Machine Learning-Based Early Warning Level Prediction for Cyanobacterial Blooms Using Environmental Variable Selection and Data Resampling
Abstract
1. Introduction
2. Materials and Methods
2.1. Site Description
2.2. Data Acquisition
2.3. Feature Selection for Algal Alert Levels
2.4. Resampling Methods for Imbalanced Datasets
2.5. Construction of Machine Learning Models and Evaluation of Model Accuracy
3. Results and Discussion
3.1. Descriptive Analysis of Cyanobacteria and Nutrients in the BJR
3.2. Selection of Input Variables and Generation of Synthetic Data
3.3. Improvement in Data Imbalance Using Synthetic Data
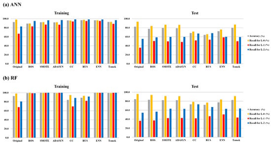
3.4. Comparison of Model Performance According to the Feature Selection and Resampling Methods
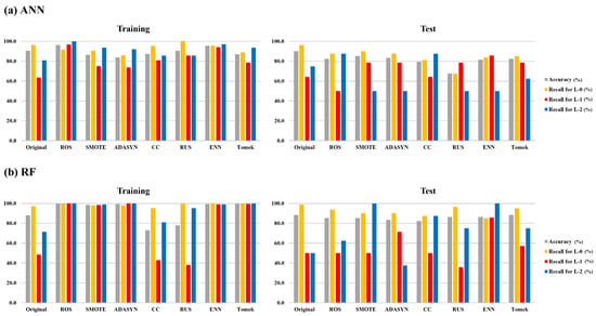
3.5. Comparison of Model Performance According to Both Feature Selection and Resampling Methods
4. Conclusions
- Applying resampling methods to the imbalanced classes observed in the original data allowed the collection of data with balanced distributions for all classes, thereby preventing biased learning of the model and improving its accuracy.
- Resolving the class imbalance via resampling methods proved to be more effective in improving the accuracy of the model than adjusting the input variables via feature selection methods.
- In the RF model, the accuracy of the model with the resampling method demonstrated the highest performance, whereas in the ANN model, the predictive performance of the model incorporating both feature selection and resampling methods appeared to be superior.
- When considering non-linear models such as machine learning for prediction, it is important to evaluate the availability of feature selection and resampling methods according to the model type.
- The characteristics and quantity of the original data can serve as important factors when selecting the feature selection and resampling methods. In addition, appropriate feature selection and resampling methods can be applied as useful tools for constructing machine learning models.
Supplementary Materials
Author Contributions
Funding
Institutional Review Board Statement
Informed Consent Statement
Data Availability Statement
Acknowledgments
Conflicts of Interest
References
- Anderson, D.M.; Glibert, P.M.; Burkholder, J.M. Harmful algal blooms and eutrophication: Nutrient sources, composition, and consequences. Estuaries 2002, 25, 704–726. [Google Scholar] [CrossRef]
- Grattan, L.M.; Holobaugh, S.; Morris, J.G. Harmful algal blooms and public health. Harmful Algae 2016, 57, 2–8. [Google Scholar] [CrossRef] [PubMed]
- Gobler, C.J. Climate change and harmful algal blooms: Insights and perspective. Harmful Algae 2020, 91, 101731. [Google Scholar] [CrossRef] [PubMed]
- O’Neil, J.M.; Davis, T.W.; Burford, M.A.; Gobler, C.J. The rise of harmful cyanobacteria blooms: The potential roles of eutrophication and climate change. Harmful Algae 2012, 14, 313–334. [Google Scholar] [CrossRef]
- Chen, C.; Liang, J.; Yang, G.; Sun, W. Spatio-temporal distribution of harmful algal blooms and their correlations with marine hydrological elements in offshore areas, China. Ocean. Coast. Manag. 2023, 238, 106554. [Google Scholar] [CrossRef]
