Arsenic Removal Using Unconventional Material with Iron Content: Batch Adsorption and Column Study
Abstract
:1. Introduction
2. Materials and Methods
2.1. Unconventional Material (UMIC) Characterization
2.2. Batch Adsorption Study
2.3. Fixed-Bed Column Adsorption Study
2.4. Statistical Analysis of Errors
3. Results and Discussion
3.1. Adsorbent Characterization
3.2. Batch Adsorption Study
3.2.1. pH Effect
3.2.2. Contact Time and Temperature Effect
3.2.3. As(V) Initial Concentration Effect
3.2.4. Kinetic Study
3.2.5. Thermodynamic Study
3.2.6. Equilibrium Study
3.3. Fixed-Bed Column Adsorption Study
3.3.1. Mass Transfer Zone
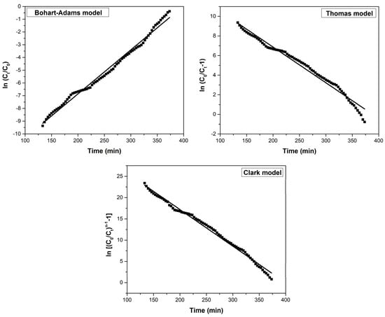
3.3.2. Adsorption Models for Column Study
4. Conclusions
Author Contributions
Funding
Institutional Review Board Statement
Informed Consent Statement
Data Availability Statement
Conflicts of Interest
References
- Mansoorianfar, M.; Nabipour, H.; Pahlevani, F.; Zhao, Y.; Hussain, Z.; Hojjati-Najafabadi, A.; Hoang, H.Y.; Pei, R. Recent progress on adsorption of cadmium ions from water systems using metal-organic frameworks (MOFs) as an efficient class of porous materials. Environ. Res. 2022, 214, 114113. [Google Scholar] [CrossRef] [PubMed]
- Hojjati-Najafabadi, A.; Mansoorianfar, M.; Liang, T.; Shahin, K.; Wen, Y.; Bahrami, A.; Karaman, C.; Zare, N.; Karimi-Maleh, H.; Vasseghian, Y. Magnetic-MXene-based nanocomposites for water and wastewater treatment: A review. J. Water Process. Eng. 2022, 47, 102696. [Google Scholar] [CrossRef]
- Alka, S.; Shahir, S.; Ibrahim, N.; Ndejiko, M.J.; Vo, D.V.N.; Abd Manan, F. Arsenic removal technologies and future trends: A mini review. J. Clean. Prod. 2021, 278, 123805. [Google Scholar] [CrossRef]
- Uddin, M.J.; Jeong, Y.K. Review: Efficiently performing periodic elements with modern adsorption technologies for arsenic removal. Environ. Sci. Pollut. Res. 2020, 27, 39888–39912. [Google Scholar] [CrossRef] [PubMed]
- Weerasundara, L.; Ok, Y.S.; Bundschuh, J. Selective removal of arsenic in water: A critical review. Environ. Pollut. 2021, 268, 115668. [Google Scholar] [CrossRef]
- Barringer, J.L.; Reilly, P.A. Arsenic in Groundwater: A Summary of Sources and the Biogeochemical and Hydrogeologic Factors Affecting Arsenic Occurrence and Mobility; INTECH Open: Rijeka, Croatia, 2013; pp. 83–116. [Google Scholar]
- Podgorski, J.; Berg, M. Global threat of arsenic in groundwater. Science 2020, 368, 845–850. [Google Scholar] [CrossRef] [PubMed]
- Joseph, T.; Dubey, B.; McBean, E.A. A critical review of arsenic exposures for Bangladeshi adults. Sci. Total Environ. 2015, 527–528, 540–551. [Google Scholar] [CrossRef] [PubMed]
- Li, Z.; Yang, Q.; Yang, Y.; Xie, C.; Ma, H. Hydrogeochemical controls on arsenic contamination potential and health threat in an intensive agricultural area, northern China. Environ. Pollut. 2020, 256, 113455. [Google Scholar] [CrossRef]
