Interactions of White Mugwort (Artemisia lactiflora Wall.) Extract with Food Ingredients during In Vitro Gastrointestinal Digestion and Their Impact on Bioaccessibility of Polyphenols in Various Model Systems
Abstract
1. Introduction
2. Materials and Methods
2.1. Preparation of White Mugwort Extract and Model Food Systems
2.1.1. Plant Material Preparation and Extraction
2.1.2. Preparation of Model Food Systems
2.2. Effect of Model Food Systems on Polyphenol and Antioxidant Activity of White Mugwort Extract during In Vitro Digestion
2.2.1. In Vitro Gastrointestinal Digestion
2.2.2. Analysis of Total Polyphenol Content (TPC)
2.2.3. Analysis of Antioxidant Capacity
2.2.4. Identification of Phenolic Compounds by HPLC-DAD
2.3. Effect of White Mugwort Polyphenols on the Digestion of Protein
2.4. Effect of White Mugwort Polyphenols on the Digestion of Starch
2.4.1. Determination of Starch Hydrolysis
2.4.2. Enzymatic Inhibition
2.5. Effect of White Mugwort Polyphenols on Lipid Digestion
2.6. Statistical Analysis
3. Results and Discussion
3.1. Effect of In Vitro Digestion on TPC Release and Bioaccessibility of FE in Model Food Systems
3.2. Effect of In Vitro Digestion on Antioxidant Activity of FE in Food Model Systems
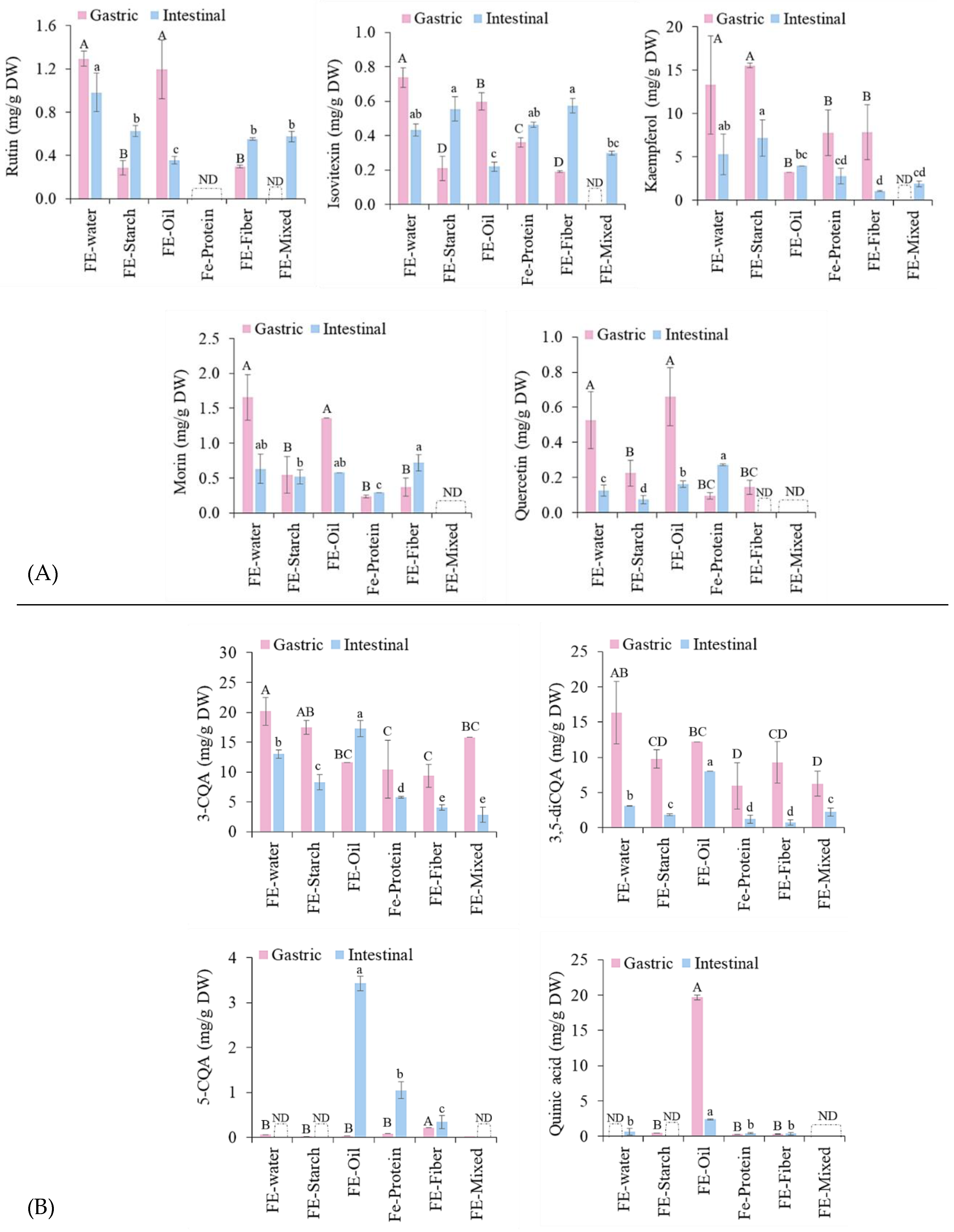
3.3. Effect of Food Macronutrients on Bioaccessibility of Polyphenols from FE
3.4. Effect of White Mugwort Polyphenols on Protein Digestion
3.5. Effect of White Mugwort Extract Polyphenols on Carbohydrate Digestion
3.5.1. Determination of Total Reducing Sugars (TRS)
3.5.2. Enzymatic Inhibition
3.6. Effect of White Mugwort Polyphenols on Oil Digestion
4. Conclusions
Author Contributions
Funding
Institutional Review Board Statement
Informed Consent Statement
Data Availability Statement
Acknowledgments
Conflicts of Interest
References
- Gardner, J.A. Living with Herbs: A Treasury of Useful Plants for the Home and Garden, 2nd ed.; Powell’s Bookstores Chicago: Chicago, IL, USA, 2014. [Google Scholar]
- Kulprachakarn, K.; Pangjit, K.; Paradee, N.; Srichairatanakool, S.; Rerkasem, K.; Ounjaijean, S. Antioxidant Properties and Cytotoxicity of White Mugwort (Artemisia lactiflora) Leaf Extract in Human Hepatocellular Carcinoma Cell Line. Walailak J. Sci. Technol. (WJST) 2019, 16, 185–192. [Google Scholar] [CrossRef]
- Li, B. Improvements on Just-About-Right (JAR) Scales as Product Optimization Tools Using Kano Modeling Concepts; University of Arkansas: Fayetteville, AR, USA, 2011. [Google Scholar]
- Lin, F.D.; Luo, D.W.; Ye, J.; Xiao, M.T. Chemical constituents of Artemisia lactiflora(II). Zhongguo Zhong Yao Za Zhi Zhongguo Zhongyao Zazhi China J. Chin. Mater. Medica 2014, 39, 2531–2535. [Google Scholar]
- Nakamura, Y.; Kawamoto, N.; Ohto, Y.; Torikai, K.; Murakami, A.; Ohigashi, H. A diacetylenic spiroketal enol ether epoxide, AL-1, from Artemisia lactiflora inhibits 12-O-tetradecanoylphorbol-13-acetate-induced tumor promotion possibly by suppression of oxidative stress. Cancer Lett. 1999, 140, 37–45. [Google Scholar] [CrossRef] [PubMed]
