Functional Model Beverages of Saffron Floral By-Products: Polyphenolic Composition, Inhibition of Digestive Enzymes, and Rheological Characterization
Abstract
1. Introduction
2. Materials and Methods
2.1. Chemicals and Reagents
2.2. Plant Material
2.3. Preparation of Model Beverages
- Control (water, sucrose, citric acid) without thickener non-heat-treated (C), model beverage without thickener non-heat treated (SF), control without thickener heat-treated (C80), model beverage without thickener heat-treated (SF80).
- Control (water, sucrose, citric acid) with xanthan gum non-heat-treated (XGC), model beverage with xanthan gum non-heat treated (XGSF), control with xanthan gum heat-treated (XGC80), model beverage with xanthan gum heat-treated (XGSF80).
- Control (water, sucrose, citric acid) with guar gum non-heat-treated (GGC), model beverage with guar gum non-heat treated (GGSF), control with guar gum heat-treated (GGC80), model beverage with guar gum heat-treated (GGSF80).
- Control (water, sucrose, citric acid) with β-glucan non-heat-treated (BGC), model beverage with β-glucan non-heat treated (BGSF), control with β-glucan heat-treated (BGC80), model beverage with β-glucan heat-treated (BGSF80).
- Control (water, sucrose, citric acid) with pectin non-heat-treated (PC), model beverage with pectin non-heat treated (PSF), control with pectin heat-treated (PC80), model beverage with pectin heat-treated (PSF80).
- Each beverage formulation was made in triplicate.
2.4. Preparation of Extracts for Phenolics Identification and Quantification
2.5. Identification and Quantification of Phenolic Compounds by HPLC-DAD-ESI/MSn
2.6. ⍺-amylase In-vitro Inhibition Assay
2.7. Rheology Measurements
2.8. Statistical Analysis
3. Results and Discussion
3.1. Phenolic Profile of Saffron Floral By-Products and Model Beverages
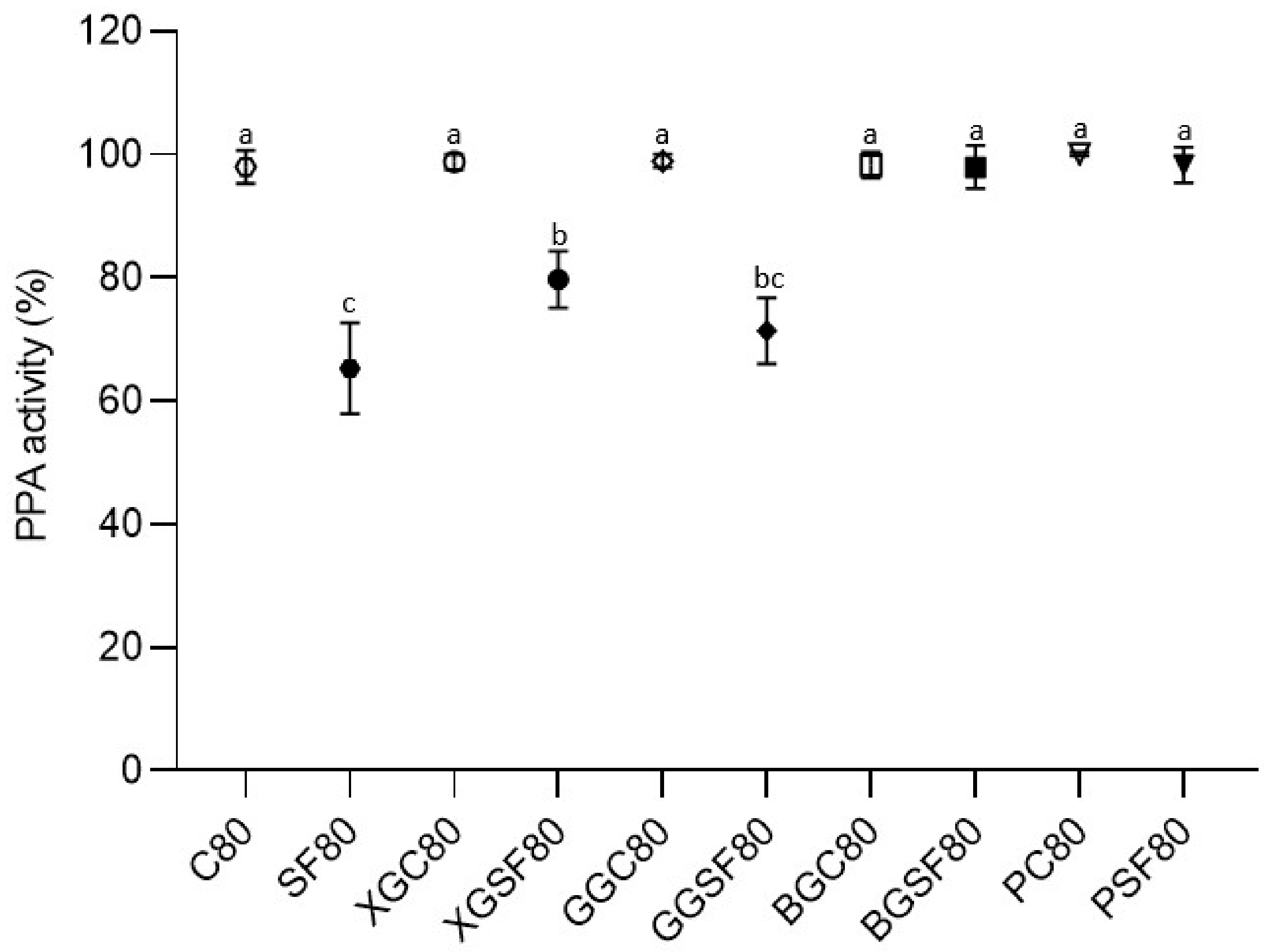
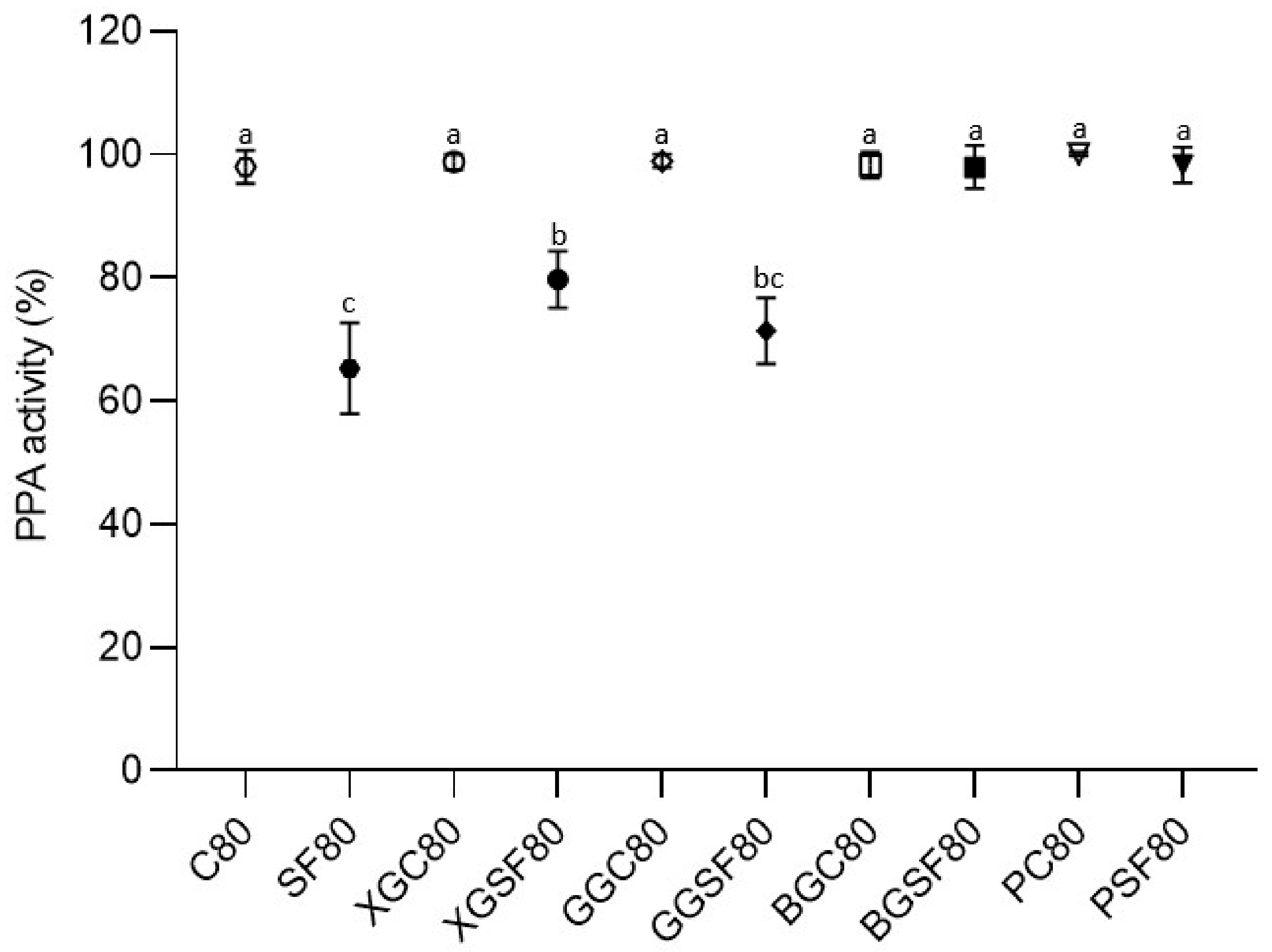
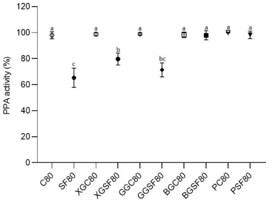
3.2. Inhibitory Effect of Saffron Floral by-Products Model Beverages on the Enzymatic Activity of Pancreatic α-Amylase
3.3. Rheological Properties of Saffron Floral by-Products Model Beverages
4. Conclusions
Author Contributions
Funding