- Mazumder, D.G. Chronic arsenic toxicity & human health. Indian J. Med. Res. 2008, 128, 436–447. [Google Scholar]
- Ratnaike, R.N. Acute and chronic arsenic toxicity. Post Grad. Med. J. 2003, 79, 391–396. [Google Scholar] [CrossRef]
- Mohan, D.; Pittman, C.U., Jr. Arsenic removal from water/wastewater using adsorbents—A critical review. J. Hazard. Mater. 2007, 142, 1–53. [Google Scholar] [CrossRef]
- Molinari, R.; Argurio, P. Arsenic removal from water by coupling photocatalysis and complexation-ultrafiltration processes: A preleminary study. Water Res. 2017, 109, 327–336. [Google Scholar] [CrossRef]
- Kobya, M.; Soltani, R.D.C.; Omwene, P.I.; Khataee, A. A review on decontamination of arsenic-contained water by electrocoagulation: Reactor configurations and operating cost along with removal mechanisms. Environ. Technol. Innov. 2020, 17, 100519. [Google Scholar] [CrossRef]
- Bora, A.J.; Gogoi, S.; Baruah, G.; Dutta, R.K. Utilization of co-existing iron in arsenic removal from groundwater by oxidation-coagulation at optimizated pH. J. Environ. Chem. Eng. 2016, 4, 2683–2691. [Google Scholar] [CrossRef]
- Al-Jubouri, S.M.; Holmes, S.M. Immobilization of cobalt ions using hierarchically porous 4A zeolite-based carbon composites: Ion-exchange and solidification. J. Water Process Eng. 2020, 33, 101059. [Google Scholar] [CrossRef]
- Lupa, L.; Ciopec, M.; Negrea, A.; Lazau, R. Closed Cycle Process Investigations for Arsenic Removal from waters using adsorption on iron-containing materials followed by waste immobilization. In Arsenic: Sources, Environmental Impact and Human Healtf—A Material Geology Perspective; Masotti, A., Ed.; Nova Science Publishers: New York, NY, USA, 2013; pp. 325–354. [Google Scholar]
- Manoj, S.R.; Karthik, C.; Kadirvelu, K.; Arulselvi, P.I.; Shanmugasundaram, T.; Bruno, B.; Rajkumar, M. Understanding the molecular mechanisms for the enhanced phytoremediation of heavy metals through plant growth promoting rhizobacteria: A review. J. Environ. Manag. 2020, 254, 109779. [Google Scholar] [CrossRef] [PubMed]
- Anastopoulos, I.; Pashalidis, I.; Hosseini-Bandegharaei, A.; Giannakoudakis, D.A.; Robalds, A.; Usman, M.; Escudero, L.B.; Zhou, Y.; Colmenares, J.C.; Núnez-Delgado, A.; et al. Agricultural biomass/waste as adsorbents for toxic, metal decontamination of aqueous solutions. J. Mol. Liq. 2019, 295, 111684. [Google Scholar] [CrossRef]
- Mohan, D.; Dey, S.; Dwivedi, S.B.; Shukla, S.P. Adsorption of arsenic using low cost adsorbents: Guava leaf biomass, mango bark and bagasse. Curr. Sci. 2019, 117, 24315–24322. [Google Scholar] [CrossRef]
- Wasiuddin, N.M.; Tango, M.; Islam, M.R. A novel method for arsenic removal at low concentrations. Energy Sources 2002, 24, 1031–1041. [Google Scholar] [CrossRef]
