Biomonitoring of Alterations in Fish That Inhabit Anthropic Aquatic Environments in a Basin from Semi-Arid Regions
Abstract
1. Introduction
2. Materials and Methods
2.1. Study Site
2.2. Chemical Determinations: Physicochemical, Metals, and Pesticides
2.3. Test Organisms and Specimen Recollection
2.4. Biological Endpoints
2.4.1. Individual Endpoints
2.4.2. Biochemical Endpoints
Protein Determination
Determination of Catalase Activity
Lipid Peroxidation by Thiobarbituric Acid Reaction
Determination of Cholinesterase Activity
2.4.3. Cytogenetic Endpoints
Micronucleus (MN) Induction
2.5. Statistical Analysis
3. Results
3.1. Chemical Determinations
3.2. Biological Endpoints
3.2.1. Individual Endpoints
3.2.2. Biochemical Endpoints
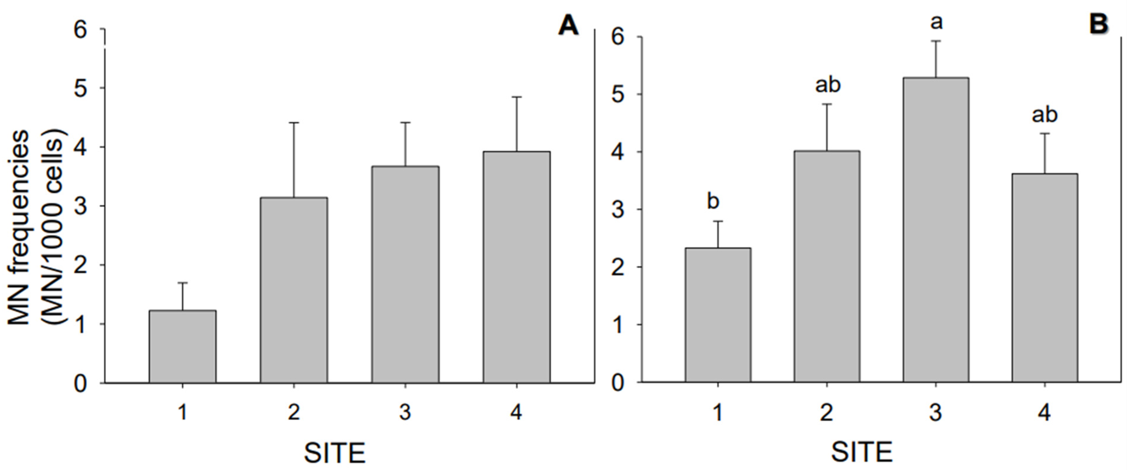
3.2.3. Cytogenetic Endpoints
3.3. Integration of Environmental Stressors and Biological Measurements by Multivariate Analysis
4. Discussion
Author Contributions
Funding
Institutional Review Board Statement
Informed Consent Statement
Data Availability Statement
Acknowledgments
Conflicts of Interest
References
- Karr, J.R. Biological Integrity and the Goal of Environmental Legislation: Lessons for Conservation Biology. Conserv. Biol. 1990, 4, 244–250. [Google Scholar] [CrossRef]
 - Echeverría-Sáenz, S.; Ugalde-Salazar, R.; Guevara-Mora, M.; Quesada-Alvarado, F.; Ruepert, C. Ecological Integrity Impairment and Habitat Fragmentation for Neotropical Macroinvertebrate Communities in an Agricultural Stream. Toxics 2022, 10, 346. [Google Scholar] [CrossRef] [PubMed]
 - Oscoz, J.; Gomà, J.; Ector, L.; Cambra, J.; Pardos, M.; Durán, C. Estudio comparativo del estado ecológico de los ríos de la cuenca del Ebro mediante macroinvertebrados y diatomeas. Limnetica 2007, 26, 143–158. [Google Scholar] [CrossRef]
 - Vidal, A.P.; Lozada, P.T.; Vélez, C.H.C. Water safety plans. Fundamentals and prospects for implementing them in Colombia. Ing. E Investig. 2009, 29, 79–85. [Google Scholar]
 - Duffy, C.; O′Donoghue, C.; Ryan, M.; Kilcline, K.; Upton, V.; Spillane, C. The impact of forestry as a land use on water quality outcomes: An integrated analysis. For. Policy Econ. 2020, 116, 102185. [Google Scholar] [CrossRef]
 - Williams-Subiza, E.A.; Assef, Y.A.; Brand, C. Point source pollution influences water quality of Patagonian streams more than land cover. River Res. Appl. 2022, 38, 69–79. [Google Scholar] [CrossRef]
 - Liu, M.; Xu, Y.; Nawab, J.; Rahman, Z.; Khan, S.; Idress, M.; Ud din, Z.; Ali, A.; Ahmad, R.; Khan, S.A.; et al. Contamination features, geo-accumulation, enrichments and human health risks of toxic heavy metal (loids) from fish consumption collected along Swat River, Pakistan. Environ. Technol. Innov. 2020, 17, 100554. [Google Scholar] [CrossRef]
 - Ouyang, Y.; Nkedi-Kizza, P.; Wu, Q.; Shinde, D.; Huang, C. Assessment of seasonal variations in surface water quality. Water Res. 2006, 40, 3800–3810. [Google Scholar] [CrossRef]
