Technosols Derived from Mining, Urban, and Agro-Industrial Waste for the Remediation of Metal(loid)-Polluted Soils: A Microcosm Assay
Abstract
:1. Introduction
2. Materials and Methods
2.1. Polluted Soil: Site Characterisation and Sampling
2.2. Production of Technosols
2.3. Experimental Set-Up
2.4. Experimental Monitoring and Sample Analysis
2.5. Statistical Analysis
3. Results
3.1. Soil Properties and Metal(loid) Concentrations
3.2. Germination and Growth of Trifolium campestre
3.3. Toxicity Bioassay with Lactuca sativa
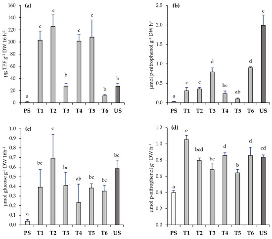
3.4. Soil Enzymatic Activities
4. Discussion
5. Conclusions
Supplementary Materials
Author Contributions
Funding
Institutional Review Board Statement
Informed Consent Statement
Data Availability Statement
Acknowledgments
Conflicts of Interest
References
- Liu, L.; Li, W.; Song, W.; Guo, M. Remediation Techniques for Heavy Metal-Contaminated Soils: Principles and Applicability. Sci. Total Environ. 2018, 633, 206–219. [Google Scholar] [CrossRef] [PubMed]
- Khelifi, F.; Melki, A.; Hamed, Y.; Adamo, P.; Caporale, A.G. Environmental and Human Health Risk Assessment of Potentially Toxic Elements in Soil, Sediments, and Ore-Processing Wastes from a Mining Area of Southwestern Tunisia. Environ. Geochem. Health 2020, 42, 4125–4139. [Google Scholar] [CrossRef] [PubMed]
- Islam, M.M.; Sohag, K.; Alam, M.M. Mineral Import Demand and Clean Energy Transitions in the Top Mineral-Importing Countries. Resour. Policy 2022, 78, 102893. [Google Scholar] [CrossRef]
- Watari, T.; Nansai, K.; Nakajima, K. Major Metals Demand, Supply, and Environmental Impacts to 2100: A Critical Review. Resour. Conserv. Recycl. 2021, 164, 105107. [Google Scholar] [CrossRef]
- Tao, Y.; Shen, L.; Feng, C.; Yang, R.; Qu, J.; Ju, H.; Zhang, Y. Distribution of Rare Earth Elements (REEs) and Their Roles in Plant Growth: A Review. Environ. Pollut. 2022, 298, 118540. [Google Scholar] [CrossRef]
- Morales Ruano, S.; Martín-Peinado, F.J.; Estepa Molina, C.M.; Bagur-González, M.G. A Quick Methodology for the Evaluation of Preliminary Toxicity Levels in Soil Samples Associated to a Potentially Heavy-Metal Pollution in an Abandoned Ore Mining Site. Chemosphere 2019, 222, 345–354. [Google Scholar] [CrossRef]
- Pastor-Jáuregui, R.; Paniagua-López, M.; Aguilar-Garrido, A.; Martínez-Garzón, F.J.; Romero-Freire, A.; Sierra-Aragón, M. Ecotoxicological Risk Assessment in Soils Contaminated by Pb and As 20 Years after a Mining Spill. J. Contam. Hydrol. 2022, 251, 104100. [Google Scholar] [CrossRef]
- Paniagua-López, M.; Aguilar-Garrido, A.; Contero-Hurtado, J.; García-Romera, I.; Sierra-Aragón, M.; Romero-Freire, A. Ecotoxicological Assessment of Polluted Soils One Year after the Application of Different Soil Remediation Techniques. Toxics 2023, 11, 298. [Google Scholar] [CrossRef]
- Martín Peinado, F.J.; Romero-Freire, A.; García Fernández, I.; Sierra Aragón, M.; Ortiz-Bernad, I.; Simón Torres, M. Long-Term Contamination in a Recovered Area Affected by a Mining Spill. Sci. Total Environ. 2015, 514, 219–223. [Google Scholar] [CrossRef]
- Sierra Aragón, M.; Nakamaru, Y.M.; García-Carmona, M.; Martínez Garzón, F.J.; Martín Peinado, F.J. The Role of Organic Amendment in Soils Affected by Residual Pollution of Potentially Harmful Elements. Chemosphere 2019, 237, 124549. [Google Scholar] [CrossRef]
- Macías, F. Recuperación de Suelos Degradados, Reutilización de Residuos y Secuestro de Carbono. Una Alternativa Integral de Mejora de La Calidad Ambiental. Recur. Rurais 2004, 1, 49–56. [Google Scholar]