- Qin, B.; Zhu, G.; Gao, G.; Zhang, Y.; Li, W.; Paerl, H.W. A Drinking Water Crisis in Lake Taihu, China: Linkage to Climatic Variability and Lake Management. Environ. Manag. 2010, 45, 105–112. [Google Scholar] [CrossRef] [PubMed]
- Perrot, T.; Rossi, N.; Menesguen, A.; Dumas, F. Modelling green macroalgal blooms on the coasts of Brittany, France to enhance water quality management. J. Mar. Syst. 2014, 132, 38–53. [Google Scholar] [CrossRef]
- Scanlan, C.M.; Foden, J.; Wells, E.; Best, M.A. The monitoring of opportunistic macroalgal blooms for the water framework directive. Mar. Pollut. Bull. 2007, 55, 162–171. [Google Scholar] [CrossRef]
- Viaroli, P.; Bartoli, M.; Azzoni, R.; Giordani, G.; Mucchino, C.; Naldi, M.; Nizzoli, D.; Taje, L. Nutrient and iron limitation to Ulva blooms in a eutrophic coastal lagoon (Sacca di Goro, Italy). Hydrobiologia 2005, 550, 57–71. [Google Scholar] [CrossRef]
- Paerl, H.W.; Otten, T.G. Harmful Cyanobacterial Blooms: Causes, Consequences, and Controls. Microb. Ecol. 2013, 4, 995–1010. [Google Scholar] [CrossRef]
- Cha, Y.; Park, S.S.; Kim, K.; Byeon, M.; Stow, C.A. Probabilistic prediction of cyanobacteria abundance in a Korean reservoir using a Bayesian Poisson model. Water Resour. Res. 2014, 50, 2518–2532. [Google Scholar] [CrossRef]
- Newcombe, G.; House, J.; Ho, L.; Baker, P.; Burch, M. Management Strategies for Cyanobacteria (Blue-Green Algae): A Guide for Water Utilities; Research Report No. 74; Water Quality Research Australia: Adelaide, Australia, 2010; ISBN 18766 16245. [Google Scholar]
- Zamyadi, A.; Choo, F.; Newcombe, G.; Stuetz, R.; Henderson, R.K. A review of monitoring technologies for real-time management of cyanobacteria: Recent advances and future direction. Trends Anal. Chem. 2016, 85, 83–96. [Google Scholar] [CrossRef]
- Gamarro, E.G.; Englander, K. Joint FAO-IOC-IAEA technical guidance for the implementation of early warning systems for harmful algal blooms. FAO Fish. Aquac. Tech. Pap. 2023, 690, I-202. [Google Scholar]
- Izydorczyk, K.; Carpentier, C.; Mrówczyński, J.; Wagenvoort, A.; Jurczak, T.; Tarczyńska, M. Establishment of an Alert Level Framework for cyanobacteria in drinking water resources by using the Algae Online Analyser for monitoring cyanobacterial chlorophyll a. Water Res. 2009, 43, 989–996. [Google Scholar] [CrossRef]
- Park, Y.; Pyo, J.; Kwon, Y.S.; Cha, Y.; Lee, H.; Kang, T.; Cho, K.H. Evaluating physico-chemical influences on cyanobacterial blooms using hyperspectral images in inland water, Korea. Water Res. 2017, 126, 319–328. [Google Scholar] [CrossRef] [PubMed]
- Shin, J.K.; Park, Y. Spatiotemporal and longitudinal variability of hydro-meteorology, Basic water quality and dominant algal assemblages in the eight weir pools of regulated river (Nakdong). Korean J. Ecol. Environ. 2018, 51, 268–286. [Google Scholar] [CrossRef]
- Shiffrin, R.M. Drawing causal inference from big data. Proc. Natl. Acad. Sci. USA 2016, 113, 7308–7309. [Google Scholar] [CrossRef]
