Portable NIR Spectroscopy to Simultaneously Trace Honey Botanical and Geographical Origins and Detect Syrup Adulteration
Abstract
1. Introduction
2. Materials and Methods
2.1. Honey Samples and Adulterants
2.2. Reagents and Instrumentations
2.3. Sample Preparation and Spectra Acquisition
2.4. Chemometric Analysis
3. Results and Discussion
3.1. Honey Traceability
3.1.1. Principal Component Analysis of Pure Honeys
3.1.2. Geographical and Botanical Classification
3.2. Detection of Adulterants
3.2.1. Principal Component Analysis of Adulterated Honeys
3.2.2. Classification of Pure and Adulterated Honeys
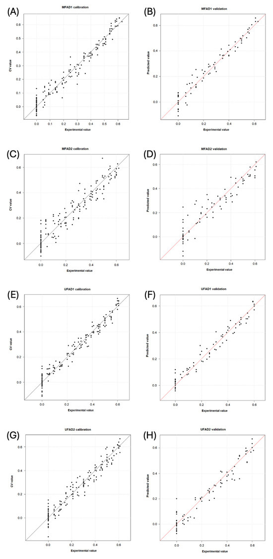
3.2.3. Quantification of Adulterants by PLS
4. Conclusions
Supplementary Materials
Author Contributions
Funding
Data Availability Statement
Acknowledgments
Conflicts of Interest
References
- Flores, J.M.; Gil-Lebrero, S.; Gámiz, V.; Rodríguez, M.I.; Ortiz, M.A.; Quiles, F.J. Effect of the Climate Change on Honey Bee Colonies in a Temperate Mediterranean Zone Assessed through Remote Hive Weight Monitoring System in Conjunction with Exhaustive Colonies Assessment. Sci. Total Environ. 2019, 653, 1111–1119. [Google Scholar] [CrossRef] [PubMed]
- De Groot, G.S.; Aizen, M.A.; Sáez, A.; Morales, C.L. Large-Scale Monoculture Reduces Honey Yield: The Case of Soybean Expansion in Argentina. Agric. Ecosyst. Environ. 2021, 306, 107203. [Google Scholar] [CrossRef]
- Giacobino, A.; Pacini, A.; Molineri, A.; Bulacio Cagnolo, N.; Merke, J.; Orellano, E.; Bertozzi, E.; Masciangelo, G.; Pietronave, H.; Signorini, M. Environment or Beekeeping Management: What Explains Better the Prevalence of Honey Bee Colonies with High Levels of Varroa Destructor? Res. Vet. Sci. 2017, 112, 1–6. [Google Scholar] [CrossRef]
- Clermont, A.; Eickermann, M.; Kraus, F.; Hoffmann, L.; Beyer, M. Correlations between Land Covers and Honey Bee Colony Losses in a Country with Industrialized and Rural Regions. Sci. Total Environ. 2015, 532, 1–13. [Google Scholar] [CrossRef] [PubMed]
- Brar, D.S.; Pant, K.; Krishnan, R.; Kaur, S.; Rasane, P.; Nanda, V.; Saxena, S.; Gautam, S. A Comprehensive Review on Unethical Honey: Validation by Emerging Techniques. Food Control 2023, 145, 109482. [Google Scholar] [CrossRef]
- European Commission EU Coordinated Action “From the Hives” (Honey 2021–2022). 2023. Available online: https://food.ec.europa.eu/safety/eu-agri-food-fraud-network/eu-coordinated-actions/honey-2021-2022_en (accessed on 3 September 2024).