- Nakamura, Y.; Ohto, Y.; Murakami, A.; Jiwajinda, S.; Ohigashi, H. Isolation and Identification of Acetylenic Spiroketal Enol Ethers from Artemisia lactiflora as Inhibitors of Superoxide Generation Induced by a Tumor Promoter in Differentiated HL-60 Cells. J. Agric. Food Chem. 1998, 46, 5031–5036. [Google Scholar] [CrossRef]
- Sea-tan, S.; Kunpanya, P. Water extract from leaf and stem of White Mugwort inhibits enzyme activity of α-amylase and α-glucosidase. J. Nutr. Asscociation Thail. 2017, 52, 16–22. [Google Scholar]
- Udomwasinakun, N.; Pirak, T.; Chanput, W.P. Identification of polyphenols in white mugwort (Artemisia lactiflora Wall.) ethanolic extracts and their anti-inflammatory and anti-adipogenic activity potential. Food Biosci. 2022, 47, 101761. [Google Scholar] [CrossRef]
- Xiao M-t Luo D-w Ke, Z.; Ye, J.; Tu, P.-F. A novel polyacetylene from the aerial parts of Artemisia lactiflora. Phytochem. Lett. 2014, 8, 52–54. [Google Scholar] [CrossRef]
- Chao, P.Y.; Lin, S.Y.; Lin, K.H.; Liu, Y.F.; Hsu, J.I.; Yang, C.M.; Lai, J.Y. Antioxidant activity in extracts of 27 indigenous Taiwanese vegetables. Nutrients 2014, 6, 2115–2130. [Google Scholar] [CrossRef]
- Pinarli, B.; Simge Karliga, E.; Ozkan, G.; Capanoglu, E. Interaction of phenolics with food matrix: In vitro and in vivo approaches. Mediterr. J. Nutr. Metab. 2020, 13, 63–74. [Google Scholar] [CrossRef]
- Rein, M.J.; Renouf, M.; Cruz-Hernandez, C.; Actis-Goretta, L.; Thakkar, S.K.; da Silva Pinto, M. Bioavailability of bioactive food compounds: A challenging journey to bioefficacy. Br. J. Clin. Pharmacol. 2013, 75, 588–602. [Google Scholar] [CrossRef]
- Zhang, L.; Tu, Z.C.; Yuan, T.; Wang, H.; Fu, Z.F.; Wen, Q.H.; Wang, X.Q. Solvent optimization, antioxidant activity, and chemical characterization of extracts from Artemisia selengnesis Turcz. Ind. Crops Prod. 2014, 56, 223–230. [Google Scholar] [CrossRef]
- Udomwasinakun, N.; Saha, S.; Mulet-Cabero, A.-I.; Wilde, P.J.; Pirak, T. Assessment of Polyphenols Bioaccessibility, Stability, and Antioxidant Activity of White Mugwort (Artemisia lactiflora Wall.) during Static In Vitro Gastrointestinal Digestion. Foods 2023, 12, 949. [Google Scholar] [CrossRef] [PubMed]
- Diez-Sánchez, E.; Quiles, A.; Hernando, I. Interactions between Blackcurrant Polyphenols and Food Macronutrients in Model Systems: In Vitro Digestion Studies. Foods 2021, 10, 847. [Google Scholar] [CrossRef] [PubMed]
- Le Bourvellec, C.; Renard, C.M. Interactions between polyphenols and macromolecules: Quantification methods and mechanisms. Crit. Rev. Food Sci. Nutr. 2012, 52, 213–248. [Google Scholar] [CrossRef] [PubMed]
- Zhang, H.; Yu, D.; Sun, J.; Liu, X.; Jiang, L.; Guo, H.; Ren, F. Interaction of plant phenols with food macronutrients: Characterisation and nutritional–physiological consequences. Nutr. Res. Rev. 2014, 27, 1–15. [Google Scholar] [CrossRef]