- Coad, P.; Cathers, B.; Ball, J.E.; Kadluczka, R. Proactive management of estuarine algal blooms using an automated monitoring buoy coupled with an artificial neural network. Environ. Model. Softw. 2014, 61, 393–409. [Google Scholar] [CrossRef]
- Park, Y.; Cho, K.H.; Park, J.; Cha, S.M.; Kim, J.H. Development of early-warning protocol for predicting chlorophyll-a concentration using machine learning models in freshwater and estuarine reservoirs, Korea. Sci. Total Environ. 2015, 502, 31–41. [Google Scholar] [CrossRef]
- Fu, B.; Wu, B.; Lü, Y.; Xu, Z.; Cao, J.; Niu, D.; Yang, G.; Zhou, Y. Three gorges project: Efforts and challenges for the environment. Prog. Phys. Geogr. 2010, 34, 741–754. [Google Scholar] [CrossRef]
- Shin, J.; Yoon, S.; Kim, Y.; Kim, T.; Go, B.; Cha, Y. Effects of class imbalance on resampling and ensemble learning for improved prediction of cyanobacteria blooms. Ecol. Inform. 2021, 61, 101202. [Google Scholar] [CrossRef]
- Avila, R.; Horn, B.; Moriarty, E.; Hodson, R.; Moltchanova, E. Evaluating statistical model performance in water quality prediction. J. Environ. Manag. 2018, 206, 910–919. [Google Scholar] [CrossRef] [PubMed]
- Chawla, N.V.; Japkowicz, N.; Kotcz, A. Editorial: Special issue on learning from imbalanced data sets. Assoc. Comput. Mach. 2004, 6, 1–6. [Google Scholar] [CrossRef]
- Sun, Y.; Wong, A.K.C.; Kamel, M.S. Classification of imbalanced data: A review. Int. J. Pattern Recognit. Artif. Intell. 2009, 23, 687–719. [Google Scholar] [CrossRef]
- Choi, J.; Kim, J.; Won, J.; Min, O. Modelling Chlorophyll-a concentration using deep neural networks considering extreme data imbalances and skewness. In Proceedings of the 2019 21st International Conference on Advanced Communication Technology (ICACT), Pyeongchang, Republic of Korea, 17–20 February 2019; pp. 631–634. [Google Scholar]
- Jeong, B.; Chapeta, M.R.; Kim, M.; Kim, J.; Shin, J.; Cha, Y. Machine learning-based on prediction of harmful algal blooms in water supply reservoirs. Water Qual. Res. J. 2022, 57, 304–318. [Google Scholar] [CrossRef]
- Bourel, M.; Segura, A.M.; Crisci, C.; López, G.; Sampognaro, L.; Vidal, V.; Kruk, C.; Piccini, C.; Perera, G. Machine learning methods for imbalanced data set for prediction of faecal contamination in beach waters. Water Res. 2021, 202, 117450. [Google Scholar] [CrossRef] [PubMed]
- Cha, Y.J.; Shim, M.P.; Kim, S.K. The Four Major Rivers Restoration Project. In Proceedings of the Water in the Green Economy in Practice: Towards Rio+20, UN-Water International Conference, Zaragoza, Spain, 3–5 October 2011; pp. 1–10. [Google Scholar]
- Kang, Y.J.; Lee, K.-L.; Im, T.H.; Lee, I.J.; Kim, S.; Han, K.-Y.; Ahn, J.M. Evaluation of water quality for the Nakdong River watershed using multivariate analysis. Environ. Technol. Innov. 2016, 5, 67–82. [Google Scholar]
- Back, S.; Pyo, J.; Pachepsky, Y.; Park, Y.; Ligaray, M.; Ahn, C.; Kim, Y.; Chun, J.; Cho, K.H. Identification and enumeration of cyanobacteria species using a deep neural network. Ecol. Indic. 2020, 115, 106395. [Google Scholar] [CrossRef]
- NIER (National Institute of Environmental Research). Annual Report on Algae (Green Algae) Occurrence and Response; Technical Report (11-1480000-001363-10); NIER: Incheon, Republic of Korea, 2021.
