Effects of Different Drying Methods on the Drying Characteristics and Quality of Codonopsis pilosulae Slices
Abstract
1. Introduction
2. Materials and methods
2.1. Raw Materials
2.2. Different Drying Processes
2.2.1. Rotary Microwave Vacuum Drying (RMVD)
2.2.2. Radio Frequency Vacuum Drying (RFVD)
2.2.3. Vacuum Drying (VD)
2.2.4. Vacuum Far Infrared Drying (VFID)
2.2.5. Hot Air Drying (HD)
2.2.6. Natural Drying (ND)
2.2.7. The Process
2.3. Analysis of Drying Characteristics
2.3.1. Dry Base Moisture Content Determination
2.3.2. Determination of Drying Rate
2.3.3. Determination of Moisture Ratio
2.3.4. Effective Moisture Diffusivity
2.3.5. Model Analysis
2.4. Determination of Color Difference
2.5. Measurement of Quality Indicators
2.5.1. Preparation of Extract
2.5.2. Determination of Polysaccharide Content
2.5.3. Determination of Total Phenol Content (TPC)
2.5.4. Determination of Total Flavonoids Content (TFC)
2.5.5. Determination of Antioxidant Activity
2.6. Determination of Lobetyolin and Syringin by HPLC
2.6.1. Preparation of Mixed Reference Solution
2.6.2. Preparation of Test Samples
2.7. Scanning Electron Microscopy (SEM)
2.8. Statistical Analysis
3. Results and Discussion
3.1. Analysis of Drying Characteristics
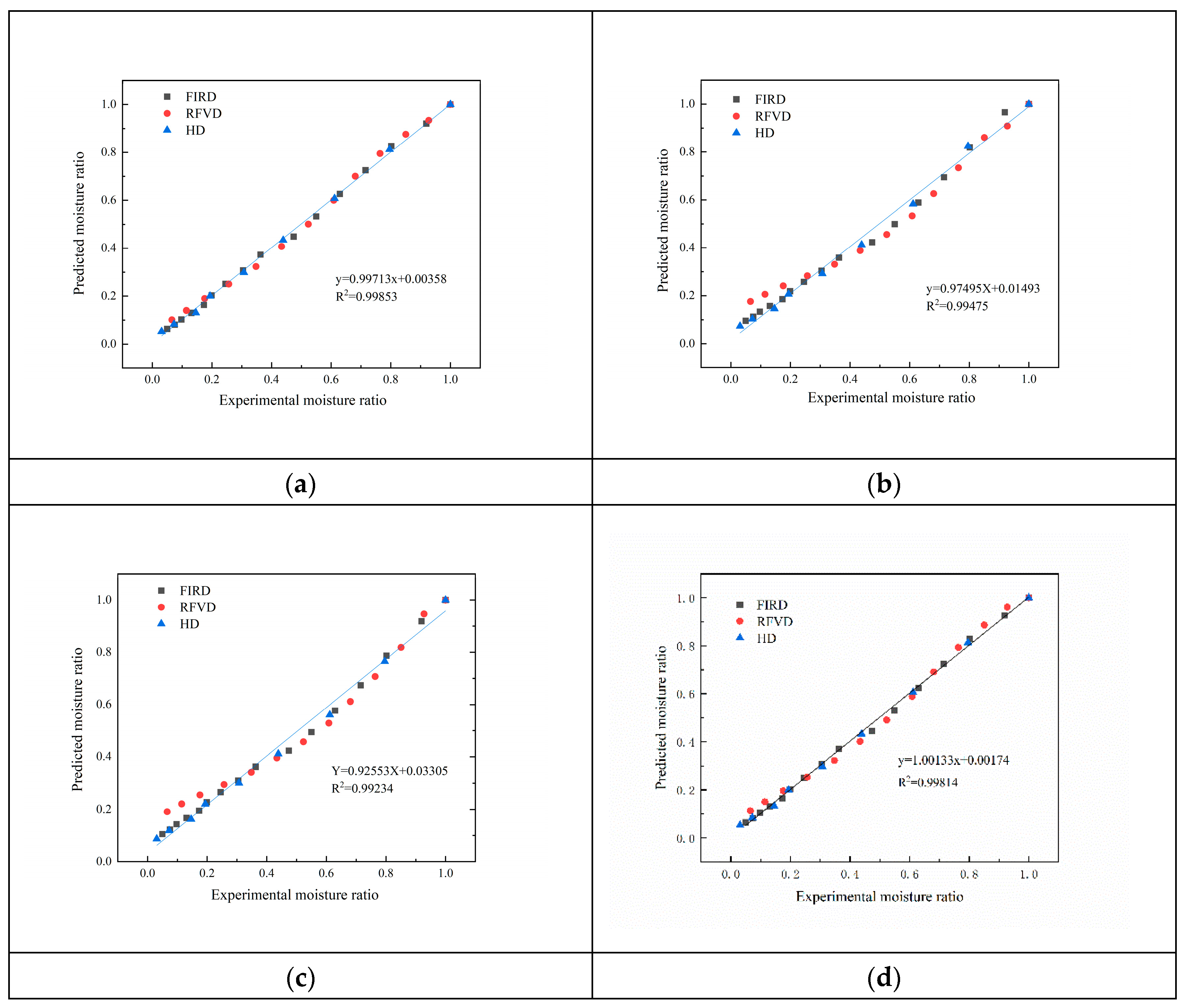
3.1.1. Drying Kinetics and Model
3.1.2. Deff
3.2. Color Difference Analysis
3.3. Quality Analysis
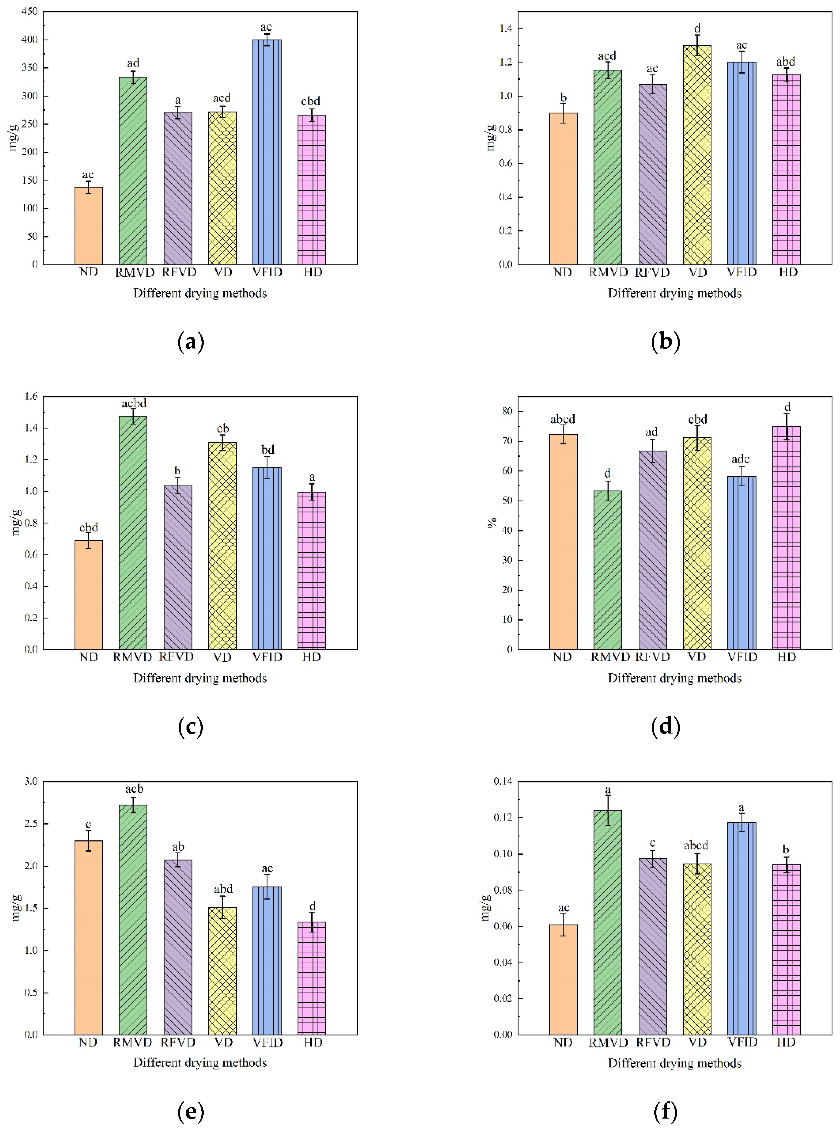
3.3.1. Polysaccharide
3.3.2. TPC
3.3.3. TFC
3.3.4. Antioxidant Capacity
3.4. Active Compounds
3.5. Correlation Analysis
3.6. Microstructure
4. Conclusions
Supplementary Materials
Author Contributions
Funding
Data Availability Statement
Acknowledgments
Conflicts of Interest
References
- National Pharmacopoeia Commission. Chinese Pharmacopoeia, Volume I; China Pharmaceutical Science and Technology Press: Beijing, China, 2020. [Google Scholar]
