Identification of Key Components Responsible for the Aromatic Quality of Jinmudan Black Tea by Means of Molecular Sensory Science
Abstract
1. Introduction
2. Material and Methods
2.1. Tea Samples
2.2. Sensory Evaluation
2.3. Analysis of Color Difference of the Tea Infusions
2.4. Biochemical Compositions Quantification
2.5. Gas Chromatography Mass Spectrometry (GC-MS) Analysis
2.5.1. Sample Preparation and Aroma Extraction
2.5.2. GC-MS Conditions
2.6. Gas Chromatography Mass Spectrometry Olfactometry (GC-MS-O) Analysis
2.6.1. Sample Preparation and Stir Bar Sorptive Extraction (SBSE)
2.6.2. GC-MS Conditions
2.6.3. Olfactometry Conditions
2.7. Calculation of Odor Activity Value (OAV) and Aroma Character Impact (ACI)
2.8. Statistical Analysis
3. Results
3.1. Sensory Evaluation Results for the Black Tea Samples
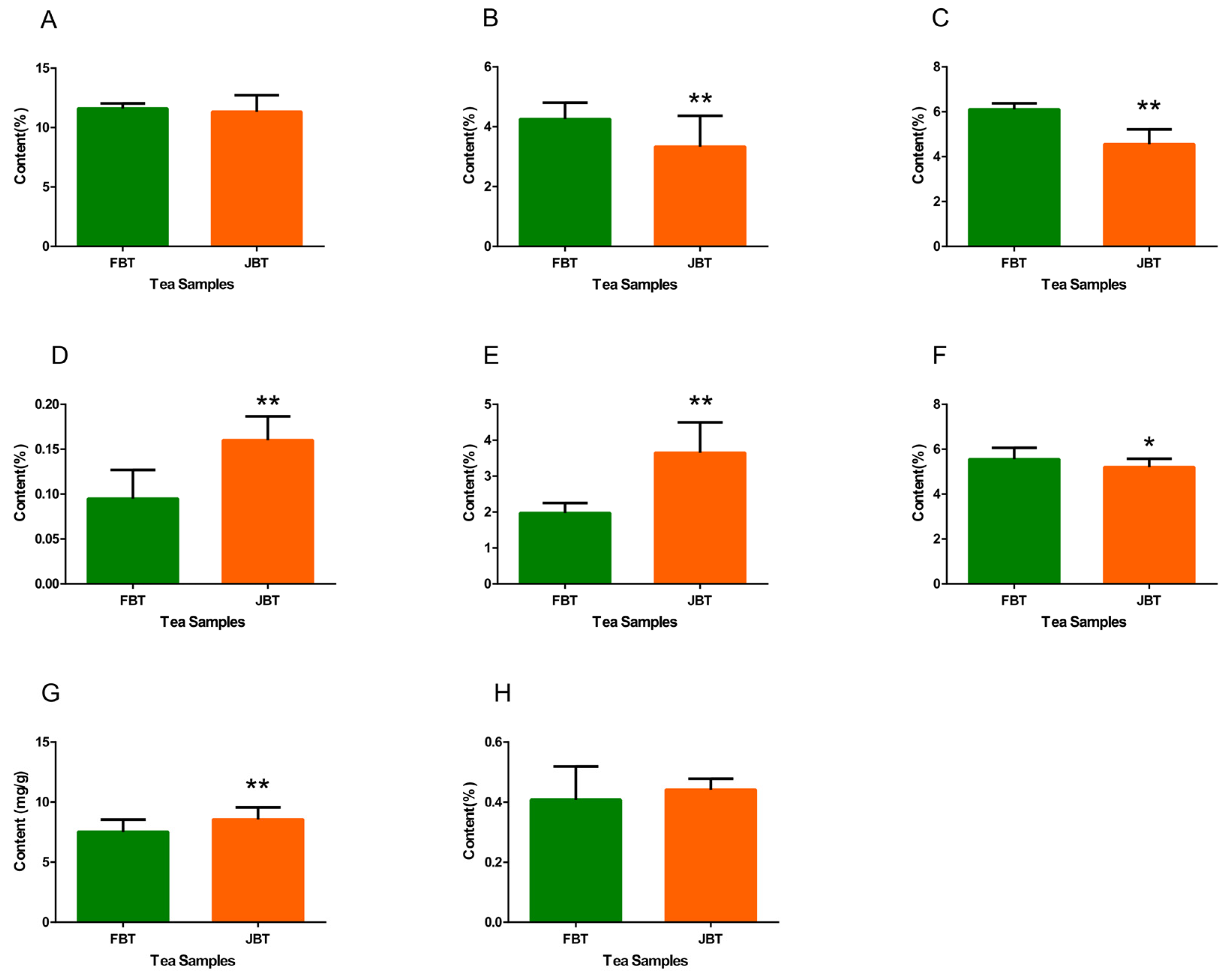
3.2. Analysis of Biochemical Compositions and Color Difference of the Tea Infusions
3.3. Qualitative and Quantitative Analyses of Common Aroma Components in All Black Tea Samples
3.3.1. Aroma Profile of JBT and FBT Samples
3.3.2. PCA and PLS-DA Analyses for the Potential Key Compounds (VIP)
3.4. Aroma-Active Compounds (AAC) in Peach-like Black Tea Samples Identified by GC-O
4. Discussion
5. Conclusions
Supplementary Materials
Author Contributions
Funding
Institutional Review Board Statement
Informed Consent Statement
Data Availability Statement
Conflicts of Interest
References
- Chen, S.; Li, M.; Zheng, G.; Wang, T.; Lin, J.; Wang, S.; Wang, X.; Chao, Q.; Cao, S.; Yang, Z.; et al. Metabolite Profiling of 14 Wuyi Rock Tea Cultivars Using UPLC-QTOF MS and UPLC-QqQ MS Combined with Chemometrics. Molecules 2018, 81, 321. [Google Scholar] [CrossRef] [PubMed]
- Chen, X.; Sun, H.; Qu, D.; Yan, F.; Jin, W.; Jiang, H.; Chen, C.; Zhang, Y.; Li, C.; Xu, Z. Identification and characterization of key aroma compounds in Chinese high altitude and northernmost black tea (Camellia sinensis) using distillation extraction and sensory analysis methods. Flavour Fragr. J. 2020, 35, 666–673. [Google Scholar] [CrossRef]
- Ye, F.; Guo, X.; Li, B.; Chen, H.; Qiao, X. Characterization of Effects of Different Tea Harvesting Seasons on Quality Components, Color and Sensory Quality of “Yinghong 9” and “Huangyu” Large-Leaf-Variety Black Tea. Molecules 2022, 27, 8720. [Google Scholar] [CrossRef]
- Chen, C.; Yu, F.; Wen, X.; Chen, S.; Wang, K.; Wang, F.; Zhang, J.; Wu, Y.; He, P.; Tu, Y. Characterization of a new (Z)-3:(E)-2-hexenal isomerase from tea (Camellia sinensis) involved in the conversion of (Z)-3-hexenal to (E)-2-hexenal. Food Chem. 2022, 383, 132463. [Google Scholar] [CrossRef] [PubMed]