- IUSS Working Group WRB. World Reference Base for Soil Resources. International Soil Classification System for Naming Soils and Creating Legends for Soil Maps, 4th ed.; International Union of Soil Sciences (IUSS): Vienna, Austria, 2022. [Google Scholar]
- Macías, F.; Bao, M.; Macías-García, F.; Camps Arbestain, M. Valorización Biogeoquímica de Residuos Por Medio de La Elaboración de Tecnosoles Con Diferentes Aplicaciones Ambientales. Agua Residuos 2007, 5, 12–25. [Google Scholar]
- Santos, E.S.; Abreu, M.M.; Macías, F.; de Varennes, A. Chemical Quality of Leachates and Enzymatic Activities in Technosols with Gossan and Sulfide Wastes from the São Domingos Mine. J. Soils Sediments 2016, 16, 1366–1382. [Google Scholar] [CrossRef]
- Asensio, V.; Flórido, F.G.; Ruiz, F.; Perlatti, F.; Otero, X.L.; Oliveira, D.P.; Ferreira, T.O. The Potential of a Technosol and Tropical Native Trees for Reclamation of Copper-Polluted Soils. Chemosphere 2019, 220, 892–899. [Google Scholar] [CrossRef] [PubMed]
- Rodríguez-Vila, A.; Asensio, V.; Forján, R.; Covelo, E.F. Assessing the Influence of Technosol and Biochar Amendments Combined with Brassica juncea L. on the Fractionation of Cu, Ni, Pb and Zn in a Polluted Mine Soil. J. Soils Sediments 2016, 16, 339–348. [Google Scholar] [CrossRef]
- Asemaninejad, A.; Arteaga, J.; Spiers, G.; Beckett, P.; McGarry, S.; Mykytczuk, N.; Basiliko, N. Blended Pulp Mill, Forest Humus and Mine Residual Material Technosols for Mine Reclamation: A Growth-Chamber Study to Explore the Role of Physiochemical Properties of Substrates and Microbial Inoculation on Plant Growth. J. Environ. Manag. 2018, 228, 93–102. [Google Scholar] [CrossRef]
- Jordán, M.M.; García-Sánchez, E.; Almendro-Candel, M.B.; Pardo, F.; Vicente, A.B.; Sanfeliu, T.; Bech, J. Technosols Designed for Rehabilitation of Mining Activities Using Mine Spoils and Biosolids. Ion Mobility and Correlations Using Percolation Columns. Catena 2017, 148, 74–80. [Google Scholar] [CrossRef]
- Asensio, V.; Vega, F.A.; Andrade, M.L.; Covelo, E.F. Technosols Made of Wastes to Improve Physico-Chemical Characteristics of a Copper Mine Soil. Pedosphere 2013, 23, 1–9. [Google Scholar] [CrossRef]
- Santos, E.S.; Abreu, M.M.; Macías, F. Rehabilitation of Mining Areas through Integrated Biotechnological Approach: Technosols Derived from Organic/Inorganic Wastes and Autochthonous Plant Development. Chemosphere 2019, 224, 765–775. [Google Scholar] [CrossRef]
- Ruiz, F.; Perlatti, F.; Oliveira, D.P.; Ferreira, T.O. Revealing Tropical Technosols as an Alternative for Mine Reclamation and Waste Management. Minerals 2020, 10, 110. [Google Scholar] [CrossRef]
- Queiroz, H.M.; Ferreira, A.D.; Ruiz, F.; Bovi, R.C.; Deng, Y.; de Souza Júnior, V.S.; Otero, X.L.; Bernardino, A.F.; Cooper, M.; Ferreira, T.O. Early Pedogenesis of Anthropogenic Soils Produced by the World’s Largest Mining Disaster, the “Fundão” Dam Collapse, in Southeast Brazil. Catena 2022, 219, 106625. [Google Scholar] [CrossRef]
- Walmsley, A.; Mundodi, L.; Sederkenny, A.; Anderson, N.; Missen, J.; Yellishetty, M. From Spoil to Soil: Utilising Waste Materials to Create Soils for Mine Rehabilitation. In Proceedings of the International Conference on Mine Closure, Brisbane, Australia, 4 October 2022; Volume 1, pp. 1237–1248. [Google Scholar]
- Arán, D.; Santos, E.S.; Abreu, M.M.; Antelo, J.; Macías, F. Use of Combined Tools for Effectiveness Evaluation of Tailings Rehabilitated with Designed Technosol. Environ. Geochem. Health 2022, 44, 1857–1873. [Google Scholar] [CrossRef] [PubMed]