Institutional Review Board Statement
Informed Consent Statement
Data Availability Statement
Acknowledgments
Conflicts of Interest
References
- Ben-Othman, S.; Jõudu, I.; Bhat, R. Bioactives from agri-food wastes: Present insights and future challenges. Molecules 2020, 25, 510. [Google Scholar] [CrossRef]
- Cerdá-Bernad, D.; Valero-Cases, E.; Pastor, J.-J.; Frutos, M.J. Saffron bioactives crocin, crocetin and safranal: Effect on oxidative stress and mechanisms of action. Crit. Rev. Food Sci. Nutr. 2022, 62, 3232–3249. [Google Scholar] [CrossRef]
- Cerdá-Bernad, D.; Clemente-Villalba, J.; Valero-Cases, E.; Pastor, J.-J.; Frutos, M.-J. Novel insight into the volatile profile and antioxidant properties of Crocus sativus L. flowers. Antioxidants 2022, 11, 1650. [Google Scholar] [CrossRef]
- Carregosa, D.; Pinto, C.; Ávila-Gálvez, M.; Bastos, P.; Berry, D.; Santos, C.N. A look beyond dietary (poly)phenols: The low molecular weight phenolic metabolites and their concentrations in human circulation. Compr. Rev. Food Sci. Food Saf. 2022, 21, 3931–3962. [Google Scholar] [CrossRef]
- Rana, A.; Samtiya, M.; Dhewa, T.; Mishra, V.; Aluko, R.E. Health benefits of polyphenols: A concise review. J. Food Biochem. 2022, 46, e14264. [Google Scholar] [CrossRef] [PubMed]
- Moratalla-López, N.; Bagur, M.J.; Lorenzo, C.; Martínez-Navarro, M.E.; Salinas, M.R.; Alonso, G.L. Bioactivity and bioavailability of the major metabolites of Crocus sativus L. flower. Molecules 2019, 24, 2827. [Google Scholar] [CrossRef]
- Rathod, N.B.; Elabed, N.; Punia, S.; Ozogul, F.; Kim, S.-K.; Rocha, J.M. Recent developments in polyphenol applications on human health: A review with current knowledge. Plants 2023, 12, 1217. [Google Scholar] [CrossRef]
- Freitas, D.; Le Feunteun, S. Inhibitory effect of black tea, lemon juice, and other beverages on salivary and pancreatic amylases: What impact on bread starch digestion? A dynamic in vitro study. Food Chem. 2019, 297, 124885. [Google Scholar] [CrossRef]
- Moser, S.E.; Shin, J.-E.; Kasturi, P.; Hamaker, B.R.; Ferruzzi, M.G.; Bordenave, N. Formulation of orange juice with dietary fibers enhances bioaccessibility of orange flavonoids in juice but limits their ability to inhibit in vitro glucose transport. J. Agric. Food Chem. 2020, 68, 9387–9397. [Google Scholar] [CrossRef]
