Key Factors of Quality Formation in Wuyi Black Tea during Processing Timing
Abstract
1. Introduction
2. Materials and Methods
2.1. Materials and Chemicals
2.2. Manufacturing Process and Tea Samples Collection
2.3. Determination of Quality Components and Enzyme Activities
2.4. Determination of Gene Expression
2.5. Statistical Analyses
3. Results
3.1. Dynamic Changes in Quality Components during WBT Processing
3.2. Great Effect of Processing Nodes on the Formation of Quality Components
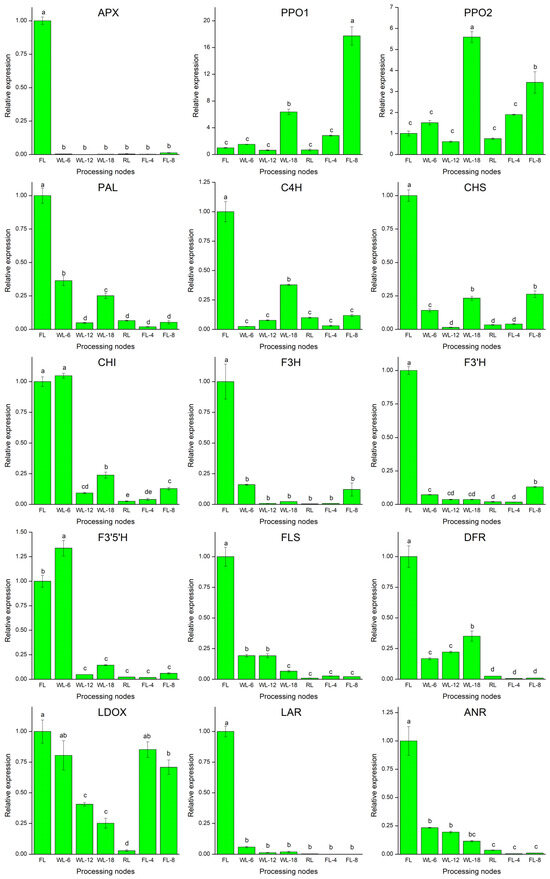
3.3. Dynamic Changes in the Expression of Genes in Flavonoid Metabolic Pathway during WBT Processing
3.4. Dynamic Changes in Key Enzyme Activities during WBT Processing
3.5. Close Relationship among Gene Expression Levels during WBT Processing
3.6. Close Relationship among the Quality Components, Enzyme Activity, and Gene Expression during WBT Processing
4. Discussion
5. Conclusions
Author Contributions
Funding
Institutional Review Board Statement
Informed Consent Statement
Data Availability Statement
Conflicts of Interest
References
- Huang, M.T.; Liu, Y.; Ramji, D.; Lo, C.Y.; Ghai, G.; Dushenkov, S.; Ho, C.T. Inhibitory effects of black tea theaflavin derivatives on 12-O-tetradecanoylphorbol-13-acetate-induced inflammation and arachidonic acid metabolism in mouse ears. Mol. Nutr. Food Res. 2006, 50, 115–122. [Google Scholar] [CrossRef] [PubMed]
- Kim, Y.; Goodner, K.L.; Park, J.D.; Choi, J.; Talcott, S.T. Changes in antioxidant phytochemicals and volatile composition of Camellia sinensis by oxidation during tea fermentation. Food Chem. 2011, 129, 1331–1342. [Google Scholar] [CrossRef]
- Xu, Y.M.; Qiao, F.B.; Huang, J.K. Black tea markets worldwide: Are they integrated? J. Integr. Agr. 2022, 21, 552–565. [Google Scholar]
- Li, J.; Hua, J.J.; Zhou, Q.H.; Dong, C.W.; Wang, J.J.; Deng, Y.L.; Yuan, H.B.; Jiang, Y.W. Comprehensive Lipidome-Wide Profiling Reveals Dynamic Changes of Tea Lipids during Manufacturing Process of Black Tea. J. Agric. Food Chem. 2017, 65, 10131–10140. [Google Scholar] [CrossRef] [PubMed]
- Deka, H.; Sarmah, P.P.; Devi, A.; Tamuly, P.; Karak, T. Changes in major catechins, caffeine, and antioxidant activity during CTC processing of black tea from North East India. RSC Adv. 2021, 11, 11457–11467. [Google Scholar] [CrossRef]
- Ito, A.; Yanase, E. Study into the chemical changes of tea leaf polyphenols during japanese black tea processing. Food Res. Int. 2022, 160, 111731. [Google Scholar] [CrossRef]
- Wu, H.L.; Huang, W.J.; Chen, Z.J.; Chen, Z.; Shi, J.F.; Kong, Q.; Sun, S.L.; Jiang, X.H.; Chen, D.; Yan, S.J. GC-MS-based metabolomic study reveals dynamic changes of chemical compositions during black tea processing. Food Res. Int. 2019, 120, 330–338. [Google Scholar] [CrossRef]
- Tan, J.F.; Dai, W.D.; Lu, M.L.; Lv, H.P.; Guo, L.; Zhang, Y.; Zhu, Y.; Peng, Q.H.; Lin, Z. Study of the dynamic changes in the non-volatile chemical constituents of black tea during fermentation processing by a non-targeted metabolomics approach. Food Res. Int. 2016, 79, 106–113. [Google Scholar] [CrossRef]