- Simón, M.; Ortiz, I.; García, I.; Fernández, E.; Fernández, J.; Dorronsoro, C.; Aguilar, J. Pollution of Soils by the Toxic Spill of a Pyrite Mine (Aznalcollar, Spain). Sci. Total Environ. 1999, 242, 105–115. [Google Scholar] [CrossRef] [PubMed]
- Soil Survey Staff. Keys to Soil Taxonomy, 12th ed.; USDA-Natural Resources Conservation Service: Washington, DC, USA, 2014. [Google Scholar]
- Cabrera, F.; Clemente, L.; Díaz Barrientos, E.; López, R.; Murillo, J.M. Heavy Metal Pollution of Soils Affected by the Guadiamar Toxic Flood. Sci. Total Environ. 1999, 242, 117–129. [Google Scholar] [CrossRef] [PubMed]
- García-Carmona, M.; Romero-Freire, A.; Sierra Aragón, M.; Martínez Garzón, F.J.; Martín Peinado, F.J. Evaluation of Remediation Techniques in Soils Affected by Residual Contamination with Heavy Metals and Arsenic. J. Environ. Manag. 2017, 191, 228–236. [Google Scholar] [CrossRef]
- Pastor-Jáuregui, R.; Paniagua-López, M.; Aguilar-Garrido, A.; Martín-Peinado, F.J.; Sierra-Aragón, M. Long-term Assessment of Remediation Treatments Applied to an Area Affected by a Mining Spill. Land. Degrad. Dev. 2021, 32, 2481–2492. [Google Scholar] [CrossRef]
- Aguilar-Garrido, A.; Paniagua-López, M.; Sierra-Aragón, M.; Javier, F.; Garzón, M.; Martín-Peinado, F.J. Remediation Potential of Mining, Agro-Industrial, and Urban Wastes against Acid Mine Drainage. Sci. Rep. 2023, 13, 12120. [Google Scholar] [CrossRef]
- Tyurin, I.V. Analytical Procedure for a Comparative Study of Soil Humus. Tr. Pochv. Inst. Dokuchaev. 1951, 33, 5–21. [Google Scholar]
- Barahona, E. Determinaciones Analíticas En Suelos: Carbonatos Totales y Caliza Activa. In Proceedings of the I Congreso Nacional de la Ciencia del Suelo (Madrid, Spain); Sociedad Española de la Ciencia del Suelo (SECS), Ed.; Sociedad Española de la Ciencia del Suelo: Madrid, Spain, 1984. [Google Scholar]
- Sposito, G.; Lund, L.J.; Chang, A.C. Trace Metal Chemistry in Arid-Zone Field Soils Amended with Sewage Sludge: I. Fractionation of Ni, Cu, Zn, Cd, and Pb in Solid Phases. Soil Sci. Soc. Am. J. 1982, 46, 260–264. [Google Scholar] [CrossRef]
- Quevauviller, P.; Lachica, M.; Barahona, E.; Gomez, A.; Rauret, G.; Ure, A.; Muntau, H. Certified Reference Material for the Quality Control of EDTA- and DTPA-Extractable Trace Metal Contents in Calcareous Soil (CRM 600). Fresenius J. Anal. Chem. 1998, 360, 505–511. [Google Scholar] [CrossRef]
- OPPTS 850.4200; Ecological Effects Test Guidelines. Seed Germination/Root Elongation Toxicity Test. United States Environmental Protection Agency: Washington, DC, USA, 1996.
- Tabatabai, M.A. Soil Enzymes. In Methods of Soil Analysis, Part 2. Microbiological and Biochemical Properties—SSSA Book Series, No. 5; Mickelson, S.H., Bigham, J.M., Eds.; SSSA Book Series; SSSA (Soil Science Society of America): Madison, WI, USA, 1994; pp. 775–833. ISBN 9780891188650. [Google Scholar]
- Eivazi, F.; Tabatabai, M.A. Glucosidases and Galactosidases in Soils. Soil. Biol. Biochem. 1988, 20, 601–606. [Google Scholar] [CrossRef]
- Hope, C.F.A.; Burns, R.G. Activity, Origins and Location of Cellulases in a Silt Loam Soil. Biol. Fertil. Soils 1987, 5, 164–170. [Google Scholar] [CrossRef]
- Eivazi, F.; Tabatabai, M.A. Phosphatases in Soils. Soil. Biol. Biochem. 1977, 9, 167–172. [Google Scholar] [CrossRef]
- Decreto 18/2015; Por El Que Se Aprueba El Reglamento Que Regula El Régimen Aplicable a Los Suelos Contaminados. BOJA (Boletín Oficial de la Junta de Andalucía): Seville, Spain, 2015; Volume 38, pp. 28–64ISBN 2008200920102.