- Kundu, S.; Gupta, A.K. Adsorptive removal of As(III) from aqueous solution using iron oxide coated cement (IOCC): Evaluation of kinetic, equilibrium and thermodynamic models. Sep. Purif. Technol. 2006, 51, 165–172. [Google Scholar] [CrossRef]
- Thirunavukkarasu, O.S.; Viraraghavan, T.; Subramanian, K.S. Arsenic removal from drinking water using iron oxide-coated sand. Water Air Soil Pollut. 2003, 142, 95–111. [Google Scholar] [CrossRef]
- Borah, D.; Satokawa, S.; Kato, S.; Kojima, T. Surface-modified carbon black for As(V) removal. J. Colloid. Interface Sci. 2008, 319, 53–62. [Google Scholar] [CrossRef]
- Borah, D.; Satokawa, S.; Kato, S.; Kojima, T. Sorption of As(V) from aqueous solution using acid modified carbon black. J. Hazard. Mater. 2009, 162, 1269–1277. [Google Scholar] [CrossRef] [PubMed]
- Ho, Y.S. Citation review of Lagergren kinetic rate equation on adsorption reactions. Scientometrics 2004, 59, 171–177. [Google Scholar]
- Ho, Y.S. Review of second-order models for adsorption systems. J. Hazard. Mater. 2006, 136, 681–689. [Google Scholar] [CrossRef]
- Mayta-Armas, A.F.; Canchanya-Huaman, Y.; Pomalaya-Velasco, J.; Bendezú-Roca, Y.; Checca-Huaman, N.R.; Ramos-Guivar, J.A. Enhanced Removal of As(V) and Pb(II) from Drinking and Irrigating Water Effluents Using Hydrothermally Synthesized Zeolite 5A. Water 2023, 15, 1892. [Google Scholar] [CrossRef]
- Atkins, P.W. Physical Chemistry; Oxford University Press: Oxford, UK, 1978. [Google Scholar]
- Langmuir, I. The adsorption of gases on plane surfaces of glass, mica and platinum. J. Am. Chem. Soc. 1918, 40, 1361–1403. [Google Scholar] [CrossRef]
- Freundlich, H.M.F. Over the adsorption in solution. J. Phys. Chem. 1906, 57, 385–470. [Google Scholar]
- Sips, R. On the Structure of a Catalyst Surface. J. Chem. Phys. 1948, 16, 490–495. [Google Scholar] [CrossRef]
- Yang, Q.; Zhong, Y.; Li, X.; Li, X.; Luo, K.; Wua, X.; Chen, H.; Liu, Y.; Zeng, G. Adsorption-coupled reduction of bromate by Fe(II)–Al(III) layered double hydroxide in fixed-bed column: Experimental and breakthrough curves analysis. J. Ind. Eng. Chem. 2015, 28, 54–59. [Google Scholar] [CrossRef]
- Patel, H. Fixed-bed column adsorption study: A comprehensive review. Appl. Water Sci. 2019, 9, 45. [Google Scholar] [CrossRef]
- Xavier, A.L.P.; Adarme, O.F.H.; Furtado, L.M.; Ferreira, G.M.D.; Mendes da Silva, L.H.; Gil, L.F.; Gurgel, L.V.A. Modeling adsorption of copper(II), cobalt(II) and nickel(II) metal ions from aqueous solution onto a new carboxylated sugarcane bagasse. Part II: Optimization of monocomponent fixed-bed column adsorption. J. Colloid Interface Sci. 2018, 516, 431–445. [Google Scholar] [CrossRef]
- Ruiz, M.; Roset, L.; Demey, H.; Castro, S.; Sastre, A.M.; Perez, J.J. Equilibrium and dynamic studies for adsorption of boron on calcium alginate gel beads using principal component analysis (PCA) and partial least squares (PLS). Mater. Sci. Eng. Technol. 2013, 44, 410–415. [Google Scholar] [CrossRef]