- Wang, T.; Wang, Y.Q.; Zhao, J.M.; Kong, J.M.; Zhang, L.Z.; Qi, S.Y.; Chen, J.J.; Chen, Z.D.; Zeng, W.; Sun, W.J. Identification, Characterization and Expression Profiling of the RS Gene Family during the Withering Process of White Tea in the Tea Plant (Camellia sinensis) Reveal the Transcriptional Regulation of CsRS8. Int. J. Mol. Sci. 2022, 24, 202. [Google Scholar] [CrossRef] [PubMed]
- Zhou, Z.W.; Wu, Q.Y.; Yao, Z.L.; Deng, H.L.; Liu, B.B.; Yue, C.; Deng, T.T.; Lai, Z.X.; Sun, Y. Dynamics of ADH and related genes responsible for the transformation of C6-aldehydes to C6-alcohols during the postharvest process of oolong tea. Food Sci. Nutr. 2019, 8, 104–113. [Google Scholar] [CrossRef] [PubMed]
- Zhou, Z.W.; Wu, Q.Y.; Ni, Z.X.; Hu, Q.C.; Yang, Y.; Zheng, Y.C.; Bi, W.J.; Deng, H.L.; Liu, Z.Z.; Ye, N.X.; et al. Metabolic Flow of C6 Volatile Compounds From LOX-HPL Pathway Based on Airflow During the Post-harvest Process of Oolong Tea. Front. Plant Sci. 2021, 12, 738445. [Google Scholar] [CrossRef] [PubMed]
- Yu, X.L.; Li, Y.C.; He, C.; Zhou, J.T.; Chen, Y.Q.; Yu, Z.; Wang, P.; Ni, D.J. Nonvolatile metabolism in postharvest tea (Camellia sinensis L.) leaves: Effects of different withering treatments on nonvolatile metabolites, gene expression levels, and enzyme activity. Food Chem. 2020, 327, 126992. [Google Scholar] [CrossRef] [PubMed]
- Zhang, G.Y.; Yang, J.H.; Cui, D.D.; Zhao, D.D.; Li, Y.Y.; Wan, X.C.; Zhao, J. Transcriptome and Metabolic Profiling Unveiled Roles of Peroxidases in Theaflavin Production in Black Tea Processing and Determination of Tea Processing Suitability. J. Agric. Food Chem. 2020, 68, 3528–3538. [Google Scholar] [CrossRef] [PubMed]
- Collings, E.R.; Alamar, M.C.; Márquez, M.B.; Kourmpetli, S.; Kevei, Z.; Thompson, A.J.; Mohareb, F.; Terry, L.A. Improving the Tea Withering Process Using Ethylene or UV-C. J. Agric. Food Chem. 2021, 69, 13596–13607. [Google Scholar] [CrossRef] [PubMed]
- Ravichandran, R.; Parthiban, R. Changes in enzyme activities (polyphenol oxidase and phenylalanine ammonia lyase) with type of tea leaf and during black tea manufacture and the effect of enzyme supplementation of dhool on black tea quality. Food Chem. 1998, 62, 277–281. [Google Scholar] [CrossRef]
- Li, Q.; Chai, S.; Li, Y.D.; Huang, J.N.; Luo, Y.; Xiao, L.Z.; Liu, Z.H. Biochemical Components Associated With Microbial Community Shift During the Pile-Fermentation of Primary Dark Tea. Front. Microbiol. 2018, 9, 1509. [Google Scholar] [CrossRef]
- Murugesan, G.S.; Angayarkanni, J.; Swaminathan, K. Effect of tea fungal enzymes on the quality of black tea. Food Chem. 2002, 79, 411–417. [Google Scholar] [CrossRef]
- Li, Y.C.; He, C.; Yu, X.L.; Zhou, J.T.; Ran, W.; Chen, Y.Q.; Ni, D.J. Effects of red-light withering on the taste of black tea as revealed by non-targeted metabolomics and transcriptomics analysis. LWT-Food Sci. Technol. 2021, 147, 111620. [Google Scholar] [CrossRef]
- Almajano, M.P.; Carbo, R.; Jiménez, J.A.L.; Gordon, M.H. Antioxidant and antimicrobial activities of tea infusions. Food Chem. 2008, 108, 55–63. [Google Scholar] [CrossRef]
- GB/T 8305-2013; Tea—Determination of Water Extracts Content. China Standard Publishing House: Beijing, China, 2013.
