Modelling the Effect of COVID-19 Lockdown on Air Pollution in Makkah Saudi Arabia with a Supervised Machine Learning Approach
Abstract
:1. Introduction
2. Materials and Methods
2.1. Air Quality Monitoring Stations
2.2. Statistical Data Analysis, Modelling, and Software
- (a)
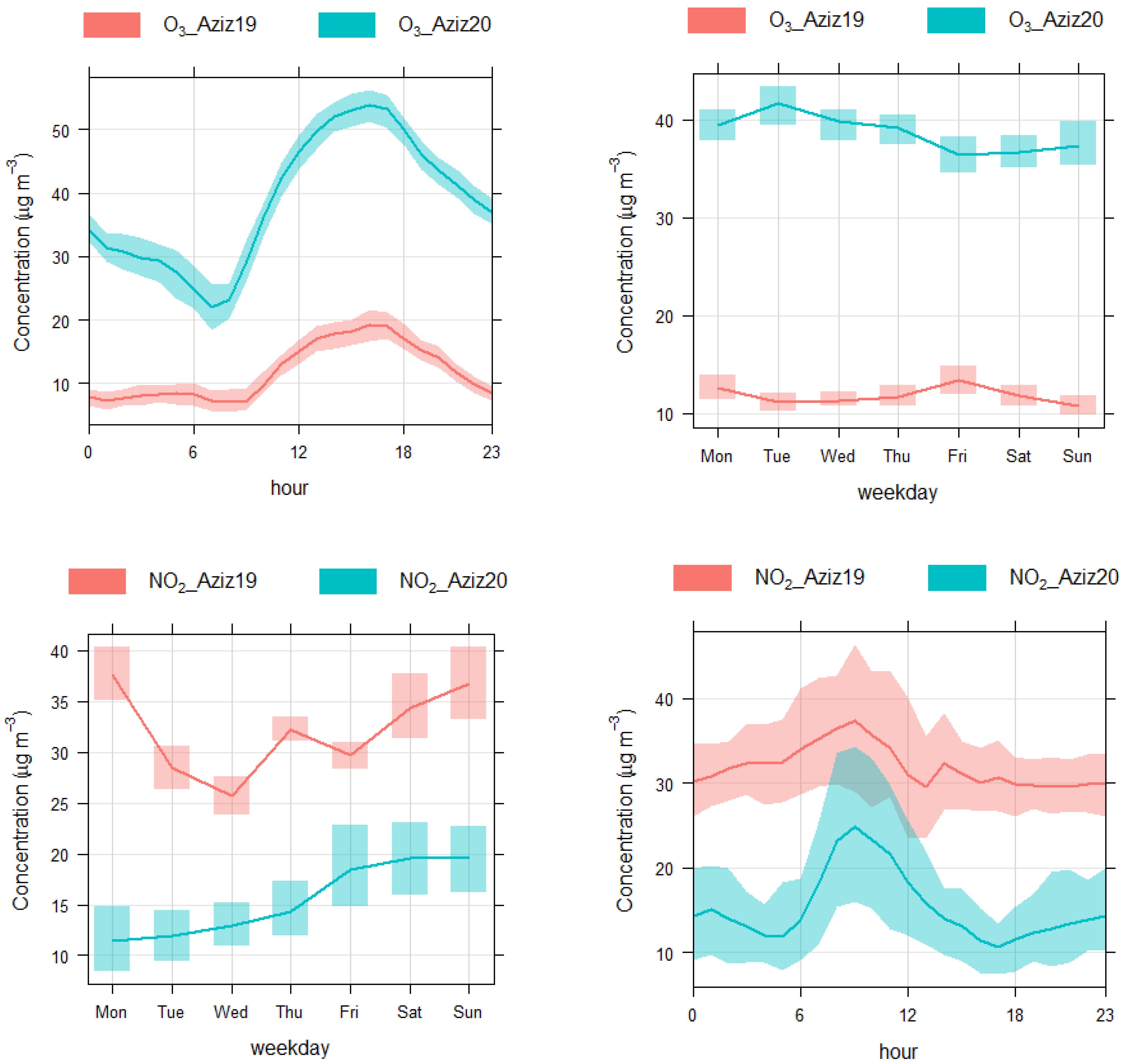
