Dynamic Release Characteristics and Kinetics of a Persulfate Sustained-Release Material
Abstract
:1. Introduction
2. Materials and Methods
2.1. Chemicals
2.2. PS@PW Preparation
2.3. Dynamic Column Experiments
2.3.1. Experimental Procedure
2.3.2. Parameters of PS@PW
2.4. Dynamic Release Kinetics Fitting Model
2.5. Establish Matrix Boundary Diffusion Model
3. Results and Discussion
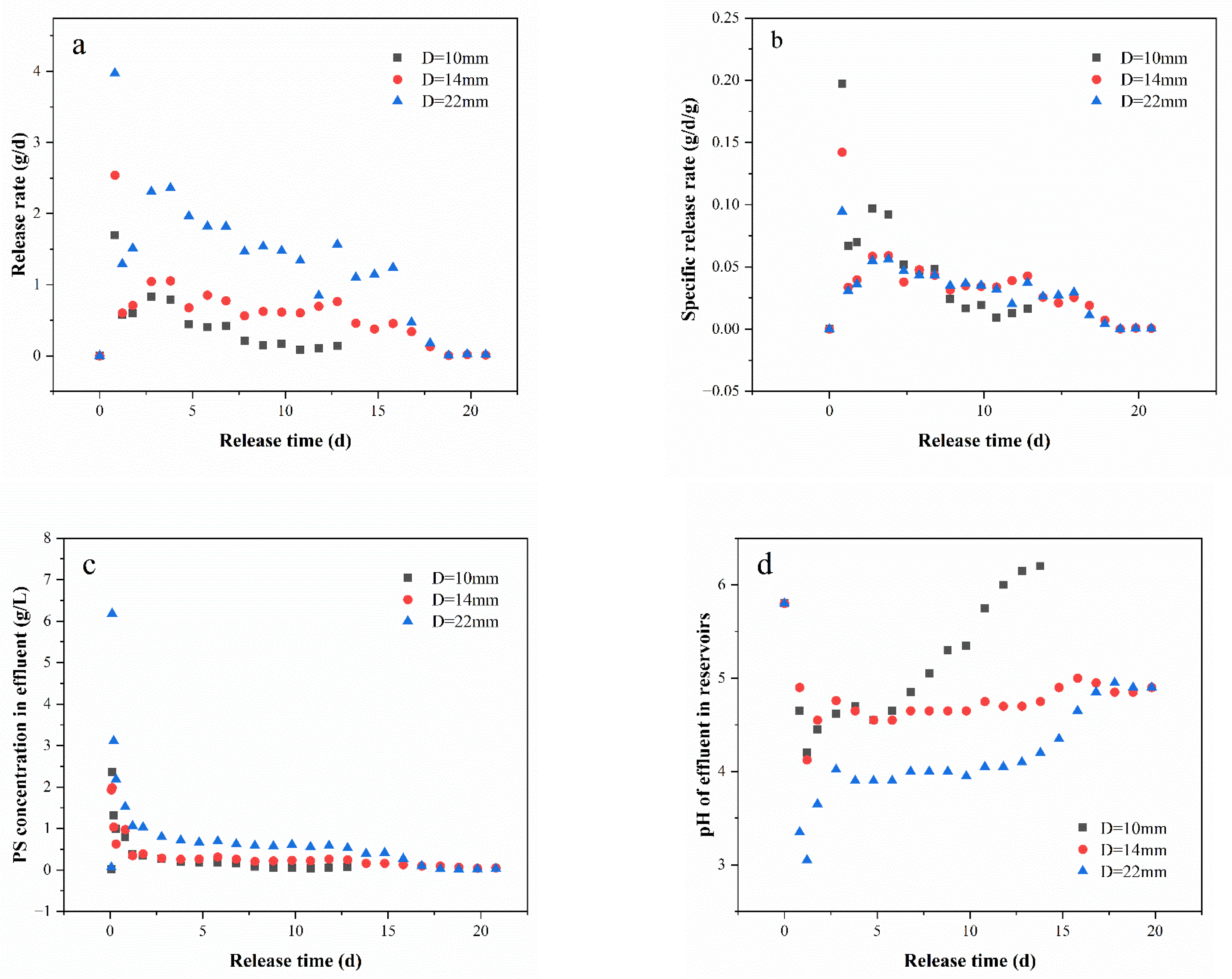
3.1. Dynamic Column Experiment of Different Sizes
3.2. Dynamic Release Kinetics Fitting Results
3.3. Matrix Boundary Diffusion Model Fitting
3.4. PS@PW Application Scene
3.4.1. Field Application Methods
3.4.2. Release Longevity Expectancy
4. Conclusions
Author Contributions
Funding
Institutional Review Board Statement
Informed Consent Statement
Data Availability Statement
Acknowledgments
Conflicts of Interest
References
- Xu, J.C.; Yang, L.H.; Yuan, J.X.; Li, S.Q.; Peng, K.M.; Lu, L.J.; Huang, X.F.; Liu, J. Coupling surfactants with ISCO for remediating of NAPLs: Recent progress and application challenges. Chemosphere 2022, 303, 135004. [Google Scholar] [CrossRef] [PubMed]
- Skarohlid, R.; Martinec, M.; McGachy, L.; Roskova, Z. In situ Chemical Oxidation Using Peroxydisulfate to Remove Organic Contaminants from Soil and Groundwater. Chem. Listy 2020, 114, 545–551. [Google Scholar]
- Chen, H.L.; Lu, J.Q.; Wu, L.G.; Wang, T.; Liu, Z.W.; Wang, C.; Yan, K.X. Developing a new controlled-release KMnO4 for groundwater DNAPL remediation. Environ. Technol. Innov. 2021, 24, 102064. [Google Scholar] [CrossRef]
- Ma, Y.; Feng, Y.; Feng, Y.; Liao, G.; Sun, Y.; Ma, J. Characteristics and mechanisms of controlled-release KMnO4 for groundwater remediation: Experimental and modeling investigations. Water Res. 2020, 171, 115385. [Google Scholar] [CrossRef]
- Liu, Z.; Ren, X.; Duan, X.; Sarmah, A.K.; Zhao, X. Remediation of environmentally persistent organic pollutants (POPs) by persulfates oxidation system (PS): A review. Sci. Total. Environ. 2023, 863, 160818. [Google Scholar] [CrossRef]
- Tang, X.J.; Yu, C.Y.; Lei, Y.Y.; Wang, Z.; Wang, C.P.; Wang, J.G. A novel chitosan-urea encapsulated material for persulfate slow-release to degrade organic pollutants. Hazard. Mater. 2022, 426, 128083. [Google Scholar] [CrossRef]
- Chokejaroenrat, C.; Sakulthaew, C.; Satapanajaru, T.; Tikhamram, T.; Pho-Ong, A.; Mulseesuk, T. Treating Methyl Orange in a Two-Dimensional Flow Tank by In Situ Chemical Oxidation Using Slow-Release Persulfate Activated with Zero-Valent Iron. Environ. Eng. Sci. 2015, 32, 1007–1015. [Google Scholar] [CrossRef]