- Sęczyk, Ł.; Sugier, D.; Świeca, M.; Gawlik-Dziki, U. The effect of in vitro digestion, food matrix, and hydrothermal treatment on the potential bioaccessibility of selected phenolic compounds. Food Chem. 2021, 344, 128581. [Google Scholar] [CrossRef]
- Wu, Y.; Chen, Z.; Li, X.; Li, M. Effect of tea polyphenols on the retrogradation of rice starch. Food Res. Int. 2009, 42, 221–225. [Google Scholar] [CrossRef]
- Zeng Xu, Z.; Dai, M.; Cao, X.; Xiong, X.; He, S.; Yuan, Y.; Zhang, M.; Dong, L.; Zhang, R.; Su, D. Effects of simulated digestion on the phenolic composition and antioxidant activity of different cultivars of lychee pericarp. BMC Chem. 2019, 13, 27. [Google Scholar] [CrossRef]
- Liu, X.; Bi, J.; Xiao, H.; McClements, D.J. Enhancement of Nutraceutical Bioavailability using Excipient Nanoemulsions: Role of Lipid Digestion Products on Bioaccessibility of Carotenoids and Phenolics from Mangoes. J. Food Sci. 2016, 81, N754–N761. [Google Scholar] [CrossRef]
- Ortega, N.; Macià, A.; Romero, M.-P.; Reguant, J.; Motilva, M.-J. Matrix composition effect on the digestibility of carob flour phenols by an in-vitro digestion model. Food Chem. 2011, 124, 65–71. [Google Scholar] [CrossRef]
- Sengul, H.; Surek, E.; Nilufer-Erdil, D. Investigating the effects of food matrix and food components on bioaccessibility of pomegranate (Punica granatum) phenolics and anthocyanins using an in-vitro gastrointestinal digestion model. Food Res. Int. 2014, 62, 1069–1079. [Google Scholar] [CrossRef]
- Chen, C.; Wang, L.; Chen, Z.; Luo, X.; Li, Y.; Wang, R.; Li, J.; Li, Y.; Wang, T.; Wu, J. Effects of Milk Proteins on the Bioaccessibility and Antioxidant Activity of Oat Phenolics During In Vitro Digestion. J. Food Sci. 2019, 84, 895–903. [Google Scholar] [CrossRef] [PubMed]
- Prigent, S.V.; Gruppen, H.; Visser, A.J.; Van Koningsveld, G.A.; De Jong, G.A.; Voragen, A.G. Effects of non-covalent interactions with 5-O-caffeoylquinic acid (chlorogenic acid) on the heat denaturation and solubility of globular proteins. J. Agric. Food Chem. 2003, 51, 5088–5095. [Google Scholar] [CrossRef] [PubMed]
- Qin, W.; Ketnawa, S.; Ogawa, Y. Effect of digestive enzymes and pH on variation of bioavailability of green tea during simulated in vitro gastrointestinal digestion. Food Sci. Hum. Wellness 2022, 11, 669–675. [Google Scholar] [CrossRef]
- Rodríguez-Roque, M.J.; de Ancos, B.; Sánchez-Moreno, C.; Cano, M.P.; Elez-Martínez, P.; Martín-Belloso, O. Impact of food matrix and processing on the in vitro bioaccessibility of vitamin C, phenolic compounds, and hydrophilic antioxidant activity from fruit juice-based beverages. J. Funct. Foods 2015, 14, 33–43. [Google Scholar] [CrossRef]
- Cebeci, F.; Şahin-Yeşilçubuk, N. The matrix effect of blueberry, oat meal and milk on polyphenols, antioxidant activity and potential bioavailability. Int. J. Food Sci. Nutr. 2014, 65, 69–78. [Google Scholar] [CrossRef]
- Tomas, M.; Beekwilder, J.; Hall, R.D.; Diez Simon, C.; Sagdic, O.; Capanoglu, E. Effect of dietary fiber (inulin) addition on phenolics and in vitro bioaccessibility of tomato sauce. Food Res. Int. 2018, 106, 129–135. [Google Scholar] [CrossRef]