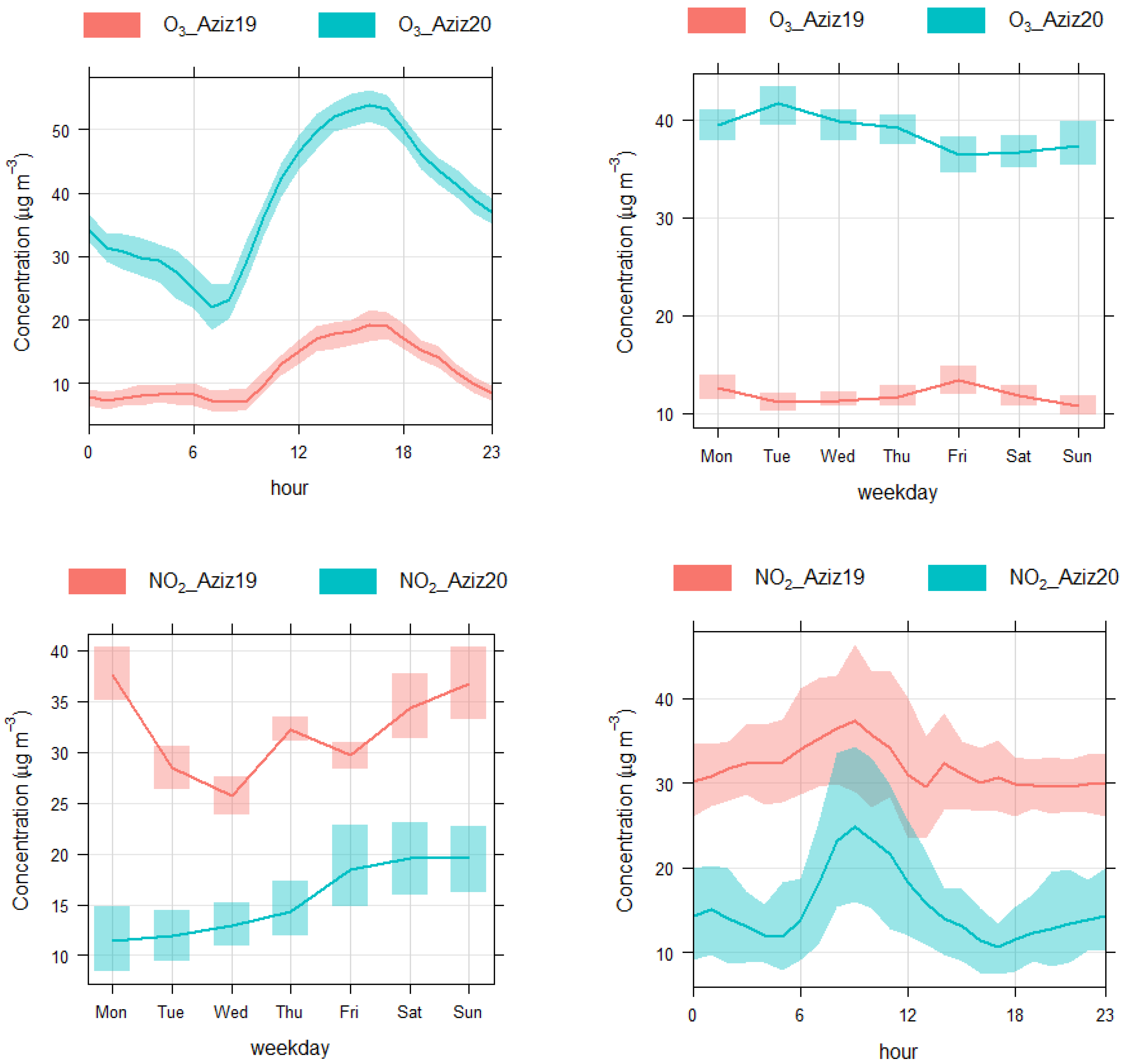
- Comparing measured concentrations of 2020 with 2019 during the lockdown period, and
- (b)
- Comparing the predicted and measured concentrations during the lockdown months in 2020 by employing a supervised machine learning approach—generalised additive model (GAM).