 - Peluso, J.; Coll, C.S.P.; Cristos, D.; Rojas, D.E.; Aronzon, C.M. Comprehensive assessment of water quality through different approaches: Physicochemical and ecotoxicological parameters. Sci. Total. Environ. 2021, 800, 149510. [Google Scholar] [CrossRef]
 - Suárez, R.P.; Goijman, A.P.; Cappelletti, S.; Solari, L.M.; Cristos, D.; Rojas, D.; Krug, P.; Babbitt, K.J.; Gavier-Pizarro, G.I. Combined effects of agrochemical contamination and forest loss on anuran diversity in agroecosystems of east-central Argentina. Sci. Total. Environ. 2021, 759, 143435. [Google Scholar] [CrossRef]
 - Ballesteros, M.; Rivetti, N.; Morillo, D.; Bertrand, L.; Amé, M.; Bistoni, M. Multi-biomarker responses in fish (Jenynsia multidentata) to assess the impact of pollution in rivers with mixtures of environmental contaminants. Sci. Total. Environ. 2017, 595, 711–722. [Google Scholar] [CrossRef] [PubMed]
 - Kuhn, E.C.; Jacques, M.T.; Teixeira, D.; Meyer, S.; Gralha, T.; Roehrs, R.; Camargo, S.; Schwerdtle, T.; Bornhorst, J.; Ávila, D.S. Ecotoxicological assessment of Uruguay River and affluents pre- and post-pesticides’ application using Caenorhabditis elegans for biomonitoring. Environ. Sci. Pollut. Res. 2021, 28, 21730–21741. [Google Scholar] [CrossRef] [PubMed]
 - Ustaoğlu, F.; Kükrer, S.; Taş, B.; Topaldemir, H. Evaluation of metal accumulation in Terme River sediments using ecological indices and a bioindicator species. Environ. Sci. Pollut. Res. 2022, 29, 47399–47415. [Google Scholar] [CrossRef] [PubMed]
 - Fuller, M.R.; Doyle, M.W.; Strayer, D.L. Causes and consequences of habitat fragmentation in river networks. Ann. N. Y. Acad. Sci. 2015, 1355, 31–51. [Google Scholar] [CrossRef] [PubMed]
 - Ossana, N.A.; Salibian, A. Micronucleus test for monitoring the genotoxic potential of the surface water of Luján River (Argentina) using erythrocytes of Lithobates catesbeianus tadpoles. Ecotoxicol. Environ. Contam. 2013, 8, 67–74. [Google Scholar]
 - Beliaef, B.; Burgeot, T. Integrated biomarker response: A useful tool for ecological risk assessment. Environ. Toxicol. Chem. 2002, 21, 1316–1322. [Google Scholar] [CrossRef]
 - Newman, M.C. Fundamentals of Ecotoxicology: The Science of Pollution, 5th ed.; CRC Press: Boca Raton, FL, USA, 2019. [Google Scholar]
 - Wohl, E.; Hall, R.O., Jr.; Lininger, K.B.; Sutfin, N.A.; Walters, D.M. Carbon dynamics of river corridors and the effects of human alterations. Ecol. Monogr. 2017, 87, 379–409. [Google Scholar] [CrossRef]
 - Wang, D.; Anagnostou, E.N.; Wang, G. The effect of sub-grid rainfall variability on the water balance and flux exchange processes resolved at climate scale: The European region contrasted to Central Africa and Amazon rainforests. Adv. Geosci. 2006, 7, 269–274. [Google Scholar] [CrossRef]