- Croxton, F.E.; Cowden, D.J. Applied General Statistics; Prentice-Hall: Hoboken, NJ, USA, 1939. [Google Scholar]
- Ross, B.C. Mutual information between discrete and continuous data sets. PLoS ONE 2014, 9, e87357. [Google Scholar] [CrossRef]
- Xu, T.; Coco, G.; Neale, M. A predictive model of recreational water quality based on adaptive synthetic sampling algorithms and machine learning. Water Res. 2020, 177, 115788. [Google Scholar] [CrossRef]
- Kim, J.H.; Shin, J.; Lee, H.; Lee, D.H.; Kang, J.; Cho, K.; Lee, Y.; Chon, K.; Baek, S.; Park, Y. Improving the performance of machine learning models for early warning of harmful algal blooms using an adaptive synthetic sampling method. Water Res. 2021, 207, 117821. [Google Scholar] [CrossRef] [PubMed]
- Shelke, M.S.; Deshmukh, P.R.; Shandilya, V.K. A review on imbalanced data handling using undersampling and oversampling technique. Int. J. Recent Trends Eng. Res. 2017, 3, 444–449. [Google Scholar]
- Liu, A.; Ghosh, J.; Martin, C. Generative Oversampling for Mining Imbalanced Datasets. DMIN 2007, 7, 66–72. [Google Scholar]
- Tahir, M.A.U.H.; Asghar, S.; Manzoor, A.; Noor, M.A. A classification model for class imbalance dataset using genetic programming. IEEE Access 2019, 7, 71013–71037. [Google Scholar] [CrossRef]
- Colton, D.; Hofmann, M. Sampling techniques to overcome class imbalance in a cyberbullying context. J. Comput.-Assist. Linguist. Res. 2019, 3, 21–40. [Google Scholar] [CrossRef][Green Version]
- Chatterjee, S.; Sarkar, S.; Dey, N.; Sen, S.; Goto, T.; Debnath, N.C. Water quality prediction: Multi objective genetic algorithm coupled artificial neural network based approach. In Proceedings of the 2017 IEEE 15th International Conference on Industrial Informatics (INDIN), Emden, Germany, 24–26 July 2017; pp. 963–968. [Google Scholar]
- Mirzaei, M.; Jafari, A.; Gholamalifard, M.; Azadi, H.; Shooshtari, S.J.; Moghaddam, S.M.; Gebrehiwot, K.; Witlox, F. Mitigating environmental risks: Modeling the interaction of water quality parameters and land use cover. Land Use Policy 2020, 95, 103766. [Google Scholar] [CrossRef]
- Forsberg, C.; Ryding, S.O. Eutrophication parameters and trophic state indices in 30 Swedish water-receiving lakes. Arch. Hydrobiol. 1980, 89, 189–207. [Google Scholar]
- Elser, J.J.; Dobberfuhl, D.R.; MacKay, N.A.; Schampel, J.H. Organism size, life history, and N:P stoichiometry: Toward a unified view of cellular and ecosystem processes. BioScience 1996, 46, 674–684. [Google Scholar] [CrossRef]
- Peñuelas, J.; Poulter, B.; Sardans, J.; Ciais, P.; Van Der Velde, M.; Bopp, L.; Janssens, I.A. Human-induced nitrogen-phosphorus imbalances alter natural and managed ecosystems across the globe. Nat. Commun. 2013, 4, 2934. [Google Scholar] [CrossRef]
- Carlson, R.E. A trophic state index for lakes 1. Limnol. Oceanogr. 1977, 22, 361–369. [Google Scholar] [CrossRef]
- Wong, K.T.M.; Lee, J.H.W.; Hodgkiss, I.J. A simple model for forecast of coastal algal blooms. Estuar. Coast. Shelf Sci. 2007, 74, 175–196. [Google Scholar] [CrossRef]