- Shi, Y.; Zhu, Y.; Ma, W.; Lin, Z.; Lv, H. Characterisation of the volatile compounds profile of Chinese pan-fried green tea in comparison with baked green tea, steamed green tea, and sun-dried green tea using approaches of molecular sensory science. Curr. Res. Food Sci. 2022, 5, 1098–1107. [Google Scholar] [CrossRef]
- Yao, H.; Su, H.; Ma, J.; Zheng, J.; He, W.; Wu, C.; Hou, Z.; Zhai, R.; Zhou, Q. Widely targeted volatileomics analysis reveals the typical aroma formation of Xinyang black tea during fermentation. Food Res. Int. 2023, 164, 112387. [Google Scholar] [CrossRef]
- Chen, Q.; Zhu, Y.; Liu, Y.; Liu, Y.; Dong, C.; Lin, Z.; Teng, J. Black tea aroma formation during the fermentation period. Food Chem. 2022, 374, 131640. [Google Scholar] [CrossRef]
- Zhang, Y.; Huang, L.; Deng, G.; Wang, Y. Visual Monitoring of Fatty Acid Degradation during Green Tea Storage by Hyperspectral Imaging. Foods 2023, 12, 282. [Google Scholar] [CrossRef] [PubMed]
- Xiao, Z.; Wang, H.; Niu, Y.; Liu, Q.; Zhu, J.; Chen, H.; Ma, N. Characterization of aroma compositions in different Chinese congou black teas using GC–MS and GC–O combined with partial least squares regression. Flavour Fragr. J. 2017, 32, 265–276. [Google Scholar] [CrossRef]
- Jiang, Y.; Hua, J.; Wang, B.; Yuan, H.; Ma, H. Effects of Variety, Season, and Region on Theaflavins Content of Fermented Chinese Congou Black Tea. J. Food Qual. 2018, 2018, 5427302. [Google Scholar] [CrossRef]
- Liang, G.; Dong, C.; Hu, B.; Zhu, H.; Yuan, H.; Jiang, Y.; Hao, G. Prediction of Moisture Content for Congou Black Tea Withering Leaves Using Image Features and Nonlinear Method. Sci. Rep. 2018, 8, 7854. [Google Scholar] [CrossRef]
- Dong, C.; Liang, G.; Hu, B.; Yuan, H.; Jiang, Y.; Zhu, H.; Qi, J. Prediction of Congou Black Tea Fermentation Quality Indices from Color Features Using Non-Linear Regression Methods. Sci. Rep. 2018, 8, 10535. [Google Scholar] [CrossRef]
- Yang, Y.; Hua, J.; Deng, Y.; Jiang, Y.; Qian, M.C.; Wang, J.; Li, J.; Zhang, M.; Dong, C.; Yuan, H. Aroma dynamic characteristics during the process of variable-temperature final firing of Congou black tea by electronic nose and comprehensive two-dimensional gas chromatography coupled to time-of-flight mass spectrometry. Food Res. Int. 2020, 137, 109656. [Google Scholar] [CrossRef] [PubMed]
- Wang, Z.; Han, B.; Jing, W.; Yi, Z.; Zhang, Y.; Ren, D.; Yi, L. Effects of Different Steeping Temperatures on the Leaching of Aroma Components in Black Tea by SPME-GC-MS Coupled with Chemometric Method. J. AOAC Int. 2019, 102, 1834–1844. [Google Scholar] [CrossRef] [PubMed]
