Mathematical Modeling of Salmonella Inactivation During Apple Drying and Pre-Drying Heating in Closed Environments
Abstract
1. Introduction
2. Materials and Methods
2.1. Sample Preparation
2.2. Microbial Inoculation
2.3. Thermal Treatment Conditions
2.4. Data Collection
2.5. Statistical and Modeling Analysis
3. Results and Discussion
3.1. Humidity and Temperature Profiles
3.2. Salmonella Survival During Treatment
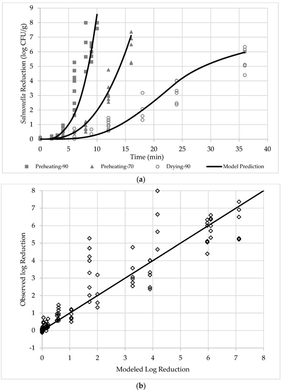
3.3. Microbial Reduction Modeling
3.4. Comparing Modeled Thermal Death Parameters with Literature Data
4. Conclusions
Author Contributions
Funding
Institutional Review Board Statement
Informed Consent Statement
Data Availability Statement
Acknowledgments
Conflicts of Interest
References
- Barbosa-Cánovas, G.V.; Fontana, A.J., Jr.; Schmidt, S.J.; Labuza, T.P. Water Activity in Foods: Fundamentals and Applications; John Wiley & Sons: Hoboken, NJ, USA, 2020. [Google Scholar]
- Mujumdar, A.S. Handbook of Industrial Drying; CRC Press: Boca Raton, FL, USA, 2006. [Google Scholar]
- Liu, S.; Tang, J.; Tadapaneni, R.K.; Yang, R.; Zhu, M.-J. Exponentially increased thermal resistance of Salmonella spp. and Enterococcus faecium at reduced water activity. Appl. Environ. Microbiol. 2018, 84, e02742-17. [Google Scholar] [CrossRef] [PubMed]
- Bourdoux, S.; Li, D.; Rajkovic, A.; Devlieghere, F.; Uyttendaele, M. Performance of drying technologies to ensure microbial safety of dried fruits and vegetables. Compr. Rev. Food Sci. Food Saf. 2016, 15, 1056–1066. [Google Scholar] [CrossRef] [PubMed]
- Food Safety News. Norwegian Salmonella Outbreak Traced to Dried Fruit from Multiple Countries, 2021. Available online: https://www.foodsafetynews.com/2021/04/norwegian-salmonella-outbreak-traced-to-dried-fruit-from-multiple-countries/ (accessed on 30 July 2024).
- CDC, U.S. 2021 Salmonella Outbreak Linked to Onions, 2022. Available online: https://archive.cdc.gov/#/details?url=https://www.cdc.gov/salmonella/oranienburg-09-21/index.html (accessed on 30 July 2024).
- Yun, J.; Yan, R.; Fan, X.; Gurtler, J.; Phillips, J. Fate of E. coli O157: H7, Salmonella spp. and potential surrogate bacteria on apricot fruit, following exposure to UV-C light. Int. J. Food Microbiol. 2013, 166, 356–363. [Google Scholar] [CrossRef] [PubMed]
- Hanning, I.B.; Nutt, J.D.; Ricke, S.C. Salmonellosis Outbreaks in the United States Due to Fresh Produce: Sources and Potential Intervention Measures. Foodborne Pathog. Dis. 2009, 6, 635–648. [Google Scholar] [CrossRef] [PubMed]
- FDA, U.S. Recalls, Market Withdrawals, & Safety Alerts. Available online: https://www.fda.gov/safety/recalls-market-withdrawals-safety-alerts (accessed on 30 July 2024).