3. Results
3.1. Comparison of the Measured Concentrations in 2019 and 2020 during the Lockdown Period
3.2. Comparing Predicted and Measured Concentrations
4. Discussion
5. Conclusions
Author Contributions
Funding
Institutional Review Board Statement
Informed Consent Statement
Data Availability Statement
Acknowledgments
Conflicts of Interest
References
- Lai, C.-C.; Shih, T.-P.; Ko, W.-C.; Tang, H.-J.; Hsueh, P.-R. Severe acute respiratory syndrome coronavirus 2 (SARS-CoV-2) and coronavirus disease-2019 (COVID-19): The epidemic and the challenges. Int. J. Antimicrob. Agents 2020, 55, 105924. [Google Scholar] [CrossRef] [PubMed]
- WHO-TEAM Interim Recommendations on Obligatory Hand Hygiene against Transmission of COVID-19. 1 April 2020. Available online: https://www.who.int/publications/m/item/interim-recommendations-on-obligatory-hand-hygiene-against-transmission-of-covid-19 (accessed on 4 April 2022).
- WHO. Coronavirus Disease (COVID-2019) Situation Reports-132; World Health Organization: Geneva, Switzerland, 2020. [Google Scholar]
- Siddique, A.; Shahzad, A.; Lawler, J.; Mahmoud, K.A.; Lee, D.S.; Ali, N.; Bilal, M.; Rasool, K. Unprecedented environmental and energy impacts and challenges of COVID-19 pandemic. Environ. Res. 2021, 193, 110443. [Google Scholar] [CrossRef] [PubMed]
- Munir, S.; Coskuner, G.; Jassim, M.S.; Aina, Y.A.; Ali, A.; Mayfield, M. Changes in Air Quality Associated with Mobility Trends and Meteorological Conditions during COVID-19 Lockdown in Northern England, UK. Atmosphere 2021, 12, 504. [Google Scholar] [CrossRef]
- Amawi, H.; Abu Deiab, G.I.; Aljabali, A.A.A.; Dua, K.; Tambuwala, M.M. COVID-19 pandemic: An overview of epidemiology, pathogenesis, diagnostics and potential vaccines and therapeutics. Ther. Deliv. 2020, 11, 245–268. [Google Scholar] [CrossRef]
- Dutheil, F.; Baker, J.S.; Navel, V. COVID-19 as a factor influencing air pollution? Environ. Pollut. 2020, 263, 114466. [Google Scholar] [CrossRef]
- Sharma, S.; Zhang, M.; Anshika; Gao, J.; Zhang, H.; Kota, S.H. Effect of restricted emissions during COVID-19 on air quality in India. Sci. Total Environ. 2020, 728, 138878. [Google Scholar] [CrossRef]
- Kroll, J.H.; Heald, C.L.; Cappa, C.D.; Farmer, D.K.; Fry, J.L.; Murphy, J.G.; Steiner, A.L. The complex chemical effects of COVID-19 shutdowns on air quality. Nat. Chem. 2020, 12, 777–779. [Google Scholar] [CrossRef]
- Munir, S.; Luo, Z.; Dixon, T. Comparing different approaches for assessing the impact of COVID-19 lockdown on urban air quality in Reading, UK. Atmos. Res. 2021, 261, 105730. [Google Scholar] [CrossRef]
- Venter, Z.S.; Aunan, K.; Chowdhury, S.; Lelieveld, J. Air pollution declines during COVID-19 lockdowns mitigate the global health burden. Environ. Res. 2021, 192, 110403. [Google Scholar] [CrossRef]
- WHO Ambient Air Pollution. Available online: https://www.who.int/health-topics/air-pollution#tab=tab_2 (accessed on 4 April 2022).