- Wong, K.T.M.; Lee, J.H.W.; Harrison, P.J. Forecasting of environmental risk maps of coastal algal blooms. Harmful Algae 2009, 8, 407–420. [Google Scholar] [CrossRef]
- Zhang, Y.; Qin, B.; Zhu, G.; Shi, K.; Zhou, Y. Profound changes in the physical environment of Lake Taihu from 25 years of long-term observation: Implications for algal bloom outbreaks and aquatic macrophyte loss. Water Resour. Res. 2018, 54, 4319–4331. [Google Scholar] [CrossRef]
- Jie, C.; Jiawei, L.; Shulin, W.; Sheng, Y. Feature selection in machine learning: A new perspective. Neurocomputing 2018, 300, 70–79. [Google Scholar]
- Thabtah, F.; Hammoud, S.; Kamalov, F.; Gonsalves, A. Data imbalance in classification: Experimental evaluation. Inf. Sci. 2020, 513, 429–441. [Google Scholar] [CrossRef]
- Chawla, N.V. Data mining for imbalanced datasets: An overview. In Data Mining and Knowledge Discovery Handbook; Springer: Berlin/Heidelberg, Germany, 2010; pp. 875–886. [Google Scholar]
- Fernández-Navarro, F.; Hervás-Martínez, C.; Gutiérrez, P.A. A dynamic over-sampling procedure based on sensitivity for multi-class problems. Pattern Recognit. 2011, 44, 1821–1833. [Google Scholar] [CrossRef]
- Tanha, J.; Abdi, Y.; Samadi, N.; Razzaghi, N.; Asadpour, M. Boosting methods for multi-class imbalanced data classification: An experimental review. J. Big Data 2020, 7, 70. [Google Scholar] [CrossRef]
- Guyon, I.; Elisseeff, A. An introduction to variable and feature selection. J. Mach. Learn. Res. 2003, 3, 1157–1182. [Google Scholar]
- Chandrashekar, G.; Sahin, F. A survey on feature selection methods. Comput. Electr. Eng. 2014, 40, 16–28. [Google Scholar] [CrossRef]
- Bolón-Canedo, V.; Sánchez-Marono, N.; Alonso-Betanzos, A.; Benítez, J.M.; Herrera, F. A review of microarray datasets and applied feature selection methods. Inf. Sci. 2014, 282, 111–135. [Google Scholar] [CrossRef]
- Wei, G.; Zhao, J.; Feng, Y.; He, A.; Yu, J. A novel hybrid feature selection method based on dynamic feature importance. Appl. Soft Comput. 2020, 93, 106337. [Google Scholar] [CrossRef]
- Xue, B.; Zhang, M.; Browne, W.N. Particle swarm optimisation for feature selection in classification: Novel initialisation and updating mechanisms. Appl. Soft Comput. 2014, 18, 261–276. [Google Scholar] [CrossRef]







| Variables | Description | Unit | Descriptive Analysis | Variable Selection Method | |||
|---|---|---|---|---|---|---|---|
| Range | Mean | Dependence Test (p-Value) | MI Score | ||||
| Water quality | TDN | Total dissolved nitrogen concentration | mg/L | 1.17 to 6.92 | 2.79 | <0.001 | 0.128 |
| NO3-N | Nitrate concentration | mg/L | 0.72 to 3.91 | 2.13 | <0.001 | 0.118 | |
| NH4-N | Ammonium concentration | mg/L | 0.01 to 2.24 | 0.19 | 0.005 | 0.015 | |
| TDP | Total dissolved phosphorus concentration | mg/L | 0.01 to 0.16 | 0.04 | 0.001 | 0.085 | |
| PO4-P | Phosphate concentration | mg/L | 0 to 0.15 | 0.02 | <0.001 | 0 | |
| Cond | Conductivity | μmhos/cm | 125 to 639 | 348.23 | 0.001 | 0.012 | |
| GJ-cell | Cyanobacteria cell density in GJR | cells/mL | 0 to 50970 | 1077 | <0.001 | 0.161 | |
| Hydro-dynamic | Wlevel | Average water level of the BJR | m | 1.21 to 5.01 | 3.71 | 0.396 | 0.026 |