- Huang, D.; Bian, Z.; Qiu, Q.; Wang, Y.; Fan, D.; Wang, X. Identification of Similar Chinese Congou Black Teas Using an Electronic Tongue Combined with Pattern Recognition. Molecules 2019, 24, 4665. [Google Scholar] [CrossRef] [PubMed]
- Li, J.; Yao, Y.; Wang, J.; Hua, J.; Wang, J.; Yang, Y.; Dong, C.; Zhou, Q.; Jiang, Y.; Deng, Y.; et al. Rutin, γ-Aminobutyric Acid, Gallic Acid, and Caffeine Negatively Affect the Sweet-Mellow Taste of Congou Black Tea Infusions. Molecules 2019, 24, 4221. [Google Scholar] [CrossRef]
- Chen, S.; Liu, H.; Zhao, X.; Li, X.; Shan, W.; Wang, X.; Wang, S.; Yu, W.; Yang, Z.; Yu, X. Non-targeted metabolomics analysis reveals dynamic changes of volatile and non-volatile metabolites during oolong tea manufacture. Food Res. Int. 2020, 128, 108778. [Google Scholar] [CrossRef]
- Guo, L.; Chen, M.; Guo, Y.; Lin, Z. Variations in Fatty Acids Affected Their Derivative Volatiles during Tieguanyin Tea Processing. Foods 2022, 11, 1563. [Google Scholar] [CrossRef]
- Zhu, B.; Zhang, J.; Li, J.; Fang, S.; Zhang, Z.Z.; Wang, R.; Deng, W.W. Aroma profile of Jinmudan tea produced using Camellia sinensis, cultivar Jinmudan using solid-phase microextraction, gas chromatography-mass spectrometry, and chemometrics. Eur. Food Res. Technol. 2021, 247, 1061–1082. [Google Scholar] [CrossRef]
- Deuscher, Z.; Gourrat, K.; Repoux, M.; Boulanger, R.; Labouré, H.; Le Quéré, J.-L. Key Aroma Compounds of Dark Chocolates Differing in Organoleptic Properties: A GC-O Comparative Study. Molecules 2020, 25, 1809. [Google Scholar] [CrossRef]
- Wang, Y.; Zhao, J.; Xu, F.; Wu, X.; Hu, W.; Chang, Y.; Zhang, L.; Chen, J.; Liu, C. GC-MS, GC-O and OAV analyses of key aroma compounds in Jiaozi Steamed Bread. Grain Oil Sci. Technol. 2020, 3, 9–17. [Google Scholar] [CrossRef]
- Xiao, Z.; Li, Q.; Niu, Y.; Zhou, X.; Liu, J.; Xu, Y.; Xu, Z. Odor-active compounds of different lavender essential oils and their correlation with sensory attributes. Ind. Crops Prod. 2017, 108, 748–755. [Google Scholar] [CrossRef]
- Yuki, K.; Kaito, I.; Misato, M.; Taiki, H.; Masayoshi, I.; Daisuke, U. Source Estimation of Oil Spill Accident in Flood Situation using Gas Chromatography Olfactometry (GC-O). J. Environ. Chem. 2020, 30, 29–35. [Google Scholar]
- Hasselbarth, A.; Geyer, C. Trailing the Taste of Plastic: Analysis with Two Dimensional GC/MS and GC-O. G.I.T. Lab. J. Eur. 2012, 16, 34–36. [Google Scholar]