- Singh, B.P.; Eldesoky, G.E.; Kumar, P.; Chandra, P.; Islam, M.A.; Rahman, S. A Comparative Study of Particulate Matter Between New Delhi, India and Riyadh, Saudi Arabia During the COVID-19 Lockdown Period. Front. Environ. Sci. 2022, 9, 784959. [Google Scholar] [CrossRef]
- Dutta, A.; Jinsart, W. Air Quality, Atmospheric Variables and Spread of COVID-19 in Delhi (India): An Analysis. Aerosol Air Qual. Res. 2021, 21, 200417. [Google Scholar] [CrossRef]
- Anil, I.; Alagha, O. The impact of COVID-19 lockdown on the air quality of Eastern Province, Saudi Arabia. Air Qual. Atmos. Health 2021, 14, 117–128. [Google Scholar] [CrossRef] [PubMed]
- Kumari, P.; Toshniwal, D. Impact of lockdown on air quality over major cities across the globe during COVID-19 pandemic. Urban Clim. 2020, 34, 100719. [Google Scholar] [CrossRef]
- Pacheco, H.; Díaz-López, S.; Jarre, E.; Pacheco, H.; Méndez, W.; Zamora-Ledezma, E. NO2 levels after the COVID-19 lockdown in Ecuador: A trade-off between environment and human health. Urban Clim. 2020, 34, 100674. [Google Scholar] [CrossRef]
- Rodríguez-Urrego, D.; Rodríguez-Urrego, L. Air quality during the COVID-19: PM2.5 analysis in the 50 most polluted capital cities in the world. Environ. Pollut. 2020, 266, 115042. [Google Scholar] [CrossRef]
- Muhammad, S.; Long, X.; Salman, M. COVID-19 pandemic and environmental pollution: A blessing in disguise? Sci. Total Environ. 2020, 728, 138820. [Google Scholar] [CrossRef]
- Morey, E.; Habeebollah, T.M.; Othman, A. Assessing the air quality of megacities during the COVID-19 pandemic lockdown: A case study from Makkah City, Saudi Arabia. Arab. J. Geosci. 2021, 14, 548. [Google Scholar] [CrossRef]
- Slezakova, K.; Pereira, M.C. 2020 COVID-19 lockdown and the impacts on air quality with emphasis on urban, suburban and rural zones. Sci. Rep. 2021, 11, 21336. [Google Scholar] [CrossRef]
- WHO. New WHO Global Air Quality Guidelines Aim to Save Millions of Lives from Air Pollution. Available online: https://www.who.int/news/item/22-09-2021-new-who-global-air-quality-guidelines-aim-to-save-millions-of-lives-from-air-pollution (accessed on 20 April 2022).
- Landrigan, P.J. Air pollution and health. Lancet Public Health 2017, 2, e4–e5. [Google Scholar] [CrossRef] [Green Version]
- Jephcote, C.; Hansell, A.L.; Adams, K.; Gulliver, J. Changes in air quality during COVID-19 ‘lockdown’ in the United Kingdom. Environ. Pollut. 2021, 272, 116011. [Google Scholar] [CrossRef]
- R Core Team. R: A Language and Environment for Statistical Computing. 2020. Available online: https://www.eea.europa.eu/data-and-maps/indicators/oxygen-consuming-substances-in-rivers/r-development-core-team-2006 (accessed on 20 April 2022).
- Carslaw, D. The Openair Manual Open Source Tools for Analysing Air Pollution Data. 2019. Available online: https://cran.r-project.org/web/packages/openair/index.html (accessed on 20 April 2022).
- Wood, S. The Mgcv Package: Mixed GAM Computation Vehicle with Automatic Smoothness Estimation. 2020. Available online: https://cran.r-project.org/web/packages/mgcv/index.html (accessed on 20 April 2022).
- Spinu, V. Make Dealing with Dates a Little Easier. An R package ‘Lubridate’. 2021. Available online: https://lubridate.tidyverse.org/ (accessed on 20 April 2022).