- Thrasyvoulou, A.; Tananaki, C.; Goras, G.; Karazafiris, E.; Dimou, M.; Liolios, V.; Kanelis, D.; Gounari, S. Legislation of Honey Criteria and Standards. J. Apic. Res. 2018, 57, 88–96. [Google Scholar] [CrossRef]
- Nowak, A.; Nowak, I. Review of Harmful Chemical Pollutants of Environmental Origin in Honey and Bee Products. Crit. Rev. Food Sci. Nutr. 2023, 63, 5094–5116. [Google Scholar] [CrossRef]
- Cambridge University Press. Directive 2001/18/EC of the European Parliament and of the Council of 12 March 2001 on the Deliberate Release into the Environment of Genetically Modified Organisms and Repealing Council Directive 90/220/EEC (OJ L 106 17.04.2001 p. 1). In Documents in European Community Environmental Law; Sands, P., Galizzi, P., Eds.; Cambridge University Press: Cambridge, UK, 2006; pp. 787–836. ISBN 978-0-521-83303-5. [Google Scholar]
- Castro-Vázquez, L.; Díaz-Maroto, M.C.; De Torres, C.; Pérez-Coello, M.S. Effect of Geographical Origin on the Chemical and Sensory Characteristics of Chestnut Honeys. Food Res. Int. 2010, 43, 2335–2340. [Google Scholar] [CrossRef]
- Piana, M.L.; Persano Oddo, L.; Bentabol, A.; Bruneau, E.; Bogdanov, S.; Guyot Declerck, C. Sensory Analysis Applied to Honey: State of the Art. Apidologie 2004, 35, S26–S37. [Google Scholar] [CrossRef]
- Cosmina, M.; Gallenti, G.; Marangon, F.; Troiano, S. Reprint of “Attitudes towards Honey among Italian Consumers: A Choice Experiment Approach. ” Appetite 2016, 106, 110–116. [Google Scholar] [CrossRef]
- Roman, A.; Popiela-Pleban, E.; Kozak, M.; Roman, K. Factors Influencing Consumer Behavior Relating to the Purchase of Honey Part 2. Product Quality and Packaging. J. Apic. Sci. 2013, 57, 175–185. [Google Scholar] [CrossRef]
- Cárdenas-Escudero, J.; Galán-Madruga, D.; Cáceres, J.O. FTIR-ATR Detection Method for Emerging C3-Plants-Derivated Adulterants in Honey: Beet, Dates, and Carob Syrups. Talanta 2023, 265, 124768. [Google Scholar] [CrossRef] [PubMed]
- Cárdenas-Escudero, J.; Galán-Madruga, D.; Cáceres, J.O. Rapid, Reliable and Easy-to-Perform Chemometric-Less Method for Rice Syrup Adulterated Honey Detection Using FTIR-ATR. Talanta 2023, 253, 123961. [Google Scholar] [CrossRef]
- Limm, W.; Karunathilaka, S.R.; Mossoba, M.M. Fourier Transform Infrared Spectroscopy and Chemometrics for the Rapid Screening of Economically Motivated Adulteration of Honey Spiked With Corn or Rice Syrup. J. Food Prot. 2023, 86, 100054. [Google Scholar] [CrossRef]
- Ballin, N.Z.; Laursen, K.H. To Target or Not to Target? Definitions and Nomenclature for Targeted versus Non-Targeted Analytical Food Authentication. Trends Food Sci. Technol. 2019, 86, 537–543. [Google Scholar] [CrossRef]
- Mara, A.; Migliorini, M.; Ciulu, M.; Chignola, R.; Egido, C.; Núñez, O.; Sentellas, S.; Saurina, J.; Caredda, M.; Deroma, M.A.; et al. Elemental Fingerprinting Combined with Machine Learning Techniques as a Powerful Tool for Geographical Discrimination of Honeys from Nearby Regions. Foods 2024, 13, 243. [Google Scholar] [CrossRef]
- Drivelos, S.A.; Danezis, G.P.; Halagarda, M.; Popek, S.; Georgiou, C.A. Geographical Origin and Botanical Type Honey Authentication through Elemental Metabolomics via Chemometrics. Food Chem. 2021, 338, 127936. [Google Scholar] [CrossRef]
- Khatun, M.A.; Yoshimura, J.; Yoshida, M.; Suzuki, Y.; Huque, R.; Kelly, S.D.; Munshi, M.K. Isotopic Characteristics (δ13C, δ15N, and δ18O) of Honey from Bangladesh Retail Markets: Investigating Sugar Manipulation, Botanical and Geographical Authentication. Food Chem. 2024, 435, 137612. [Google Scholar] [CrossRef] [PubMed]
- Magdas, D.A.; Guyon, F.; Puscas, R.; Vigouroux, A.; Gaillard, L.; Dehelean, A.; Feher, I.; Cristea, G. Applications of Emerging Stable Isotopes and Elemental Markers for Geographical and Varietal Recognition of Romanian and French Honeys. Food Chem. 2021, 334, 127599. [Google Scholar] [CrossRef]