 - De Jong, S.M.; Jetten, V.G. Estimating spatial patterns of rainfall interception from remotely sensed vegetation indices and spectral mixture analysis. Int. J. Geogr. Inf. Sci. 2007, 21, 529–545. [Google Scholar] [CrossRef]
 - Nawab, J.; Khan, S.; Xiaoping, W. Ecological and health risk assessment of potentially toxic elements in the major rivers of Pakistan: General population vs. Fishermen. Chemosphere 2018, 202, 154–164. [Google Scholar] [CrossRef]
 - American Public Health Association—APHA. Standard Methods for the Examination of Water and Wastewater, 21st ed.; American Public Health Association: Washington, DC, USA, 2005; p. 1220. [Google Scholar]
 - US Environmental Protection Agency—USEPA. Test Methods for Evaluating Solid Waste. Vol I, Sec. B, Method 3500 (Organic Extraction and Sample Preparation), Method 3550 (Sonication Extraction Procedure) and 3620 (Clean-Up Procedure); USEPA: Washington, DC, USA, 1986. [Google Scholar]
 - Maggioni, T.; Hued, A.C.; Monferrán, M.V.; Bonansea, R.I.; Galanti, L.N.; Amé, M.V. Bioindicators and biomarkers of environmental pollution in the middle-lower basin of the Suquía River (Córdoba, Argentina). Arch. Environ. Contam. Toxicol. 2012, 63, 337–353. [Google Scholar] [CrossRef] [PubMed]
 - Brodeur, J.C.; Sanchez, M.; Castro, L.; Rojas, D.E.; Cristos, D.; Damonte, M.J.; Poliserpi, M.B.; D′Andrea, M.F.; Andriulo, A.E. Accumulation of current-use pesticides, cholinesterase inhibition and reduced body condition in juvenile one-sided livebearer fish (Jenynsia multidentata) from the agricultural Pampa region of Argentina. Chemosphere 2017, 185, 36–46. [Google Scholar] [CrossRef] [PubMed]
 - Malabarba, L.; Reis, R.; Vari, R.; Lucena, Z.; Lucena, C. Phylogeny and Classification of Neotropical Fishes; EDIPUCRS: Porto Alegre, Brazil, 1998. [Google Scholar]
 - Cazenave, J.; Nores, M.L.; Miceli, M.; Díaz, M.P.; Wunderlin, D.A.; Bistoni, M.A. Changes in the swimming activity and the glutathione S-transferase activity of Jenynsia multidentata fed with microcystin-RR. Water Res. 2008, 42, 1299–1307. [Google Scholar] [CrossRef] [PubMed]
 - Monferran, M.V.; Pesce, S.F.; Cazenave, J.; Wunderlin, D.A. Detoxification and antioxidant responses in diverse organs of Jenynsia multidentata experimentally exposed to 1, 2-and 1, 4-dichlorobenzene. Environ. Toxicol. Int. J. 2008, 23, 184–192. [Google Scholar] [CrossRef] [PubMed]
 - Pesce, S.F.; Cazenave, J.; Monferrán, M.V.; Frede, S.; Wunderlin, D.A. Integrated survey on toxic effects of lindane on neotropical fish: Corydoras paleatus and Jenynsia multidentata. Environ. Pollut. 2008, 156, 775–783. [Google Scholar] [CrossRef] [PubMed]
 - Hued, A.C.; Oberhofer, S.; Bistoni, M.D.L. Exposure to a Commercial Glyphosate Formulation (Roundup®) Alters Normal Gill and Liver Histology and Affects Male Sexual Activity of Jenynsia multidentata (Anablepidae, Cyprinodontiformes). Arch. Environ. Contam. Toxicol. 2011, 62, 107–117. [Google Scholar] [CrossRef]