- García-Carmona, M.; García-Robles, H.; Turpín Torrano, C.; Fernández Ondoño, E.; Lorite Moreno, J.; Sierra Aragón, M.; Martín Peinado, F.J. Residual Pollution and Vegetation Distribution in Amended Soils 20 years after a Pyrite Mine Tailings Spill (Aznalcóllar, Spain). Sci. Total Environ. 2019, 650, 933–940. [Google Scholar] [CrossRef] [PubMed]
- Dutta, A.; Patra, A.; Singh Jatav, H.; Singh Jatav, S.; Kumar Singh, S.; Sathyanarayana, E.; Verma, S.; Singh, P. Toxicity of Cadmium in Soil-Plant-Human Continuum and Its Bioremediation Techniques. In Soil Contamination—Threats and Sustainable Solutions; Larramendy, M.L., Soloneski, S., Eds.; IntechOpen: London, UK, 2021; pp. 59–80. [Google Scholar]
- Guo, G.; Yuan, T.; Wang, W.; Li, D.; Cheng, J.; Gao, Y.; Zhou, P. Bioavailability, Mobility, and Toxicity of Cu in Soils around the Dexing Cu Mine in China. Environ. Geochem. Health 2011, 33, 217–224. [Google Scholar] [CrossRef]
- Noulas, C.; Tziouvalekas, M.; Karyotis, T. Zinc in Soils, Water and Food Crops. J. Trace Elem. Med. Biol. 2018, 49, 252–260. [Google Scholar] [CrossRef]
- Nenova, L.; Zgorelec, Z.; Benkova, M.; Semeomova, C.; Velichkova, N.; Atanassova, I. Solubility and Availability of Copper, Zinc, Lead and Iron in Technosols under the Effect of Increasing Copper Levels. Int. J. Hydrol. 2018, 2, 379–386. [Google Scholar] [CrossRef]
- Son, J.; Kim, J.G.; Hyun, S.; Cho, K. Screening Level Ecological Risk Assessment of Abandoned Metal Mines Using Chemical and Ecotoxicological Lines of Evidence. Environ. Pollut. 2019, 249, 1081–1090. [Google Scholar] [CrossRef]
- Simón, M.; Martín, F.; García, I.; Bouza, P.; Dorronsoro, C.; Aguilar, J. Interaction of Limestone Grains and Acidic Solutions from the Oxidation of Pyrite Tailings. Environ. Pollut. 2005, 135, 65–72. [Google Scholar] [CrossRef]
- Cravotta, C.A.; Trahan, M.K. Limestone Drains to Increase PH and Remove Dissolved Metals from Acidic Mine Drainage. Appl. Geochem. 1999, 14, 581–606. [Google Scholar] [CrossRef]
- Martín, F.; García, I.; Díez, M.; Sierra, M.; Simon, M.; Dorronsoro, C. Soil Alteration by Continued Oxidation of Pyrite Tailings. Appl. Geochem. 2008, 23, 1152–1165. [Google Scholar] [CrossRef]
- García, I.; Diez, N.; Martín, F.; Simón, M.; Dorronsoro, C. Mobility of Arsenic and Heavy Metals in a Sandy-Loam Textured and Carbonated Soil. Pedosphere 2009, 19, 166–175. [Google Scholar] [CrossRef]
- Ivezić, V.; Almås, Å.R.; Singh, B.R. Predicting the Solubility of Cd, Cu, Pb and Zn in Uncontaminated Croatian Soils under Different Land Uses by Applying Established Regression Models. Geoderma 2012, 170, 89–95. [Google Scholar] [CrossRef]
- Martínez, C.E.; Motto, H.L. Solubility of Lead, Zinc and Copper Added to Mineral Soils. Environ. Pollut. 2000, 107, 153–158. [Google Scholar] [CrossRef] [PubMed]
- Romero-Freire, A.; García Fernández, I.; Simón Torres, M.; Martínez Garzón, F.J.; Martín Peinado, F.J. Long-Term Toxicity Assessment of Soils in a Recovered Area Affected by a Mining Spill. Environ. Pollut. 2016, 208, 553–561. [Google Scholar] [CrossRef] [PubMed]
- Simón, M.; García, I.; Martín, F.; Díez, M.; del Moral, F.; Sánchez, J.A. Remediation Measures and Displacement of Pollutants in Soils Affected by the Spill of a Pyrite Mine. Sci. Total Environ. 2008, 407, 23–39. [Google Scholar] [CrossRef]
- Fleming, M.; Tai, Y.; Zhuang, P.; Mcbride, M.B. Extractability and Bioavailability of Pb and As in Historically Contaminated Orchard Soil: Effects of Compost Amendments. Environ. Pollut. 2013, 177, 90–97. [Google Scholar] [CrossRef]
- Redman, A.D.; Macalady, D.L.; Ahmann, D. Natural Organic Matter Affects Arsenic Speciation and Sorption onto Hematite. Environ. Sci. Technol. 2002, 36, 2889–2896. [Google Scholar] [CrossRef]