- Masoomi, S.; Sharifi, H.; Hemmateenejad, B. A Paper-Based Optical Tongue for Characterization of Iranian Honey: Identification of Geographical/Botanical Origins and Adulteration Detection. Food Control 2024, 155, 110052. [Google Scholar] [CrossRef]
- Romano, A.; Cuenca Quicazan, M.; Makhoul, S.; Biasioli, F.; Martinello, L.; Fugatti, A.; Scampicchio, M. Comparison of E-Noses: The Case Study of Honey. Ital. J. Food Sci. 2016, 28, 326–337. [Google Scholar] [CrossRef]
- Zhang, X.-H.; Gu, H.-W.; Liu, R.-J.; Qing, X.-D.; Nie, J.-F. A Comprehensive Review of the Current Trends and Recent Advancements on the Authenticity of Honey. Food Chem. X 2023, 19, 100850. [Google Scholar] [CrossRef] [PubMed]
- Egido, C.; Saurina, J.; Sentellas, S.; Núñez, O. Honey Fraud Detection Based on Sugar Syrup Adulterations by HPLC-UV Fingerprinting and Chemometrics. Food Chem. 2024, 436, 137758. [Google Scholar] [CrossRef] [PubMed]
- Wei, Q.; Sun, J.; Guo, J.; Li, X.; Zhang, X.; Xiao, F. Authentication of Chaste Honey Adulterated with High Fructose Corn Syrup by HS-SPME-GC-MS Coupled with Chemometrics. LWT 2023, 176, 114509. [Google Scholar] [CrossRef]
- Hernanz, D.; Jara-Palacios, M.J.; Santos, J.L.; Gómez Pajuelo, A.; Heredia, F.J.; Terrab, A. The Profile of Phenolic Compounds by HPLC-MS in Spanish Oak (Quercus) Honeydew Honey and Their Relationships with Color and Antioxidant Activity. LWT 2023, 180, 114724. [Google Scholar] [CrossRef]
- Kuballa, T.; Brunner, T.S.; Thongpanchang, T.; Walch, S.G.; Lachenmeier, D.W. Application of NMR for Authentication of Honey, Beer and Spices. Curr. Opin. Food Sci. 2018, 19, 57–62. [Google Scholar] [CrossRef]
- Xu, Y.; Zhong, P.; Jiang, A.; Shen, X.; Li, X.; Xu, Z.; Shen, Y.; Sun, Y.; Lei, H. Raman Spectroscopy Coupled with Chemometrics for Food Authentication: A Review. TrAC Trends Anal. Chem. 2020, 131, 116017. [Google Scholar] [CrossRef]
- David, M.; Magdas, D.A. Authentication of Honey Origin and Harvesting Year Based on Raman Spectroscopy and Chemometrics. Talanta Open 2024, 10, 100342. [Google Scholar] [CrossRef]
- Suhandy, D.; Al Riza, D.F.; Yulia, M.; Kusumiyati, K. Non-Targeted Detection and Quantification of Food Adulteration of High-Quality Stingless Bee Honey (SBH) via a Portable LED-Based Fluorescence Spectroscopy. Foods 2023, 12, 3067. [Google Scholar] [CrossRef]
- Suhandy, D.; Yulia, M. The Use of UV Spectroscopy and SIMCA for the Authentication of Indonesian Honeys According to Botanical, Entomological and Geographical Origins. Molecules 2021, 26, 915. [Google Scholar] [CrossRef]
- Caredda, M.; Mara, A.; Ciulu, M.; Floris, I.; Pilo, M.I.; Spano, N.; Sanna, G. Use of Genetic Algorithms in the Wavelength Selection of FT-MIR Spectra to Classify Unifloral Honeys from Sardinia. Food Control 2023, 146, 109559. [Google Scholar] [CrossRef]
- Biswas, A.; Chaudhari, S.R. Exploring the Role of NIR Spectroscopy in Quantifying and Verifying Honey Authenticity: A Review. Food Chem. 2024, 445, 138712. [Google Scholar] [CrossRef] [PubMed]
- Qu, J.-H.; Liu, D.; Cheng, J.-H.; Sun, D.-W.; Ma, J.; Pu, H.; Zeng, X.-A. Applications of Near-Infrared Spectroscopy in Food Safety Evaluation and Control: A Review of Recent Research Advances. Crit. Rev. Food Sci. Nutr. 2015, 55, 1939–1954. [Google Scholar] [CrossRef]
- Wu, L.; Du, B.; Vander Heyden, Y.; Chen, L.; Zhao, L.; Wang, M.; Xue, X. Recent Advancements in Detecting Sugar-Based Adulterants in Honey—A Challenge. TrAC Trends Anal. Chem. 2017, 86, 25–38. [Google Scholar] [CrossRef]
