Catfish Glycoprotein, a Highly Powerful Safe Preservative of Minced Beef Stored at 4 °C for 15 Days
Abstract
1. Introduction
2. Materials and Methods
2.1. Catfish Glycoprotein (CFG) Isolation and Characterization
2.2. Preparation and Storage of Minced Beef
2.2.1. Analysis of the Minced Beef Samples
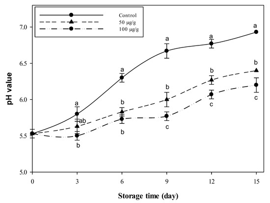
pH Value
Metmyoglobin (MetMb)
Oxidation Stability Assay
Microbial Analysis
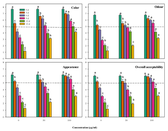
Sensory Evaluation
2.3. Analysis of CFG Safety in Wistar Albino Rats
2.4. Statistical Analysis
3. Results
3.1. CFG Characterization
3.2. Storage of Minced Beef
3.3. CFG Safety
4. Discussion
5. Conclusions
Author Contributions
Funding
Conflicts of Interest
References
- Amiri, E.; Aminzare, M.; Azar, H.H.; Mehrasbi, M.R. Combined antioxidant and sensory effects of corn starch films with nanoemulsion of Zataria multiflora essential oil fortified with cinnamaldehyde on fresh ground beef patties. Meat Sci. 2019, 153, 66–74. [Google Scholar] [CrossRef] [PubMed]
- Hawashin, M.D.; Al-Juhaimi, F.; Ahmed, I.A.; Ghafoor, K.; Babiker, E.E. Physicochemical, microbiological and sensory evaluation of beef patties incorporated with destoned olive cake powder. Meat Sci. 2016, 122, 32–39. [Google Scholar] [CrossRef] [PubMed]
- Turgut, S.S.; Soyer, A.; Işıkçı, F. Effect of pomegranate peel extract on lipid and protein oxidation in beef meatballs during refrigerated storage. Meat Sci. 2016, 116, 126–132. [Google Scholar] [CrossRef] [PubMed]
- Naveena, B.M.; Sen, A.R.; Vaithiyanathan, S.; Babji, Y.; Kondaiah, N. Comparative efficacy of pomegranate juice, pomegranate rind powder extract and BHT as antioxidants in cooked chicken patties. Meat Sci. 2008, 80, 1304–1308. [Google Scholar] [CrossRef]
- Enan, G.; Alalyan, S.; Abdel-salam, H.A.; Debevere, J. Inhibition of Listeria monocytogenes LMG10470 by plantaricin UG1 in vitro and in beef meat. Food/Nahrung 2002, 46, 411–414. [Google Scholar] [CrossRef]
- Agrimonti, C.; White, J.C.; Tonetti, S.; Marmiroli, N. Antimicrobial activity of cellulosic pads amended with emulsions of essential oils of oregano, thyme and cinnamon against microorganisms in minced beef meat. Int. J. Food Microbiol. 2019, 305, 108246. [Google Scholar] [CrossRef]
- Patel, S. Plant essential oils and allied volatile fractions as multifunctional additives in meat and fish-based food products: A review. Food Addit. Contam. Part A 2015, 32, 1049–1064. [Google Scholar] [CrossRef]
- Fernandes, R.P.; Trindade, M.A.; Lorenzo, J.M.; Munekata, P.E.; De Melo, M.P. Effects of oregano extract on oxidative, microbiological and sensory stability of sheep burgers packed in modified atmosphere. Food Control 2016, 63, 65–75. [Google Scholar] [CrossRef]
- Said, T.M.; Elgasim, E.A.; Eltilib, H.H.; Bekhit, A.E.; Al-Juhaimi, F.Y.; Mohamed Ahmed, I.A. Antioxidant and antimicrobial potentials of Damsissa (Ambrosia maritima) leaf powder extract added to minced beef during cold storage. CyTA-J. Food 2018, 16, 642–649. [Google Scholar] [CrossRef]