- Burton, E.D.; Johnston, S.G.; Bush, R.T. Microbial Sulfidogenesis in Ferrihydrite-Rich Environments: Effects on Iron Mineralogy and Arsenic Mobility. Geochim. Cosmochim. Acta 2011, 75, 3072–3087. [Google Scholar] [CrossRef]
- Nakamaru, Y.M.; Martín Peinado, F.J. Effect of Soil Organic Matter on Antimony Bioavailability after the Remediation Process. Environ. Pollut. 2017, 228, 425–432. [Google Scholar] [CrossRef]
- Reed, T.S.; Martens, D.C. Copper and Zinc. In Methods of Soil Analysis. Part 3—Chemical Methods; Sparks, D.L., Page, A.L., Helmke, P.A., Loeppert, R.H., Soltanpour, P.N., Tabatabai, M.A., Johnston, C.T., Sumner, M.E., Eds.; SSSA Book Series; Soil Science Society of America; American Society of Agronomy: Madison, WI, USA, 1996; pp. 703–722. ISBN 9780891188667. [Google Scholar]
- Bradl, H.B. Adsorption of Heavy Metal Ions on Soils and Soils Constituents. J. Colloid. Interface Sci. 2004, 277, 1–18. [Google Scholar] [CrossRef] [PubMed]
- Simón, M.; Diez, M.; González, V.; García, I.; Martín, F.; de Haro, S. Use of Liming in the Remediation of Soils Polluted by Sulphide Oxidation: A Leaching-Column Study. J. Hazard. Mater. 2010, 180, 241–246. [Google Scholar] [CrossRef] [PubMed]
- Wang, S.; Mulligan, C.N. Enhanced Mobilization of Arsenic and Heavy Metals from Mine Tailings by Humic Acid. Chemosphere 2009, 74, 274–279. [Google Scholar] [CrossRef] [PubMed]
- Graziano, M.; Martín-Peinado, F.J.; Delgado-Moreno, L. Application of Biochar for the Restoration of Metal(Loid)s Contaminated Soils. Appl. Sci. 2022, 12, 1918. [Google Scholar] [CrossRef]
- Macías, F.; Macías-García, F.; Nieto, C.; Verde, J.R.; Pérez, C.; Bao, M.; Camps-Arbestain, M. Gestión de Residuos y Cambio Climático. In Gestión de Residuos Orgánicos de uso Agrícola; Mosquera, M.E.L., Osés, M.J.S., Eds.; Servizo de Publicacións e Intercambio Científico de la Universidade de Santiago de Compostela: Santiago de Compostela, Spain, 2011; pp. 11–24. ISBN 9788498878226. [Google Scholar]
- Santos, E.S.; Abreu, M.M.; Macías, F.; de Varennes, A. Improvement of Chemical and Biological Properties of Gossan Mine Wastes Following Application of Amendments and Growth of Cistus ladanifer L. J. Geochem. Explor. 2014, 147, 173–181. [Google Scholar] [CrossRef]
- De Varennes, A.; Abreu, M.M.; Qu, G.; Cunha-Queda, C. Enzymatic Activity of a Mine Soil Varies According to Vegetation Cover and Level of Compost Applied. Int. J. Phytoremediat. 2010, 12, 371–383. [Google Scholar] [CrossRef]
- Aguilar-Garrido, A.; Reyes-Martín, M.P.; Vidigal, P.; Abreu, M.M. A Green Solution for the Rehabilitation of Marginal Lands: The Case of Lablab purpureus (L.) Sweet Grown in Technosols. Plants 2023, 12, 2682. [Google Scholar] [CrossRef]
- Khan, M.A.; Ding, X.; Khan, S.; Brusseau, M.L.; Khan, A.; Nawab, J. The Influence of Various Organic Amendments on the Bioavailability and Plant Uptake of Cadmium Present in Mine-Degraded Soil. Sci. Total Environ. 2018, 636, 810–817. [Google Scholar] [CrossRef]
- Soria, R.; Ortega, R.; Bastida, F.; Miralles, I. Role of Organic Amendment Application on Soil Quality, Functionality and Greenhouse Emission in a Limestone Quarry from Semiarid Ecosystems. Appl. Soil Ecol. 2021, 164, 103925. [Google Scholar] [CrossRef]
- Larney, F.J.; Angers, D.A. The Role of Organic Amendments in Soil Reclamation: A Review. Can. J. Soil Sci. 2012, 92, 19–38. [Google Scholar] [CrossRef]
