Microplastic Quantification in Aquatic Birds: Biomonitoring the Environmental Health of the Panjkora River Freshwater Ecosystem in Pakistan
Abstract
:1. Introduction
2. Material and Methods
2.1. Duckling Rearing and Sacrifice
Sample Preparation (Digestion, Density Separation, and Filtration)
2.2. Microplastics Observation, Identification, and Quantification
2.3. Background Contamination Control and Limitations of The Study
3. Results and Discussion
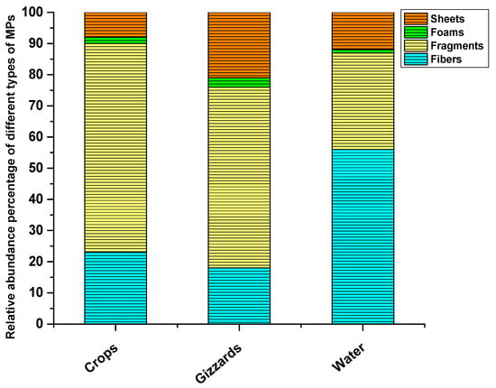
3.1. Shapes of Detected MPs
3.2. Sizes of Detected MPs
3.3. Detected Polymer Types of MPs
| Particles | Region | Detected Particles | Reference |
|---|---|---|---|
| Pakistan | MPs found with a mean of 44.6 ± 15.8 MPs/crop and 57.05 ± 18.7 MPs/gizzard of duck | Present Study | |
| Pakistan | Extracted 33.25 ± 17.8 MPs/gizzard, 17.8 ±12.1 MPs/crop of bird | [12] | |
| Indonesia | Found 27 to 41 MPs/duck | [28] | |
| Virginia, USA | Found 0 to 1.75 MPs/gram of gizzard of Virginia fowl | [29] | |
| Zurich and Brienz, Switzerland | MPs were present in eight of the nine birds | [30] | |
| South Wales, UK | MPs were found in 50% of regurgitates (n = 72) of Eurasian dipper (Cinclus cinclus) | [31] | |
| Canada | MPs found in 9.7% of freshwater species | [32] | |
| North America | MP fibers were found in the GI tracts of over 86% of the chicks of diving birds | [33] | |
| Norway | 15–106 MPs from northern fulmar (Fulmarus glacialis) | [37] | |
| Antarctic regions (Bird Island, South Georgia and Signy Island, South Orkney Islands) | Retrieved 19 microplastic particles from the scat of penguins | [47] | |
| Size | Region | Dominant size range detected | Reference |
| Pakistan | The majority (63%) of the detected MP particles were in the size range of 500–300 µm in crops; the dominant (55%) size range of detected MPs in gizzard was 150–50 µm | Present Study | |
| Pakistan | 300–500 µm | [12] | |
| China | More than 90% of particles were smaller than 5 mm | [45] | |
| Particles from bird GIT were smaller than 1000 µm | [46] | ||
| Antarctic regions (Bird Island, South Georgia and Signy Island, South Orkney Islands) | The majority of the discovered particles from the scat of penguins were greater than 500 µm | [47] | |
| China | The majority of the particles were in the 500–1000 µm size range | [48] | |
| China | Of the total particles from the GIT of the birds collected, 92.9% were particles smaller than 5 mm | [49] | |
| Indonesia | The majority (68.7%) of the little-black cormorant’s (Phalacrocorax sulcirostris) GIT-extracted particles were in the 100–1000 µm size range | [50] | |
| Shape | Region | Dominant shape type detected | Reference |
| Pakistan | 67% of total detected MPs from crops were fragments while 58% of detected MPs were fragments in gizzards | Present Study | |
| Pakistan | Fragments (64%) in gizzards Fragments (53%) in crops | [12] | |
| The majority (72.9%) of microplastic particles detected in avian gizzards and crops were fragments. | [43] | ||
| Japan | Fragments as the predominant kind of microplastics detected in their investigation of wild birds in Japan | [44] | |
| China | In this study, 54.9% were fragments, while 37.4% were fibers. | [45] | |