- Sitohy, M.Z.; Mahgoub, S.A.; Osman, A.O. In vitro and in situ antimicrobial action and mechanism of glycinin and its basic subunit. Int. J. Food Microbiol. 2012, 154, 19–29. [Google Scholar] [CrossRef]
- Abdel-Shafi, S.; Al-Mohammadi, A.R.; Osman, A.; Enan, G.; Abdel-Hameid, S.; Sitohy, M. Characterization and Antibacterial Activity of 7S and 11S Globulins Isolated from Cowpea Seed Protein. Molecules 2019, 24, 1082. [Google Scholar] [CrossRef]
- Salama, A.; Ghany, A.A.; Osman, A.; Sitohy, M. Maximising phycocyanin extraction from a newly identified Egyptian cyanobacteria strain: Anabaena oryzae SOS13. Int. Food Res. J. 2015, 22, 517. [Google Scholar]
- Sitohy, M.; Osman, A.; Ghany, A.G.; Salama, A. Antibacterial phycocyanin from Anabaena oryzae SOS13. Int. J. Appl. Res. Nat. Prod. 2015, 8, 27–36. [Google Scholar]
- Osman, A.; Abd-Elaziz, S.; Salama, A.; Eita, A.A.; Sitohy, M. Health protective actions of phycocyanin obtained from an Egyptian isolate of Spirulina platensis on albino rats. EurAsian J. Biosci. 2019, 13, 105–112. [Google Scholar]
- El-Zahar, K.; Sitohy, M.; Choiset, Y.; Metro, F.; Haertle, T.; Chobert, J.M. Antimicrobial activity of ovine whey protein and their peptic hydrolysates. Milchwissenschaft 2004, 59, 653–656. [Google Scholar]
- Abdel-Hamid, M.; Goda, H.A.; De Gobba, C.; Jenssen, H.; Osman, A. Antibacterial activity of papain hydrolysed camel whey and its fractions. Int. Dairy J. 2016, 61, 91–98. [Google Scholar] [CrossRef]
- Abdel-Hamid, M.; Romeih, E.; Saporito, P.; Osman, A.; Mateiu, R.V.; Mojsoska, B.; Jenssen, H. Camel milk whey hydrolysate inhibits growth and biofilm formation of Pseudomonas aeruginosa PAO1 and methicillin-resistant Staphylococcus aureus. Food Control 2019, 111, 107056. [Google Scholar] [CrossRef]
- Osman, A.; Goda, H.A.; Abdel-Hamid, M.; Badran, S.M.; Otte, J. Antibacterial peptides generated by Alcalase hydrolysis of goat whey. LWT-Food Sci. Technol. 2016, 65, 480–486. [Google Scholar] [CrossRef]
- Mahgoub, S.A.; Osman, A.O.; Sitohy, M.Z. Impeding Bacillus spore germination in vitro and in milk by soy glycinin during long cold storage. J. Gen. Appl. Microbiol. 2016, 62, 52–59. [Google Scholar] [CrossRef] [PubMed]
- Osman, A.; Goda, H.A.; Sitohy, M. Storage stability of minced beef supplemented with chickpea legumin at 4 C as a potential substitute for nisin. LWT 2018, 93, 434–441. [Google Scholar] [CrossRef]
- Saad, A.M.; Osman, A.O.; Mohamed, A.S.; Ramadan, M.F. Enzymatic Hydrolysis of Phaseolus vulgaris Protein Isolate: Characterization of Hydrolysates and Effect on the Quality of Minced Beef During Cold Storage. Int. J. Pept. Res. Ther. 2020, 26, 567–577. [Google Scholar] [CrossRef]
- Osman, A.; Mahgoub, S.A.; Mohamed, K.; Wahdan, M.; Ramadan, M.F. Antimicrobial and antioxidant influence o Syzygium aromaticum oil supplementation on minced bee quality during cold storage. Arch Lebensm. 2019, 70, 40–47. [Google Scholar]
- Mahgoub, S.A.; Osman, A.; Ramadan, M.F. Inhibitory effect of Nigella sativa oil against Listeria monocytogenes and Salmonella Enteritidis inoculated in minced beef meat. J. Food Meas. Charact. 2017, 11, 2043–2051. [Google Scholar] [CrossRef]