- Damiani, T.; Alonso-Salces, R.M.; Aubone, I.; Baeten, V.; Arnould, Q.; Dall’Asta, C.; Fuselli, S.R.; Fernández Pierna, J.A. Vibrational Spectroscopy Coupled to a Multivariate Analysis Tiered Approach for Argentinean Honey Provenance Confirmation. Foods 2020, 9, 1450. [Google Scholar] [CrossRef]
- Ferreiro-González, M.; Espada-Bellido, E.; Guillén-Cueto, L.; Palma, M.; Barroso, C.G.; Barbero, G.F. Rapid Quantification of Honey Adulteration by Visible-near Infrared Spectroscopy Combined with Chemometrics. Talanta 2018, 188, 288–292. [Google Scholar] [CrossRef]
- Ciulu, M.; Oertel, E.; Serra, R.; Farre, R.; Spano, N.; Caredda, M.; Malfatti, L.; Sanna, G. Classification of Unifloral Honeys from SARDINIA (Italy) by ATR-FTIR Spectroscopy and Random Forest. Molecules 2020, 26, 88. [Google Scholar] [CrossRef]
- Antonova, O.; Calvo, J.; Seifert, A. Rapid Detection of Thermal Treatment of Honey by Chemometrics-Assisted FTIR Spectroscopy. Foods 2021, 10, 2892. [Google Scholar] [CrossRef]
- Berghian-Grosan, C.; Hategan, A.R.; David, M.; Magdas, D.A. Untargeted Metabolomic Analysis of Honey Mixtures: Discrimination Opportunities Based on ATR-FTIR Data and Machine Learning Algorithms. Microchem. J. 2023, 188, 108458. [Google Scholar] [CrossRef]
- Boateng, A.A.; Sumaila, S.; Lartey, M.; Oppong, M.B.; Opuni, K.F.M.; Adutwum, L.A. Evaluation of Chemometric Classification and Regression Models for the Detection of Syrup Adulteration in Honey. LWT 2022, 163, 113498. [Google Scholar] [CrossRef]
- Damto, T.; Zewdu, A.; Birhanu, T. Application of Fourier Transform Infrared (FT-IR) Spectroscopy and Multivariate Analysis for Detection of Adulteration in Honey Markets in Ethiopia. Curr. Res. Food Sci. 2023, 7, 100565. [Google Scholar] [CrossRef] [PubMed]
- David, M.; Hategan, A.R.; Berghian-Grosan, C.; Magdas, D.A. The Development of Honey Recognition Models Based on the Association between ATR-IR Spectroscopy and Advanced Statistical Tools. Int. J. Mol. Sci. 2022, 23, 9977. [Google Scholar] [CrossRef] [PubMed]
- Grabato, J.R.; Pilario, K.E.; Micor, J.R.L.; Mojica, E.-R.E. Geographical and Entomological Differentiation of Philippine Honey by Multivariate Analysis of FTIR Spectra. J. Food Compos. Anal. 2022, 114, 104853. [Google Scholar] [CrossRef]
- Ismail, N.F.; Maulidiani, M.; Omar, S.; Zulkifli, M.F.; Mohd Radzi, M.N.F.; Ismail, N.; Jusoh, A.Z.; Roowi, S.; Yew, W.M.; Rudiyanto, R.; et al. Classification of Stingless Bee Honey Based on Species, Dehumidification Process and Geographical Origins Using Physicochemical and ATR-FTIR Chemometric Approach. J. Food Compos. Anal. 2021, 104, 104126. [Google Scholar] [CrossRef]
- Orfanakis, E.; Markoulidakis, M.; Philippidis, A.; Zoumi, A.; Velegrakis, M. Optical Spectroscopy Methods Combined with Multivariate Statistical Analysis for the Classification of Cretan Thyme, Multi-floral and Honeydew Honey. J Sci Food Agric 2021, 101, 5337–5347. [Google Scholar] [CrossRef]
- Pauliuc, D.; Ciursă, P.; Ropciuc, S.; Dranca, F.; Oroian, M. Physicochemical Parameters Prediction and Authentication of Different Monofloral Honeys Based on FTIR Spectra. J. Food Compos. Anal. 2021, 102, 104021. [Google Scholar] [CrossRef]
- Guelpa, A.; Marini, F.; Du Plessis, A.; Slabbert, R.; Manley, M. Verification of Authenticity and Fraud Detection in South African Honey Using NIR Spectroscopy. Food Control 2017, 73, 1388–1396. [Google Scholar] [CrossRef]
- Herrero Latorre, C.; Peña Crecente, R.M.; García Martín, S.; Barciela García, J. A Fast Chemometric Procedure Based on NIR Data for Authentication of Honey with Protected Geographical Indication. Food Chem. 2013, 141, 3559–3565. [Google Scholar] [CrossRef] [PubMed]
- Ruoff, K.; Luginbühl, W.; Bogdanov, S.; Bosset, J.O.; Estermann, B.; Ziolko, T.; Amadò, R. Authentication of the Botanical Origin of Honey by Near-Infrared Spectroscopy. J. Agric. Food Chem. 2006, 54, 6867–6872. [Google Scholar] [CrossRef]