| Poland | Fragments made up only 10% of the total particles and fiber was predominant (84%) among the particles in common blackbirds (Turdus merula) and song thrushes (Turdus philomelos). | [46] | |
| Polymer | Region | Polymer types detected | Reference |
| Low-density polyethylene (LDPE) had the greatest polymer detection rate (39.2%), followed by polyvinyl chloride (PVC) (28.3%), and high-density polyethylene (HDPE) (22.7%); 6.6% of the material was polystyrene, 2.5% was co-polymerized polypropylene, and 0.7% was polypropylene Homopolymer | Present study | ||
| Pakistan | (PVC) with 51.2%, low-density polyethylene (LDPE) (30.7%), polystyrene (PS) (13.6%), polypropylene homopolymer (PPH) (4.5%) | [12] | |
| Central Florida, USA | Polyethylene terephthalate (16%), ethylene-co-polypropylene (11%), and cellulose were shown to be more prevalent than the previous two types of polymers, making up 37% of the total particles | [26] | |
| Antarctic regions (Bird Island, South Georgia and Signy Island, South Orkney Islands) | Discovered several polymers, including polypropylene, polyethylene, polyacrylonitrile, and polyacrylate | [47] | |
| China | Polyethylene terephthalate (51%), epoxy resin (19%), polyethylene (12%), and alkyd resin (8%) | [48] | |
| Norway | Polypropylene, polystyrene, and polyethylene variety; polyethylene was identified as the most prevalent form of polymer | [52] |
4. Conclusions
Author Contributions
Funding
Institutional Review Board Statement
Informed Consent Statement
Data Availability Statement
Acknowledgments
Conflicts of Interest
References
- Arowojolu, I.M.; de Oliveira Alves, I.; Benson, N.U.; Sodré, F.F. Microplastics in aquatic environments: A growing, unresolved concern. Chem. Total Environ. 2023, 3, 8–22. [Google Scholar]
- Ferreira, H.C.; Lôbo-Hajdu, G. Microplastics in coastal and oceanic surface waters and their role as carriers of pollutants of emerging concern in marine organisms. Mar. Environ. Res. 2023, 188, 106021. [Google Scholar] [CrossRef] [PubMed]
- Bilal, M.; Qadir, A.; Yaqub, A.; Hassan, H.U.; Irfan, M.; Aslam, M. Microplastics in water, sediments, and fish at Alpine River, originating from the Hindu Kush Mountain, Pakistan: Implications for conservation. Environ. Sci. Pollut. Res. 2022, 30, 727–738. [Google Scholar] [CrossRef] [PubMed]
- de Oliveira, C.R.S.; da Silva Júnior, A.H.; Mulinari, J.; Ferreira, A.J.S.; da Silva, A. Fibrous microplastics released from textiles: Occurrence, fate, and remediation strategies. J. Contam. Hydrol. 2023, 256, 104169. [Google Scholar] [CrossRef]
- Zitouni, N.; Cappello, T.; Missawi, O.; Boughattas, I.; De Marco, G.; Belbekhouche, S.; Mokni, M.; Alphonse, V.; Guerbej, H.; Bousserrhine, N.; et al. Metabolomic disorders unveil hepatotoxicity of environmental microplastics in wild fish Serranus scriba (Linnaeus 1758). Sci. Total Environ. 2022, 10, 155872. [Google Scholar] [CrossRef]
- Yin, L.; Du, L.; Wen, X.; Huang, D.; Xiao, R.; Wang, Z.; Su, H.; Huang, J.; Wang, G.; Tao, J.; et al. Occurrence and Effects of Microplastics in Lake Ecosystems: Particular Focus on Migration in Water and Food Chains. Rev. Environ. Cont. Toxicol. 2023, 261, 11. [Google Scholar] [CrossRef]