- Da Silva Souza, T.; Lacerda, D.; Aguiar, L.L.; Martins, M.N.C.; Augusto de Oliveira David, J. Toxic Potential of Sewage Sludge: Histopathological Effects on Soil and Aquatic Bioindicators. Ecol. Indic. 2020, 111, 105980. [Google Scholar] [CrossRef]
- Kumar, S.; Chaudhuri, S.; Maiti, S.K. Soil Dehydrogenase Enzyme Activity in Natural and Mine Soil—A Review. Middle-East J. Sci. Res. 2013, 13, 898–906. [Google Scholar]
- Kizilkaya, R. Dehydrogenase Activity in Lumbricus Terrestris Casts and Surrounding Soil Affected by Addition of Different Organic Wastes and Zn. Bioresour. Technol. 2008, 99, 946–953. [Google Scholar] [CrossRef] [PubMed]
- Pascual, J.A.; Hernandez, T.; Garcia, C.; Ayuso, M. Enzymatic Activities in an Arid Soil Amended with Urban Organic Wastes: Laboratory Experiment. Bioresour. Technol. 1998, 64, 131–138. [Google Scholar] [CrossRef]
- Zhang, M.; Dong, L.G.; Fei, S.X.; Zhang, J.W.; Jiang, X.M.; Wang, Y.; Yu, X. Responses of Soil Organic Carbon Mineralization and Microbial Communities to Leaf Litter Addition under Different Soil Layers. Forests 2021, 12, 170. [Google Scholar] [CrossRef]
- Hadas, A.; Kautsky, L.; Goek, M.; Kara, E.E. Rates of Decomposition of Plant Residues and Available Nitrogen in Soil, Related to Residue Composition through Simulation of Carbon and Nitrogen Turnover. Soil. Biol. Biochem. 2004, 36, 255–266. [Google Scholar] [CrossRef]






| Technosols | PS | IO | CW | MS | OL | WS | VC |
|---|---|---|---|---|---|---|---|
| T1 | 60 | 2 | 20 | - | 18 | - | - |
| T2 | 60 | 2 | 20 | - | - | 18 | - |
| T3 | 60 | 2 | 20 | - | - | - | 18 |
| T4 | 60 | 2 | - | 20 | 18 | - | - |
| T5 | 60 | 2 | - | 20 | - | 18 | - |
| T6 | 60 | 2 | - | 20 | - | - | 18 |
| PS | US | Technosols | ||||||
|---|---|---|---|---|---|---|---|---|
| T1 | T2 | T3 | T4 | T5 | T6 | |||
| pH (H2O) 1:2.5 | 3.53 ± 0.03 a | 6.91 ± 0.08 b | 8.19 ± 0.04 e | 7.83 ± 0.02 c | 8.10 ± 0.03 d | 8.01 ± 0.05 d | 7.79 ± 0.01 c | 7.78 ± 0.04 c |
| EC 1:5 (dS m−1) | 2.77 ± 0.12 d | 0.05 ± 0.01 a | 2.09 ± 0.15 c | 1.37 ± 0.16 b | 1.25 ± 0.22 b | 2.18 ± 0.25 c | 1.62 ± 0.25 b | 1.42 ± 0.19 b |
| OC (%) | 0.42 ± 0.11 a | 2.24 ± 0.14 bc | 5.97 ± 0.15 d | 6.61 ± 0.31 e | 2.74 ± 0.18 c | 5.67 ± 0.33 d | 6.15 ± 0.37 de | 2.15 ± 0.12 b |
| CaCO3 (%) | 0.39 ± 0.07 a | 2.66 ± 0.05 b | 27.22 ± 4.48 c | 26.11 ± 1.48 c | 26.87 ± 0.97 c | 27.57 ± 2.03 c | 26.85 ± 4.31 c | 25.92 ± 2.59 c |
| NT (%) | 0.11 ± 0.01 a | 0.20 ± 0.02 bc | 0.52 ± 0.01 d | 0.84 ± 0.04 e | 0.22 ± 0.02 c | 0.51 ± 0.03 d | 0.90 ± 0.03 f | 0.14 ± 0.03 ab |
| CT (%) | 0.48 ± 0.02 a | 2.50 ± 0.19 b | 8.28 ± 0.13 d | 8.40 ± 0.16 d | 5.20 ± 0.20 c | 8.66 ± 0.29 d | 8.71 ± 0.19 d | 5.02 ± 0.07 c |
| PS | US | Technosols | ||||||
|---|---|---|---|---|---|---|---|---|
| T1 | T2 | T3 | T4 | T5 | T6 | |||
| Total (T) (mg kg−1) | ||||||||
| As | 345.66 ± 25.29 f | 25.02 ± 2.71 a | 215.73 ± 6.12 b | 242.76 ± 4.25 c | 300.88 ± 10.03 e | 250.33 ± 3.60 cd | 205.49 ± 2.87 b | 268.79 ± 4.45 d |
| Cu | 106.80 ± 5.24 c | 37.72 ± 2.00 a | 72.01 ± 2.68 b | 109.76 ± 12.08 c | 73.93 ± 3.60 b | 72.91 ± 4.21 b | 101.43 ± 3.91 c | 64.09 ± 1.65 b |
| Pb | 640.17 ± 48.69 e | 79.17 ± 10.76 a | 382.61 ± 8.80 b | 431.95 ± 12.92 bc | 511.50 ± 6.16 d | 428.24 ± 6.45 bc | 366.31 ± 2.40 b | 474.56 ± 5.40 cd |
| Sb | 20.83 ± 5.10 a | n.d. | 21.91 ± 4.18 a | 23.10 ± 5.32 a | 19.68 ± 5.75 a | 19.92 ± 4.72 a | 23.61 ± 2.73 a | 23.06 ± 6.12 a |
| Zn | 185.09 ± 6.46 d | 138.13 ± 1.54 c | 106.05 ± 5.86 a | 303.55 ± 1.34 f | 144.66 ± 2.96 c | 111.91 ± 0.33 a | 266.93 ± 2.15 e | 124.32 ± 3.02 b |
| Water-soluble (W) (µg kg−1) | ||||||||
| As | 8.91 ± 1.41 a | 4.50 ± 2.86 a | 47.51 ± 8.45 c | 37.00 ± 2.43 bc | 71.01 ± 2.78 d | 67.40 ± 15.99 d | 39.47 ± 4.34 bc | 26.54 ± 0.34 b |