- Abdel-Shafi, S.; Al-Mohammadi, A.R.; Sitohy, M.; Mosa, B.; Ismaiel, A.; Enan, G.; Osman, A. Antimicrobial Activity and Chemical Constitution of the Crude, Phenolic-Rich Extracts of Hibiscus sabdariffa, Brassica oleracea and Beta vulgaris. Molecules 2019, 24, 4280. [Google Scholar] [CrossRef] [PubMed]
- Osman, A.; El-Didamony, G.; Sitohy, M.; Khalifa, M.; Enan, G. Soybean glycinin basic subunit inhibits methicillin resistant-vancomycin intermediate Staphylococcus aureus (MRSA-VISA) in vitro. Int. J. Appl. Res. Nat. Prod. 2016, 9, 17–26. [Google Scholar]
- Enan, G.; Abdel-Shafi, S.; Ouda, S.; Negm, S. Novel antibacterial activity of Lactococcus lactis subspecies lactis z11 isolated from zabady. Int. J. Biomed. Sci. IJBS 2013, 9, 174. [Google Scholar]
- Enan, G.; Osman, M.E.; Abdel-Haliem, M.E.; Abdel-Ghany, S.E. Advances in Microbial and Nucleic Acids Biotechnology. BioMed Res. Int. 2018, 2018, 7670505. [Google Scholar] [CrossRef]
- Reda, F.M.; Hussein, B.M.; Enan, G. Selection and Characterization of Two Probiotic Lactic Acid Bacteria Strains to be used as Starter and Protective Cultures for Food Fermentations. J. Pure Appl. Microbiol. 2018, 12, 1499–1513. [Google Scholar] [CrossRef]
- Sitohy, M.; Osman, A. Antimicrobial activity of native and esterified legume proteins against Gram-negative and Gram-positive bacteria. Food Chem. 2010, 120, 66–73. [Google Scholar] [CrossRef]
- Abdel-Shafi, S.; Osman, A.; Enan, G.; El-Nemer, M.; Sitohy, M. Antibacterial activity of methylated egg white proteins against pathogenic G+ and G− bacteria matching antibiotics. SpringerPlus 2016, 5, 983. [Google Scholar] [CrossRef] [PubMed]
- Sitohy, M.; Mahgoub, S.; Osman, A.; El-Masry, R.; Al-Gaby, A. Extent and mode of action of cationic legume proteins against Listeria monocytogenes and Salmonella Enteritidis. Probiotics Antimicrob. Proteins 2013, 5, 195–205. [Google Scholar] [CrossRef] [PubMed]
- Sitohy, M.; Chobert, J.M.; Haertlé, T. Simplified short-time method for the esterification of milk proteins. Milchwissenschaft 2001, 56, 127–131. [Google Scholar]
- Chobert, J.M.; Sitohy, M.; Whitaker, J.R. Specific limited hydrolysis and phosphorylation of food proteins for improvement of functional and nutritional properties. J. Am. Oil Chem. Soc. 1987, 64, 1704–1711. [Google Scholar] [CrossRef]
- El-Ghaish, S.; Hadji-Sfaxi, I.; Ahmadova, A.; Choiset, Y.; Rabesona, H.; Sitohy, M.; Haertlé, T.; Chobert, J. Characterization of two safe Enterococcus strains producing enterocins isolated from Egyptian dairy products. Benef. Microbes 2011, 2, 15–27. [Google Scholar] [CrossRef]
- El-Ghaish, S.; Ahmadova, A.; Hadji-Sfaxi, I.; El Mecherfi, K.E.; Bazukyan, I.; Choiset, Y.; Rabesona, H.; Sitohy, M.; Popov, Y.G.; Kuliev, A.A.; et al. Potential use of lactic acid bacteria for reduction of allergenicity and for longer conservation of fermented foods. Trends Food Sci. Technol. 2011, 22, 509–516. [Google Scholar] [CrossRef]