- Brodkorb, A.; Egger, L.; Alminger, M.; Alvito, P.; Assunção, R.; Ballance, S.; Bohn, T.; Bourlieu-Lacanal, C.; Boutrou, R.; Carrière, F.; et al. INFOGEST static in vitro simulation of gastrointestinal food digestion. Nat. Protoc. 2019, 14, 991–1014. [Google Scholar] [CrossRef]
- Campoli, S.S.; Rojas, M.L.; do Amaral, J.E.P.G.; Canniatti-Brazaca, S.G.; Augusto, P.E.D. Ultrasound processing of guava juice: Effect on structure, physical properties and lycopene in vitro accessibility. Food Chem. 2018, 268, 594–601. [Google Scholar] [CrossRef]
- Karabegovic, I.; Nikolova, M.; Veličković, D.; Stojičević, S.; Veljković, V.; Lazic, M. Comparison of Antioxidant and Antimicrobial Activities of Methanolic Extracts of the Artemisia sp. Recovered by Different Extraction Techniques. Chin. J. Chem. Eng. 2011, 19, 504–511. [Google Scholar] [CrossRef]
- Hwang, K.-E.; Choi, Y.-S.; Choi, J.-H.; Kim, H.-Y.; Kim, H.-W.; Lee, M.-A.; Chung, H.-K.; Kim, C.-J. Effect of Ganghwayakssuk (Artemisia princeps Pamp.) on oxidative stability of deep fried chicken nuggets. Food Sci. Biotechnol. 2011, 20, 1381. [Google Scholar] [CrossRef]
- Ketnawa, S.; Suwannachot, J.; Ogawa, Y. In vitro gastrointestinal digestion of crisphead lettuce: Changes in bioactive compounds and antioxidant potential. Food Chem. 2020, 311, 125885. [Google Scholar] [CrossRef] [PubMed]
- Nielsen, P.M.; Petersen, D.; Dambmann, C. Improved Method for Determining Food Protein Degree of Hydrolysis. J. Food Sci. 2001, 66, 642–646. [Google Scholar] [CrossRef]
- Colosimo, R.; Warren, F.J.; Edwards, C.H.; Finnigan, T.J.A.; Wilde, P.J. The interaction of α-amylase with mycoprotein: Diffusion through the fungal cell wall, enzyme entrapment, and potential physiological implications. Food Hydrocoll. 2020, 108, 106018. [Google Scholar] [CrossRef]
- Robinson, P.K. Enzymes: Principles and biotechnological applications. Essays Biochem. 2015, 59, 1–41. [Google Scholar] [CrossRef]
- Mat, D.J.L.; Le Feunteun, S.; Michon, C.; Souchon, I. In vitro digestion of foods using pH-stat and the INFOGEST protocol: Impact of matrix structure on digestion kinetics of macronutrients, proteins and lipids. Food Res. Int. 2016, 88, 226–233. [Google Scholar] [CrossRef]
- Sánchez-Rangel, J.C.; Benavides, J.; Heredia, J.B.; Cisneros-Zevallos, L.; Jacobo-Velázquez, D.A. The Folin–Ciocalteu assay revisited: Improvement of its specificity for total phenolic content determination. Anal. Methods 2013, 5, 5990–5999. [Google Scholar] [CrossRef]
- Gullon, B.; Pintado, M.E.; Fernández-López, J.; Pérez-Álvarez, J.A.; Viuda-Martos, M. In vitro gastrointestinal digestion of pomegranate peel (Punica granatum) flour obtained from co-products: Changes in the antioxidant potential and bioactive compounds stability. J. Funct. Foods 2015, 19, 617–628. [Google Scholar] [CrossRef]
- Tagliazucchi, D.; Verzelloni, E.; Bertolini, D.; Conte, A. In vitro bioaccessibility and antioxidant activity of grape polyphenols. Food Chem. 2010, 120, 599–606. [Google Scholar] [CrossRef]