| Cd | 213.89 ± 42.71 b | 0.94 ± 0.63 a | 0.59 ± 0.05 a | 1.02 ± 0.02 a | 0.43 ± 0.06 a | 1.26 ± 0.53 a | 0.69 ± 0.09 a | 0.25 ± 0.04 a |
| Cu | 940.79 ± 105.12 d | 14.60 ± 4.10 a | 37.45 ± 3.70 a | 76.56 ± 2.20 a | 24.24 ± 5.16 a | 75.46 ± 20.51 a | 85.80 ± 9.55 a | 14.43 ± 0.92 a |
| Pb | n.d. | n.d. | 3.05 ± 2.63 a | 8.20 ± 2.77 ab | n.d. | 9.60 ± 5.78 b | 15.97 ± 1.80 c | n.d. |
| Sb | 27.01 ± 1.65 a | 19.69 ± 5.17 a | 308.80 ± 4.68 d | 224.38 ± 2.82 b | 395.43 ± 17.06 e | 262.03 ± 20.88 c | 204.34 ± 25.10 b | 317.70 ± 14.77 d |
| Zn | 11,992.27 ± 2953.45 b | 21.04 ± 11.47 a | 14.39 ± 3.56 a | 36.25 ± 3.32 a | 3.83 ± 0.90 a | 39.07 ± 20.96 a | 51.21 ± 4.86 a | 4.54 ± 1.06 a |
| EDTA-extracted (E) (mg kg−1) | ||||||||
| As | 0.18 ± 0.03 b | 0.11 ± 0.02 a | 0.98 ± 0.05 g | 0.57 ± 0.01 e | 0.91 ± 0.02 f | 0.40 ± 0.07 d | 0.34 ± 0.01 d | 0.26 ± <0.01 c |
| Cd | 0.30 ± 0.09 b | 0.32 ± 0.10 b | 0.09 ± <0.01 a | 0.10 ± <0.01 a | 0.10 ± <0.01 a | 0.11 ± <0.01 a | 0.11 ± <0.01 a | 0.11 ± 0.01 a |
| Cu | 5.16 ± 0.37 d | 2.09 ± 0.07 c | 2.09 ± 0.02 c | 1.65 ± 0.01 b | 1.38 ± 0.03 a | 2.39 ± 0.24 c | 2.03 ± 0.08 c | 1.74 ± 0.06 b |
| Pb | 0.01 ± <0.01 a | 6.56 ± 0.18 c | 0.39 ± 0.14 b | 0.61 ± <0.01 b | 0.09 ± 0.01 a | 0.82 ± 0.43 b | 0.68 ± 0.02 b | 0.09 ± <0.01 a |
| Sb | 0.13 ± 0.02 a | 0.22 ± 0.02 b | 1.35 ± 0.02 h | 0.88 ± 0.01 e | 1.17 ± 0.02 g | 0.78 ± 0.06 d | 0.60 ± 0.02 c | 0.95 ± 0.03 f |
| Zn | 12.99 ± 7.05 bc | 7.70 ± 3.64 b | 2.09 ± 0.02 a | 7.11 ± 0.12 b | 2.54 ± 0.03 a | 1.79 ± 0.02 a | 8.80 ± 0.21 b | 2.12 ± 0.04 a |
| PS | US | Polluted Soil Treated with Each Technosol | ||||||
|---|---|---|---|---|---|---|---|---|
| R1 | R2 | R3 | R4 | R5 | R6 | |||
| pH (H2O) 1:2.5 | 3.53 ± 0.03 a | 6.91 ± 0.08 e | 6.51 ± 0.21 d | 6.41 ± 0.18 d | 5.47 ± 0.47 b | 6.09 ± 0.21 cd | 5.90 ± 0.35 bc | 6.08 ± 0.25 cd |
| EC 1:5 (dS m−1) | 2.70 ± 0.27 bcd | 0.05 ± 0.01 a | 2.72 ± 0.07 cd | 2.49 ± 0.08 b | 2.54 ± 0.03 bc | 2.72 ± 0.05 cd | 2.59 ± 0.12 bcd | 2.78 ± 0.14 d |
| OC (%) | 0.42 ± 0.11 a | 2.24 ± 0.14 c | 1.03 ± 0.25 b | 0.98 ± 0.12 b | 0.77 ± 0.09 b | 0.96 ± 0.07 b | 0.62 ± 0.26 ab | 0.51 ± 0.05 a |
| CaCO3 (%) | 0.39 ± 0.07 a | 2.66 ± 0.05 c | 0.40 ± 0.08 a | 0.58 ± 0.26 a | 0.66 ± 0.15 a | 1.19 ± 0.25 b | 1.18 ± 0.22 b | 1.26 ± 0.29 b |
| NT (%) | 0.11 ± 0.01 a | 0.20 ± 0.02 b | 0.10 ± 0.01 a | 0.11 ± 0.01 a | 0.09 ± 0.01 a | 0.11 ± 0.05 a | 0.13 ± 0.01 a | 0.10 ± 0.01 a |
| CT (%) | 0.48 ± 0.11 a | 2.50 ± 0.19 e | 1.22 ± 0.12 d | 1.18 ± 0.05 cd | 0.98 ± 0.04 bc | 1.36 ± 0.06 cd | 0.90 ± 0.12 d | 0.72 ± 0.05 bc |
| PS | US | Polluted Soils Treated with Each Technosol | ||||||
|---|---|---|---|---|---|---|---|---|
| R1 | R2 | R3 | R4 | R5 | R6 | |||
| Total (T) (mg kg−1) | ||||||||
| As | 345.66 ± 25.29 b | 25.02 ± 2.71 a | 346.58 ± 13.46 b | 359.32 ± 13.24 b | 361.52 ± 7.39 b | 345.69 ± 38.61 b | 356.70 ± 10.15 b | 347.20 ± 16.39 b |
| Cu | 106.80 ± 5.24 b | 37.72 ± 2.00 a | 101.06 ± 3.58 b | 105.77 ± 5.10 b | 105.48 ± 11.42 b | 100.88 ± 13.43 b | 101.59 ± 8.69 b | 105.93 ± 8.28 b |
| Pb | 640.17 ± 48.69 b | 79.17 ± 10.76 a | 606.36 ± 15.42 b | 615.74 ± 34.93 b | 628.73 ± 16.95 b | 597.00 ± 57.24 b | 612.49 ± 17.27 b | 596.33 ± 24.51 b |
| Sb | 20.83 ± 5.10 a | n.d. | 24.11 ± 3.81 a | 21.30 ± 6.32 a | 19.98 ± 7.75 a | 19.49 ± 6.57 a | 22.16 ± 3.72 a | 22.78 ± 5.40 a |
| Zn | 185.09 ± 6.46 b | 138.13 ± 1.54 a | 172.37 ± 7.15 b | 183.44 ± 5.95 b | 184.38 ± 6.27 b | 186.71 ± 8.09 b | 183.12 ± 3.80 b | 177.49 ± 4.97 b |
| Water-soluble (W) (µg kg−1) | ||||||||