- Bilal, M.; Ul Hassan, H.; Siddique, M.A.M.; Khan, W.; Gabol, K.; Ullah, I.; Sultana, S.; Abdali, U.; Mahboob, S.; Khan, M.S.; et al. Microplastics in the Surface Water and Gastrointestinal Tract of Salmo trutta from the Mahodand Lake, Kalam Swat in Pakistan. Toxics 2023, 11, 3. [Google Scholar] [CrossRef]
- Hanslik, L. Microplastics in Limnic Ecosystems-Investigation of Biological Fate and Effects of Microplastic Particles and Associated Contaminants in Zebrafish (Danio rerio). Ph.D. Thesis, Heidelberg University, Heidelberg, Germany, 2020. [Google Scholar]
- Irfan, M.; Qadir, A.; Mumtaz, M.; Ahmad, S.R. An unintended challenge of microplastic pollution in the urban surface water system of Lahore, Pakistan. Environ. Sci. Pollut. Res. 2020, 27, 16718–16730. [Google Scholar] [CrossRef]
- Bilal, M.; Ul Hassan, H.; Taj, M.; Rafiq, N.; Nabi, G.; Ali, A.; Gabol, K.; Shah, M.I.A.; Ghaffar, R.A.; Sohail, M.; et al. Biological Magnification of Microplastics: A Look at the Induced Reproductive Toxicity from Simple Invertebrates to Complex Vertebrates. Water 2023, 15, 2831. [Google Scholar] [CrossRef]
- Dellisanti, W.; Leung, M.M.; Lam, K.W.; Wang, Y.; Hu, M.; Lo, H.S.; Fang, J.K. A short review on the recent method development for extraction and identification of microplastics in mussels and fish, two major groups of seafood. Mar. Pollut. Bull. 2023, 186, 114221. [Google Scholar] [CrossRef]
- Bilal, M.; Taj, M.; Ul Hassan, H.; Yaqub, A.; Shah, M.I.A.; Sohail, M.; Rafiq, N.; Atique, U.; Abbas, M.; Sultana, S.; et al. First Report on Microplastics Quantification in Poultry Chicken and Potential Human Health Risks in Pakistan. Toxics 2023, 11, 612. [Google Scholar] [CrossRef] [PubMed]
- Barboza, L.G.A.; Lopes, C.; Oliveira, P.; Bessa, F.; Otero, V.; Henriques, B.; Raimundo, J.; Caetano, M.; Vale, C.; Guilhermino, L. Microplastics in Wild Fish from North East Atlantic Ocean and Its Potential for Causing Neurotoxic Effects, Lipid Oxidative Damage, and Human Health Risks Associated with Ingestion Exposure. Sci. Total Environ. 2020, 717, 134625. [Google Scholar] [CrossRef] [PubMed]
- Bange, A.; Backes, A.; Garthe, S.; Schwemmer, P. Prey choice and ingestion of microplastics by common shelducks and common eiders in the Wadden Sea World Heritage Site. Mar. Biol. 2023, 170, 54. [Google Scholar] [CrossRef]
- Cole, M.; Lindeque, P.; Fileman, E.; Halsband, C.; Galloway, T.S. The impact of polystyrene microplastics on feeding, function and fecundity in the marine copepod Calanus helgolandicus. Environ. Sci. Technol. 2015, 49, 1130–1137. [Google Scholar] [CrossRef] [PubMed]
- Khan, M.L.; Hassan, H.U.; Khan, F.U.; Ghaffar, R.A.; Rafiq, N.; Bilal, M.; Khooharo, A.R.; Ullah, S.; Jafari, H.; Nadeem, K.; et al. Effects of microplastics in freshwater fishes health and the implications for human health. Braz. J. Biol. 2023, 84, e272524. [Google Scholar] [CrossRef] [PubMed]
- Bilal, M.; Ali, H.; Ullah, R.; Hussain, I.; Khan, B.A. Overview of Microplastics Threat in Aquatic Animals Since 1960 to 2020. Int. J. Res. Anal. Rev. 2021, 8, 950–964. [Google Scholar]
- Porcino, N.; Bottari, T.; Mancuso, M. Is wild marine biota affected by microplastics? Animals 2022, 13, 147. [Google Scholar] [CrossRef]
- Neves, D.; Sobral, P.; Ferreira, J.L.; Pereira, T. Ingestion of microplastics by commercial fish off the Portuguese coast. Mar. Pollut. Bull. 2015, 101, 119–126. [Google Scholar] [CrossRef]