- Moser, S.; Aragon, I.; Furrer, A.; Van Klinken, J.W.; Kaczmarczyk, M.; Lee, B.H.; George, J.; Hamaker, B.R.; Mattes, R.; Ferruzzi, M.G. Potato phenolics impact starch digestion and glucose transport in model systems but translation to phenolic rich potato chips results in only modest modification of glycemic response in humans. Nutr. Res. 2018, 52, 57–70. [Google Scholar] [CrossRef] [PubMed]
- Nyambe-Silavwe, H.; Villa-Rodriguez, J.A.; Ifie, I.; Holmes, M.; Aydin, E.; Jensen, J.M.; Williamson, G. Inhibition of human α-amylase by dietary polyphenols. J. Funct. Foods 2015, 19, 723–732. [Google Scholar] [CrossRef]
- BeMiller, J.N. Carbohydrate Chemistry for Food Scientists, 3rd ed.; AACC International Press: Cambridge, UK, 2019; pp. xi–xii. [Google Scholar]
- Speisky, H.; Shahidi, F.; Costa de Camargo, A.; Fuentes, J. Revisiting the oxidation of flavonoids: Loss, conservation or enhancement of their antioxidant properties. Antioxidants 2022, 11, 133. [Google Scholar] [CrossRef]
- Chen, J.; Ni, Y.; Zhang, P.; Liang, X.; Fang, S. Acidic natural deep eutectic solvents as dual solvents and catalysts for the solubilization and deglycosylation of soybean isoflavone extracts: Genistin as a model compound. Food Chem. 2023, 406, 134999. [Google Scholar] [CrossRef]
- Gonçalves, A.C.; Campos, G.; Alves, G.; Garcia-Viguera, C.; Moreno, D.A.; Silva, L.R. Physical and phytochemical composition of 23 Portuguese sweet cherries as conditioned by variety (or genotype). Food Chem. 2021, 335, 127637. [Google Scholar] [CrossRef]
- D’Costa, A.S.; Bordenave, N. Inhibition of starch digestion by flavonoids: Role of flavonoid-amylase binding kinetics. Food Chem. 2021, 341, 128256. [Google Scholar] [CrossRef]
- Gigliobianco, M.R.; Cortese, M.; Peregrina, D.V.; Villa, C.; Lupidi, G.; Pruccoli, L.; Angeloni, C.; Tarozzi, A.; Censi, R.; Di Martino, P. Development of new extracts of Crocus sativus L. by-product from two different Italian regions as new potential active ingredient in cosmetic formulations. Cosmetics 2021, 8, 51. [Google Scholar] [CrossRef]