- Ma, L.; Gao, M.; Zhang, L.; Qiao, Y.; Li, J.; Du, L.; Zhang, H.; Wang, H. Characterization of the key aroma-active compounds in high-grade Dianhong tea using GC-MS and GC-O combined with sensory-directed flavor analysis. Food Chem. 2022, 378, 132058. [Google Scholar] [CrossRef] [PubMed]
- Wang, M.Q.; Ma, W.J.; Shi, J.; Zhu, Y.; Lin, Z.; Lv, H.P. Characterization of the key aroma compounds in Longjing tea using stir bar sorptive extraction (SBSE) combined with gas chromatography-mass spectrometry (GC–MS), gas chromatography-olfactometry (GC-O), odor activity value (OAV), and aroma recombination. Food Res. Int. 2020, 130, 108908. [Google Scholar] [CrossRef]
- Zhengzhu, Z. Experimental Course of Tea Biochemistry; Agriculture Press: Beijing, China, 2009; pp. 44–45. [Google Scholar]
- Li, Y.; Wu, T.; Deng, X.; Tian, D.; Ma, C.; Wang, X.; Li, Y.; Zhou, H. Characteristic aroma compounds in naturally withered and combined withered γ-aminobutyric acid white tea revealed by HS-SPME-GC-MS and relative odor activity value. LWT 2023, 176, 114467. [Google Scholar] [CrossRef]
- Wang, Y.; Wang, Y.; Hong, L.; Wang, Y.; Huang, Y.; Chen, Y.; Li, M.; Jia, Y.; Wu, Z.; Wang, H. Digital evaluation of tea aroma intensity and odor characteristics changes during processing. JSFA Rep. 2023, 3, 60–71. [Google Scholar] [CrossRef]
- Cano-Salazar, J.; Lopez, M.L.; Echeverria, G. Relationships between the instrumental and sensory characteristics of four peach and nectarine cultivars stored under air and CA atmospheres. Postharvest Biol. Technol. 2013, 75, 58–67. [Google Scholar] [CrossRef]
- Visai, C.; Vanoli, M. Volatile compound production during growth and ripening of peaches and nectarines. Sci. Hortic. 1997, 70, 15–24. [Google Scholar] [CrossRef]
- Guo, X.; Schwab, W.; Ho, C.T.; Song, C.; Wan, X. Characterization of the aroma profiles of oolong tea made from three tea cultivars by both GC–MS and GC-IMS. Food Chem. 2022, 376, 131933. [Google Scholar] [CrossRef] [PubMed]
- Guo, X.; Ho, C.T.; Wan, X.; Zhu, H.; Liu, Q.; Wen, Z. Changes of volatile compounds and odor profiles in Wuyi rock tea during processing. Food Chem. 2021, 341, 128230. [Google Scholar] [CrossRef] [PubMed]
- Wang, B.; Chen, H.; Qu, F.; Song, Y.; Di, T.; Wang, P.; Zhang, X. Identification of aroma-active components in black teas produced by six Chinese tea cultivars in high-latitude region by GC–MS and GC–O analysis. Eur. Food Res. Technol. 2021, 248, 647–657. [Google Scholar] [CrossRef]
- Fang, Q.T.; Luo, W.W.; Zheng, Y.N.; Ye, Y.; Hu, M.J.; Zheng, X.Q.; Lu, J.L.; Liang, Y.R.; Ye, J.H. Identification of Key Aroma Compounds Responsible for the Floral Ascents of Green and Black Teas from Different Tea Cultivars. Molecules 2022, 27, 2809. [Google Scholar] [CrossRef] [PubMed]