- US Department of Agriculture. SDA National Nutrient Database for Standard Reference. 2016. Available online: https://url24.top/ywDEK (accessed on 25 July 2024).
- Galanakis, C.M.; Goulas, V.; Tsakona, S.; Manganaris, G.A.; Gekas, V. A Knowledge Base for The Recovery of Natural Phenols with Different Solvents. Int. J. Food Prop. 2013, 16, 382–396. [Google Scholar] [CrossRef]
- Gu, C.; Suleria, H.A.R.; Dunshea, F.R.; Howell, K. Dietary Lipids Influence Bioaccessibility of Polyphenols from Black Carrots and Affect Microbial Diversity under Simulated Gastrointestinal Digestion. Antioxidants 2020, 9, 762. [Google Scholar] [CrossRef] [PubMed]
- Macierzanka, A.; Torcello-Gómez, A.; Jungnickel, C.; Maldonado-Valderrama, J. Bile salts in digestion and transport of lipids. Adv. Colloid. Interface Sci. 2019, 274, 102045. [Google Scholar] [CrossRef] [PubMed]
- Quiros, A.; Palafox, H.; Sayago-Ayerdi, S.; Ayala-Zavala, J.F.; Bello-Perez, L.A.; Alvarez-Parrilla, E.; De la Rosa, L.; González-Córdova, A.F.; Aguilar, G. Dietary fiber and phenolic compounds as functional ingredients: Interaction and possible effect after ingestion. Food Funct. 2014, 5, 1063–1072. [Google Scholar] [CrossRef]
- O’Grady, J.; O’Connor, E.M.; Shanahan, F. Review article: Dietary fibre in the era of microbiome science. Aliment. Pharmacol. Ther. 2019, 49, 506–515. [Google Scholar] [CrossRef] [PubMed]
- Hussain, M.; Hassan, S.; Waheed, M.; Javed, A.; Farooq, M.; Tahir, A. Bioavailability and Metabolic Pathway of Phenolic Compounds; IntechOpen: London, UK, 2019. [Google Scholar] [CrossRef]
- Marín, L.; Miguélez, E.M.; Villar, C.J.; Lombó, F. Bioavailability of Dietary Polyphenols and Gut Microbiota Metabolism: Antimicrobial Properties. BioMed Res. Int. 2015, 2015, 905215. [Google Scholar] [CrossRef]
- Prigent, S.V.; Voragen, A.G.; Visser, A.J.; van Koningsveld, G.A.; Gruppen, H. Covalent interactions between proteins and oxidation products of caffeoylquinic acid (chlorogenic acid). J. Sci. Food Agric. 2007, 87, 2502–2510. [Google Scholar] [CrossRef]
- Quan, T.H.; Benjakul, S.; Sae-leaw, T.; Balange, A.K.; Maqsood, S. Protein–polyphenol conjugates: Antioxidant property, functionalities and their applications. Trends Food Sci. Technol. 2019, 91, 507–517. [Google Scholar] [CrossRef]
- Arts, M.J.T.J.; Haenen, G.R.M.M.; Wilms, L.C.; Beetstra, S.A.J.N.; Heijnen, C.G.M.; Voss, H.-P.; Bast, A. Interactions between Flavonoids and Proteins: Effect on the Total Antioxidant Capacity. J. Agric. Food Chem. 2002, 50, 1184–1187. [Google Scholar] [CrossRef]
- Ozdal, T.; Capanoglu, E.; Altay, F. A review on protein–phenolic interactions and associated changes. Food Res. Int. 2013, 51, 954–970. [Google Scholar] [CrossRef]
- Shen, F.; Niu, F.; Li, J.; Su, Y.; Liu, Y.; Yang, Y.-j. Interactions between tea polyphenol and two kinds of typical egg white proteins—Ovalbumin and lysozyme: Effect on the gastrointestinal digestion of both proteins in vitro. Food Res. Int. 2014, 59, 100–107. [Google Scholar]