- GB/T 8314-2013; Tea—Determination of Free Amino Acids Content. China Standard Publishing House: Beijing, China, 2013.
- GB/T8313-2018; Determination of Total Polyphenols and Catechins Content in Tea. China Standard Publishing House: Beijing, China, 2018.
- Wang, Q.; Peng, C.; Gong, J. Effects of enzymatic action on the formation of theabrownin during solid state fermentation of Pu-erh tea. J. Sci. Food Agric. 2011, 91, 2412–2418. [Google Scholar] [CrossRef]
- Zhou, J.; Fang, T.T.; Li, W.; Jiang, Z.D.; Zhou, T.S.; Zhang, L.; Yu, Y.B. Widely targeted metabolomics using UPLC-QTRAP-MS/MS reveals chemical changes during the processing of black tea from the cultivar Camellia sinensis (L.) O. Kuntze cv. Huangjinya. Food Res. Int. 2022, 162, 112169. [Google Scholar] [CrossRef]
- Lee, L.S.; Kim, Y.C.; Park, J.D.; Kim, Y.B.; Kim, S.H. Changes in major polyphenolic compounds of tea (Camellia sinensis) leaves during the production of black tea. Food Sci. Biotechnol. 2016, 25, 1523–1527. [Google Scholar] [CrossRef]
- Wen, M.C.; Cui, Y.Q.; Dong, C.X.; Zhang, L. Quantitative changes in monosaccharides of Keemun black tea and qualitative analysis of theaflavins-glucose adducts during processing. Food Res. Int. 2021, 148, 110588. [Google Scholar] [CrossRef] [PubMed]
- Owour, P.O.; Obanda, M.; Nyirenda, H.E.; Mandala, W.L. Influence of region of production on clonal black tea chemical characteristics. Food Chem. 2008, 108, 263–271. [Google Scholar] [CrossRef]
- Jiang, Y.W.; Hua, J.J.; Wang, B.; Yuan, H.B.; Ma, H.L. Effects of variety, season and region on theaflavin content of fermented Chinese Congou black tea. J. Food Qual. 2018, 2018, 5427302. [Google Scholar] [CrossRef]
- Teng, J.; Gong, Z.H.; Deng, Y.L.; Chen, L.; Li, Q.; Shao, Y.Y.; Xiao, W.J. Purification, characterization and enzymatic synthesis of theaflavins of polyphenol oxidase isozymes from tea leaf (Camellia sinensis). LWT-Food Sci. Technol. 2017, 5, 263–270. [Google Scholar] [CrossRef]
- Owour, P.O.; Obanda, M. Comparative responses in plain black tea quality parameters of different tea cultivars to fermentation temperature and duration. Food Chem. 2001, 72, 319–327. [Google Scholar] [CrossRef]
- Cloughley, J.B. The effect of fermentation temperature on the quality parameters and price evaluation of Central African black teas. J. Sci. Food Agric. 1980, 31, 911–919. [Google Scholar] [CrossRef]
- Samanta, T.; Cheeni, V.; Das, S.; Roy, A.B.; Ghosh, B.C.; Mitra, A. Assessing biochemical changes during standardization of fermentation time and temperature for manufacturing quality black tea. J. Food Sci. Technol. 2015, 52, 2387–2393. [Google Scholar] [CrossRef]
- Qu, F.F.; Zhu, X.J.; Ai, Z.Y.; Ai, Y.J.; Qiu, F.F.; Ni, D.J. Effect of different drying methods on the sensory quality and chemical components of black tea. LWT-Food Sci. Technol. 2019, 99, 112–118. [Google Scholar] [CrossRef]
- Chen, Y.Y.; Zeng, L.T.; Liao, Y.Y.; Li, J.L.; Zhou, B.; Yang, Z.Y.; Tang, J.C. Enzymatic Reaction-Related Protein Degradation and Proteinaceous Amino Acid Metabolism during the Black Tea (Camellia sinensis) Manufacturing Process. Foods 2020, 9, 66. [Google Scholar] [CrossRef]