| Inflow | Average inflow rate of the BJR | m3/s | 20.25 to 2536.23 | 145.59 | 0.011 | 0.044 | |
| Discharge | Average total discharge rate of the BJR | m3/s | 20.10 to 2555.66 | 145.70 | 0.011 | 0.049 | |
| Dhydro | Average discharge rate by the hydropower plant of the BJR | m3/s | 0 to 124.60 | 43.85 | 0.050 | 0.043 | |
| Meteorological | Atemp | Average air temperature | °C | −1.30 to 30.46 | 16.85 | <0.001 | 0.207 |
| Precip | Accumulated precipitation | mm | 0 to 352.80 | 28.38 | 0.934 | 0.016 | |
| Wspeed | Average wind speed | m/s | 0.56 to 2.39 | 1.30 | 0.587 | 0 | |
| Month | Algal Alert Level (Number of Events) | Cyanobacteria Cell (Cells/mL) | N:P Ratio | Chl-a (µg/L) | Phosphate (µg/L) | ||||||
|---|---|---|---|---|---|---|---|---|---|---|---|
| L-0 | L-1 | L-2 | Range | Average | Range | Average | Range | Average | Range | Average | |
| March | 40 | 0 | 0 | 0 to 140 | 4 | 29.1 to 240.8 | 74.8 | 7.6 to 105.3 | 42.3 | 1 to 29 | 6.7 |
| April | 39 | 0 | 0 | 0 to 625 | 34 | 16.4 to 139.2 | 55.3 | 16.3 to 162.8 | 56.6 | 0 to 43 | 7.5 |
| May | 36 | 2 | 0 | 0 to 1950 | 117 | 8.7 to 123.4 | 39.9 | 20.2 to 176.1 | 64.5 | 1 to 113 | 10.9 |
| June | 38 | 1 | 0 | 0 to 2920 | 131 | 12.2 to 50.6 | 30.0 | 11.9 to 185.1 | 70.8 | 0 to 33 | 9.0 |
| July | 25 | 5 | 7 | 0 to 95,500 | 7684 | 6.5 to 46.8 | 23.8 | 7.4 to 165.1 | 46.2 | 2 to 140 | 32.2 |
| August | 12 | 10 | 17 | 0 to 398,820 | 27,391 | 5.3 to 42.9 | 19.6 | 5.3 to 144.3 | 51.1 | 2 to 135 | 40.4 |
| September | 16 | 15 | 5 | 0 to 95,355 | 7206 | 6.8 to 84.5 | 27.9 | 6.4 to 177.7 | 55.1 | 2 to 153 | 34.1 |
| October | 25 | 13 | 0 | 0 to 6565 | 1071 | 7.4 to 84.1 | 43.6 | 9.3 to 123.0 | 49.8 | 1 to 141 | 20.8 |
| November | 38 | 1 | 0 | 0 to 1160 | 51 | 14.9 to 135.8 | 65.2 | 5.1 to 128.4 | 35.7 | 1 to 97 | 15.5 |
| Total | 269 | 47 | 29 | 0 to 398,820 | 4828 | 5.26 to 240.8 | 42.5 | 5.1 to 185.1 | 52.4 | 0 to 153 | 19.5 |
| Machine Learning Model | Feature Selection | Training (Including Validation) | Test | |||||||||||||
|---|---|---|---|---|---|---|---|---|---|---|---|---|---|---|---|---|
| Performance Index | Performance Index | |||||||||||||||
| Accuracy | Recall | Precision | Accuracy | Recall | Precision | |||||||||||
| L-0 | L-1 | L-2 | L-0 | L-1 | L-2 | L-0 | L-1 | L-2 | L-0 | L-1 | L-2 | |||||
| Overall model performance | ANN | No feature selection | 92.6 (±6) | 98.3 (±2) | 66.6 (±30) | 82.8 (±17) | 94.1 (±5) | 82.5 (±17) | 87.6 (±12) | 82.4 (±3) | 93.3 (±4) | 35.6 (±12) | 55.3 (±17) | 88.9 (±2) | 55.6 (±16) | 56.3 (±16) |
| Linear method | 91.7 (±6) | 98.1 (±1) | 62.7 (±27) | 79.3 (±16) | 93.4 (±5) | 80.8 (±16) | 85.0 (±12) | 83.0 (±3) | 93.7 (±4) | 38.2 (±13) | 54.9 (±16) | 89.2 (±3) | 58.0 (±17) | 60.0 (±16) | ||
| Non-linear method | 91.2 (±6) | 98.2 (±1) | 59.8 (±29) | 78.5 (±17) | 93.1 (±5) | 78.8 (±16) | 84.2 (±11) | 82.2 (±4) | 93.4 (±5) | 34.9 (±13) | 53.3 (±19) | 89.0 (±2) | 54.0 (±18) | 56.7 (±16) | ||
| RF | No feature selection | 92.5 (±4) | 98.1 (±1) | 67.9 (±18) | 80.6 (±15) | 94.2 (±3) | 83.1 (±13) | 88.5 (±10) | 84.4 (±2) | 95.8 (±2) | 36.4 (±11) | 54.4 (±16) | 89.7 (±2) | 53.8 (±15) | 67.5 (±17) | |