- Bohart, G.S.; Adams, E.Q. Some aspects of the behavior of charcoal with respect to chlorine. J. Am. Chem. Soc. 1920, 42, 523–544. [Google Scholar] [CrossRef]
- Thomas, H.C. Heterogeneous ion exchange in a flowing system. J. Am. Chem. Soc. 1944, 66, 1664–1666. [Google Scholar] [CrossRef]
- Clark, R.M. Modeling TOC removal by GAC: The general logistic function. J. Am. Water Works Assoc. 1987, 79, 33–131. [Google Scholar] [CrossRef]
- Raul, P.K.; Devi, R.R.; Umlong, I.M.; Banerjee, S.; Singh, L.; Purkait, M. Removal of Fluoride from Water Using Iron Oxide-Hydroxide Nanoparticles. J. Nanosci. Nanotechnol. 2012, 12, 3922–3930. [Google Scholar] [CrossRef] [PubMed]
- Hwang, S.W.; Umar, A.; Dar, G.N.; Kim, S.H.; Badran, R.I. Synthesis and Characterization of Iron Oxide Nanoparticles for Phenyl Hydrazine Sensor Applications. Sens. Lett. 2014, 12, 97–101. [Google Scholar] [CrossRef]
- Thommes, M.; Kaneko, K.; Neimark, A.V.; Olivier, J.P.; Rodriguez-Reinoso, F.; Rouquerol, J.; Sing, K.S.W. Physisorption of gazes, with special reference to the evaluation of surface area and pore size distribution (IUPAC Technical Report). Pure Appl. Chem. 2015, 87, 1052–1069. [Google Scholar] [CrossRef]
- Poblete, J.S. Cationic Polyelectrolytes. Synthesis, Characterization and Application in Analysis and Removal of Arsenic. Ph.D. Thesis, Université de Grenoble, Grenoble, France, 1 June 2010. [Google Scholar]
- Nandi, B.; Goswami, A.; Purkait, M. Removing of cationic dyes from aqueous solutions by kaolin: Kinetic and equilibrium studies. Appl. Clay Sci. 2009, 42, 583–590. [Google Scholar] [CrossRef]
- Mihailescu, M.; Negrea, A.; Ciopec, M.; Davidescu, C.M.; Negrea, P.; Duteanu, N.; Rusu, G. Gold (III) adsorption from dilute waste solutions onto Amberlite XAD7 resin modified with L-glutamic acid. Sci. Rep. 2019, 9, 8757. [Google Scholar] [CrossRef] [PubMed]
- Liang, J.; He, B.; Li, P.; Yu, J.; Zhao, X.; Wu, H.; Li, J.; Sun, Y.; Fan, Q. Facile construction of 3D magnetic graphene oxide hydrogel via incorporating assembly and chemical bubble and its application in arsenic remediation. J. Chem. Eng. 2019, 358, 552–563. [Google Scholar] [CrossRef]
- Guo, L.; Ye, P.; Wang, J.; Fu, F.; Wu, Z. Three-dimensional Fe3O4-graphene macroscopic composites for arsenic and arsenate removal. J. Hazard. Mater. 2015, 298, 28–35. [Google Scholar] [CrossRef]
- Pattanayak, J.; Mondal, K.; Mathew, S.; Lalvani, S.B. A parametric evaluation of the removal of As(V) and As(III) by carbon based adsorbents. Carbon 2000, 38, 589–596. [Google Scholar] [CrossRef]
- Bang, S.; Patel, M.; Lippincott, L.; Meng, X. Removal of arsenic from groundwater by granular titanium dioxide adsorbent. Chemosphere 2005, 60, 389–397. [Google Scholar] [CrossRef] [PubMed]