- Nobari Moghaddam, H.; Tamiji, Z.; Akbari Lakeh, M.; Khoshayand, M.R.; Haji Mahmoodi, M. Multivariate Analysis of Food Fraud: A Review of NIR Based Instruments in Tandem with Chemometrics. J. Food Compos. Anal. 2022, 107, 104343. [Google Scholar] [CrossRef]
- Cozzolino, D. The Ability of Near Infrared (NIR) Spectroscopy to Predict Functional Properties in Foods: Challenges and Opportunities. Molecules 2021, 26, 6981. [Google Scholar] [CrossRef] [PubMed]
- Beć, K.B.; Grabska, J.; Huck, C.W. Miniaturized NIR Spectroscopy in Food Analysis and Quality Control: Promises, Challenges, and Perspectives. Foods 2022, 11, 1465. [Google Scholar] [CrossRef] [PubMed]
- Escuredo, O.; Rodríguez-Flores, M.S.; Meno, L.; Seijo, M.C. Prediction of Physicochemical Properties in Honeys with Portable Near-Infrared (microNIR) Spectroscopy Combined with Multivariate Data Processing. Foods 2021, 10, 317. [Google Scholar] [CrossRef]
- Folli, G.S.; Santos, L.P.; Santos, F.D.; Cunha, P.H.P.; Schaffel, I.F.; Borghi, F.T.; Barros, I.H.A.S.; Pires, A.A.; Ribeiro, A.V.F.N.; Romão, W.; et al. Food Analysis by Portable NIR Spectrometer. Food Chem. Adv. 2022, 1, 100074. [Google Scholar] [CrossRef]
- Niazi, A.; Leardi, R. Genetic Algorithms in Chemometrics. J. Chemom. 2012, 26, 345–351. [Google Scholar] [CrossRef]
- Leardi, R. Application of Genetic Algorithm-PLS for Feature Selection in Spectral Data Sets. J. Chemom. 2000, 14, 643–655. [Google Scholar] [CrossRef]
- Leardi, R. Genetic Algorithm-PLS as a Tool for Wavelength Selection in Spectral Data Sets. In Data Handling in Science and Technology; Elsevier: Amsterdam, The Netherlands, 2003; Volume 23, pp. 169–196. ISBN 978-0-444-51350-2. [Google Scholar]
- Floris, I.; Satta, A.; Ruiu, L. Honeys of Sardinia (Italy). J. Apic. Res. 2007, 46, 198–209. [Google Scholar] [CrossRef]
- Da Silva, P.M.; Gauche, C.; Gonzaga, L.V.; Costa, A.C.O.; Fett, R. Honey: Chemical Composition, Stability and Authenticity. Food Chem. 2016, 196, 309–323. [Google Scholar] [CrossRef]
- Mohanan, N.; Satyanarayana, T.A. Encyclopedia of Microbiology, 4th ed.; Schmidt, T.M., Ed.; Academic Press: Oxford, UK, 2019; pp. 107–126. ISBN 978-0-12-811737-8. [Google Scholar]
- Podgorbunskikh, E.; Sapozhnikov, A.; Kuskov, T.; Gurova, D.; Kopylova, A.; Bychkov, A.; Lomovsky, O. Comprehensive Enzymatic Conversion of Starch for the Food Industry. Polymers 2022, 14, 4575. [Google Scholar] [CrossRef]
- VIAVI Solutions Inc. MicroNIR Pro v3. 0. User Manual; VIAVI Solutions Inc.: Chandler, AZ, USA, 2019. [Google Scholar]
- Bittante, G.; Patel, N.; Cecchinato, A.; Berzaghi, P. Invited Review: A Comprehensive Review of Visible and near-Infrared Spectroscopy for Predicting the Chemical Composition of Cheese. J. Dairy Sci. 2022, 105, 1817–1836. [Google Scholar] [CrossRef]
- Rodriguez-Otero, J.L.; Hermida, M.; Centeno, J. Analysis of Dairy Products by Near-Infrared Spectroscopy: A Review. J. Agric. Food Chem. 1997, 45, 2815–2819. [Google Scholar] [CrossRef]
- Irudayaraj, J.; Reh, C. (Eds.) Nondestructive Testing of Food Quality, 1st ed.; IFT Press Series; Blackwell Pub.: Hoboken, NJ, USA; IFT Press: Ames, IA, USA, 2008; ISBN 978-0-8138-2885-5. [Google Scholar]
- Stuart, B.H. Infrared Spectroscopy: Fundamentals and Applications; Analytical Techniques in the Sciences, 1st ed.; Wiley: Hoboken, NJ, USA, 2004; ISBN 978-0-470-85427-3. [Google Scholar]
- Schwanninger, M.; Rodrigues, J.C.; Fackler, K. A Review of Band Assignments in near Infrared Spectra of Wood and Wood Components. J. Near Infrared Spectrosc. 2011, 19, 287–308. [Google Scholar] [CrossRef]
- Leardi, R.; Melzi, C.; Polotti, G. CAT (Chemometric Agile Tool). Available online: http://gruppochemiometria.it/index.php/software (accessed on 6 February 2024).