- Solberg, S.; Walker, S.-E.; Schneider, P.; Guerreiro, C. Quantifying the Impact of the COVID-19 Lockdown Measures on Nitrogen Dioxide Levels throughout Europe. Atmosphere 2021, 12, 131. [Google Scholar] [CrossRef]
- Ropkins, K.; Tate, J.E. Early observations on the impact of the COVID-19 lockdown on air quality trends across the UK. Sci. Total Environ. 2021, 754, 142374. [Google Scholar] [CrossRef] [PubMed]
- Shi, W.; Liu, C.; Annesi-Maesano, I.; Norback, D.; Deng, Q.; Huang, C.; Qian, H.; Zhang, X.; Sun, Y.; Wang, T.; et al. Ambient PM2.5 and its chemical constituents on lifetime-ever pneumonia in Chinese children: A multi-center study. Environ. Int. 2021, 146, 106176. [Google Scholar] [CrossRef] [PubMed]
- Lovrić, M.; Pavlović, K.; Vuković, M.; Grange, S.K.; Haberl, M.; Kern, R. Understanding the true effects of the COVID-19 lockdown on air pollution by means of machine learning. Environ. Pollut. 2021, 274, 115900. [Google Scholar] [CrossRef] [PubMed]
- Dacre, H.F.; Mortimer, A.H.; Neal, L.S. How have surface NO2 concentrations changed as a result of the UK’s COVID-19 travel restrictions? Environ. Res. Lett. 2020, 15, 104089. [Google Scholar] [CrossRef]
- Jenkin, M.E. Analysis of sources and partitioning of oxidant in the UK—Part 1: The NOX-dependence of annual mean concentrations of nitrogen dioxide and ozone. Atmos. Environ. 2004, 38, 5117–5129. [Google Scholar] [CrossRef]
- Munir, S.; Chen, H.; Ropkins, K. Quantifying temporal trends in ground level ozone concentration in the UK. Sci. Total Environ. 2013, 458–460, 217–227. [Google Scholar] [CrossRef]
- Farahat, A.; Chauhan, A.; Al Otaibi, M.; Singh, R.P. Air Quality Over Major Cities of Saudi Arabia During Hajj Periods of 2019 and 2020. Earth Syst. Environ. 2021, 5, 101–114. [Google Scholar] [CrossRef]
- Broomandi, P.; Karaca, F.; Nikfal, A.; Jahanbakhshi, A.; Tamjidi, M.; Kim, J.R. Impact of COVID-19 Event on the Air Quality in Iran. Aerosol Air Qual. Res. 2020, 20, 1793–1804. [Google Scholar] [CrossRef]
- Mahato, S.; Pal, S.; Ghosh, K.G. Effect of lockdown amid COVID-19 pandemic on air quality of the megacity Delhi, India. Sci. Total Environ. 2020, 730, 139086. [Google Scholar] [CrossRef]
- Lian, X.; Huang, J.; Huang, R.; Liu, C.; Wang, L.; Zhang, T. Impact of city lockdown on the air quality of COVID-19-hit of Wuhan city. Sci. Total Environ. 2020, 742, 140556. [Google Scholar] [CrossRef] [PubMed]
- Wang, L.; Li, M.; Yu, S.; Chen, X.; Li, Z.; Zhang, Y.; Jiang, L.; Xia, Y.; Li, J.; Liu, W.; et al. Unexpected rise of ozone in urban and rural areas, and sulfur dioxide in rural areas during the coronavirus city lockdown in Hangzhou, China: Implications for air quality. Environ. Chem. Lett. 2020, 18, 1713–1723. [Google Scholar] [CrossRef] [PubMed]
- Quinio, V.; Enenkel, K. How Have the Covid Pandemic and Lockdown Affected Air Quality in Cities? 2020. Available online: https://www.centreforcities.org/publication/covid-pandemic-lockdown-air-quality-cities/#:~:text=Air%20quality-,How%20have%20the%20Covid%20pandemic%20and%20lockdown%20affected%20air%20quality,per%20cent%20of%20places%20studied (accessed on 20 April 2022).