 - Hued, A.C.; Bistoni, M.D.L. Development and validation of a Biotic Index for evaluation of environmental quality in the central region of Argentina. Hydrobiologia 2005, 543, 279–298. [Google Scholar] [CrossRef]
 - Guzmán, M.C.; Bistoni, M.A.; Tamagnini, L.M.; González, R.D. Recovery of Escherichia coli in fresh water fish, Jenynsia multidentata and Bryconamericus iheringi. Water Res. 2004, 38, 2368–2374. [Google Scholar] [CrossRef]
 - Monferrán, M.V.; Galanti, L.N.; Bonansea, R.I.; Amé, M.V.; Wunderlin, D.A. Integrated survey of water pollution in the Suquía River basin (Córdoba, Argentina). J. Environ. Monit. 2011, 13, 398–409. [Google Scholar] [CrossRef]
 - Consejo Nacional de Investigaciones Científicas y Técnicas—CONICET. Reference Ethical Framework for Biomedical Research: Ethical Principles for Research with Laboratory, Farm, and Wild Animals; CONICET: Buernos Aires, Argentina, 2005. [Google Scholar]
 - Schulte-Hostedde, A.I.; Zinner, B.; Millar, J.S.; Hickling, G.J. Restitution of mass–size residuals: Validating body condition indices. Ecology 2005, 86, 155–163. [Google Scholar] [CrossRef]
 - Bradford, M.M. A rapid and sensitive method for the quantitation of microgram quantities of protein utilizing the principle of protein-dye binding. Anal. Biochem. 1976, 72, 248–254. [Google Scholar] [CrossRef] [PubMed]
 - Aebi, H. Catalase In Vitro. In Methods in Enzymology; Academic press: Cambridge, MA, USA, 1984; Volume 105, pp. 121–126. [Google Scholar]
 - Buege, J.A.; Aust, S.D. Microsomal Lipid Peroxidation. In Methods in Enzymology; Academic press: Cambridge, MA, USA, 1978; Volume 52, pp. 302–310. [Google Scholar]
 - Ellman, G.L.; Courtney, K.D.; Andres, V., Jr.; Featherstone, R.M. A new and rapid colorimetric determination of acetylcholinesterase activity. Biochem. Pharmacol. 1961, 7, 88–95. [Google Scholar] [CrossRef] [PubMed]
 - Fenech, M. Cytokinesis-block micronucleus cytome assay. Nat. Protoc. 2007, 2, 1084–1104. [Google Scholar] [CrossRef] [PubMed]
 - Pérez-Iglesias, J.M.; González, P.; Calderón, M.R.; Natale, G.S.; Almeida, C.A. Comprehensive evaluation of the toxicity of the flame retardant (decabromodiphenyl ether) in a bioindicator fish (Gambusia affinis). Environ. Sci. Pollut. Res. 2022, 29, 50845–50855. [Google Scholar] [CrossRef]
 - Vera-Candioti, J.; Soloneski, S.; Larramendy, M.L. Genotoxic and cytotoxic efects of the formulated insecticide Afcida® on Cnesterodon decemmaculatus (Jenyns, 1842) (Pisces: Poeciliidae). Mutat. Res. 2010, 703, 180–186. [Google Scholar] [CrossRef]
 - Zar, J.H. Biostatistical Analysis, 5th ed.; Wikipedia: Hoboken, NJ, USA, 2010. [Google Scholar]
 - Jackson, D.A. Stopping rules in principal components analysis: A comparison of heuristical and statistical approaches. Ecology 1993, 74, 2204–2214. [Google Scholar] [CrossRef]