- Negrea, A.; Ciopec, M.; Lupa, L.; Davidescu, C.M.; Popa, A.; Ilia, G.; Negrea, P. Removal of As(V) by Fe(III) loaded XAD7 impregnated resin containing di(2-ethylhexyl) phosphoric acid DEHPA): Equilibrium, Kinetic, and Thermodinamic modeling studies. J. Chem. Eng. Data 2011, 565, 3830–3838. [Google Scholar] [CrossRef]
- Ciopec, M.; Negrea, A.; Lupa, L.; Davidescu, C.M.; Negrea, P. Studies regarding As(V) adsorption from underground watere by Fe-XAD8-DEHPA impregnated resin. Equilibrium sorption and fixed-bed column tests. Molecules 2014, 19, 16082–16101. [Google Scholar] [CrossRef]
- Ciopec, M.; Negrea, A.; Lupa, L.; Davidescu, C.M.; Negrea, P.; Sfarloaga, P. Performance evaluation of the Fe-IR-120 (Na)-DEHPA impregnated resin in the removal process of As(V) from aqueous solution. J. Mater. Sci. Eng. 2011, 1, 421–432. [Google Scholar]
- Ciopec, M.; Negrea, A.; Negrea, P.; Lupa, L. Arsenic removal from underground water through adsorption onto XAD-7 impregnated resin with mixed extractants. Glob. J. Avd. Pure Appl. Sci. 2013, 1, 203–217. [Google Scholar]
- Nguyen, T.H.; Tran, H.N.; Vu, H.A.; Trinh, M.V.; Nguyen, T.V.; Loganathan, P.; Vigneswaran, S.; Nguyen, T.M.; Trinh, V.T.; Vu, D.L.; et al. Laterite as a low-cost adsorbent in a sustainable decentralized filtration system to remove arsenic from groundwater in Vietnam. Sci. Total Environ. 2020, 699, 134267. [Google Scholar] [CrossRef]
- Zeng, H.; Wang, F.; Xu, K.; Zhang, J.; Li, D. Optimization and regeneration of chitosan-alginate hybrid adsorbent embedding iron–manganese sludge for arsenic removal. Colloids Surf. A 2020, 607, 125500. [Google Scholar] [CrossRef]
- Pillai, P.; Kakadiya, N.; Timaniya, Z.; Dharaskar, S.; Sillanpaa, M. Removal of arsenic using iron oxide amended with rice husk nanoparticles from aqueous solution. Mater. Today Proc. 2020, 28, 830–835. [Google Scholar] [CrossRef]
- Anirudhan, T.S.; Unnithan, M.R. Arsenic(V) removal from aqueous solutions using an anion exchanger derived from coconut coir pith and its recovery. Chemosphere 2007, 66, 60–66. [Google Scholar] [CrossRef]
- Ociński, D.; Jacukowicz-Sobala, I.; Mazur, P.; Raczyk, J.; Kociołek-Balawejder, E. Water treatment residuals containing iron and manganese oxides for arsenic removal from water—Characterization of physicochemical properties and adsorption studies. Chem. Eng. J. 2016, 294, 210–221. [Google Scholar] [CrossRef]
- Deliyanni, E.A.; Bakoyannakis, D.N.; Zouboulis, A.I.; Matis, K.A. Sorption of As(V) ions by akaganéite-type nanocrystals. Chemosphere 2003, 50, 155–163. [Google Scholar] [CrossRef]
- Choi, J.S.; Lingamdinne, L.P.; Yang, J.K.; Chang, Y.Y.; Koduru, J.R. Fabrication of chitosan/graphene oxide-gadolinium nanorods as a novel nanocomposite for arsenic removal from aqueous solutions. J. Mol. Liq. 2020, 320, 114410. [Google Scholar] [CrossRef]