- Bibi Sadeer, N.; Montesano, D.; Albrizio, S.; Zengin, G.; Mahomoodally, M.F. The Versatility of Antioxidant Assays in Food Science and Safety—Chemistry, Applications, Strengths, and Limitations. Antioxidants 2020, 9, 709. [Google Scholar] [CrossRef] [PubMed]
- Jiang, J.; Zhang, Z.; Zhao, J.; Liu, Y. The effect of non-covalent interaction of chlorogenic acid with whey protein and casein on physicochemical and radical-scavenging activity of in vitro protein digests. Food Chem. 2018, 268, 334–341. [Google Scholar] [CrossRef] [PubMed]
- Morishita, H.; Ohnishi, M. Absorption, metabolism and biological activities of chlorogenic acids and related compounds. In Studies in Natural Products Chemistry; Atta ur, R., Ed.; Elsevier: Amsterdam, The Netherlands, 2001; Volume 25, pp. 919–953. [Google Scholar] [CrossRef]
- Liang, N.; Kitts, D.D. Role of Chlorogenic Acids in Controlling Oxidative and Inflammatory Stress Conditions. Nutrients 2015, 8, 16. [Google Scholar] [CrossRef] [PubMed]
- Narita, Y.; Inouye, K. Degradation Kinetics of Chlorogenic Acid at Various pH Values and Effects of Ascorbic Acid and Epigallocatechin Gallate on Its Stability under Alkaline Conditions. J. Agric. Food Chem. 2013, 61, 966–972. [Google Scholar] [CrossRef] [PubMed]
- Naveed, M.; Hejazi, V.; Abbas, M.; Ali, A.; Khan, G.J.; Shumzaid, M.; Ahmad, F.; Babazadeh, D.; FangFang, X.; Modarresi-Ghazani, F.; et al. Chlorogenic acid (CGA): A pharmacological review and call for further research. Biomed. Pharmacother. 2018, 97, 67–74. [Google Scholar] [CrossRef] [PubMed]
- Vilas-Boas Oliveira, A.; Jesus, D.; Rodrigues, C.; Figueira, C.; Gomes, A.; Pintado, M. Chlorogenic acids composition and the impact of in vitro gastrointestinal digestion on espresso coffee from single-dose capsule. Food Res. Int. 2020, 134, 109223. [Google Scholar] [CrossRef]
- Platzer, M.; Kiese, S.; Herfellner, T.; Schweiggert-Weisz, U.; Eisner, P. How Does the Phenol Structure Influence the Results of the Folin-Ciocalteu Assay? Antioxidants 2021, 10, 811. [Google Scholar] [CrossRef]
- Goff, H.D.; Repin, N.; Fabek, H.; El Khoury, D.; Gidley, M.J. Dietary fibre for glycaemia control: Towards a mechanistic understanding. Bioact. Carbohydr. Diet. Fibre 2018, 14, 39–53. [Google Scholar] [CrossRef]
- Sastry, M.C.S.; Rao, M.S.N. Binding of chlorogenic acid by the isolated polyphenol-free 11 S protein of sunflower (Helianthus annuus) seed. J. Agric. Food Chem. 1990, 38, 2103–2110. [Google Scholar] [CrossRef]
- Carlson, B.M. Chapter 12—The Digestive System. In The Human Body; Carlson, B.M., Ed.; Academic Press: Cambridge, MA, USA, 2019; pp. 321–355. [Google Scholar] [CrossRef]
- Minekus, M.; Alminger, M.; Alvito, P.; Ballance, S.; Bohn, T.; Bourlieu, C.; Carrière, F.; Boutrou, R.; Corredig, M.; Dupont, D.; et al. A standardised static in vitro digestion method suitable for food—An international consensus. Food Funct. 2014, 5, 1113–1124. [Google Scholar] [CrossRef]