 - Jollife, I.T.; Cadima, J. Principal component analysis: A review and recent developments. Philos. Trans. Royal. Soc. Math. Phys. Eng. Sci. 2016, 374, 20150202. [Google Scholar] [CrossRef]
 - Buckman, K.L.; Mason, R.P.; Seelen, E.; Taylor, V.F.; Balcom, P.H.; Chipman, J.; Chen, C.Y. Patterns in forage fish mercury concentrations across Northeast US estuaries. Environ. Res. 2021, 194, 110629. [Google Scholar] [CrossRef]
 - Bani, L.; Orioli, V.; Giacchini, R.; Parenti, P.; Dondina, O.; Prokić, M.; Faggio, K.; Campli, G. Can antioxidant responses be induced by habitat fragmentation process? Oikos 2022, 2022, e09292. [Google Scholar] [CrossRef]
 - de la Torre, F.R.; Ferrari, L.; Salibián, A. Biomarkers of a native fish species (Cnesterodon decemmaculatus) application to the water toxicity assessment of a peri-urban polluted river of Argentina. Chemosphere 2005, 59, 577–583. [Google Scholar] [CrossRef]
 - de la Torre, F.R.; Salibián, A.; Ferrari, L. Assessment of the pollution impact on biomarkers of effect of a freshwater fish. Chemosphere 2007, 68, 1582–1590. [Google Scholar] [CrossRef] [PubMed]
 - Ossana, N.A.; Eissa, B.L.; Baudou, F.G.; Castañé, P.M.; Soloneski, S.; Ferrari, L. Multibiomarker response in ten spotted live-bearer fish Cnesterodon decemmaculatus (Jenyns, 1842) exposed to Reconquista River water. Ecotoxicol. Environ. Saf. 2016, 133, 73–81. [Google Scholar] [CrossRef] [PubMed]
 - Ossana, N.A.; Baudou, F.G.; Castañé, P.M.; Tripoli, L.; Soloneski, S.; Ferrari, L. Histological, Genotoxic, and Biochemical Effects on Cnesterodon decemmaculatus (Jenyns 1842) (Cyprinodontiformes, Poeciliidae): Early Response Bioassays to Assess the Impact of Receiving Waters. J. Toxicol. 2019, 2019, 4687685. [Google Scholar] [CrossRef]
 - Baudou, F.G.; Ossana, N.A.; Castañé, P.M.; Mastrángelo, M.M.; Núñez, A.A.G.; Palacio, M.J.; Ferrari, L. Use of integrated biomarker indexes for assessing the impact of receiving waters on a native neotropical teleost fish. Sci. Total Environ. 2019, 650, 1779–1786. [Google Scholar] [CrossRef] [PubMed]
 - De la Torre, F.R.; Demichelis, S.O.; Ferrari, L.; Salibián, A. Toxicity of Reconquista River water: Bioassays with juvenile Cnesterodon decemmaculatus. Bull. Environ. Contam. Toxicol. 1997, 58, 558–565. [Google Scholar] [CrossRef]
 - Nawab, J.; Din, Z.U.; Ahmad, R.; Khan, S.; Zafar, M.I.; Faisal, S.; Raziq, W.; Khan, H.; Rahman, Z.U.; Ali, A.; et al. Occurrence, distribution, and pollution indices of potentially toxic elements within the bed sediments of the riverine system in Pakistan. Environ. Sci. Pollut. Res. 2021, 28, 54986–55002. [Google Scholar] [CrossRef] [PubMed]
 - Gobierno de la República Argentina, Ministerio de Ambiente y Desarrollo Sostenible. Reglamentación de la Ley N° 24.051. Residuos Peligrosos. Decreto 831/93, Buenos Aires, Argentina. Date of decree publication: 23/4/1993; Buenos Aires, Argentina.