- Wang, J.L.; Wang, S.Z. Activation of persulfate (PS) and peroxymonosulfate (PMS) and application for the degradation of emerging contaminants. Chem. Eng. J. 2018, 334, 1502–1517. [Google Scholar] [CrossRef]
- Rodriguez, S.; Vasquez, L.; Costa, D.; Romero, A.; Santos, A. Oxidation of Orange G by persulfate activated by Fe(II), Fe(III) and zero valent iron (ZVI). Chemosphere 2014, 101, 86–92. [Google Scholar] [CrossRef]
- Waclawek, S.; Lutze, H.V.; Grubel, K.; Padil, V.V.T.; Cernik, M.; Dionysiou, D.D. Chemistry of persulfates in water and wastewater treatment: A review. Chem. Eng. J. 2017, 330, 44–62. [Google Scholar] [CrossRef]
- Kambhu, A.; Comfort, S.; Chokejaroenrat, C.; Sakulthaew, C. Developing slow-release persulfate candles to treat BTEX contaminated groundwater. Chemosphere 2012, 89, 656–664. [Google Scholar] [CrossRef] [PubMed]
- Monteagudo, J.M.; Duran, A.; Gonzalez, R.; Exposito, A.J. In situ chemical oxidation of carbamazepine solutions using persulfate simultaneously activated by heat energy, UV light, Fe2+ ions, and H2O2. Appl. Catal. B-Environ. 2015, 176, 120–129. [Google Scholar] [CrossRef]
- Sutton, N.B.; Kalisz, M.; Krupanek, J.; Marek, J.; Grotenhuis, T.; Smidt, H.; de Weert, J.; Rijnaarts, H.H.M.; van Gaans, P.; Keijzer, T. Geochemical and Microbiological Characteristics during in Situ Chemical Oxidation and in Situ Bioremediation at a Diesel Contaminated Site. Environ. Sci. Technol. 2014, 48, 2352–2360. [Google Scholar] [CrossRef]
- Lee, J.; von Gunten, U.; Kim, J.H. Persulfate-Based Advanced Oxidation: Critical Assessment of Opportunities and Roadblocks. Environ. Sci. Technol. 2020, 54, 3064–3081. [Google Scholar] [CrossRef] [PubMed]
- Cai, J.; Zhang, Y. Enhanced degradation of bisphenol S by persulfate activated with sulfide-modified nanoscale zero-valent iron. Environ. Sci. Pollut. Res. 2022, 29, 8281–8293. [Google Scholar] [CrossRef] [PubMed]
- Li, L.; Yuan, X.; Zhou, Z.; Tang, R.; Deng, Y.; Huang, Y.; Xiong, S.; Su, L.; Zhao, J.; Gong, D. Research progress of photocatalytic activated persulfate removal of environmental organic pollutants by metal and nonmetal based photocatalysts. J. Clean. Prod. 2022, 372, 133420. [Google Scholar] [CrossRef]
- Liang, C.J.; Weng, C.Y. Evaluation of alkaline activated sodium persulfate sustained release rod for the removal of dissolved trichloroethylene. J. Hazard. Mater. 2022, 439, 129657. [Google Scholar] [CrossRef]