| Site | Year | O3 (µg/m3) | NO2 (µg/m3) | PM10 (µg/m3) |
|---|---|---|---|---|
| Aziziah | 2019 Mean (min, max) | 22.34 (1.4, 140) | 31.15 (24.4) (3.3, 340) | 110.58 (7.2, 962) |
| 2020 Mean (min, max) | 40.98 (2.3, 115.4) | 22.98 (21.4) (1.7, 115) | 105.68 (2, 821) | |
| Difference | 18.64 (−89, 95) | −8.17 (−3) (−93, 97) | −4.36 (−838, 631) | |
| % Difference | 83.44 (−401, 68) | −35.55 (−14.04) (−408, 85) | −3.95 (−757, 66) | |
| Otibiah | 2019 Mean (min, max) | 42.74 (1.2, 154) | 24.46 (3.1, 105.5) | 123.80 (8.7, 914) |
| 2020 Mean (min, max) | 51.75 (2.3, 148.94) | 20.70 (2.7, 101.5) | 109.19 (5.4, 780) | |
| Difference | 8.03 (−97, 109) | −3.76 (−89, 91) | −14.61 (−664, 824) | |
| % Difference | 18.78 (−227, 70) | −15.37 (−363, 86) | −11.80 (−536, 90) | |
| Shawqiah | 2019 Mean (min, max) | 15.90 (4.5, 105.4) | 47.66 (1.6, 305.8) | 125.13 (7.3, 975) |
| 2020 Mean (min, max) | 39.00 (3.1, 129.9) | NA | 120.42 (7.3, 783) | |
| Difference | 23.10 (−106, 80) | NA | −4.71 (−515, 896) | |
| % Difference | 145 (−668, 76) | NA | −3.71 (−411, 92) | |
| Umrah | 2019 Mean (min, max) | 55.23 (1.8, 190) | 14.80 (0.4, 44.2) | 118.11 (9.2, 1013) |
| 2020 Mean (min, max) | 48.78 (1.7, 117.4) | 13.83 (0, 96) | 117.4 (8, 985) | |
| Difference | −6.45 (−76, 129) | −0.82 (−78, 33) | −0.40 (−827, 845) | |
| % Difference | −11.68 (−138, 68) | −5.54 (−528, 75) | −0.34 (−704, 83) | |
| Haram | 2019 Mean (min, max) | 25.52 (2.1, 180) | 34.98 (2.7, 108.7) | 91.10 (6.7, 687) |
| 2020 Mean (min, max) | 53.90 (2.3, 285) | 34.20 (3.1, 258.6) | 98.15 (3, 728) | |
| Difference | 27.52 (−285, 128) | −0.78 (−168, 86) | 7.05 (−665, 645) | |
| % Difference | 107.82 (−943,71) | −2.2 (−480,79) | 7.74 (−731, 94) |
| Site | Modelled Pollutants | Fitted/Cross-Validated | R-Squared | RMSE |
|---|---|---|---|---|
| Aziziah | PM10 | Fitted | 0.92 | 6.01 |
| Cross-validated | 0.87 | 7.23 | ||
| NO2 | Fitted | 0.89 | 6.54 | |
| Cross-validated | 0.85 | 6.12 | ||
| O3 | Fitted | 0.94 | 5.34 | |
| Cross-validated | 0.88 | 5.85 | ||
| Haram | PM10 | Fitted | 0.93 | 5.97 |
| Cross-validated | 0.91 | 6.23 | ||
| NO2 | Fitted | 0.90 | 6.07 | |
| Cross-validated | 0.89 | 6.32 | ||
| O3 | Fitted | 0.93 | 5.63 | |
| Cross-validated | 0.89 | 6.00 |
| Site | O3 (µg/m3) | NO2 (µg/m3) | PM10 (µg/m3) |
|---|---|---|---|
| Aziziah_observed Mean (min, max) | 42.03 (0, 115.4) | 21.4 (0, 339.8) | 93 (2, 821) |
| Aziziah_predicted Mean (max, min) | 24.19 (3.2, 74.35) | 24.4 (1.3, 43.45) | 104.20 (11.58, 203.11) |
| Difference (min, max) | 17.84 (−56, 70) | −3 (−43, 298) | −11.2 (−135, 726) |
| % difference | 42.45 (−135, 165) | −12.30 (−137, 956) | −10.75 (−126, 679) |