- Niu, Y.; Deng, J.; Xiao, Z.; Zhu, J. Characterization of the major aroma-active compounds in peach (Prunus persica L. Batsch) by gas chromatography–olfactometry, flame photometric detection and molecular sensory science approaches. Food Res. Int. 2021, 147, 110457. [Google Scholar] [CrossRef]
- Liu, A.; Liu, Q.; Bu, Y.; Hao, H.; Liu, T.; Gong, P.; Zhang, L.; Chen, C.; Tian, H.; Yi, H. Aroma classification and characterization of Lactobacillus delbrueckii subsp. bulgaricus fermented milk. Food Chem. X 2022, 15, 110385. [Google Scholar] [CrossRef]
- Cheng, Z.; Mannion, D.T.; O′Sullivan, M.G.; Miao, S.; Kerry, J.P.; Kilcawley, K.N. The impact of pasture and non-pasture diets on the sensory and volatile properties of whole milk powder. J. Dairy Res. 2022, 89, 302–315. [Google Scholar] [CrossRef]
- Li, J.; Hao, C.; Jia, H.; Zhang, J.; Wu, H.; Ning, J.; Wang, R.; Deng, W.W. Aroma characterization and their changes during the processing of black teas from the cultivar, Camellia sinensis (L.) O. Kuntze cv. Jinmudan. J. Food Compos. Anal. 2022, 108, 104449. [Google Scholar] [CrossRef]
- Aragüez, I.; Valpuesta Fernández, V. Metabolic engineering of aroma components in fruits. Biotechnol. J. 2013, 8, 1144–1158. [Google Scholar] [CrossRef]
- Zhou, Z.W.; Wu, Q.Y.; Ni, Z.X.; Hu, Q.C.; Yang, Y.; Zheng, Y.C.; Bi, W.J.; Deng, H.L.; Liu, Z.Z.; Ye, N.X.; et al. Metabolic Flow of C6 Volatile Compounds From LOX-HPL Pathway Based on Airflow During the Post-harvest Process of Oolong Tea. Front. Plant Sci. 2021, 12, 738445. [Google Scholar] [CrossRef]
- Zhou, Z.-W.; Wu, Q.-Y.; Yang, Y.; Hu, Q.-C.; Wu, Z.-J.; Huang, H.-Q.; Lin, H.-Z.; Lai, Z.-X.; Sun, Y. The Dynamic Change in Fatty Acids during the Postharvest Process of Oolong Tea Production. Molecules 2022, 27, 4298. [Google Scholar] [CrossRef]
- Sheibani, E.; Duncan, S.E.; Kuhn, D.D.; Dietrich, A.M.; Newkirk, J.J.; O’Keefe, S.F. Changes in flavor volatile composition of oolong tea after panning during tea processing. Food Sci. Nutr. 2016, 4, 456–468. [Google Scholar] [CrossRef] [PubMed]
- Yang, T.; Zhu, Y.; Shao, C.Y.; Zhang, Y.; Shi, J.; Lv, H.P.; Lin, Z. Enantiomeric analysis of linalool in teas using headspace solid-phase microextraction with chiral gas chromatography. Ind. Crops Prod. 2016, 83, 17–23. [Google Scholar] [CrossRef]
- Ye, M.; Liu, M.; Erb, M.; Glauser, G.; Zhang, J.; Li, X.; Sun, X. Indole primes defense signaling and increases herbivore resistance in tea plants. Plant Cell Environ. 2020, 44, 1165–1177. [Google Scholar] [CrossRef]