- Bodor, Z.; Kovacs, Z.; Benedek, C.; Hitka, G.; Behling, H. Origin Identification of Hungarian Honey Using Melissopalynology, Physicochemical Analysis, and Near Infrared Spectroscopy. Molecules 2021, 26, 7274. [Google Scholar] [CrossRef]
- Ciulu, M.; Serra, R.; Caredda, M.; Salis, S.; Floris, I.; Pilo, M.I.; Spano, N.; Panzanelli, A.; Sanna, G. Chemometric Treatment of Simple Physical and Chemical Data for the Discrimination of Unifloral Honeys. Talanta 2018, 190, 382–390. [Google Scholar] [CrossRef]
- Mara, A.; Deidda, S.; Caredda, M.; Ciulu, M.; Deroma, M.; Farinini, E.; Floris, I.; Langasco, I.; Leardi, R.; Pilo, M.I.; et al. Multi-Elemental Analysis as a Tool to Ascertain the Safety and the Origin of Beehive Products: Development, Validation, and Application of an ICP-MS Method on Four Unifloral Honeys Produced in Sardinia, Italy. Molecules 2022, 27, 2009. [Google Scholar] [CrossRef]
- Grainger, M.N.C.; Klaus, H.; Hewitt, N.; French, A.D. Investigation of Inorganic Elemental Content of Honey from Regions of North Island, New Zealand. Food Chem. 2021, 361, 130110. [Google Scholar] [CrossRef]
- Truong, H.T.D.; Reddy, P.; Reis, M.M.; Archer, R. Quality Assessment of Mānuka Honeys Using Non-Invasive Near Infrared Systems. J. Food Compos. Anal. 2022, 114, 104780. [Google Scholar] [CrossRef]
- Ballabio, D.; Robotti, E.; Grisoni, F.; Quasso, F.; Bobba, M.; Vercelli, S.; Gosetti, F.; Calabrese, G.; Sangiorgi, E.; Orlandi, M.; et al. Chemical Profiling and Multivariate Data Fusion Methods for the Identification of the Botanical Origin of Honey. Food Chem. 2018, 266, 79–89. [Google Scholar] [CrossRef] [PubMed]
- Gan, Z.; Yang, Y.; Li, J.; Wen, X.; Zhu, M.; Jiang, Y.; Ni, Y. Using Sensor and Spectral Analysis to Classify Botanical Origin and Determine Adulteration of Raw Honey. J. Food Eng. 2016, 178, 151–158. [Google Scholar] [CrossRef]
- Valinger, D.; Longin, L.; Grbeš, F.; Benković, M.; Jurina, T.; Gajdoš Kljusurić, J.; Jurinjak Tušek, A. Detection of Honey Adulteration—The Potential of UV-VIS and NIR Spectroscopy Coupled with Multivariate Analysis. LWT 2021, 145, 111316. [Google Scholar] [CrossRef]
- Benković, M.; Jurina, T.; Longin, L.; Grbeš, F.; Valinger, D.; Jurinjak Tušek, A.; Gajdoš Kljusurić, J. Qualitative and Quantitative Detection of Acacia Honey Adulteration with Glucose Syrup Using Near-Infrared Spectroscopy. Separations 2022, 9, 312. [Google Scholar] [CrossRef]
- Bázár, G.; Romvári, R.; Szabó, A.; Somogyi, T.; Éles, V.; Tsenkova, R. NIR Detection of Honey Adulteration Reveals Differences in Water Spectral Pattern. Food Chem. 2016, 194, 873–880. [Google Scholar] [CrossRef] [PubMed]
- Li, S.; Zhang, X.; Shan, Y.; Su, D.; Ma, Q.; Wen, R.; Li, J. Qualitative and Quantitative Detection of Honey Adulterated with High-Fructose Corn Syrup and Maltose Syrup by Using near-Infrared Spectroscopy. Food Chem. 2017, 218, 231–236. [Google Scholar] [CrossRef] [PubMed]
- Aliaño-González, M.J.; Ferreiro-González, M.; Espada-Bellido, E.; Palma, M.; Barbero, G.F. A Screening Method Based on Visible-NIR Spectroscopy for the Identification and Quantification of Different Adulterants in High-Quality Honey. Talanta 2019, 203, 235–241. [Google Scholar] [CrossRef]




| Cross-Validation | Prediction | ||||||
|---|---|---|---|---|---|---|---|
| ITA | SPA | Accuracy | ITA | SPA | Accuracy | ||