- Zeng, L. A method for preparing silica-containing iron (III) oxide adsorbents for arsenic removal. Water Res. 2003, 37, 4351–4358. [Google Scholar] [CrossRef]
- Negrea, A.; Muntean, C.; Lupa, L.; Lazau, R.; Ciopec, M.; Negrea, P. Arsenite adsorption on some materials containing iron. Effect of anionic species. Chem. Bull. “Politehnica” Univ. Timis. 2010, 55, 46–49. [Google Scholar]
- Guo, H.; Stuben, D.; Berner, Z.; Kramar, U. Adsorption of arsenic species from water using activated siderite–hematite column filters. J. Hazard. Mater. 2008, 151, 628–635. [Google Scholar] [CrossRef]
- Negrea, A.; Mihailescu, M.; Mosoarca, G.; Ciopec, M.; Duteanu, N.; Negrea, P.; Minzatu, V. Estimation on Fixed-Bed Column Parameters of Breakthrough Behaviors for Gold Recovery by Adsorption onto Modified/Functionalized Amberlite XAD7. Int. J. Environ. Res. Public Health 2020, 17, 6868. [Google Scholar] [CrossRef]
- Vancea, C.; Mihailescu, M.; Negrea, A.; Mosoarca, G.; Ciopec, M.; Duteanu, N.; Negrea, P.; Minzatu, V. Batch and Fixed-Bed Column Studies on Palladium Recovery from Acidic Solution by Modified MgSiO3. Int. J. Environ. Res. Public Health 2020, 17, 9500. [Google Scholar] [CrossRef] [PubMed]
- Długosz, O.; Banach, M. Sorption of Ag+ and Cu2+ by Vermiculite in a Fixed-Bed Column: Design, Process Optimization and Dynamics Investigations. Appl. Sci. 2018, 8, 2221. [Google Scholar] [CrossRef]











| Kinetic Model | Equation | References |
|---|---|---|
| Pseudo-first-order | [26] | |
| Pseudo-second-order | [27] | |
| Elovich | [28] | |
| Intraparticle diffusion model | [28] |
| Equation Name | Equation | References |
|---|---|---|
| Gibbs–Helmholtz | [29] | |
| Van’t Hoff | ; | |
| Arrhenius |
| Isotherm | Equation | References |
|---|---|---|
| Langmuir | [30] | |
| Freundlich | [31] | |
| Sips | [32] |
| Kinetic Model | Equation | References |
|---|---|---|
| Bohart–Adams | [37] | |
| Thomas | [38] | |
| Clark | [39] |
| Parameter | Equation | Reference |
|---|---|---|
| Residual sum of squares | [28] | |
| Bayesian information criterion |
| Content (mg/kg d.m.) | |||||
|---|---|---|---|---|---|
| Fe | Mn | Mg | K | Ca | Na |
| 431.75 | 22.77 | 3.20 | 0.30 | 36.07 | 1.05 |
| Sample | Surface Area, BET, (m2/g) | BJH, Pore Size Distribution, Desorption, (nm) | Average Pore Size, (nm) | Total Pore Volume (cm3/g) |
|---|---|---|---|---|
| UMIC | 117 | 3.974 | 6.814 | 1.99 × 10−1 for pores smaller than 145.9 nm |
| Pseudo-First-Order | ||||||
| Temperature (K) | qe,exp (mg/g) | k1 (1/min) | qe,calc (mg/g) | R2 | RSS | BIC |
| 298 | 21.66 ± 0.57 | 0.025 ± 0.002 | 14.95 ± 0.32 | 0.9594 | 1.19 | −8.49 |
| 308 | 21.83 ± 0.62 | 0.025 ± 0.001 | 15.12 ± 0.41 | 0.9525 | 0.94 | −10.28 |
| 318 | 22.10 ± 0.47 | 0.026 ± 0.002 | 16.06 ± 0.27 | 0.9356 | 4.24 | 0.39 |