- Zeng, L.; Zhou, Y.; Gui, J.; Fu, X.; Mei, X.; Zhen, Y.; Ye, T.; Du, B.; Dong, F.; Watanabe, N.; et al. Formation of Volatile Tea Constituent Indole During the Oolong Tea Manufacturing Process. J. Agric. Food Chem. 2016, 64, 5011–5019. [Google Scholar] [CrossRef] [PubMed]





| Subject | National Standard of China |
|---|---|
| Polyphenols | GB/T 8313 2002 |
| Free amino acids | GB/T 8314 2002 |
| Caffeine | GB/T 8312 2013 |
| Theaflavins (TFs), Thearubigins (TRs), and Theabrownins (TBs) | Zhang [27] |
| Flavonoids | GB/T 8313 2002 |
| Water-extractable substances | GB/T 8305 2013 |
| Tea Samples | Sensory Quality | ||
|---|---|---|---|
| Liquor Color | Aroma | Taste | |
| JBT 1 | Orange with yellow and bright | High and pure | Smooth |
| JBT 2 | Orange with yellow and bright | High and long-lasting peach-like aroma | Smooth and mellow |
| JBT 3 | Orange with yellow and bright | Pure with peach-like aroma | mellow |
| JBT 4 | Orange with yellow and bright | Sweet and pure but with aging leaf odour | Mellow and fresh, after-taste |
| JBT 5 | Orange with red and bright | High and pure but with aging leaf odour | Thick and mellow with aging leaf odour |
| JBT 6 | Orange with red and bright | High and long-lasting with peach-like aroma | Mellow and fresh |
| JBT 7 | Orange with red and bright | Aging laf odour | Mellow but with aging leaf odour |
| JBT 8 | Orange with red and bright | High and significant peach-like aroma | Astringent and green |
| JBT 9 | Orange with red and bright | High and clean | Thick and fresh |
| JBT 10 | Orange with red and bright | High and long-lasting | Thick and fresh |
| FBT 1 | Red and bright | Significant caramel-like aroma | Mellow |
| FBT 2 | Red and bright with a golden circle | Caramel-like with a floral aroma | Fresh and thick |
| FBT 3 | Red and bright | Caramel-like and pure | Mellow and fresh |
| Compounds | CAS | Class | VIP | Aroma Type |
|---|---|---|---|---|
| Indole | 120-72-9 | Heterocyclic Compound | 7.21 | Floral |
| Methyl salicylate | 119-36-8 | Ester | 6.45 | Green, holly oil-like |
| δ-Decalactone | 705-86-2 | Ester | 4.30 | Peach-like, creamy |
| trans-beta-Ocimene | 3779-61-1 | Terpenoids | 3.58 | Floral, green |
| (E)-4,8-Dimethylnona-1,3,7-triene | 19945-61-0 | Terpenoids | 3.46 | Floral |
| cis-alpha-Bisabolene | 29837-07-8 | Terpenoids | 3.17 | Green |
| Hexanoic acid, hexyl ester | 6378-65-0 | Ester | 3.00 | Fruity |
| Compounds | CAS | Class | VIP | Aroma Type |
|---|---|---|---|---|
| Methyl salicylate | 119-36-8 | Ester | 6.83 | Green, holly oil-like |