- Provencher, J.F.; Vermaire, J.C.; Avery-Gomm, S.; Braune, B.M.; Mallory, M.L. Garbage in guano? Microplastic debris found in faecal precursors of seabirds known to ingest plastics. Sci. Total Environ. 2018, 644, 1477–1484. [Google Scholar] [CrossRef]
- Ziccardi, L.M.; Edgington, A.; Hentz, K.; Kulacki, K.J.; Kane Driscoll, S. Microplastics as vectors for bioaccumulation of hydrophobic organic chemicals in the marine environment: A state-of-the-science review. Environ. Toxicol. Chem. 2016, 35, 1667–1676. [Google Scholar] [CrossRef]
- Rummel, C.D.; Escher, B.I.; Sandblom, O.; Plassmann, M.M.; Arp, H.P.H.; MacLeod, M.; Jahnke, A. Effects of leachates from UV-weathered microplastic in cell-based bioassays. Environ. Sci. Technol. 2019, 53, 9214–9223. [Google Scholar] [CrossRef] [PubMed]
- Bour, A.; Avio, C.G.; Gorbi, S.; Regoli, F.; Hylland, K. Presence of microplastics in benthic and epibenthic organisms: Influence of habitat, feeding mode and trophic level. Environ. Pollut. 2018, 243, 1217–1225. [Google Scholar] [CrossRef] [PubMed]
- Bond, A.L. Diet changes in breeding herring gulls (Larus argentatus) in Witless Bay, Newfoundland and Labrador, Canada, over 40 years. Waterbirds 2016, 39, 152–158. [Google Scholar] [CrossRef]
- Masiá, P.; Ardura, A.; Garcia-Vazquez, E. Microplastics in special protected areas for migratory birds in the Bay of Biscay. Mar. Pollut. Bull. 2019, 146, 993–1001. [Google Scholar] [CrossRef]
- Carlin, J.; Craig, C.; Little, S.; Donnelly, M.; Fox, D.; Zhai, L.; Walters, L. Microplastic accumulation in the gastrointestinal tracts in birds of prey in central Florida, USA. Environ. Pollut. 2020, 264, 114633. [Google Scholar] [CrossRef]
- Wang, L.; Nabi, G.; Yin, L.; Wang, Y.; Li, S.; Hao, Z.; Li, D. Birds and plastic pollution: Recent advances. Avian Res. 2021, 12, 1–9. [Google Scholar] [CrossRef]
- Susanti, R.; Yuniastuti, A.; Fibriana, F. The Evidence of microplastic contamination in Central Javanese local ducks from intensive animal husbandry. Water Air Soil Pollut. 2021, 232, 178. [Google Scholar] [CrossRef]
- Bustamante, T. Assessing the Presence and Concentration of Microplastics in the Gizzards of Virginia Waterfowl. Ph.D. Thesis, University of Mary Washington, Washington, VA, USA, 2021. [Google Scholar]
- Faure, F.; Corbaz, M.; Baecher, H.; de Alencastro, L.F. Pollution due to plastics and microplastics in Lake Geneva and in the Mediterranean Sea. Arch. Des. Sci. 2012, 65, 157–164. [Google Scholar]
- D’Souza, J.M.; Windsor, F.M.; Santillo, D.; Ormerod, S.J. Food web transfer of plastics to an apex riverine predator. Glob. Chang. Biol. 2020, 26, 3846–3857. [Google Scholar] [CrossRef]
- Holland, E.; Mallory, M.; Shutler, D. Plastics and other anthropogenic debris in freshwater birds from Canada. Sci. Total Environ. 2016, 571, 251–258. [Google Scholar] [CrossRef]
- Brookson, C.B.; de Solla, S.R.; Fernie, K.J.; Cepeda, M.; Rochmana, C.M. Microplastics in the diet of nestling double-crested cormorants (Phalacrocorax auritus), an obligate piscivore in a freshwater ecosystem. Can. J. Fish. Aquat. Sci. 2019, 76, 2156–2163. [Google Scholar] [CrossRef]