- Xu, R.; Xie, X.; Ren, B.; Dionysiou, D.D. Novel slow release ammonium persulfate capsules for in situ remediation of high arsenic groundwater. J. Hydrol. 2021, 600, 126571. [Google Scholar] [CrossRef]
- Liang, S.H.; Chen, K.F.; Wu, C.S.; Lin, Y.H.; Kao, C.M. Development of KMnO4-releasing composites for in situ chemical oxidation of TCE-contaminated groundwater. Water Res. 2014, 54, 149–158. [Google Scholar] [CrossRef]
- Yuan, B.L.; Li, F.; Chen, Y.M.; Fu, M.L. Laboratory-scale column study for remediation of TCE-contaminated aquifers using three-section controlled-release potassium permanganate barriers. J. Environ. Sci. 2013, 25, 971–977. [Google Scholar] [CrossRef]
- Yoo-iam, M.; Satapanajaru, T.; Chokejaroenrat, C.; Sakulthaew, C.; Comfort, S.; Kambhu, A. Developing persulfate-activator soft solid (PASS) as slow release oxidant to remediate phenol-contaminated groundwater. Environ. Technol. Innov. 2021, 22, 101396. [Google Scholar] [CrossRef]
- Wang, T.; Xu, K.M.; Yan, K.X.; Wu, L.G.; Chen, K.P.; Wu, J.C.; Chen, H.L. Comparative study of the performance of controlled release materials containing mesoporous MnOx in catalytic persulfate activation for the remediation of tetracycline contaminated groundwater. Sci. Total. Environ. 2022, 846, 157217. [Google Scholar] [CrossRef]
- Pham, P.T.; Federico-Perez, R.A.; Fine, K.L.; Matzek, L.W.; Carter, K.E.; Palomino, A.M.; Xue, Z.-L. Sustained release of persulfate from inert inorganic materials for groundwater remediation. Chemosphere 2020, 259, 127508. [Google Scholar] [CrossRef]
- Elias, P.K.; George, N.V. Modified Rosin-Paraffin Wax Resins as Controlled Delivery Systems for Fertilizers. Fabrication Parameters Governing Fertilizer Release in Water. Ind. Eng. Chem. Res. 1994, 33, 1623–1630. [Google Scholar] [CrossRef]
- Christenson, M.; Kambhu, A.; Reece, J.; Comfort, S.; Brunner, L. A five-year performance review of field-scale, slow-release permanganate candles with recommendations for second-generation improvements. Chemosphere 2016, 150, 239–247. [Google Scholar] [CrossRef] [PubMed]
- Rauscher, L.; Sakulthaew, C.; Comfort, S. Using slow-release permanganate candles to remediate PAH-contaminated water. J. Hazard. Mater. 2012, 241, 441–449. [Google Scholar] [CrossRef]
- Wang, H.L.; Liu, S.Q.; Zhang, X.Y. Preparation and application of sustained release microcapsules of potassium ferrate(VI) for dinitro butyl phenol (DNBP) wastewater treatment. J. Hazard. Mater. 2009, 169, 448–453. [Google Scholar] [CrossRef]
