yang, Y.; Zhang, Y.; Li, Z.; Zhao, Z.; Quan, X.; Zhao, Z. Adding granular activated carbon into anaerobic sludge digestion to promote methane production and sludge decomposition. J. Clean. Prod. 2017, 149, 1101–1108. [Google Scholar] [CrossRef]
- Peng, H.; Zhang, Y.; Tan, D.; Zhao, Z.; Zhao, H.; Quan, X. Roles of magnetite and granular activated carbon in improvement of anaerobic sludge digestion. Bioresour. Technol. 2018, 249, 666–672. [Google Scholar] [CrossRef] [PubMed]
- Wang, X.; Wang, J. Removal of nitrate from groundwater by heterotrophic denitrification using the solid carbon source. Sci. China Ser. B Chem. 2009, 52, 236–240. [Google Scholar] [CrossRef]
- Chen, W.; Westerhoff, P.; Leenheer, J.A.; Booksh, K. Fluorescence excitation−emission matrix regional integration to quantify spectra for dissolved organic matter. Environ. Sci. Technol. 2003, 37, 5701–5710. [Google Scholar] [CrossRef] [PubMed]
- Zhang, H.; Li, X.; Yu, B.; Wang, J.; Lu, S.; Zhong, Y.; Ding, J. Fabrication of amorphous carbon-based zinc oxide for efficient capture of intact Microcystis aeruginosa: Lysis in sedimentation process. J. Environ. Chem. Eng. 2022, 10, 108793. [Google Scholar] [CrossRef]
- Vaz-Moreira, I.; Nunes, O.C.; Manaia, C.M. Ubiquitous and persistent Proteobacteria and other Gram-negative bacteria in drinking water. Sci. Total Environ. 2017, 586, 1141–1149. [Google Scholar] [CrossRef]
- Becerra-Castro, C.; Macedo, G.; Silva, A.M.; Manaia, C.M.; Nunes, O.C. Proteobacteria become predominant during regrowth after water disinfection. Sci. Total Environ. 2016, 573, 313–323. [Google Scholar] [CrossRef]
- Pishgar, R.; Dominic, J.A.; Sheng, Z.; Tay, J.H. Denitrification performance and microbial versatility in response to different selection pressures. Bioresour. Technol. 2019, 281, 72–83. [Google Scholar] [CrossRef]
- Huang, Y.; Yang, H.; Li, K.; Meng, Q.; Wang, S.; Wang, Y.; Zhu, P.; Niu, Q.; Yan, H.; Li, X.; et al. Red mud conserved compost nitrogen by enhancing nitrogen fixation and inhibiting denitrification revealed via metagenomic analysis. Bioresour. Technol. 2022, 346, 126654. [Google Scholar] [CrossRef]
- Zhang, Q.; Zhang, X.; Bai, Y.-H.; Xia, W.-J.; Ni, S.-K.; Wu, Q.-Y.; Fan, N.-S.; Huang, B.-C.; Jin, R.-C. Exogenous extracellular polymeric substances as protective agents for the preservation of anammox granules. Sci. Total Environ. 2020, 747, 141464. [Google Scholar] [CrossRef]
- Li, Y.; Zhang, Y.; Xu, Z.; Quan, X.; Chen, S. Enhancement of sludge granulation in anaerobic acetogenesis by addition of nitrate and microbial community analysis. Biochem. Eng. J. 2015, 95, 104–111. [Google Scholar] [CrossRef]
- Chen, Q.; Li, T.; Gui, M.; Liu, S.; Zheng, M.; Ni, J. Effects of ZnO nanoparticles on aerobic denitrification by strain Pseudomonas stutzeri PCN-1. Bioresour. Technol. 2017, 239, 21–27. [Google Scholar] [CrossRef] [PubMed]








| NH4+-N (mg/L) | NO2−-N (mg/L) | NO3−-N(mg/L) | Algae Density (108 Cell/L) |
|---|---|---|---|
| 15 ± 0.58 | 0 | 5 ± 0.42 | 1.65 ± 0.64 |
| Sample | Sequence | Chao1 | ACE | Simpson | Shannon |
|---|---|---|---|---|---|
| BAF0 | 44,677 | 446.0 | 412.9 | 0.9510 | 5.7765 |
| BAF1 | 45,474 | 744.3 | 689.2 | 0.9841 | 7.4083 |
| BAF2 | 51,531 | 835.3 | 753.6 | 0.9716 | 7.0655 |
Disclaimer/Publisher’s Note: The statements, opinions and data contained in all publications are solely those of the individual author(s) and contributor(s) and not of MDPI and/or the editor(s). MDPI and/or the editor(s) disclaim responsibility for any injury to people or property resulting from any ideas, methods, instructions or products referred to in the content. |
© 2023 by the authors. Licensee MDPI, Basel, Switzerland. This article is an open access article distributed under the terms and conditions of the Creative Commons Attribution (CC BY) license (https://creativecommons.org/licenses/by/4.0/).
Share and Cite
Ding, J.; Meng, Y.; Lu, S.; Peng, Y.; Yan, W.; Li, W.; Hu, J.; Ye, T.; Zhong, Y.; Zhang, H. The Treatment of Aquaculture Wastewater with Biological Aerated Filters: From the Treatment Process to the Microbial Mechanism. Toxics 2023, 11, 478. https://doi.org/10.3390/toxics11060478
Ding J, Meng Y, Lu S, Peng Y, Yan W, Li W, Hu J, Ye T, Zhong Y, Zhang H. The Treatment of Aquaculture Wastewater with Biological Aerated Filters: From the Treatment Process to the Microbial Mechanism. Toxics. 2023; 11(6):478. https://doi.org/10.3390/toxics11060478
Chicago/Turabian StyleDing, Jiafeng, Yunjuan Meng, Shihuan Lu, Yiwen Peng, Wen Yan, Wenbing Li, Jinchun Hu, Ting Ye, Yuchi Zhong, and Hangjun Zhang. 2023. "The Treatment of Aquaculture Wastewater with Biological Aerated Filters: From the Treatment Process to the Microbial Mechanism" Toxics 11, no. 6: 478. https://doi.org/10.3390/toxics11060478
APA StyleDing, J., Meng, Y., Lu, S., Peng, Y., Yan, W., Li, W., Hu, J., Ye, T., Zhong, Y., & Zhang, H. (2023). The Treatment of Aquaculture Wastewater with Biological Aerated Filters: From the Treatment Process to the Microbial Mechanism. Toxics, 11(6), 478. https://doi.org/10.3390/toxics11060478