 - Canadian Council of Ministers of the Environment. Canadian Council of Ministers of the Environment. Canadian Water Quality Guidelines for the Protection of Aquatic life: Permethrin. In Canadian Environmental Quality Guidelines, 1999; Canadian Council of Ministers of the Environment: Winnipeg, MB, Canada, 2006. [Google Scholar]
 





| Site | Site | Permitted Level in Human Drinking Water (µg/L) a | Permitted Level for Protection of Aquatic Life (µg/L) a | ||||||||
|---|---|---|---|---|---|---|---|---|---|---|---|
| Analytic Measurement | S1 | S2 | S3 | S4 | S1 | S2 | S3 | S4 | |||
| Dry Season | Wet Season | ||||||||||
| Physico Chemical | pH | 8.77 | 8.42 | 9.01 | 7.86 | 8.92 | 7.66 | 7.81 | 7.85 | ||
| Conductivity (µS/cm) | 349 | 434 | 1680 | 1814 | 216 | 509 | 2142 | 1847 | |||
| Nitrates (mg/L) | 0.6 | 2.2 | 1.0 | 1.0 | 0.70 | 0.50 | 0.75 | 0.80 | 10,000 | NL | |
| Nitrite (mg/L) | 0.120 | 0.075 | 0.018 | 0.033 | 0.012 | 0.008 | 0.004 | 0.015 | 1000 | 60 | |
| Amonia (mg/L) | 0.04 | 0.13 | 0.60 | 0.60 | 0.21 | 0.36 | 0.16 | 0.19 | 50 | 1370 | |
| Phosphate (mg/L) | 0.028 | 0.021 | 0.023 | 0.028 | 0.012 | 0.185 | 0.020 | 0.062 | |||
| Total Hardness (mg CaCO3/L) | 176 | 180 | 468 | 484 | 61.45 | 136.8 | 529.1 | 471.9 | |||
| DO (mg 02/L) | 11.23 | 10.16 | 10.16 | 8.32 | 8.50 | 6.22 | 9.26 | 8.93 | |||
| COD (mg 02/L) | 3.58 | 3.87 | 2.72 | 2.58 | 1.40 | 1.40 | 1.26 | 1.55 | |||
| BOD (mg 02/L) | 40.82 | 44.12 | 31.08 | 29.41 | 1.59 | 1.59 | 14.36 | 1.77 | |||
| Metals (µg/L) | As | 6.27 | 3.48 | 5.32 | 21.09 | 7.13 | 6.37 | 11.04 | 23.34 | 50 | 50 | 
| Ba | 59.96 | 50.12 | 45.47 | 37.97 | 15.26 | 60.67 | 72.80 | 27.61 | 1000 | NL | |
| Cd | 0.441 | 0.031 | 0.001 | 0.031 | ND | ND | ND | ND | 5 | 0.2 | |
| Cu | 465.6 | 395.9 | 344.6 | 380.0 | 28.53 | 27.76 | 24.05 | 33.73 | 1000 | 2 | |
| Cr | 5.59 | 1.81 | 1.49 | 2.56 | 82.02 | 52.60 | 52.46 | 57.83 | 50 | 2 | |
| Fe | 618.32 | 95.71 | 113.44 | 142.10 | 194.03 | 501.31 | 407.98 | 269.13 | NL | NL | |
| Mn | 49.91 | 54.27 | 41.97 | 183.97 | 484.77 | 271.21 | 183.48 | 15.71 | 100 | 100 | |
| Pb | 50.01 | 0.42 | 0.90 | ND | 2.62 | 1.90 | 2.55 | 2.25 | 50 | 1 | |
| Zn | 52.29 | 45.96 | 58.36 | 24.67 | 100.4 | 38.59 | 32.47 | 51.93 | 5000 | 30 | |
| Pesticides (µg/L) | α-BHC | 0.020 | BLQs | 0.025 | 0.020 | 0.019 | 0.019 | 0.020 | 0.025 | 0.131 | 0.01 | 
| Chlorpyrifos | BLQs | BLQs | BLQs | BLQs | 0.167 | 0.079 | 0.079 | 0.050 | 90 | 0.083 | |