| As | 8.91 ± 1.41 a | 4.50 ± 2.86 a | 7.39 ± 2.16 a | 4.84 ± 0.51 a | 4.87 ± 1.56 a | 4.42 ± 1.45 a | 4.51 ± 0.73 a | 5.15 ± 2.68 a |
| Cd | 213.89 ± 42.71 c | 0.94 ± 0.63 a | 3.07 ± 1.55 a | 11.09 ± 1.50 ab | 37.58 ± 9.91 b | 7.43 ± 2.41 a | 6.67 ± 2.81 a | 6.35 ± 2.45 a |
| Cu | 940.79 ± 105.12 c | 14.60 ± 4.10 a | 73.25 ± 8.76 ab | 127.01 ± 14.35 b | 52.76 ± 10.53 ab | 39.65 ± 1.29 ab | 114.72 ± 13.68 b | 34.36 ± 7.31 ab |
| Sb | 27.01 ± 1.65 a | 19.69 ± 5.17 a | 188.50 ± 50.49 c | 105.24 ± 22.39 b | 76.07 ± 23.53 ab | 89.48 ± 19.78 b | 99.24 ± 24.69 b | 93.91 ± 4.95 b |
| Zn | 11,992.3 ± 1652.7 b | 21.04 ± 6.96 a | 44.60 ± 32.18 a | 425.03 ± 229.73 a | 1766.10 ± 802.83 a | 214.53 ± 116.85 a | 186.36 ± 94.10 a | 60.55 ± 26.82 a |
| EDTA-extracted (E) (mg kg−1) | ||||||||
| As | 0.18 ± 0.03 bc | 0.11 ± 0.02 a | 0.22 ± 0.02 c | 0.37 ± 0.04 d | 0.21 ± <0.01 c | 0.14 ± 0.01 ab | 0.34 ± 0.05 d | 0.14 ± 0.01 ab |
| Cd | 0.30 ± 0.09 bc | 0.32 ± 0.10 c | 0.14 ± 0.04 a | 0.16 ± 0.02 ab | 0.18 ± 0.01 ab | 0.13 ± 0.01 a | 0.13 ± 0.02 a | 0.20 ± 0.03 abc |
| Cu | 5.16 ± 0.37 c | 2.09 ± 0.07 a | 3.62 ± 0.20 b | 3.70 ± 0.71 b | 4.20 ± 0.06 b | 4.14 ± 0.12 b | 3.31 ± 0.07 b | 3.63 ± 0.46 b |
| Pb | 0.01 ± <0.01 a | 6.56 ± 0.18 b | 0.02 ± <0.01 a | 0.08 ± 0.03 a | 0.02 ± <0.01 a | 0.03 ± 0.01 a | 0.13 ± 0.04 a | 0.03 ± <0.01 a |
| Sb | 0.13 ± 0.02 a | 0.22 ± 0.02 b | 0.26 ± 0.03 b | 0.24 ± 0.02 b | 0.20 ± 0.02 b | 0.22 ± 0.01 b | 0.23 ± 0.04 b | 0.20 ± 0.03 b |
| Zn | 12.99 ± 4.63 b | 7.70 ± 3.64 ab | 4.16 ± 1.70 a | 5.09 ± 0.89 a | 5.14 ± 0.45 a | 3.05 ± 0.38 a | 3.66 ± 0.78 a | 5.23 ± 0.85 a |
Disclaimer/Publisher’s Note: The statements, opinions and data contained in all publications are solely those of the individual author(s) and contributor(s) and not of MDPI and/or the editor(s). MDPI and/or the editor(s) disclaim responsibility for any injury to people or property resulting from any ideas, methods, instructions or products referred to in the content. |
© 2023 by the authors. Licensee MDPI, Basel, Switzerland. This article is an open access article distributed under the terms and conditions of the Creative Commons Attribution (CC BY) license (https://creativecommons.org/licenses/by/4.0/).
Share and Cite
Aguilar-Garrido, A.; Romero-Freire, A.; Paniagua-López, M.; Martínez-Garzón, F.J.; Martín-Peinado, F.J.; Sierra-Aragón, M. Technosols Derived from Mining, Urban, and Agro-Industrial Waste for the Remediation of Metal(loid)-Polluted Soils: A Microcosm Assay. Toxics 2023, 11, 854. https://doi.org/10.3390/toxics11100854
Aguilar-Garrido A, Romero-Freire A, Paniagua-López M, Martínez-Garzón FJ, Martín-Peinado FJ, Sierra-Aragón M. Technosols Derived from Mining, Urban, and Agro-Industrial Waste for the Remediation of Metal(loid)-Polluted Soils: A Microcosm Assay. Toxics. 2023; 11(10):854. https://doi.org/10.3390/toxics11100854
Chicago/Turabian StyleAguilar-Garrido, Antonio, Ana Romero-Freire, Mario Paniagua-López, Francisco Javier Martínez-Garzón, Francisco José Martín-Peinado, and Manuel Sierra-Aragón. 2023. "Technosols Derived from Mining, Urban, and Agro-Industrial Waste for the Remediation of Metal(loid)-Polluted Soils: A Microcosm Assay" Toxics 11, no. 10: 854. https://doi.org/10.3390/toxics11100854
APA StyleAguilar-Garrido, A., Romero-Freire, A., Paniagua-López, M., Martínez-Garzón, F. J., Martín-Peinado, F. J., & Sierra-Aragón, M. (2023). Technosols Derived from Mining, Urban, and Agro-Industrial Waste for the Remediation of Metal(loid)-Polluted Soils: A Microcosm Assay. Toxics, 11(10), 854. https://doi.org/10.3390/toxics11100854