- Goupy, P.; Vian, M.A.; Chemat, F.; Caris-Veyrat, C. Identification and quantification of flavonols, anthocyanins and lutein diesters in tepals of Crocus sativus by ultra performance liquid chromatography coupled to diode array and ion trap mass spectrometry detections. Ind. Crops Prod. 2013, 44, 496–510. [Google Scholar] [CrossRef]
- Serrano-Díaz, J.; Sánchez, A.M.; Martínez-Tomé, M.; Winterhalter, P.; Alonso, G.L. Flavonoid determination in the quality control of floral bioresidues from Crocus sativus L. J. Agric. Food Chem. 2014, 62, 3125–3133. [Google Scholar] [CrossRef]
- D’Archivio, M.; Filesi, C.; Varì, R.; Scazzocchio, B.; Masella, R. Bioavailability of the polyphenols: Status and controversies. Int. J. Mol. Sci. 2010, 11, 1321–1342. [Google Scholar] [CrossRef] [PubMed]
- Xu, B.; Chang, S.K.C. Total phenolic, phenolic acid, anthocyanin, flavan-3-ol, and flavonol profiles and antioxidant properties of pinto and black beans (Phaseolus vulgaris L.) as affected by thermal processing. J. Agric. Food Chem. 2009, 57, 4754–4764. [Google Scholar] [CrossRef]
- Wang, Y.; Liu, J.; Chen, F.; Zhao, G. Effects of molecular structure of polyphenols on their noncovalent interactions with oat β-glucan. J. Agric. Food Chem. 2013, 61, 4533–4538. [Google Scholar] [CrossRef]
- Sun, L.; Warren, F.J.; Gidley, M.J. Natural products for glycaemic control: Polyphenols as inhibitors of alpha-amylase. Trends Food Sci. Technol. 2019, 91, 262–273. [Google Scholar] [CrossRef]
- Sun, L.; Warren, F.J.; Gidley, M.J. Soluble polysaccharides reduce binding and inhibitory activity of tea polyphenols against porcine pancreatic α-amylase. Food Hydrocoll. 2018, 79, 63–70. [Google Scholar] [CrossRef]
- Aleixandre, A.; Gil, J.V.; Sineiro, J.; Rosell, C.M. Understanding phenolic acids inhibition of α-amylase and α-glucosidase and influence of reaction conditions. Food Chem. 2022, 372, 131231. [Google Scholar] [CrossRef] [PubMed]
- Dobson, C.C.; Mottawea, W.; Rodrigue, A.; Buzati Pereira, B.L.; Hammami, R.; Power, K.A.; Bordenave, N. Chapter 3—Impact of molecular interactions with phenolic compounds on food polysaccharides functionality. In Advances in Food and Nutrition Research; Ferreira, I., Barros, L., Eds.; Academic Press: Oxford, UK, 2019; Volume 90, pp. 135–181. [Google Scholar]