- Kühn, S.; Rebolledo, E.L.B.; van Franeker, J.A. Deleterious effects of litter on marine life. In Marine Anthropogenic Litter; Springer: Berlin/Heidelberg, Germany, 2015; pp. 75–116. [Google Scholar]
- Bond, A.L.; Provencher, J.F.; Daoust, P.-Y.; Lucas, Z.N. Plastic ingestion by fulmars and shearwaters at Sable Island, Nova Scotia, Canada. Mar. Pollut. Bull. 2014, 87, 68–75. [Google Scholar] [PubMed]
- Codina-García, M.; Militão, T.; Moreno, J.; González-Solís, J. Plastic debris in Mediterranean seabirds. Mar. Pollut. Bull. 2013, 77, 220–226. [Google Scholar]
- Herzke, D.; Anker-Nilssen, T.; Nøst, T.H.; Götsch, A.; Christensen-Dalsgaard, S.; Langset, M.; Fangel, K.; Koelmans, A.A. Negligible Impact of Ingested Microplastics on Tissue Concentrations of Persistent Organic Pollutants in Northern Fulmars off Coastal Norway. Environ. Sci. Technol. 2016, 50, 1924–1933. [Google Scholar] [CrossRef]
- Tanaka, K.; Takada, H.; Yamashita, R.; Mizukawa, K.; Fukuwaka, M.-A.; Watanuki, Y. Accumulation of plastic-derived chemicals in tissues of seabirds ingesting marine plastics. Mar. Pollut. Bull. 2013, 69, 219–222. [Google Scholar]
- Lindborg, V.A.; Ledbetter, J.F.; Walat, J.M.; Moffett, C. Plastic consumption and diet of Glaucous-winged Gulls (Larus glaucescens). Mar. Pollut. Bull. 2012, 64, 2351–2356. [Google Scholar]
- Kühn, S.; van Franeker, J.A. Plastic ingestion by the northern fulmar (Fulmarus glacialis) in Iceland. Mar. Pollut. Bull. 2012, 64, 1252–1254. [Google Scholar] [CrossRef]
- Lusher, A. Microplastics in the marine environment: Distribution, interactions and effects. In Marine Anthropogenic Litter; Springer: Berlin/Heidelberg, Germany, 2015; pp. 245–307. [Google Scholar]
- Reynolds, C.; Ryan, P.G. Micro-plastic ingestion by waterbirds from contaminated wetlands in South Africa. Mar. Pollut. Bull. 2018, 126, 330–333. [Google Scholar]
- Collard, F.; Bangjord, G.; Herzke, D.; Gabrielsen, G.W. Plastic burdens in northern fulmars from Svalbard: Looking back 25 years. Mar. Pollut. Bull. 2022, 185, 114333. [Google Scholar]
- Tokunaga, Y.; Okochi, H.; Tani, Y.; Niida, Y.; Tachibana, T.; Saigawa, K.; Katayama, K.; Moriguchi, S.; Kato, T.; Hayama, S.-I. Airborne Microplastics Detected in the Lungs of Wild Birds in Japan. Chemosphere 2022, 321, 4276259. [Google Scholar]
- Zhao, S.; Zhu, L.; Li, D. Microscopic anthropogenic litter in terrestrial birds from Shanghai, China: Not only plastics but also natural fibers. Sci. Total Environ. 2016, 550, 1110–1115. [Google Scholar] [PubMed]
- Deoniziak, K.; Cichowska, A.; Nied’zwiecki, S.; Pol, W. Thrushes (Aves: Passeriformes) as indicators of microplastic pollution interrestrial environments. Sci. Total Environ. 2022, 853, 158621. [Google Scholar]
- Bessa, F.; Ratcliffe, N.; Otero, V.; Sobral, P.; Marques, J.C.; Waluda, C.M.; Trathan, P.N.; Xavier, J.C. Microplastics in gentoo penguins from the Antarctic region. Sci. Rep. 2019, 9, 14191. [Google Scholar]
- Liu, S.L.; Jian, M.F.; Zhou, L.Y.; Li, W.H.; Wu, X.E.; Rao, D. Pollution characteristics of microplastics in migratory bird habitats located within Poyang Lake wetlands. Huan Jing Ke Xue Huanjing Kexue 2019, 40, 2639–2646. [Google Scholar] [PubMed]
- Zhu, C.; Li, D.; Sun, Y.; Zheng, X.; Peng, X.; Zheng, K.; Hu, B.; Luo, X.; Mai, B. Plastic debris in marine birds from an island located in the South China Sea. Mar. Pollut. Bull. 2019, 149, 110566. [Google Scholar]