- Abbas, E.; Osman, A.; Sitohy, M. Biochemical control of Alternaria tenuissima infecting post-harvest fig fruit by chickpea vicilin. J. Sci. Food Agric. 2020, 100, 2889–2897. [Google Scholar] [CrossRef]
- Osman, A.; Abbas, E.; Mahgoub, S.; Sitohy, M. Inhibition of Penicillium digitatum in vitro and in postharvest orange fruit by a soy protein fraction containing mainly beta-conglycinin. J. Gen. Plant Pathol. 2016, 82, 293–301. [Google Scholar] [CrossRef]
- Sitohy, M.; Doheim, M.; Badr, H. Isolation and characterization of a lectin with antifungal activity from Egyptian Pisum sativum seeds. Food Chem. 2007, 104, 971–979. [Google Scholar] [CrossRef]
- Abdel-Shafi, S.; Osman, A.; Al-Mohammadi, A.R.; Enan, G.; Kamal, N.; Sitohy, M. Biochemical, biological characteristics and antibacterial activity of glycoprotein extracted from the epidermal mucus of African catfish (Clarias gariepinus). Int. J. Biol. Macromol. 2019, 138, 773–780. [Google Scholar] [CrossRef]
- Laemmli, U.K. Cleavage of structural proteins during the assembly of the head of bacteriophage T4. Nature 1970, 227, 680–685. [Google Scholar] [CrossRef]
- Abdel-Salam, H.; El-Khamissy, T.; Enan, G.; Hollenberg, C. Expression of mouse anticreatine kinase (MAK33) monoclonal antibody in the yeast Hansenula polymorpha. Appl. Microbiol. Biotechnol. 2001, 56, 157–164. [Google Scholar] [CrossRef] [PubMed]
- Ramadan, M.F.; Osman, A.M.; El-Akad, H.M. Total antioxidant potential of juices and beverages-Screening by DPPH in vitro assay. Wiss. Verl. Stuttg. 2008, 104, 235–239. [Google Scholar]
- Badr, H.M. Antioxidative activity of carnosine in gamma irradiated ground beef and beef patties. Food Chem. 2007, 104, 665–679. [Google Scholar] [CrossRef]
- Krzywicki, K. The determination of haem pigments in meat. Meat Sci. 1982, 7, 29–36. [Google Scholar] [CrossRef]
- Niehaus, W.; Samuelsson, B. Formation of malonaldehyde from phospholipid arachidonate during microsomal lipid peroxidation. FEBS J. 1968, 6, 126–130. [Google Scholar] [CrossRef]
- Qwele, K.; Hugo, A.; Oyedemi, S.O.; Moyo, B.; Masika, P.J.; Muchenje, V. Chemical composition, fatty acid content and antioxidant potential of meat from goats supplemented with Moringa (Moringa oleifera) leaves, sunflower cake and grass hay. Meat Sci. 2013, 93, 455–462. [Google Scholar] [CrossRef]
- Association, A.P.H. Compendium of Methods for the Microbiological Examination of Foods, 3rd ed.; APHA Inc.: Washington, WA, USA, 1992; Volume 27, p. 2013. [Google Scholar]
- Goldman, E.; Green, L.H. Practical Handbook of Microbiology; CRC Press: Boca Raton, FL, USA, 2015. [Google Scholar]
- Abdel-Shafi, S.; Al-Mohammadi, A.R.; Hamdi, S.; Moustafa, A.H.; Enan, G. Biological Characterization and Inhibition of Streptococcus pyogenes ZUH1 Causing Chronic Cystitis by Crocus sativus Methanol Extract, Bee Honey Alone or in Combination with Antibiotics: An In Vitro Study. Molecules 2019, 24, 2903. [Google Scholar] [CrossRef]
- Abdel-Shafi, S.; Al-Mohammadi, A.R.; Almanaa, T.N.; Moustafa, A.H.; Saad, T.M.; Ghonemey, A.R.; Anacarso, I.; Enan, G.; El-Gazzar, N. Identification and Testing of Antidermatophytic Oxaborole-6-Benzene Sulphonamide Derivative (OXBS) from Streptomyces atrovirens KM192347 Isolated from Soil. Antibiotics 2020, 9, 176. [Google Scholar] [CrossRef]