- Astill, C.; Birch, M.R.; Dacombe, C.; Humphrey, P.G.; Martin, P.T. Factors affecting the caffeine and polyphenol contents of black and green tea infusions. J. Agric. Food Chem. 2001, 49, 5340–5347. [Google Scholar] [CrossRef]
- Schulz, H.; Engelhardt, U.H.; Wegent, A.; Drews, H.; Lapczynski, S. Application of near-infrared reflectance spectroscopy to the simultaneous prediction of alkaloids and phenolic substances in green tea leaves. J. Agric. Food Chem. 1999, 47, 5064–5067. [Google Scholar] [CrossRef]
- Wang, W.; Tang, X.; Hua, F.; Ling, T.J.; Wan, X.C.; Bao, G.H. Camellimidazole A-C, Three Methylene-Bridged Dimeric Imidazole Alkaloids from Keemun Black Tea. Org. Lett. 2018, 20, 2672–2675. [Google Scholar] [CrossRef]
- Sari, F.; Velioglu, Y.S. Changes in theanine and caffeine contents of black tea with different rolling methods and processing stages. Eur. Food Res. Technol. 2013, 237, 229–236. [Google Scholar] [CrossRef]
- Subramanian, N.; Venkatesh, P.; Ganguli, S.; Sinkar, V.P. Role of polyphenol oxidase and peroxidase in the generation of black tea theaflavins. J. Agric. Food Chem. 1999, 47, 2571–2578. [Google Scholar] [CrossRef] [PubMed]
- Hou, Z.W.; Wang, Y.J.; Xu, S.S.; Wei, Y.M.; Bao, G.H.; Dai, Q.Y.; Deng, W.W.; Ning, J.M. Effects of dynamic and static withering technology on volatile and nonvolatile components of Keemun black tea using GC-MS and HPLC combined with chemometrics. LWT-Food Sci. Technol. 2020, 130, 109547. [Google Scholar] [CrossRef]
- OLmez, H.; Yilmaz, A. Changes in chemical constituents and polyphenol oxidase activity of tea leaves with shoot maturity and cold storage. J. Food Process Pres. 2009, 34, 653–665. [Google Scholar] [CrossRef]
- Ye, Y.L.; Yan, J.N.; Cui, J.L.; Mao, S.H.; Li, M.F.; Liao, X.L.; Tong, H.R. Dynamic changes in amino acids, catechins, caffeine and gallic acid in green tea during withering. J. Food Compos. Anal. 2018, 66, 98–108. [Google Scholar] [CrossRef]
- Luo, L. A Study of Catechins and the Differential Express of Its Related Genes in Withering Process of Black Tea. Master’s Thesis, Huazhong Agriculture University, Wuhan, China, 2015. [Google Scholar]
- Tang, M.G.; Zhang, S.; Xiong, L.G.; Zhou, J.H.; Huang, J.A.; Zhao, A.Q.; Liu, Z.H.; Liu, A.L. A comprehensive review of polyphenol oxidase in tea (Camellia sinensis): Physiological characteristics, oxidation manufacturing, and biosynthesis of functional constituents. Compr. Rev. Food Sci. Food Saf. 2023, 22, 2267–2291. [Google Scholar] [CrossRef]
- Solano, F.; Garcia, E.; Perez, D.; Sanchez-Amat, A. Isolation and Characterization of Strain MMB-1 (CECT 4803), a Novel Melanogenic Marine Bacterium. Appl. Environ. Microbiol. 1997, 63, 3499–3506. [Google Scholar] [CrossRef] [PubMed]
- Guo, X.Y.; Lv, Y.Q.; Ye, Y.; Liu, Z.Y.; Zheng, X.Q.; Lu, J.L.; Liang, Y.R.; Ye, J.H. Polyphenol oxidase dominates the conversions of flavonol glycosides in tea leaves. Food Chem. 2021, 339, 128088. [Google Scholar] [CrossRef]
- Mahanta, P.K.; Boruah, S.K.; Boruah, H.K.; Kalita, J.N. Changes of polyphenol oxidase and peroxidase activities and pigment composition of some manufactured black teas (Camellia sinensis L.). J. Agric. Food Chem. 1993, 41, 272–276. [Google Scholar] [CrossRef]