- BeMiller, J.N.; Steinheimer, T.R.; Allen, E.E., Jr. Alkaline Degradation of Inulin and Its Structural Implications. Clin. Chem. 1967, 13, 261–269. [Google Scholar] [CrossRef] [PubMed]
- Yu, J.; Mi, Y.; Ji, S. In vitro Evaluating the Influence of Grape Seed Polyphenol Extract on the Digestibility of Macronutrients. J. Health Sci. 2016, 4, 167–176. [Google Scholar] [CrossRef]
- Martinez-Gonzalez, A.I.; Díaz-Sánchez, Á.G.; Rosa, L.A.; Vargas-Requena, C.L.; Bustos-Jaimes, I.; Alvarez-Parrilla, A.E. Polyphenolic Compounds and Digestive Enzymes: In Vitro Non-Covalent Interactions. Molecules 2017, 22, 669. [Google Scholar] [CrossRef] [PubMed]
- Lovegrove, A.; Edwards, C.H.; De Noni, I.; Patel, H.; El, S.N.; Grassby, T.; Zielke, C.; Ulmius, M.; Nilsson, L.; Butterworth, P.J.; et al. Role of polysaccharides in food, digestion, and health. Crit. Rev. Food Sci. Nutr. 2017, 57, 237–253. [Google Scholar] [CrossRef] [PubMed]
- Coe, S.; Ryan, L. Impact of polyphenol-rich sources on acute postprandial glycaemia: A systematic review. J. Nutr. Sci. 2016, 5, e24. [Google Scholar] [CrossRef]
- Rufino, A.T.; Costa, V.M.; Carvalho, F.; Fernandes, E. Flavonoids as antiobesity agents: A review. Med. Res. Rev. 2021, 41, 556–585. [Google Scholar] [CrossRef]
- Anbu, P.; Lakshmipriya, T.; Hilda, A. Strategies to Characterize Fungal Lipases for Applications in Medicine and Dairy Industry. BioMed Res. Int. 2013, 2013, 154549. [Google Scholar] [CrossRef]
- Shishikura, Y.; Khokhar, S.; Murray, B.S. Effects of tea polyphenols on emulsification of olive oil in a small intestine model system. J. Agric. Food Chem. 2006, 54, 1906–1913. [Google Scholar] [CrossRef]
- Guo, Q.; Ye, A.; Lad, M.; Dalgleish, D.; Singh, H. Impact of colloidal structure of gastric digesta on in-vitro intestinal digestion of whey protein emulsion gels. Food Hydrocoll. 2016, 54, 255–265. [Google Scholar] [CrossRef]
- Salentinig, S.; Sagalowicz, L.; Leser, M.E.; Tedeschi, C.; Glatter, O. Transitions in the internal structure of lipid droplets during fat digestion. Soft Matter 2011, 7, 650–661. [Google Scholar]
- Jiang, T.; Charcosset, C. Encapsulation of curcumin within oil-in-water emulsions prepared by premix membrane emulsification: Impact of droplet size and carrier oil type on physicochemical stability and in vitro bioaccessibility. Food Chem. 2022, 375, 131825. [Google Scholar] [CrossRef] [PubMed]










| Compounds | FE-MetOH (mg/g) | % | FE | FE-Starch | FE-Oil | FE-Fiber | FE-Protein | FE-Mixed |
|---|---|---|---|---|---|---|---|---|
| 5-CQA | 0.3 ± 0 | RG | 150 | 135 | 28 | 177 | 154 | 3.4 |
| BAI | ND. | ND. | 1319 | 130 | 402 | ND. | ||
| 3-CQA | 22 ± 2 | RG | 90.6 | 79 | 53 | 42 | 47 | 71 |
| BAI | 58.4 | 37 | 78 | 18 | 26 | 13 | ||
| Rutin | 1.8 ± 0 | RG | 73.9 | 16 | 68 | 17 | ND. | ND. |
| BAI | 56.2 | 36 | 20 | 32 | ND. | 33 | ||
| Isovitexin | 0.9 ± 0 | RG | 80.1 | 23 | 65 | 21 | 39 | ND. |
| BAI | 46.9 | 60 | 24 | 62 | 50 | 32 | ||
| Kaempferol | 5.3 ± 1 | RG | 249 | 291 | 61 | 147 | 145 | ND. |
| BAI | 99 | 134 | 74 | 20 | 52 | 35 | ||