- Gomez, C.B.; Marks, B.P. Monetizing the impact of food safety recalls on the low-moisture food industry. J. Food Prot. 2020, 83, 829–835. [Google Scholar] [CrossRef] [PubMed]
- Steinbrunner, P.; Marks, B.P.; Ryser, E.T.; Suehr, Q.J.; Jeong, S. Fate of Salmonella and Enterococcus faecium during pilot-scale spray drying of soy protein isolate. J. Food Prot. 2021, 84, 674–679. [Google Scholar] [CrossRef]
- Phungamngoen, C.; Chiewchan, N.; Devahastin, S. Effects of various pretreatments and drying methods on Salmonella resistance and physical properties of cabbage. J. Food Eng. 2013, 115, 237–244. [Google Scholar] [CrossRef]
- Grasso-Kelley, E.M.; Liu, X.; Halik, L.A.; Douglas, B. Evaluation of hot-air drying to inactivate Salmonella and Enterococcus faecium on apple pieces. J. Food Prot. 2021, 84, 240–248. [Google Scholar] [CrossRef]
- Enache, E.; Podolak, R.; Kataoka, A.; Harris, L.J. Persistence of Salmonella and other bacterial pathogens in low-moisture foods. In Control of Salmonella and Other Bacterial Pathogens in Low Moisture Foods; John Wiley & Sons Ltd: Hoboken, NJ, USA, 2017; pp. 67–86. [Google Scholar] [CrossRef]
- Yang, R.; Xie, Y.; Lombardo, S.P.; Tang, J. Oil protects bacteria from humid heat in thermal processing. Food Control 2021, 123, 107690. [Google Scholar] [CrossRef]
- Cebrián, G.; Condón, S.; Mañas, P. Physiology of the inactivation of vegetative bacteria by thermal treatments: Mode of action, influence of environmental factors and inactivation kinetics. Foods 2017, 6, 107. [Google Scholar] [CrossRef]
- Podolak, R.; Black, D.G.; Wiley, J. Control of Salmonella and Other Bacterial Pathogens in Low-Moisture Foods; Wiley Online Library: Hoboken, NJ, USA, 2017. [Google Scholar]
- Xie, Y.; Xu, J.; Yang, R.; Alshammari, J.; Zhu, M.-J.; Sablani, S.; Tang, J. Moisture content of bacterial cells determines thermal resistance of Salmonella enterica serotype Enteritidis PT 30. Appl. Environ. Microbiol. 2021, 87, e02194-20. [Google Scholar] [CrossRef]
- Luo, K.K.; Chapman, D.M.; Huang, G.; Mitchell, A.E. Effect of pasteurization on raw almond (Prunus dulcis) oxidation during storage. ACS Food Sci. Technol. 2022, 2, 260–271. [Google Scholar] [CrossRef]
- Ahmad, N.H.; Hildebrandt, I.M.; Pickens, S.R.; Vasquez, S.; Jin, Y.; Liu, S.; Halik, L.A.; Tsai, H.-C.; Lau, S.K.; D’Souza, R.C.; et al. Interlaboratory evaluation of Enterococcus faecium NRRL B-2354 as a Salmonella surrogate for validating thermal treatment of multiple low-moisture foods. J. Food Prot. 2022, 85, 1538–1552. [Google Scholar] [CrossRef] [PubMed]
- Almond Board of California. Guidelines for Using Enterococcus faecium NRRL B-2354 as a Surrogate Microorganism in Almond Process Validation, 2014. Available online: https://www.almonds.com/sites/default/files/2020-05/guidelines_for_using_enterococcus_faecium_nrrl_b-2354_as_a_surrogate_microorganism_in_almond_process_validation.pdf (accessed on 25 October 2024).
- Taiwo, O.R.; Onyeaka, H.; Oladipo, E.K.; Oloke, J.K.; Chukwugozie, D.C. Advancements in Predictive Microbiology: Integrating New Technologies for Efficient Food Safety Models. Int. J. Microbiol. 2024, 2024, 6612162. [Google Scholar] [CrossRef] [PubMed]
- Tay, A. Process Validation and Challenges for Nuts. Almond Board of California, 2014. Available online: https://www.almonds.com/sites/default/files/content/attachments/process_validation.pdf (accessed on 30 July 2024).
- Vestergaard, M.S.C.E.M. Do You Need Microbial Challenge Testing? 2001. Available online: https://www.food-safety.com/articles/4410-do-you-need-microbial-challenge-testing (accessed on 8 August 2024).