| Permetrin | 0.177 | BLQs | 0.233 | 0.146 | 0.101 | BLQs | BLQs | 0.057 | NL | 0.004 b | |
| Cypermethrin | 0.271 | 0.108 | 0.322 | 0.183 | 0.132 | 0.108 | 0.116 | 0.107 | NL | 0.006 | |
| Endosulfan α | BLQs | BLQs | 0.107 | BLQs | BLQs | BLQs | 0.097 | 0.223 | 138 | 0.02 | |
| Endosulfan β | 0.222 | BLQs | BLQs | BLQs | BLQs | BLQs | BLQs | BLQs | 0.02 | ||
| Endosulfan sulfate | 0.066 | 0.024 | 0.206 | 0.209 | 0.082 | BLQs | BLQs | 0.155 | NL | ||
Disclaimer/Publisher’s Note: The statements, opinions and data contained in all publications are solely those of the individual author(s) and contributor(s) and not of MDPI and/or the editor(s). MDPI and/or the editor(s) disclaim responsibility for any injury to people or property resulting from any ideas, methods, instructions or products referred to in the content.  | 
© 2023 by the authors. Licensee MDPI, Basel, Switzerland. This article is an open access article distributed under the terms and conditions of the Creative Commons Attribution (CC BY) license (https://creativecommons.org/licenses/by/4.0/).
Share and Cite
Pérez-Iglesias, J.M.; Bach, N.C.; Colombetti, P.L.; Acuña, P.; Colman-Lerner, J.E.; González, S.P.; Brodeur, J.C.; Almeida, C.A. Biomonitoring of Alterations in Fish That Inhabit Anthropic Aquatic Environments in a Basin from Semi-Arid Regions. Toxics 2023, 11, 73. https://doi.org/10.3390/toxics11010073
Pérez-Iglesias JM, Bach NC, Colombetti PL, Acuña P, Colman-Lerner JE, González SP, Brodeur JC, Almeida CA. Biomonitoring of Alterations in Fish That Inhabit Anthropic Aquatic Environments in a Basin from Semi-Arid Regions. Toxics. 2023; 11(1):73. https://doi.org/10.3390/toxics11010073
Chicago/Turabian StylePérez-Iglesias, Juan Manuel, Nadia Carla Bach, Patricia Laura Colombetti, Pablo Acuña, Jorge Esteban Colman-Lerner, Silvia Patricia González, Julie Celine Brodeur, and Cesar Américo Almeida. 2023. "Biomonitoring of Alterations in Fish That Inhabit Anthropic Aquatic Environments in a Basin from Semi-Arid Regions" Toxics 11, no. 1: 73. https://doi.org/10.3390/toxics11010073
APA StylePérez-Iglesias, J. M., Bach, N. C., Colombetti, P. L., Acuña, P., Colman-Lerner, J. E., González, S. P., Brodeur, J. C., & Almeida, C. A. (2023). Biomonitoring of Alterations in Fish That Inhabit Anthropic Aquatic Environments in a Basin from Semi-Arid Regions. Toxics, 11(1), 73. https://doi.org/10.3390/toxics11010073
        