- Day, L.; Golding, M. Food structure, rheology, and texture. In Encyclopedia of Food Chemistry; Melton, L., Shahidi, F., Varelis, P., Eds.; Academic Press: Oxford, UK, 2016; pp. 125–129. [Google Scholar]
- Tudorache, M.; Bordenave, N. Phenolic compounds mediate aggregation of water-soluble polysaccharides and change their rheological properties: Effect of different phenolic compounds. Food Hydrocoll. 2019, 97, 105193. [Google Scholar] [CrossRef]
- Li, R.; Zeng, Z.; Fu, G.; Wan, Y.; Liu, C.; McClements, D.J. Formation and characterization of tannic acid/beta-glucan complexes: Influence of pH, ionic strength, and temperature. Food Res. Int. 2019, 120, 748–755. [Google Scholar] [CrossRef]
- Jakobek, L.; Ištuk, J.; Matić, P.; Skendrović Babojelić, M. Interactions of polyphenols from traditional apple varieties ‘Bobovac’, ‘Ljepocvjetka’ and ‘Crvenka’ with β-Glucan during in vitro simulated digestion. Food Chem. 2021, 363, 130283. [Google Scholar] [CrossRef]

| Compound | RT (min) | [M]+ (m/z) | [M − H]− (m/z) | MSn (m/z) | Concentration (mg/100 g dw) |
|---|---|---|---|---|---|
| Flavonols | |||||
| Kaempferol-3-O-sophoroside-7-O-glucoside | 7.50 | 771 | 609, 285, 429 | 204 ± 16 | |
| Isorhamnetin-3,7-diO-hexoside (I) | 13.63 | 639/641 | 315, 271 | 44.9 ± 4.5 | |
| Quercetin-3,4′-O-diglucoside (I) | 16.03 | 625 | 463, 301 | 70.6 ± 2.7 | |
| Quercetin-3,4′-O-diglucoside (II) | 16.45 | 625 | 301, 463, 445 | 222 ± 12 | |
| Isorhamnetin-3,7-diO-hexoside (II) | 17.30 | 639 | 315, 477, 300 | 74.3 ± 2.7 | |
| Kaempferol-3-O-sophoroside | 18.95 | 609 | 285, 429 | 1058 ± 38 | |
| Quercetin-3-O-glucoside | 21.51 | 463 | 301, 151 | 42.6 ± 4.2 | |
| Isorhamnetin-3-O-rutinoside | 21.68 | 623 | 315, 459 | 71.5 ± 4.2 | |
| Kaempferol-3-O-(acetyl-glycoside)-7-O-glycoside | 24.66 | 651 | 285, 489, 471 | 103 ± 5 | |
| Kaempferol-3-O-glucoside | 24.88 | 447 | 285 | 151 ± 8 | |
| Anthocyanins | |||||
| Delphinidin-3,5-O-diglucoside | 5.05 | 627 | 465, 303 | 145 ± 13 | |
| Petunidin-3,5-O-diglucoside | 7.21 | 641 | 479, 317 | 43.5 ± 3.7 | |
| Delphinidin-3O-glucoside | 8.96 | 465 | 303 | 80.7 ± 6.8 | |