| Otibiah_observed Mean (min, max) | 52.64 (2, 149) | 17.4 (3102) | 109.37 (6, 780) |
| Otibiah_predicted Mean (max, min) | 42.27 (1.4, 108) | 18.14 (1.2, 51) | 118.02 (31, 579) |
| Difference (min, max) | 10.37 (−44, 82) | −0.74 (−27, 91) | −8.65 (−369, 654) |
| % difference | 19.69 (−84, 156) | −4.08 (−134, 446) | −7.90 (−338, 598) |
| Shawqiah_observed Mean (min, max) | 39.29 (1.3, 130) | NA | 100 (2.1, 783) |
| Shawqiah_predicted Mean (max, min) | 34.69 (−1, 79) | NA | 106.39 (−17, 405) |
| Difference (min, max) | 4.59 (−56, 90) | NA | −6.39 (−187, 685) |
| % difference | 11.69 (−143, 228) | NA | −6.01 (−155, 570) |
| Umrah_observed Mean (min, max) | 44.7 (3, 117) | 11.5 (1.4, 82.3) | 97 (8, 985) |
| Umrah _predicted Mean (max, min) | 50.92 (−0.6, 115) | 17.91 (−5, 43) | 112.78 (39, 234) |
| Difference (min, max) | −6.22 (−69, 39) | −6.41 (−31, 59) | −15.78 (−148, 856) |
| % difference | −13.93 (−153, 87) | −35.79 (−226, 431) | −13.99 (−375, 887) |
| Haram_observed Mean (min, max) | 53.58 (4, 285) | 26.7 (3.5, 728) | 81 (3, 728) |
| Haram_predicted Mean (max, min) | 26.83 (7, 84) | 31.33 (4, 85) | 89.67 (0.41, 346) |
| Difference (min, max) | 26.75 (−73, 261) | −4.64 (−69, 262) | −8.67 (−337, 599) |
| % difference | 49.92 (−135, 488) | −14.81 (−198, 748) | −9.67 (−345, 613) |
Publisher’s Note: MDPI stays neutral with regard to jurisdictional claims in published maps and institutional affiliations. |
© 2022 by the authors. Licensee MDPI, Basel, Switzerland. This article is an open access article distributed under the terms and conditions of the Creative Commons Attribution (CC BY) license (https://creativecommons.org/licenses/by/4.0/).
Share and Cite
Habeebullah, T.M.; Munir, S.; Zeb, J.; Morsy, E.A. Modelling the Effect of COVID-19 Lockdown on Air Pollution in Makkah Saudi Arabia with a Supervised Machine Learning Approach. Toxics 2022, 10, 225. https://doi.org/10.3390/toxics10050225
Habeebullah TM, Munir S, Zeb J, Morsy EA. Modelling the Effect of COVID-19 Lockdown on Air Pollution in Makkah Saudi Arabia with a Supervised Machine Learning Approach. Toxics. 2022; 10(5):225. https://doi.org/10.3390/toxics10050225
Chicago/Turabian StyleHabeebullah, Turki M., Said Munir, Jahan Zeb, and Essam A. Morsy. 2022. "Modelling the Effect of COVID-19 Lockdown on Air Pollution in Makkah Saudi Arabia with a Supervised Machine Learning Approach" Toxics 10, no. 5: 225. https://doi.org/10.3390/toxics10050225
APA StyleHabeebullah, T. M., Munir, S., Zeb, J., & Morsy, E. A. (2022). Modelling the Effect of COVID-19 Lockdown on Air Pollution in Makkah Saudi Arabia with a Supervised Machine Learning Approach. Toxics, 10(5), 225. https://doi.org/10.3390/toxics10050225