- Yang, R.; Lombardo, S.P.; Conway, W.F.; Tang, J. Inactivation of Salmonella Enteritidis PT30 on black peppercorns in thermal treatments with controlled relative humidities. Food Res. Int. 2022, 162, 112101. [Google Scholar] [CrossRef]
- Tadapaneni, R.K.; Xu, J.; Yang, R.; Tang, J. Improving design of thermal water activity cell to study thermal resistance of Salmonella in low-moisture foods. LWT 2018, 92, 371–379. [Google Scholar] [CrossRef]
- Chemists, A.A.; Horwitz, W. Official Methods of Analysis, 15th ed.; AOAC 934.06: Arlington, VA, USA, 1990; Volume 1, p. 912. [Google Scholar]
- Hildebrandt, I.M.; Marks, B.P.; Ryser, E.T.; Villa-Rojas, R.; Tang, J.; Garces-Vega, F.J.; Buchholz, S.E. Effects of inoculation procedures on variability and repeatability of Salmonella thermal resistance in wheat flour. J. Food Prot. 2016, 79, 1833–1839. [Google Scholar] [CrossRef]
- Xu, J.; Tang, J.; Jin, Y.; Song, J.; Yang, R.; Sablani, S.S.; Zhu, M.-J. High temperature water activity as a key factor influencing survival of Salmonella Enteritidis PT30 in thermal processing. Food Control 2019, 98, 520–528. [Google Scholar] [CrossRef]
- Yang, R.; Wei, L.; Dai, J.; Tang, J. Thermal death kinetics of Salmonella Enteritidis PT30 in peanut butter as influenced by water activity. Food Res. Int. 2022, 157, 111288. [Google Scholar] [CrossRef] [PubMed]
- Gaillard, S.; Leguérinel, I.; Mafart, P. Model for combined effects of temperature, pH and water activity on thermal inactivation of Bacillus cereus spores. J. Food Sci. 1998, 63, 887–889. [Google Scholar] [CrossRef]
- Lide, D.R. CRC Handbook of Chemistry and Physics; CRC Press: Boca Raton, FL, USA, 2004; Volume 85. [Google Scholar]
- Zhang, S.; Yang, R.; Zhou, X.; Feng, Y.; Tang, J. Salmonella control for dried apple cubes. Food Control 2024, 162, 110428. [Google Scholar] [CrossRef]
- Yang, R.; Fleischman, G.J.; Shazer, A.; Li, H. Experimentally Implementing the Linear Nonisothermal Equation for Simultaneously Obtaining D-and z-Values of Salmonella Senftenberg in Skim Milk with a Differential Scanning Calorimeter. J. Food Prot. 2022, 85, 1410–1417. [Google Scholar] [CrossRef] [PubMed]
- De W Blackburn, C.; Curtis, L.M.; Humpheson, L.; Billon, C.; McClure, P.J. Development of thermal inactivation models for Salmonella enteritidis and Escherichia coli O157: H7 with temperature, pH and NaCl as controlling factors. Int. J. Food Microbiol. 1997, 38, 31–44. [Google Scholar] [CrossRef]
- DiPersio, P.A.; Kendall, P.A.; Yoon, Y.; Sofos, J.N. Influence of modified blanching treatments on inactivation of Salmonella during drying and storage of carrot slices. Food Microbiol. 2007, 24, 500–507. [Google Scholar] [CrossRef]
- Enache, E.; Chen, Y.; Awuah, G.; Economides, A.; Scott, V.N. Thermal resistance parameters for pathogens in white grape juice concentrate. J. Food Prot. 2006, 69, 564–569. [Google Scholar] [CrossRef] [PubMed]
- Topalcengiz, Z. Assessment of recommended thermal inactivation parameters for fruit juices. LWT 2019, 115, 108475. [Google Scholar] [CrossRef]
- Sun, S.; Xie, Y.; Zhou, X.; Zhu, M.-J.; Sablani, S.; Tang, J. Survival and thermal resistance of Salmonella in chocolate products with different water activities. Food Res. Int. 2023, 172, 113209. [Google Scholar] [CrossRef]
- Sun, S.; Xie, Y.; Yang, R.; Zhu, M.-J.; Sablani, S.; Tang, J. The influence of temperature and water activity on thermal resistance of Salmonella in milk chocolate. Food Control 2023, 143, 109292. [Google Scholar] [CrossRef]
- Jin, Y.; Tang, J.; Zhu, M.-J. Water activity influence on the thermal resistance of Salmonella in soy protein powder at elevated temperatures. Food Control 2020, 113, 107160. [Google Scholar] [CrossRef]



| Treatment | Time (min) | Log N (log CFU/g) | [Log N0 − Log N] * (log CFU/g) | Modeled Reduction (log CFU/g) |
|---|---|---|---|---|
| PD heating-70 | 0 | 9.57 ± 0.15 | 0.00 ± 0.01 a | 0.00 |
| 4 | 9.33 ± 0.28 | 0.24 ± 0.18 a | 0.15 | |