| 1-(2-pyridinyl)-Ethanone | 1122-62-9 | Heterocyclic compound | 4.31 | Nutty, popcorn-like |
| 2H-Pyran-2-one, tetrahydro-6-methyl- | 823-22-3 | Heterocyclic compound | 4.05 | Fruity, burn-like |
| 1-ethyl-3-methyl-Benzene | 620-14-4 | Aromatics | 3.71 | NF |
| 2H-Pyran-3-ol, 6-ethenyltetrahydro-2,2,6-trimethyl | 14049-11-7 | Heterocyclic compound | 3.61 | NF |
| trans-Linalool oxide (furanoid) | 34995-77-2 | Heterocyclic compound | 3.60 | Floral |
| Compounds | Aroma Character | Aroma Intensity | OT (µg/L) | OAV | ACI (%) | |||||||||
|---|---|---|---|---|---|---|---|---|---|---|---|---|---|---|
| JBT2 | JBT3 | JBT6 | JBT8 | JBT2 | JBT3 | JBT6 | JBT8 | JBT2 | JBT3 | JBT6 | JBT8 | |||
| Alloocimene 4E,6Z- | Orange, floral | 3 | 3 | 2 | 2 | NF | - | - | - | - | - | - | - | - |
| Hexenol, 3Z- | Green apple-like | 4 | 3 | 2 | 4 | 70 a | 0.123 | 0.167 | 0.121 | 0.221 | 0.46 | 1.47 | 0.53 | 1.07 |
| Nonanone, 2- | Passion fruit-like | 4 | 2 | 4 | 3 | 200 a | 0.077 | 0.159 | 0.172 | 0.158 | 0.29 | 1.39 | 0.76 | 0.76 |
| Hexenol, 2E- | Green apple-like | - | 3 | - | 3 | 100 [32] | - | 0.013 | - | 0.005 | - | 0.12 | - | 0.25 |
| Linalooloxide | Rose-like | 4 | - | 2 | 2 | 190 [19] | 0.163 | - | 0.223 | 2.409 | 0.62 | 0.30 | 0.98 | 11.67 |
| Heptadienal, 2E,4E- | Fruity | 4 | 4 | 2 | 3 | NF | - | - | - | - | - | - | - | - |
| Octadien-2-one, 3E,5Z- | Watermelon-like | 3 | 4 | 3 | 3 | NF | - | - | - | - | - | - | - | - |
| Linalool | Floral, orange-like | 4 | 3 | 3 | 3 | 6 a | 15.595 | 4.348 | 14.011 | 8.833 | 59.13 | 38.29 | 61.5 | 42.75 |
| Octadien-2-one, 3E,5E- | Fruity | 3 | 3 | 3 | 3 | NF | - | - | - | - | - | - | - | - |
| Hotrienol | Floral | 3 | 4 | 2 | 3 | 110 [32] | 0.755 | 0.003 | 0.805 | 0.782 | 2.86 | 0.03 | 3.54 | 3.79 |
| Phenylacetaldehyde | Floral, hyacinth-like | 4 | 3 | 4 | 3 | 4 a | 1.859 | 3.912 | 2.066 | 1.344 | 0.29 | 34.45 | 0.08 | 6.51 |
| γ-Caprolactone | Peach-like | 3 | 3 | 3 | 3 | 50 [19] | 0.071 | 0.031 | 0.114 | 0.101 | 0.27 | 0.27 | 0.50 | 0.49 |
| β-Damascenone | Rose-like | - | - | - | 3 | NF | - | - | - | - | - | - | - | - |
| 2-Phenylethyl isobutyrate | Floral, rose-like | - | 2 | 2 | 3 | NF | - | - | - | - | - | - | - | - |
| 2-Phenylethyl alcohol | Floral, fruity | 2 | - | 1 | 2 | 390 [19] | 0.365 | - | 0.238 | 0.195 | 1.38 | - | 1.05 | 0.94 |
| Benzyl cyanide | Coconut-like, woody | 3 | 3 | - | 4 | NF | - | - | - | - | - | - | - | - |
| δ-Octalactone | Peach-like, creamy | 3 | 2 | 3 | 4 | 400 a | 0.008 | 0.006 | 0.002 | 0.001 | 0.03 | 0.05 | 0.01 | 0.49 |
| Methyl methoxybenzoate | Rose-like | - | - | - | 3 | NF | - | - | - | - | - | - | - | - |