| Petunidin-3-O-glucoside | 12.02 | 479 | 317 | 23.9 ± 1.4 |
| Compound | RT (min) | [M]+ (m/z) | [M − H]− (m/z) | MSn (m/z) | Concentration (mg/100 mL of Beverage) | |
|---|---|---|---|---|---|---|
| Flavonols | SF | SF80 | ||||
| Kaempferol-3-O-sophoroside-7-O-glucoside | 7.50 | 771 | 609, 285, 429 | 5.57 ± 0.11 a | 5.27 ± 0.06 b | |
| Isorhamnetin-3,7-diO-hexoside (I) | 13.63 | 639/641 | 315, 271 | 2.71 ± 0.12 | 2.74 ± 0.01 | |
| Quercetin-3,4′-O-diglucoside (I) | 16.03 | 625 | 463, 301 | 2.85 ± 0.02 | 2.82 ± 0.02 | |
| Quercetin-3,4′-O-diglucoside (II) | 16.45 | 625 | 301, 463, 445 | 4.64 ± 0.10 a | 4.17 ± 0.09 b | |
| Isorhamnetin-3,7-diO-hexoside (II) | 17.30 | 639 | 315, 477, 300 | 2.93 ± 0.04 a | 2.85 ± 0.02 b | |
| Kaempferol-3-O-sophoroside | 18.95 | 609 | 285, 429 | 22.9 ± 0.6 a | 21.6 ± 0.4 b | |
| Isorhamnetin-3-O-rutinoside | 21.68 | 623 | 315, 459 | 2.85 ± 0.01 a | 2.81 ± 0.02 b | |
| Kaempferol-3-O-(acetyl-glycoside)-7-O-glycoside | 24.66 | 651 | 285, 489, 471 | 3.08 ± 0.01 a | 3.02 ± 0.02 b | |
| Kaempferol-3-O-glucoside | 24.88 | 447 | 285 | 3.37 ± 0.03 | 3.33 ± 0.04 | |
| Anthocyanins | ||||||
| Delphinidin-3,5-O-diglucoside | 5.05 | 627 | 465, 303 | 3.57 ± 0.37 | 3.44 ± 0.07 | |
| Petunidin-3,5-O-diglucoside | 7.21 | 641 | 479, 317 | 1.29 ± 0.03 a | 1.23 ± 0.02 b | |
| Delphinidin-3O-glucoside | 8.96 | 465 | 303 | 1.67 ± 0.03 a | 1.60 ± 0.02 b | |
| Petunidin-3-O-glucoside | 12.02 | 479 | 317 | 0.88 ± 0.00 a | 0.86 ± 0.00 b | |
| τ0 (Pa) | K (Pa·sn) | n | |
|---|---|---|---|
| C | 0.56 ± 0.62 a | 0.19 ± 0.03 | 1.01 ± 0.01 |
| SF | 1.4 ± 1.6 ab | 0.18 ± 0.02 | 1.02 ± 0.01 |
| C80 | 0.78 ± 0.68 ab | 0.20 ± 0.05 | 1.01 ± 0.02 |
| SF80 | 0.0 ± 0.0 b | 0.22 ± 0.04 | 1.00 ± 0.02 |
| XGC | 750 ± 70 a | 294 ± 7 b | 0.39 ± 0.00 bc |
| XGSF | 615 ± 71 b | 342 ± 33 a | 0.38 ± 0.01 c |
| XGC80 | 115 ± 4 c | 167 ± 45 c | 0.42 ± 0.02 b |
| XGSF80 | 206 ± 11 c | 1.52 ± 0.11 d | 0.84 ± 0.01 a |
| GGC | 0.0 ± 0.0 c | 95.3 ± 5.7 a | 0.48 ± 0.00 c |
| GGSF | 121 ± 4 a | 1.54 ± 0.29 c | 0.87 ± 0.02 a |
| GGC80 | 0.0 ± 0.0 c | 77.2 ± 4.0 b | 0.50 ± 0.00 c |
| GGSF80 | 90.9 ± 2.6 b | 9.42 ± 0.80 c | 0.70 ± 0.01 b |
| BGC | 38.0 ± 1.8 a | 0.14 ± 0.02 | 1.09 ± 0.01 a |