| 8 | 8.70 ± 0.37 | 0.87 ± 0.29 a | 1.03 | |
| 12 | 6.30 ± 0.87 | 3.27 ± 0.81 b | 3.15 | |
| 16 | 3.21 ± 1.04 | 6.36 ± 0.91 c | 6.77 | |
| PD heating-90 | 0 | 9.56 ± 0.07 | 0.00 ± 0.04 A | 0.00 |
| 2 | 9.37 ± 0.07 | 0.13 ± 0.08 A | 0.02 | |
| 3 | 9.38 ± 0.05 | 0.23 ± 0.05 A | 0.20 | |
| 4 | 8.76 ± 0.19 | 0.74 ± 0.19 A | 0.52 | |
| 6 | 6.10 ± 1.33 | 3.46 ± 1.32 B | 1.66 | |
| 8 | 3.27 ± 1.44 | 6.23 ± 1.43 C | 4.03 | |
| 9 | 3.52 ± 0.50 | 6.06 ± 0.49 C | 5.86 | |
| 10 | 1.70 ± 0.28 | 7.80 ± 0.28 C | 8.20 | |
| Drying-90 | 0 | 9.51 ± 0.15 | 0.00 ± 0.10 a | 0.00 |
| 3 | 9.43 ± 0.05 | 0.10 ± 0.05 ab | 0.00 | |
| 6 | 9.16 ± 0.26 | 0.36 ± 0.25 ab | 0.05 | |
| 12 | 8.56 ± 0.27 | 0.96 ± 0.33 b | 0.61 | |
| 18 | 7.41 ± 0.75 | 2.04 ± 0.82 c | 2.04 | |
| 24 | 6.28 ± 0.59 | 3.23 ± 0.71 d | 3.97 | |
| 36 | 4.05 ± 0.76 | 5.51 ± 0.77 e | 6.16 |
| Model | |
| Dref * | 0.60 min |
| ZT | 12.62 °C |
| ZRH | 22.60% |
| RMSE | 0.92 |
| R2 | 0.86 |
| Condition | D-Value | Estimated Dref (min) * | Reference |
|---|---|---|---|
| Sand under controlled RH | (min) | 6.9 | [3] |
| Low-moisture foods | (min) | 4.5 | [29] |
| White grape juice concentrate | 0.9–1.4 | [37] | |
| Diced apple cubes | - | 0.60 | This work |
| Diced apple cubes in hot ascorbic acid | 0.63 | [33] | |
| Apple and orange juices | <0.16 | [38] |
| Food Matrix | Range of Application | ZT (°C) | Reference | |
|---|---|---|---|---|
| T (°C) | RH (%) | |||
| Milk chocolate | 70–80 | 33 | 18.8 ± 2.5 | [39,40] |
| 70–80 | 44 | 20.6 ± 4.1 | ||
| 70–80 | 52 | 18.1 ± 0.5 | ||
| Peanut butter | 70–100 | 33 | 15.4 | [30] |
| 70–100 | 53 | 12.6 | ||
| Diced apple cubes | 30–80 | 20–80 | 12.6 | This work |
| Soy protein powder | 80–99 | 25–32 | 12.5 | [41] |
| 80–99 | 36–43 | 13.2 | ||
| 80–99 | 47–52 | 13.1 | ||
| 75–95 | 52–58 | 11.6 | ||
| 70–90 | 58–62 | 11.2 | ||
| 70–85 | 68–70 | 10.8 | ||
| 70–85 | 74–76 | 8.0 | ||
| 60–75 | 84–86 | 6.7 | ||
| Food Matrix | Range of Application | ZRH (%) | Reference | |
|---|---|---|---|---|
| T (°C) | RH (%) | |||
| Soy protein powder | 70 | 58–74 | 44 | [41] |
| 75 | 52–75 | 39 | ||
| 80 | 25–69 | 41 | ||
| Wheat flour | 80 | 31–78 | 32.2 | [29] |
| Sand (SiO2) | 80 | 18–72 | 31 | [3] |
| Whey protein | 80 | 32–85 | 30.9 | [29] |
| Almond flour | 80 | 32–81 | 28.9 | [29] |
| Diced apple cubes | 30–80 | 20–80 | 22.6 | This work |
| Black peppercorn | 80 | 60–80 | 21.3 | [25] |
Disclaimer/Publisher’s Note: The statements, opinions and data contained in all publications are solely those of the individual author(s) and contributor(s) and not of MDPI and/or the editor(s). MDPI and/or the editor(s) disclaim responsibility for any injury to people or property resulting from any ideas, methods, instructions or products referred to in the content. |
© 2024 by the authors. Licensee MDPI, Basel, Switzerland. This article is an open access article distributed under the terms and conditions of the Creative Commons Attribution (CC BY) license (https://creativecommons.org/licenses/by/4.0/).
Share and Cite
Yang, R.; Zhang, S.; Tang, J. Mathematical Modeling of Salmonella Inactivation During Apple Drying and Pre-Drying Heating in Closed Environments. Foods 2024, 13, 3877. https://doi.org/10.3390/foods13233877
Yang R, Zhang S, Tang J. Mathematical Modeling of Salmonella Inactivation During Apple Drying and Pre-Drying Heating in Closed Environments. Foods. 2024; 13(23):3877. https://doi.org/10.3390/foods13233877
Chicago/Turabian StyleYang, Ren, Shuang Zhang, and Juming Tang. 2024. "Mathematical Modeling of Salmonella Inactivation During Apple Drying and Pre-Drying Heating in Closed Environments" Foods 13, no. 23: 3877. https://doi.org/10.3390/foods13233877
APA StyleYang, R., Zhang, S., & Tang, J. (2024). Mathematical Modeling of Salmonella Inactivation During Apple Drying and Pre-Drying Heating in Closed Environments. Foods, 13(23), 3877. https://doi.org/10.3390/foods13233877