| γ-Decalactone | Peach-like | - | - | - | 3 | 11 a | - | - | - | 0.062 | - | - | - | 0.29 |
| Trans-γ-Jasminlactone | fruity | - | 3 | - | 2 | NF | - | - | - | - | - | - | - | - |
| δ-Decalactone | Peach-like, osmanthus flower-like | 3 | 2 | 2 | 4 | 100 a | 1.476 | 1.448 | 1.094 | 1.499 | 5.59 | 12.72 | 4.80 | 7.25 |
| Methyl anthranlate | Grape juice-like | 3 | 1 | 2 | 3 | 3 [32] | 0.061 | 0.353 | 0.206 | 0.626 | 0.23 | 3.11 | 0.90 | 3.03 |
| Jasminlactone | Creamy, closely peach-like | 3 | 2 | 3 | 4 | 2000 a | 0.001 | 0.265 | 0.802 | 0.004 | 0.002 | 2.34 | 3.52 | 0.02 |
| Methyl jasmonate | Floral | 4 | 2 | 2 | 2 | 3 [19] | 4.28 | 0.047 | 0.629 | 3.569 | 16.23 | 0.41 | 2.76 | 17.28 |
| Indole | Floral | 3 | 4 | 3 | 4 | 140 a | 1.215 | 0.337 | 1.291 | 0.586 | 4.61 | 2.96 | 5.67 | 2.83 |
| 2-Phenylethyl acetate | Floral | 3 | 2 | 3 | 2 | 249 [33] | 0.076 | 0.023 | 0.014 | 0.063 | 0.288 | 0.21 | 0.06 | 0.31 |
Disclaimer/Publisher’s Note: The statements, opinions and data contained in all publications are solely those of the individual author(s) and contributor(s) and not of MDPI and/or the editor(s). MDPI and/or the editor(s) disclaim responsibility for any injury to people or property resulting from any ideas, methods, instructions or products referred to in the content. |
© 2023 by the authors. Licensee MDPI, Basel, Switzerland. This article is an open access article distributed under the terms and conditions of the Creative Commons Attribution (CC BY) license (https://creativecommons.org/licenses/by/4.0/).
Share and Cite
Wu, Q.; Zhou, Z.; Zhang, Y.; Huang, H.; Ou, X.; Sun, Y. Identification of Key Components Responsible for the Aromatic Quality of Jinmudan Black Tea by Means of Molecular Sensory Science. Foods 2023, 12, 1794. https://doi.org/10.3390/foods12091794
Wu Q, Zhou Z, Zhang Y, Huang H, Ou X, Sun Y. Identification of Key Components Responsible for the Aromatic Quality of Jinmudan Black Tea by Means of Molecular Sensory Science. Foods. 2023; 12(9):1794. https://doi.org/10.3390/foods12091794
Chicago/Turabian StyleWu, Qingyang, Ziwei Zhou, Yining Zhang, Huiqing Huang, Xiaoxi Ou, and Yun Sun. 2023. "Identification of Key Components Responsible for the Aromatic Quality of Jinmudan Black Tea by Means of Molecular Sensory Science" Foods 12, no. 9: 1794. https://doi.org/10.3390/foods12091794
APA StyleWu, Q., Zhou, Z., Zhang, Y., Huang, H., Ou, X., & Sun, Y. (2023). Identification of Key Components Responsible for the Aromatic Quality of Jinmudan Black Tea by Means of Molecular Sensory Science. Foods, 12(9), 1794. https://doi.org/10.3390/foods12091794