| 3,5-diCQA | 20 ± 6 | RG | 82.2 | 49 | 61 | 47 | 30 | 31 |
| BAI | 15.7 | 9.3 | 40 | 3.7 | 6.2 | 11 | ||
| Morin | 2.2 ± 0 | RG | 76.4 | 25 | 63 | 17 | 11 | ND. |
| BAI | 29.1 | 24 | 27 | 33 | 13 | ND. | ||
| Quercetin | 0.7 ± 0 | RG | 53.1 | 34 | 100 | 22 | 15 | ND. |
| BAI | 12.7 | 11 | 25 | ND. | 42 | ND. |
| Droplet Distribution | Initial Sample | Gastric | Intestinal | ||
|---|---|---|---|---|---|
| Specific surface area (cm2/g) | Oil | (5.3 ± 0.9) × 106 A,ns | (2.1 ± 0.4) × 105 B,ns | (7.0 ± 1.3) × 106 A,a | |
| FE-Oil | (4.3 ± 1.6) × 106 A,ns | (6.2 ± 1.5) × 105 B,ns | (6.9 ± 0.9) × 105 B,b | ||
| Median droplet diameter (µm) | Oil | 1.62 ± 0.12 B,b | 43.8 ± 6.6 A,ns | 17.6 ± 2.9 B,ns | |
| FE-Oil | 40.3 ± 11.1 C,a | 40.3 ± 11.1 A,ns | 37.9 ± 17.2 B,ns | ||
| Average droplet diameter (µm) | Oil | 2.01 ± 0.27 C,ns | 42.0 ± 5.5 A,ns | 10.9 ± 2.8 B,b | |
| FE-Oil | 2.60 ± 0.67 B,ns | 39.0 ± 10.4 A,ns | 20.4 ± 2.1 A,a | ||
Disclaimer/Publisher’s Note: The statements, opinions and data contained in all publications are solely those of the individual author(s) and contributor(s) and not of MDPI and/or the editor(s). MDPI and/or the editor(s) disclaim responsibility for any injury to people or property resulting from any ideas, methods, instructions or products referred to in the content. |
© 2024 by the authors. Licensee MDPI, Basel, Switzerland. This article is an open access article distributed under the terms and conditions of the Creative Commons Attribution (CC BY) license (https://creativecommons.org/licenses/by/4.0/).
Share and Cite
Udomwasinakun, N.; Saha, S.; Mulet-Cabero, A.-I.; Wilde, P.J.; Pirak, T. Interactions of White Mugwort (Artemisia lactiflora Wall.) Extract with Food Ingredients during In Vitro Gastrointestinal Digestion and Their Impact on Bioaccessibility of Polyphenols in Various Model Systems. Foods 2024, 13, 2942. https://doi.org/10.3390/foods13182942
Udomwasinakun N, Saha S, Mulet-Cabero A-I, Wilde PJ, Pirak T. Interactions of White Mugwort (Artemisia lactiflora Wall.) Extract with Food Ingredients during In Vitro Gastrointestinal Digestion and Their Impact on Bioaccessibility of Polyphenols in Various Model Systems. Foods. 2024; 13(18):2942. https://doi.org/10.3390/foods13182942
Chicago/Turabian StyleUdomwasinakun, Nacha, Shikha Saha, Ana-Isabel Mulet-Cabero, Peter J. Wilde, and Tantawan Pirak. 2024. "Interactions of White Mugwort (Artemisia lactiflora Wall.) Extract with Food Ingredients during In Vitro Gastrointestinal Digestion and Their Impact on Bioaccessibility of Polyphenols in Various Model Systems" Foods 13, no. 18: 2942. https://doi.org/10.3390/foods13182942
APA StyleUdomwasinakun, N., Saha, S., Mulet-Cabero, A.-I., Wilde, P. J., & Pirak, T. (2024). Interactions of White Mugwort (Artemisia lactiflora Wall.) Extract with Food Ingredients during In Vitro Gastrointestinal Digestion and Their Impact on Bioaccessibility of Polyphenols in Various Model Systems. Foods, 13(18), 2942. https://doi.org/10.3390/foods13182942