| 328 | 22.40 ± 0.71 | 0.029 ± 0.003 | 17.71 ± 0.68 | 0.9282 | 4.92 | 1.43 |
| Pseudo-Second-Order | ||||||
| Temperature (K) | qe,exp (mg/g) | k2 (g/mg·min) | qe,calc (mg/g) | R2 | RSS | BIC |
| 298 | 21.66 ± 0.57 | 767.70 | 25.73 ± 0.54 | 0.9956 | 0.58 | −13.49 |
| 308 | 21.83 ± 0.62 | 854.64 | 25.77 ± 0.51 | 0.9970 | 0.92 | −10.34 |
| 318 | 22.10 ± 0.47 | 964.08 | 26.45 ± 0.46 | 0.9967 | 1.63 | −6.29 |
| 328 | 22.40 ± 0.71 | 1057.39 | 27.32 ± 0.34 | 0.9968 | 1.95 | −5.02 |
| Elovich | ||||||
| Temperature (K) | a (g/mg) | b (mg/g∙min) | R2 | RSS | BIC | |
| 298 | 0.16 ± 0.02 | 2.14 ± 0.51 | 0.9891 | 3.71 | −0.54 | |
| 308 | 0.14 ± 0.01 | 1.59 ± 0.34 | 0.9881 | 3.38 | −1.19 | |
| 318 | 0.18 ± 0.02 | 3.28 ± 0.80 | 0.9924 | 2.31 | −3.84 | |
| 328 | 0.19 ± 0.02 | 4.01 ± 0.93 | 0.9917 | 2.58 | −3.08 | |
| Intraparticle Diffusion Model | ||||||
| Temperature (K) | kp (g/mg) | C1 (mg/g∙min) | R2 | RSS | BIC | |
| 298 | 2.37 ± 0.20 | 0.49 ± 0.05 | 0.9556 | 25.53 | 12.95 | |
| 308 | 2.09 ± 0.17 | 1.98 ± 0.07 | 0.9417 | 21.81 | 11.84 | |
| 318 | 2.05 ± 0.24 | 2.74 ± 0.14 | 0.9263 | 27.04 | 13.36 | |
| 328 | 2.07 ± 0.31 | 3.03 ± 0.11 | 0.9150 | 31.94 | 14.51 | |
| ΔH0 (J/mol) | ΔS0 (J/mol·K) | ΔG0 (kJ/mol) | R2 | |||
|---|---|---|---|---|---|---|
| 7.73 | 29.87 | 298 K | 308 K | 318 K | 328 K | 0.9847 |
| −8.89 | −9.19 | −9.49 | −9.79 | |||
| Langmuir Isotherm | |||||
| qm,exp (mg/g) | KL (L/mg) | qL (mg/g) | R2 | RSS | BIC |
| 70.1 | 0.04 | 84.64 | 0.9633 | 132.9 | 30.47 |
| Freundlich Isotherm | |||||
| KF (mg/g) (L/g)1/n | 1/nF | R2 | RSS | BIC | |
| 12.64 | 0.35 | 0.8258 | 632.4 | 46.04 | |
| Sips Isotherm | |||||
| KS | qS (mg/g) | 1/nS | R2 | RSS | BIC |
| 0.38 | 76.8 | 0.11 | 0.9894 | 95.02 | 27.12 |
| Materials | Adsorption Capacity (mg/g) | References |
|---|---|---|
| Magnetic graphene oxide, MGOH | 74.20 | [46] |
| Graphene macroscopic composites, PGA/P-Fe2O3 | 76.72 | [47] |
| Char carbon | 34.46 | [48] |
| Activated carbon | 30.48 | [48] |
| TiO2 | 41.00 | [49] |
| Iron-containing material obtained by iron oxalate calcination, FeII(COO)2·2H2O | 0.49 | [17] |
| Iron-containing material obtained by ferriammoniacal alum calcination, FeIII(NH4)(SO4)2·12H2O | 0.53 | [17] |
| Iron-containing material obtained by Mohr’s salt calcination, FeII(NH4)2(SO4)2·6H2O | 0.51 | [17] |
| Fe(III)-loaded Amberlite XAD7-impregnated resin containing di(2-ethylhexyl) phosphoric acid, XAD-7-DEHPA-Fe impregnated by the dry method | 0.176 | [50] |
| Fe(III)-loaded Amberlite XAD8-impregnated resin containing di(2-ethylhexyl) phosphoric acid, XAD-8-DEHPA-Fe | 0.226 | [51] |
| Fe(III)-loaded Amberlite IR 120 (Na)-impregnated resin containing di(2-ethylhexyl) phosphoric acid,IR-120 (Na)-DEHPA-Fe | 0.22 | [52] |
| Fe(III)-loaded Amberlite XAD7-impregnated resin containing di(2-ethylhexyl) phosphoric acid and tri-n-octylphosphine oxide, XAD-7-DEHPA-TOPO-Fe | 0.355 | [53] |