- Sitohy, M.; Osman, A.; Gharib, A.; Chobert, J.M.; Haertlé, T. Preliminary assessment of potential toxicity of methylated soybean protein and methylated β-lactoglobulin in male Wistar rats. Food Chem. Toxicol. 2013, 59, 618–625. [Google Scholar] [CrossRef]
- Abdel-Hamid, M.; Otte, J.; De Gobba, C.; Osman, A.; Hamad, E. Angiotensin I-converting enzyme inhibitory activity and antioxidant capacity of bioactive peptides derived from enzymatic hydrolysis of buffalo milk proteins. Int. Dairy J. 2017, 66, 91–98. [Google Scholar] [CrossRef]
- Osman, A.; Mahgoub, S.; Sitohy, M. Hindering milk quality storage deterioration by mild thermization combined with methylated chickpea protein. Int. Food Res. J. 2014, 21, 693–701. [Google Scholar]
- Badr, F.; Sitohy, M. Optimizing conditions for enzymatic extraction of sunflower oil. Grasas Aceites 1992, 43, 281–283. [Google Scholar] [CrossRef]
- Ramadan, M.F.; Sitohy, M.Z.; Moersel, J.T. Solvent and enzyme-aided aqueous extraction of goldenberry (Physalis peruviana L.) pomace oil: Impact of processing on composition and quality of oil and meal. Eur. Food Res. Technol. 2008, 226, 1445–1458. [Google Scholar] [CrossRef]
- Biswas, A.; Keshri, R.; Bisht, G. Effect of enrobing and antioxidants on quality characteristics of precooked pork patties under chilled and frozen storage conditions. Meat Sci. 2004, 66, 733–741. [Google Scholar] [CrossRef]
- Parafati, L.; Palmeri, R.; Trippa, D.; Restuccia, C.; Fallico, B. Quality maintenance of beef burger patties by direct addiction or encapsulation of a prickly pear fruit extract. Front. Microbiol. 2019, 10. [Google Scholar] [CrossRef]
- Osman, A.O.; Mahgoub, S.A.; Sitohy, M.Z. Preservative action of 11S (glycinin) and 7S (β-conglycinin) soy globulin on bovine raw milk stored either at 4 or 25 C. J. Dairy Res. 2013, 80, 174–183. [Google Scholar] [CrossRef]
- Osman, A.; Mahgoub, S.; El-Masry, R.; Al-Gaby, A.; Sitohy, M. Extending the Technological Validity of R aw Buffalo M ilk at Room Temperature by Esterified Legume Proteins. J. Food Process. Preserv. 2014, 38, 223–231. [Google Scholar] [CrossRef]
- Mahgoub, S.A.; Sitohy, M.Z.; Osman, A.O. Counteracting recontamination of pasteurized milk by methylated soybean protein. Food Bioprocess Technol. 2013, 6, 101–109. [Google Scholar] [CrossRef]
- Mahgoub, S.; Osman, A.; Sitohy, M. Inhibition of growth of pathogenic bacteria in raw milk by legume protein esters. J. Food Prot. 2011, 74, 1475–1481. [Google Scholar] [CrossRef]
- Sitohy, M.; Mahgoub, S.; Osman, A. Controlling psychrotrophic bacteria in raw buffalo milk preserved at 4 C with esterified legume proteins. LWT-Food Sci. Technol. 2011, 44, 1697–1702. [Google Scholar] [CrossRef]
- Sitohy, M.Z.; Osman, A.O. Enhancing milk preservation with esterified legume proteins. Probiotics Antimicrob. Proteins 2011, 3, 48–56. [Google Scholar] [CrossRef] [PubMed]