- Susanti, N.K.Y.; Mardiastuti, A.; Hariyadi, S. Microplastics in Digestive System of Little-black cormorant (Phalacrocorax sulcirostris) in Pulau Rambut Sanctuary. In IOP Conference Series: Earth and Environmental Science; IOP Publishing: Bristol, UK, 2022; Volume 950, p. 012003. [Google Scholar]
- Zhao, S.; Wang, T.; Zhu, L.; Xu, P.; Wang, X.; Gao, L.; Li, D. Analysis of suspended microplastics in the Changjiang Estuary:Implications for riverine plastic load to the ocean. Water Res. 2019, 161, 560–569. [Google Scholar]
- Collard, F.; Husum, K.; Eppe, G.; Malherbe, C.; Hallanger, I.G.; Divine, D.V.; Gabrielsen, G.W. Anthropogenic particles in sediment from an Arctic fjord. Sci. Total Environ. 2021, 772, 145575. [Google Scholar]
- Allahvaisi, S. Polypropylene in the industry of food packaging. In Polypropylene; Dogan, F., Ed.; IntechOpen: London, UK, 2012; pp. 3–22. [Google Scholar]






| Correlations | ||||
|---|---|---|---|---|
| Crops | Gizzards | Water | ||
| Water | Pearson Correlation | 0.242 | 0.058 | 1 |
| Sig. | 0.303 | 0.809 | ||
| N | 20 | 20 | 20 | |
Disclaimer/Publisher’s Note: The statements, opinions and data contained in all publications are solely those of the individual author(s) and contributor(s) and not of MDPI and/or the editor(s). MDPI and/or the editor(s) disclaim responsibility for any injury to people or property resulting from any ideas, methods, instructions or products referred to in the content. |
© 2023 by the authors. Licensee MDPI, Basel, Switzerland. This article is an open access article distributed under the terms and conditions of the Creative Commons Attribution (CC BY) license (https://creativecommons.org/licenses/by/4.0/).
Share and Cite
Bilal, M.; Yaqub, A.; Hassan, H.U.; Akhtar, S.; Rafiq, N.; Ali Shah, M.I.; Hussain, I.; Salman Khan, M.; Nawaz, A.; Manoharadas, S.; et al. Microplastic Quantification in Aquatic Birds: Biomonitoring the Environmental Health of the Panjkora River Freshwater Ecosystem in Pakistan. Toxics 2023, 11, 972. https://doi.org/10.3390/toxics11120972
Bilal M, Yaqub A, Hassan HU, Akhtar S, Rafiq N, Ali Shah MI, Hussain I, Salman Khan M, Nawaz A, Manoharadas S, et al. Microplastic Quantification in Aquatic Birds: Biomonitoring the Environmental Health of the Panjkora River Freshwater Ecosystem in Pakistan. Toxics. 2023; 11(12):972. https://doi.org/10.3390/toxics11120972
Chicago/Turabian StyleBilal, Muhammad, Atif Yaqub, Habib Ul Hassan, Sohail Akhtar, Naseem Rafiq, Muhammad Ishaq Ali Shah, Ibrar Hussain, Muhammad Salman Khan, Asad Nawaz, Salim Manoharadas, and et al. 2023. "Microplastic Quantification in Aquatic Birds: Biomonitoring the Environmental Health of the Panjkora River Freshwater Ecosystem in Pakistan" Toxics 11, no. 12: 972. https://doi.org/10.3390/toxics11120972
APA StyleBilal, M., Yaqub, A., Hassan, H. U., Akhtar, S., Rafiq, N., Ali Shah, M. I., Hussain, I., Salman Khan, M., Nawaz, A., Manoharadas, S., Rizwan Khan, M., Arai, T., & Ríos-Escalante, P. D. L. (2023). Microplastic Quantification in Aquatic Birds: Biomonitoring the Environmental Health of the Panjkora River Freshwater Ecosystem in Pakistan. Toxics, 11(12), 972. https://doi.org/10.3390/toxics11120972