- El Assimi, T.; Lakbita, O.; El Meziane, A.; Khouloud, M.; Dahchour, A.; Beniazza, R.; Boulif, R.; Raihane, M.; Lahcini, M. Sustainable coating material based on chitosan-clay composite and paraffin wax for slow-release DAP fertilizer. Int. J. Biol. Macromol. 2020, 161, 492–502. [Google Scholar] [CrossRef]
- Hanstveit, A.O. Biodegradability of petroleum waxes and beeswax in an adapted CO2 evolution test. Chemosphere 1992, 25, 605–620. [Google Scholar] [CrossRef]
- Liang, C.; Chen, C.Y. Characterization of a Sodium Persulfate Sustained Release Rod for in Situ Chemical Oxidation Groundwater Remediation. Ind. Eng. Chem. Res. 2017, 56, 5271–5276. [Google Scholar] [CrossRef]
- Wang, B.; Zhang, Y.Z.; Gao, C.Y.; Du, X.Y.; Qu, T.X. Developing novel persulfate pellets to remediate BTEXs-contaminated groundwater. Water Process. Eng. 2023, 52, 103505. [Google Scholar] [CrossRef]
- Ma, J.; Ma, Y.; Rong, X.; Song, Q.; Wu, B.; Lan, X.; Feng, Y.; Qiu, X.; Zhang, P. Persulfate-based controlled release beads for in situ chemical oxidation of common organic pollutants. J. Environ. Chem. Eng. 2021, 9, 105627. [Google Scholar] [CrossRef]
- Liang, C.; Huang, C.F.; Mohanty, N.; Kurakalva, R.M. A rapid spectrophotometric determination of persulfate anion in ISCO. Chemosphere 2008, 73, 1540–1543. [Google Scholar] [CrossRef]
- Zhu, X.Q.; Hua, G.; Zhou, L.; Li, D.Q. Release behavior and mechanism of candle-shaped persulfate sustained-release material. China Environ. Sci. 2023, 43, 601–609. [Google Scholar] [CrossRef]
- Li, X.; Song, C.; Sun, B.; Gao, J.; Liu, Y.; Zhu, J. Kinetics of zero-valent iron-activated persulfate for methylparaben degradation and the promotion of Cl. J. Environ. Manag. 2022, 321, 115973. [Google Scholar] [CrossRef] [PubMed]
- Roseman, T.J.; Higuchi, W.I. Release of medroxyprogesterone acetate from a silicone polymer. J. Pharm. Sci. 1970, 59, 353–357. [Google Scholar] [CrossRef] [PubMed]
- Serra, L.; Domenech, J.; Peppas, N.A. Drug transport mechanisms and release kinetics from molecularly designed poly(acrylic acid-g-ethylene glycol) hydrogels. Biomaterials 2006, 27, 5440–5451. [Google Scholar] [CrossRef]
- Kumar, K.V.; Khaddour, I.A.; Gupta, V.K. A Pseudo Second-Order Kinetic Expression for Dissolution Kinetic Profiles of Solids in Solution. Ind. Eng. Chem. Res. 2010, 16, 7257–7262. [Google Scholar] [CrossRef]
- Liu, C. Numerical Modeling to Evaluate the Performance of Slow-Release Candles for Groundwater Remediation. Master’s Thesis, University of Nebraska, Lincoln, NE, USA, 2017. [Google Scholar]