- Del Nobile, M.A.; Conte, A.; Cannarsi, M.; Sinigaglia, M. Strategies for prolonging the shelf life of minced beef patties. J. Food Saf. 2009, 29, 14–25. [Google Scholar] [CrossRef]





| Storage Time (day) | Control | 50 µg g−1 | 100 µg g−1 |
|---|---|---|---|
| Total Viable Count (log CFU g−1) | |||
| 0 | 3.77 ± 0.15 | 3.77 ± 0.15 | 3.77 ± 0.15 |
| 3 | 4.90 ± 0.10 a | 3.71 ± 0.06 b | 3.56 ± 0.05 c |
| 6 | 5.13 ± 0.11 a | 3.57 ± 0.13 b | 3.56 ± 0.05 b |
| 9 | 6.90 ± 0.10 a | 3.61 ± 0.02 b | 3.23 ± 0.05 c |
| 12 | 7.27 ± 0.25 a | 3.40 ± 0.08 b | 3.27 ± 0.06 b |
| 15 | 8.67 ± 0.32 a | 3.12 ± 0.11 b | 2.41 ± 0.11 c |
| Psychrotrophic Bacterial Count (log CFU g−1) | |||
| 0 | 2.09 ± 0.05 | 2.09 ± 0.05 | 2.09 ± 0.05 |
| 3 | 2.82 ± 0.08 a | 2.09 ± 0.05 b | 2.03 ± 0.03 b |
| 6 | 4.78 ± 0.05 a | 2.85 ± 0.05 b | 2.29 ± 0.03 c |
| 9 | 5.79 ± 0.09 a | 2.93 ± 0.04 b | 2.50 ± 0.02 c |
| 12 | 6.58 ± 0.06 a | 2.94 ± 0.04 b | 2.73 ± 0.05 c |
| 15 | 7.62 ± 0.22 a | 2.65 ± 0.03 b | 2.04 ± 0.06 c |
| Coliforms Count (log CFU g−1) | |||
| 0 | 2.10 ± 0.10 | 2.10 ± 0.10 | 2.10 ± 0.10 |
| 3 | 2.15 ± 0.06 a | 2.13 ± 0.02 a | 2.04 ± 0.04 b |
| 6 | 2.50 ± 0.20 a | 2.08 ± 0.04 b | 0.00 ± 0.00 c |
| 9 | 3.63 ± 0.15 a | 2.03 ± 0.06 b | 0.00 ± 0.00 c |
| 12 | 4.03 ± 0.25 a | 0.00 ± 0.00 b | 0.00 ± 0.00 b |
| 15 | 4.45 ± 0.26 a | 0.00 ± 0.00 b | 0.00 ± 0.00 b |
| CFG/Diet (µg g−1) | CFG/Rat (mg/Kg) | ALT (U/l) | AST (U/l) | ALP (U/l) | Urea (mg/dl) | Creatinine (mg/dl) |
|---|---|---|---|---|---|---|
| 0 | 0 | 24.8 ± 6.7 | 26.4 ± 1.81 | 138 ± 7.17 | 41.98 ± 1.76 | 0.5 ± 0.06 |
| 50 | 5 | 25.2 ± 6.01 | 27 ± 3.16 | 138.4 ± 5.95 | 42.58 ± 1.67 | 0.46 ± 0.02 |
| 100 | 10 | 25.6 ± 2.07 | 27.2 ± 1.92 | 139 ± 2.07 | 42.56 ± 0.73 | 0.48 ± 0.01 |
| 200 | 20 | 26.0 ± 3.11 | 27.5 ± 2.1 | 140 ± 3.17 | 43.45 ± 1.15 | 0.51 ± 0.03 |
© 2020 by the authors. Licensee MDPI, Basel, Switzerland. This article is an open access article distributed under the terms and conditions of the Creative Commons Attribution (CC BY) license (http://creativecommons.org/licenses/by/4.0/).
Share and Cite
Osman, A.; Abdel-Shafi, S.; Al-Mohammadi, A.-R.; Kamal, N.; Enan, G.; Sitohy, M. Catfish Glycoprotein, a Highly Powerful Safe Preservative of Minced Beef Stored at 4 °C for 15 Days. Foods 2020, 9, 1115. https://doi.org/10.3390/foods9081115
Osman A, Abdel-Shafi S, Al-Mohammadi A-R, Kamal N, Enan G, Sitohy M. Catfish Glycoprotein, a Highly Powerful Safe Preservative of Minced Beef Stored at 4 °C for 15 Days. Foods. 2020; 9(8):1115. https://doi.org/10.3390/foods9081115
Chicago/Turabian StyleOsman, Ali, Seham Abdel-Shafi, Abdul-Raouf Al-Mohammadi, Nehal Kamal, Gamal Enan, and Mahmoud Sitohy. 2020. "Catfish Glycoprotein, a Highly Powerful Safe Preservative of Minced Beef Stored at 4 °C for 15 Days" Foods 9, no. 8: 1115. https://doi.org/10.3390/foods9081115
APA StyleOsman, A., Abdel-Shafi, S., Al-Mohammadi, A.-R., Kamal, N., Enan, G., & Sitohy, M. (2020). Catfish Glycoprotein, a Highly Powerful Safe Preservative of Minced Beef Stored at 4 °C for 15 Days. Foods, 9(8), 1115. https://doi.org/10.3390/foods9081115