- TAKEO, T. Tea leaf polyphenol oxidase: Part III. Studies on the changes of polyphenol oxidase activity during black tea manufacture. Agri. Biol. Chem. 1966, 30, 529–535. [Google Scholar] [CrossRef]
- Chen, Q.C.; Zhu, Y.; Dai, W.D.; Lv, H.P.; Mu, B.; Li, P.L.; Tan, J.F.; Ni, D.J.; Lin, Z. Aroma formation and dynamic changes during white tea processing. Food Chem. 2019, 274, 915–924. [Google Scholar] [CrossRef]
- Libertini, E.; Li, Y.; McQueen-Mason, S.J. Phylogenetic analysis of the plant endo-beta-1,4-glucanase gene family. J. Mol. Evol. 2004, 58, 506–515. [Google Scholar] [CrossRef]







| Gene | Primer Sequence (5′→3′) | Primer Sequence (3′→5′) |
|---|---|---|
| GAPDH | F:TTGGCATCGTTGAGGGTCT | R:CAGTGGGAACACGGAAAGC |
| APX | F:TTCTATCAGTTGGCTGGAGTTG | R:AATGGTCACATCCCTTATCGG |
| PPO1 | F:CCATCTGGAAGAGTTTGGGT | R:CCTTCACTTTGACAGGCTGA |
| PPO2 | F:ATCTGGAAGAGTTTGGGTAGGC | R:CACTTTGACAGGCTGAGCATTC |
| PAL | F:CAATAGGGAAGCTCATGTTTGC | R:CGCTTTGGACATGGTTGGTTAC |
| C4H | F:TCACCGAGCCAGACACCTAC | R:CCTTAGCCTCCTCTTCCAAGA |
| CHS | F:GTGGGCCTTACATTTCATCTC | R:TCTAGTATGAATAGCACGCAC |
| CHI | F:GTTAAGTGGAAGGGCAAGAC | R:GAAAGCAATCGTCAATGATCC |
| F3H | F:TCTACCCGAAATGCCCACAAC | R:CCTCCCATTGCTTAGATAATG |
| F3′H | F:TCGAATGGCATCTGACAGTTG | R:GCCTGCACCAAATGGTATGAC |
| F3′5′H | F:GAGCACACGACGAGATGGAT | R:GTCTTTGCATTCTTTCCACTC |
| FLS | F:GCATGAGGTCAAGGAGGCTGT | R:GACAATCAGGGCATTAGGGATG |
| DFR | F:CACTAGGAATGAAGGACACTAC | R:GAACGACACAACTGGCAAGT |
| LDOX | F:CAGTAATCCGTGTTCAATCCTTG | R:TAAACCTGCTTCTCTTCCATG |
| LAR | F:CTATGACAATACTCACCCATC | R:GAGTGCGTCCAATCTTCTTCT |
| ANR | F:TCGAAAACACTAGCTGAGAAAG | R:GCTCGGGAACACTGGTATTG |
Disclaimer/Publisher’s Note: The statements, opinions and data contained in all publications are solely those of the individual author(s) and contributor(s) and not of MDPI and/or the editor(s). MDPI and/or the editor(s) disclaim responsibility for any injury to people or property resulting from any ideas, methods, instructions or products referred to in the content. |
© 2024 by the authors. Licensee MDPI, Basel, Switzerland. This article is an open access article distributed under the terms and conditions of the Creative Commons Attribution (CC BY) license (https://creativecommons.org/licenses/by/4.0/).
Share and Cite
Lu, L.; Liu, J.; Zhang, W.; Cheng, X.; Zhang, B.; Yang, Y.; Que, Y.; Li, Y.; Li, X. Key Factors of Quality Formation in Wuyi Black Tea during Processing Timing. Foods 2024, 13, 1373. https://doi.org/10.3390/foods13091373
Lu L, Liu J, Zhang W, Cheng X, Zhang B, Yang Y, Que Y, Li Y, Li X. Key Factors of Quality Formation in Wuyi Black Tea during Processing Timing. Foods. 2024; 13(9):1373. https://doi.org/10.3390/foods13091373
Chicago/Turabian StyleLu, Li, Jinxian Liu, Wenneng Zhang, Xi Cheng, Bo Zhang, Yiyang Yang, Youxiong Que, Yuanhua Li, and Xinghui Li. 2024. "Key Factors of Quality Formation in Wuyi Black Tea during Processing Timing" Foods 13, no. 9: 1373. https://doi.org/10.3390/foods13091373
APA StyleLu, L., Liu, J., Zhang, W., Cheng, X., Zhang, B., Yang, Y., Que, Y., Li, Y., & Li, X. (2024). Key Factors of Quality Formation in Wuyi Black Tea during Processing Timing. Foods, 13(9), 1373. https://doi.org/10.3390/foods13091373