| ITA | 108 | 8 | 93% | ITA | 49 | 3 | 94% |
| SPA | 1 | 46 | 98% | SPA | 1 | 23 | 96% |
| Average accuracy | 96% | Average accuracy | 95% | ||||
| Cross-Validation | Prediction | ||||||||||||||
|---|---|---|---|---|---|---|---|---|---|---|---|---|---|---|---|
| AS | EU | MF | RO | ST | TH | Accuracy | AS | EU | MF | RO | ST | TH | Accuracy | ||
| AS | 22 | 0 | 1 | 0 | 0 | 1 | 92% | AS | 10 | 0 | 2 | 0 | 0 | 0 | 83% |
| EU | 1 | 20 | 2 | 3 | 2 | 0 | 71% | EU | 0 | 13 | 1 | 0 | 0 | 0 | 93% |
| MF | 4 | 2 | 35 | 4 | 0 | 0 | 78% | MF | 0 | 0 | 23 | 0 | 0 | 0 | 100% |
| RO | 1 | 1 | 3 | 15 | 0 | 0 | 75% | RO | 0 | 0 | 2 | 9 | 0 | 0 | 82% |
| ST | 0 | 0 | 0 | 0 | 18 | 0 | 100% | ST | 0 | 1 | 0 | 0 | 6 | 0 | 86% |
| TH | 0 | 1 | 0 | 0 | 0 | 24 | 96% | TH | 0 | 0 | 0 | 0 | 0 | 12 | 100% |
| Average accuracy | 85% | Average accuracy | 91% | ||||||||||||
| Cross-Validation | ||||||||||
| AS-IT | EU-IT | MF-IT | RO-IT | ST-IT | TH-IT | EU-SP | MF-SP | RO-SP | Accuracy | |
| AS-IT | 20 | 0 | 2 | 0 | 0 | 1 | 0 | 1 | 0 | 83% |
| EU-IT | 0 | 20 | 0 | 0 | 0 | 0 | 0 | 0 | 0 | 100% |
| MF-IT | 2 | 0 | 19 | 0 | 0 | 0 | 0 | 1 | 1 | 83% |
| RO-IT | 0 | 0 | 1 | 3 | 0 | 0 | 0 | 0 | 0 | 75% |
| ST-IT | 0 | 0 | 0 | 0 | 13 | 2 | 0 | 1 | 0 | 81% |
| TH-IT | 0 | 1 | 0 | 0 | 3 | 21 | 0 | 0 | 0 | 84% |
| EU-SP | 1 | 0 | 0 | 0 | 0 | 1 | 6 | 0 | 1 | 67% |
| MF-SP | 2 | 0 | 1 | 0 | 0 | 0 | 0 | 17 | 2 | 77% |
| RO-SP | 0 | 0 | 0 | 0 | 0 | 0 | 1 | 1 | 15 | 88% |
| Average accuracy | 83% | |||||||||
| Prediction | ||||||||||
| AS-IT | EU-IT | MF-IT | RO-IT | ST-IT | TH-IT | EU-SP | MF-SP | RO-SP | Accuracy | |
| AS-IT | 9 | 0 | 0 | 0 | 1 | 1 | 0 | 1 | 0 | 75% |
| EU-IT | 2 | 8 | 0 | 0 | 0 | 0 | 0 | 0 | 0 | 80% |
| MF-IT | 0 | 0 | 12 | 0 | 0 | 0 | 0 | 0 | 0 | 100% |
| RO-IT | 0 | 0 | 0 | 1 | 0 | 0 | 0 | 0 | 0 | 100% |
| ST-IT | 0 | 0 | 0 | 0 | 7 | 1 | 0 | 1 | 0 | 78% |
| TH-IT | 0 | 0 | 0 | 0 | 1 | 11 | 0 | 0 | 0 | 92% |
| EU-SP | 0 | 0 | 0 | 0 | 0 | 0 | 3 | 1 | 0 | 75% |
| MF-SP | 0 | 0 | 2 | 0 | 0 | 0 | 0 | 8 | 1 | 73% |
| RO-SP | 0 | 0 | 0 | 0 | 0 | 0 | 0 | 1 | 8 | 89% |
| Average accuracy | 85% | |||||||||
| MFAD1, 2nd-Derivative MSC Model | MFAD2, 1st-Derivative MSC Model | ||||||||||
| Cross-Validation | Cross-Validation | ||||||||||
| Adulteration | Pure | Low | Medium | High | Accuracy | Adulteration | Pure | Low | Medium | High | Accuracy |
| Pure | 36 | 3 | 0 | 0 | 92% | Pure | 36 | 2 | 1 | 0 | 92% |
| Low | 0 | 38 | 1 | 0 | 97% | Low | 0 | 35 | 3 | 0 | 92% |
| Medium | 0 | 0 | 38 | 0 | 100% | Medium | 0 | 2 | 35 | 3 | 88% |
| High | 0 | 0 | 0 | 40 | 100% | High | 0 | 0 | 1 | 39 | 98% |
| Average accuracy | 97% | Average accuracy | 92% | ||||||||
| Prediction | Prediction | ||||||||||
| Pure | Low | Medium | High | Accuracy | Pure | Low | Medium | High | Accuracy | ||
| Pure | 20 | 0 | 0 | 0 | 100% | Pure | 20 | 0 | 0 | 0 | 100% |
| Low | 0 | 20 | 0 | 0 | 100% | Low | 0 | 19 | 0 | 0 | 100% |
| Medium | 0 | 0 | 20 | 0 | 100% | Medium | 0 | 0 | 19 | 1 | 95% |
| High | 0 | 0 | 0 | 18 | 100% | High | 0 | 0 | 0 | 20 | 100% |
| Average accuracy | 100% | Average accuracy | 99% | ||||||||
| UFAD1, MSC Model | UFAD2, 1st-Derivative SNV Model | ||||||||||
| Cross-Validation | Cross-Validation | ||||||||||
| Adulteration | Pure | Low | Medium | High | Accuracy | Adulteration | Pure | Low | Medium | High | Accuracy |