| BGSF | 12.8 ± 3.5 b | 0.17 ± 0.02 | 1.05 ± 0.01 b |
| BGC80 | 39.3 ± 5.4 a | 0.14 ± 0.02 | 1.09 ± 0.02 a |
| BGSF80 | 33.4 ± 1.7 a | 0.17 ± 0.01 | 1.07 ± 0.01 ab |
| PC | 8.2 ± 1.3 a | 0.19 ± 0.02 b | 1.03 ± 0.01 a |
| PSF | 287 ± 256 b | 1.06 ± 0.12 a | 0.88 ± 0.01 b |
| PC80 | 10.0 ± 0.9 a | 0.18 ± 0.01 b | 1.03 ± 0.01 a |
| PSF80 | 8.3 ± 7.3 a | 0.20 ± 0.02 b | 1.02 ± 0.02 a |
Disclaimer/Publisher’s Note: The statements, opinions and data contained in all publications are solely those of the individual author(s) and contributor(s) and not of MDPI and/or the editor(s). MDPI and/or the editor(s) disclaim responsibility for any injury to people or property resulting from any ideas, methods, instructions or products referred to in the content. |
© 2024 by the authors. Licensee MDPI, Basel, Switzerland. This article is an open access article distributed under the terms and conditions of the Creative Commons Attribution (CC BY) license (https://creativecommons.org/licenses/by/4.0/).
Share and Cite
Cerdá-Bernad, D.; D’costa, A.S.; Moreno, D.A.; Bordenave, N.; Frutos, M.J. Functional Model Beverages of Saffron Floral By-Products: Polyphenolic Composition, Inhibition of Digestive Enzymes, and Rheological Characterization. Foods 2024, 13, 1440. https://doi.org/10.3390/foods13101440
Cerdá-Bernad D, D’costa AS, Moreno DA, Bordenave N, Frutos MJ. Functional Model Beverages of Saffron Floral By-Products: Polyphenolic Composition, Inhibition of Digestive Enzymes, and Rheological Characterization. Foods. 2024; 13(10):1440. https://doi.org/10.3390/foods13101440
Chicago/Turabian StyleCerdá-Bernad, Débora, Adrian S. D’costa, Diego A. Moreno, Nicolas Bordenave, and María José Frutos. 2024. "Functional Model Beverages of Saffron Floral By-Products: Polyphenolic Composition, Inhibition of Digestive Enzymes, and Rheological Characterization" Foods 13, no. 10: 1440. https://doi.org/10.3390/foods13101440
APA StyleCerdá-Bernad, D., D’costa, A. S., Moreno, D. A., Bordenave, N., & Frutos, M. J. (2024). Functional Model Beverages of Saffron Floral By-Products: Polyphenolic Composition, Inhibition of Digestive Enzymes, and Rheological Characterization. Foods, 13(10), 1440. https://doi.org/10.3390/foods13101440