- Evans, P.J.; Dugan, P.; Dung, N.; Lamar, M.; Crimi, M. Slow-release permanganate versus unactivated persulfate for long-term in situ chemical oxidation of 1,4-dioxane and chlorinated solvents. Chemosphere 2019, 221, 802–811. [Google Scholar] [CrossRef]







| Serial Number | High (mm) | Diameter (mm) | Weight (g) | PS Content (g) |
|---|---|---|---|---|
| 1 | 70 | 10 | 8.55 | 5.70 |
| 2 | 70 | 10 | 8.64 | 5.76 |
| 3 | 70 | 14 | 17.90 | 11.93 |
| 4 | 70 | 14 | 17.80 | 11.87 |
| 5 | 70 | 22 | 41.90 | 27.93 |
| 6 | 70 | 22 | 42.20 | 28.13 |
| Diameter | First-Order Kinetic Fitting | Second-Order Kinetic Fitting | ||
|---|---|---|---|---|
| k1 (d−1) | R2 | k2 (g−1d−1) | R2 | |
| D = 10 mm | −0.3095 | 0.9939 | 0.1201 | 0.9991 |
| D = 14 mm | −0.3206 | 0.8440 | 0.0532 | 0.9781 |
| D = 22 mm | −0.3585 | 0.8285 | 0.0217 | 0.9813 |
| Group | De (cm2/d) | t1/2 (d) | t95%(d) | t100%(d) |
|---|---|---|---|---|
| 1 | 0.020 | 4.8 | 24.5 | 30 |
| 2 | 0.024 | 3.7 | 20.5 | 26 |
| 3 | 0.028 | 3.5 | 17.5 | 22 |
| 4 | 0.032 | 2.8 | 15.5 | 20 |
| 5 | Test | 5.3 | 16.7 | 21 |
| Material Diameter (mm) | 80 | 100 | 120 |
|---|---|---|---|
| Predicted release longevity (d) | 288 | 450 | 648 |
Disclaimer/Publisher’s Note: The statements, opinions and data contained in all publications are solely those of the individual author(s) and contributor(s) and not of MDPI and/or the editor(s). MDPI and/or the editor(s) disclaim responsibility for any injury to people or property resulting from any ideas, methods, instructions or products referred to in the content. |
© 2023 by the authors. Licensee MDPI, Basel, Switzerland. This article is an open access article distributed under the terms and conditions of the Creative Commons Attribution (CC BY) license (https://creativecommons.org/licenses/by/4.0/).
Share and Cite
Zhu, X.; Ji, H.; Hua, G.; Zhou, L. Dynamic Release Characteristics and Kinetics of a Persulfate Sustained-Release Material. Toxics 2023, 11, 829. https://doi.org/10.3390/toxics11100829
Zhu X, Ji H, Hua G, Zhou L. Dynamic Release Characteristics and Kinetics of a Persulfate Sustained-Release Material. Toxics. 2023; 11(10):829. https://doi.org/10.3390/toxics11100829
Chicago/Turabian StyleZhu, Xueqiang, Hanghang Ji, Gang Hua, and Lai Zhou. 2023. "Dynamic Release Characteristics and Kinetics of a Persulfate Sustained-Release Material" Toxics 11, no. 10: 829. https://doi.org/10.3390/toxics11100829
APA StyleZhu, X., Ji, H., Hua, G., & Zhou, L. (2023). Dynamic Release Characteristics and Kinetics of a Persulfate Sustained-Release Material. Toxics, 11(10), 829. https://doi.org/10.3390/toxics11100829