| Linear method | 92.4 (±4) | 98.1 (±1) | 67.5 (±17) | 80.5 (±14) | 94.2 (±3) | 82.8 (±12) | 87.2 (±11) | 85.2 (±2) | 96.0 (±2) | 40.1 (±11) | 56.9 (±16) | 90.2 (±2) | 60.2 (±15) | 66.8 (±15) | ||
| Non-linear method | 93.5 (±4) | 98.3 (±2) | 72.1 (±18) | 83.1 (±14) | 95.0 (±3) | 85.5 (±13) | 89.5 (±11) | 84.5 (±3) | 95.3 (±3) | 38.3 (±13) | 56.8 (±17) | 89.9 (±2) | 55.6 (±14) | 65.4 (±15) | ||
| Optimal model performance | ANN | No feature selection | 90.5 | 96.3 | 63.6 | 81.0 | 93.3 | 75.0 | 85.0 | 90.2 | 96.3 | 64.3 | 75.0 | 92.8 | 75.0 | 85.7 |
| Linear method | 84.0 | 96.8 | 27.3 | 57.1 | 88.0 | 50.0 | 70.6 | 88.2 | 98.8 | 42.9 | 62.5 | 89.8 | 85.7 | 71.4 | ||
| Non-linear method | 84.8 | 96.3 | 24.2 | 76.2 | 87.5 | 53.3 | 80.0 | 88.2 | 98.8 | 50.0 | 50.0 | 88.8 | 87.5 | 80.0 | ||
| RF | No feature selection | 88.1 | 96.8 | 48.5 | 71.4 | 92.4 | 69.6 | 68.2 | 88.2 | 98.8 | 50.0 | 50.0 | 89.8 | 87.5 | 66.7 | |
| Linear method | 94.7 | 98.9 | 75.8 | 85.7 | 94.9 | 89.3 | 100 | 89.2 | 98.8 | 50.0 | 62.5 | 89.8 | 100 | 71.4 | ||
| Non-linear method | 94.7 | 97.9 | 81.8 | 85.7 | 95.9 | 87.1 | 94.7 | 92.2 | 100 | 42.9 | 100 | 92.0 | 100 | 88.9 | ||
Disclaimer/Publisher’s Note: The statements, opinions and data contained in all publications are solely those of the individual author(s) and contributor(s) and not of MDPI and/or the editor(s). MDPI and/or the editor(s) disclaim responsibility for any injury to people or property resulting from any ideas, methods, instructions or products referred to in the content. |
© 2023 by the authors. Licensee MDPI, Basel, Switzerland. This article is an open access article distributed under the terms and conditions of the Creative Commons Attribution (CC BY) license (https://creativecommons.org/licenses/by/4.0/).
Share and Cite
Kim, J.H.; Lee, H.; Byeon, S.; Shin, J.-K.; Lee, D.H.; Jang, J.; Chon, K.; Park, Y. Machine Learning-Based Early Warning Level Prediction for Cyanobacterial Blooms Using Environmental Variable Selection and Data Resampling. Toxics 2023, 11, 955. https://doi.org/10.3390/toxics11120955
Kim JH, Lee H, Byeon S, Shin J-K, Lee DH, Jang J, Chon K, Park Y. Machine Learning-Based Early Warning Level Prediction for Cyanobacterial Blooms Using Environmental Variable Selection and Data Resampling. Toxics. 2023; 11(12):955. https://doi.org/10.3390/toxics11120955
Chicago/Turabian StyleKim, Jin Hwi, Hankyu Lee, Seohyun Byeon, Jae-Ki Shin, Dong Hoon Lee, Jiyi Jang, Kangmin Chon, and Yongeun Park. 2023. "Machine Learning-Based Early Warning Level Prediction for Cyanobacterial Blooms Using Environmental Variable Selection and Data Resampling" Toxics 11, no. 12: 955. https://doi.org/10.3390/toxics11120955
APA StyleKim, J. H., Lee, H., Byeon, S., Shin, J.-K., Lee, D. H., Jang, J., Chon, K., & Park, Y. (2023). Machine Learning-Based Early Warning Level Prediction for Cyanobacterial Blooms Using Environmental Variable Selection and Data Resampling. Toxics, 11(12), 955. https://doi.org/10.3390/toxics11120955