| Fe(III)-loaded Amberlite XAD7-impregnated resin containing di(2-ethylhexyl) phosphoric acid and triphenylphosphine oxide, XAD-7-DEHPA-TPPO-Fe | 0.298 | [53] |
| Iron oxide-coated cement | 0.670 | [22] |
| Laterite | 0.51 | [54] |
| Chitosan Alginate Fe–sludge Beds (CAFBs) strengthened with manganese sludge | 21.90 | [55] |
| Iron oxide amended with rice husk | 82.00 | [56] |
| Coconut coir pith anion exchanger | 2.36 | [57] |
| Waste residues containing Fe and Mn oxides | 132.0 | [58] |
| Synthetic akaganeite (β-FeO(OH)) | 110.0 | [59] |
| Chitosan–graphene oxide/gadolinium composite | 252.1 | [60] |
| UMIC | 70.1 | This study |
| Column Adsorption Parameters Specifications | |||||
|---|---|---|---|---|---|
| Bohart–Adams model | kBA (L/mg·min) | N0 (mg/L) | R2 | RSS | BIC |
| 9.88 × 10−5 | 1477 | 0.9895 | 0.36 | −234 | |
| Thomas model | kTh (L/mg·min) | qTh (mg/g) | R2 | RSS | BIC |
| 1.04 × 10−4 | 45,224 | 0.9770 | 0.55 | −203 | |
| Clark model | r (1/min) | A | R2 | RSS | BIC |
| 0.086 | 2.71 | 0.9910 | 0.20 | −276 | |
Disclaimer/Publisher’s Note: The statements, opinions and data contained in all publications are solely those of the individual author(s) and contributor(s) and not of MDPI and/or the editor(s). MDPI and/or the editor(s) disclaim responsibility for any injury to people or property resulting from any ideas, methods, instructions or products referred to in the content. |
© 2023 by the authors. Licensee MDPI, Basel, Switzerland. This article is an open access article distributed under the terms and conditions of the Creative Commons Attribution (CC BY) license (https://creativecommons.org/licenses/by/4.0/).
Share and Cite
Vancea, C.; Mladin, G.; Ciopec, M.; Negrea, A.; Duteanu, N.; Negrea, P.; Mosoarca, G.; Ianasi, C. Arsenic Removal Using Unconventional Material with Iron Content: Batch Adsorption and Column Study. Toxics 2023, 11, 849. https://doi.org/10.3390/toxics11100849
Vancea C, Mladin G, Ciopec M, Negrea A, Duteanu N, Negrea P, Mosoarca G, Ianasi C. Arsenic Removal Using Unconventional Material with Iron Content: Batch Adsorption and Column Study. Toxics. 2023; 11(10):849. https://doi.org/10.3390/toxics11100849
Chicago/Turabian StyleVancea, Cosmin, Georgiana Mladin, Mihaela Ciopec, Adina Negrea, Narcis Duteanu, Petru Negrea, Giannin Mosoarca, and Catalin Ianasi. 2023. "Arsenic Removal Using Unconventional Material with Iron Content: Batch Adsorption and Column Study" Toxics 11, no. 10: 849. https://doi.org/10.3390/toxics11100849
APA StyleVancea, C., Mladin, G., Ciopec, M., Negrea, A., Duteanu, N., Negrea, P., Mosoarca, G., & Ianasi, C. (2023). Arsenic Removal Using Unconventional Material with Iron Content: Batch Adsorption and Column Study. Toxics, 11(10), 849. https://doi.org/10.3390/toxics11100849