| Pure | 33 | 0 | 0 | 0 | 100% | Pure | 35 | 1 | 0 | 0 | 97% |
| Low | 1 | 35 | 2 | 0 | 92% | Low | 0 | 38 | 1 | 0 | 97% |
| Medium | 0 | 0 | 37 | 0 | 100% | Medium | 0 | 2 | 36 | 1 | 92% |
| High | 0 | 0 | 1 | 40 | 98% | High | 0 | 0 | 0 | 40 | 100% |
| Average accuracy | 96% | Average accuracy | 96% | ||||||||
| Prediction | Prediction | ||||||||||
| Pure | Low | Medium | High | Accuracy | Pure | Low | Medium | High | Accuracy | ||
| Pure | 16 | 0 | 0 | 0 | 100% | Pure | 18 | 0 | 0 | 0 | 100% |
| Low | 0 | 18 | 1 | 0 | 95% | Low | 0 | 19 | 0 | 0 | 100% |
| Medium | 0 | 1 | 20 | 0 | 95% | Medium | 0 | 0 | 20 | 0 | 100% |
| High | 0 | 0 | 0 | 19 | 100% | High | 0 | 0 | 0 | 20 | 100% |
| Average accuracy | 98% | Average accuracy | 100% | ||||||||
| Dataset | Spectral Pretreatment | Variable Selection | n. of Variables | LV | Explained Variance (%) | Cross-Validation | Prediction | |||||
|---|---|---|---|---|---|---|---|---|---|---|---|---|
| Median | RMSECV | RMSECV% | Median | RMSEP | RMSEP% | Bias | ||||||
| MFAD1 | MSC | GA | 13 | 9 | 95.8 | 0.32 | 0.04 | 13 | 0.34 | 0.04 | 13 | 0.006 |
| MFAD2 | MSC | GA | 35 | 10 | 90.4 | 0.30 | 0.06 | 20 | 0.31 | 0.07 | 23 | −0.004 |
| UFAD1 | MSC | GA | 19 | 10 | 96.1 | 0.33 | 0.04 | 12 | 0.33 | 0.04 | 12 | 0.005 |
| UFAD2 | MSC + 1st derivative | GA | 28 | 8 | 93.9 | 0.35 | 0.05 | 14 | 0.31 | 0.05 | 16 | −0.008 |
Disclaimer/Publisher’s Note: The statements, opinions and data contained in all publications are solely those of the individual author(s) and contributor(s) and not of MDPI and/or the editor(s). MDPI and/or the editor(s) disclaim responsibility for any injury to people or property resulting from any ideas, methods, instructions or products referred to in the content. |
© 2024 by the authors. Licensee MDPI, Basel, Switzerland. This article is an open access article distributed under the terms and conditions of the Creative Commons Attribution (CC BY) license (https://creativecommons.org/licenses/by/4.0/).
Share and Cite
Caredda, M.; Ciulu, M.; Tilocca, F.; Langasco, I.; Núñez, O.; Sentellas, S.; Saurina, J.; Pilo, M.I.; Spano, N.; Sanna, G.; et al. Portable NIR Spectroscopy to Simultaneously Trace Honey Botanical and Geographical Origins and Detect Syrup Adulteration. Foods 2024, 13, 3062. https://doi.org/10.3390/foods13193062
Caredda M, Ciulu M, Tilocca F, Langasco I, Núñez O, Sentellas S, Saurina J, Pilo MI, Spano N, Sanna G, et al. Portable NIR Spectroscopy to Simultaneously Trace Honey Botanical and Geographical Origins and Detect Syrup Adulteration. Foods. 2024; 13(19):3062. https://doi.org/10.3390/foods13193062
Chicago/Turabian StyleCaredda, Marco, Marco Ciulu, Francesca Tilocca, Ilaria Langasco, Oscar Núñez, Sònia Sentellas, Javier Saurina, Maria Itria Pilo, Nadia Spano, Gavino Sanna, and et al. 2024. "Portable NIR Spectroscopy to Simultaneously Trace Honey Botanical and Geographical Origins and Detect Syrup Adulteration" Foods 13, no. 19: 3062. https://doi.org/10.3390/foods13193062
APA StyleCaredda, M., Ciulu, M., Tilocca, F., Langasco, I., Núñez, O., Sentellas, S., Saurina, J., Pilo, M. I., Spano, N., Sanna, G., & Mara, A. (2024). Portable NIR Spectroscopy to Simultaneously Trace Honey Botanical and Geographical Origins and Detect Syrup Adulteration. Foods, 13(19), 3062. https://doi.org/10.3390/foods13193062