- Fu, Y.P.; Feng, B.; Zhu, Z.K.; Xin, F.; Chen, S.F.; Li, L.X. The polysaccharides from Codonopsis pilosula modulates the immunity and intestinal microbiota of cyclophosphamide-treated immunosuppressed mice. Molecules 2018, 23, 1801. [Google Scholar] [CrossRef] [PubMed]
- Nguyen, X.Q.; Le, A.D.; Nguyen, N.P.; Nguyen, H. Thermal diffusivity, moisture diffusivity, and color change of codonopsis javanica with the support of the ultrasound for drying. J. Food Qual. 2019, 2019, 2623404. [Google Scholar] [CrossRef]
- Lei, W.T.; Wang, L.; Zhu, R.F.; Du, H.N.; Zhang, L.L.; Duan, J.J.; Liu, Y. Experimental study and clinical observation of the immunomodulatory effect of Codonopsis black tea. Nurs. Res. 2022, 13, 2386–2389. [Google Scholar]
- Adak, N.; Heybeli, N.; Ertekin, C. Infrared drying of strawberry. Food Chem. 2017, 219, 109–116. [Google Scholar] [CrossRef] [PubMed]
- Shen, N.; Chen, Y.; Guo, F.X.; Cui, Y.L.; Wei, M.; Cheng, Z.Q. Influence of different drying methods coupled with different process modes on physicochemical qualities and anthraquinones contents of Rheum palmatum L. LWT—Food Sci. Technol. 2022, 170, 114021. [Google Scholar] [CrossRef]
- Yao, L.; Fan, L.; Duan, Z. Effect of different pretreatments followed by hot-air and far-infrared drying on the bioactive compounds, physicochemical property and microstructure of mango slices. Food Chem. 2020, 305, 125477. [Google Scholar] [CrossRef]
- Zhao, R.; Xiao, H.W.; Liu, C.J.; Wang, H.; Wu, Y.L.; Ben, A.L.; Wang, Y.Y. Dynamic changes in volatile and non-volatile flavor compounds in lemon flavedo during freeze-drying and hot-air drying. LWT—Food Sci. Technol. 2023, 175, 114510. [Google Scholar] [CrossRef]
- Chao, E.; Tian, J.; Fan, L.; Zhang, T. Drying methods influence the physicochemical and functional properties of seed-used pumpkin. Food Chem. 2022, 369, 130937. [Google Scholar] [CrossRef] [PubMed]
- Huang, D.; Yang, P.; Tang, X.T.; Luo, L.; Bengt, S. Application of infrared radiation in the drying of food products. Trends Food Sci. Technol. 2021, 110, 765–777. [Google Scholar] [CrossRef]
- Zhou, X.; Gao, H.; Mitcham, E.; Wang, S. Comparative Analyses of Three Dehydration Methods on Drying Characteristics and Oil Quality of In-shell Walnuts. Dry. Technol. 2018, 36, 477–490. [Google Scholar] [CrossRef]
- Marijana, D.; Miljana, D.; Nikola, M.; Vesna, T.; Dragana, Š.; Zita, Š. Processing of alfalfa seeds by convective hot air drying, vacuum drying and germination: Proximate composition, techno-functional, thermal and structural properties evaluation. Food Chem. 2022, 402, 134300. [Google Scholar]
- Xu, X.; Zhang, L.; Feng, Y.; Yagoub, A.; Sun, Y.; Ma, H.; Zhou, C. Vacuum pulsation drying of okra (Abelmoschus esculentus L. Moench): Better retention of the quality characteristics by flat sweep frequency and pulsed ultrasound pretreatment. Food Chem. 2020, 326, 127026. [Google Scholar] [CrossRef] [PubMed]
- Luis, G.C.; Mario, P.W.; Gipsy, T.M.; Erick, J.Q.; Rodrigo, D.A.; Roberto, L.M. Advances in vacuum microwave drying (VMD) systems for food products. Trends Food Sci. Technol. 2021, 116, 626–638. [Google Scholar]
- Pu, Y.; Zhao Ming O’Donnell, C.; Sun, D. Nondestructive quality evaluation of banana slices during microwave vacuum drying using spectral and imaging techniques. Dry. Technol. 2018, 36, 1542–1553. [Google Scholar] [CrossRef]
- Lin, X.; Xu, J.L.; Sun, D.-W. Comparison of moisture uniformity between microwave-vacuum and hot-air dried ginger slices using hyperspectral information combined with semivariogram. Dry. Technol. 2021, 39, 1044–1058. [Google Scholar] [CrossRef]
- Pu, Y.; Sun, D. Vis-NIR hyperspectral imaging in visualizing moisture distribution of mango slices during microwave-vacuum drying. Food Chem. 2015, 188, 271–278. [Google Scholar] [CrossRef]
- Jiang, C.; Wan, F.; Zang, Z.; Zhang, Q.; Xu, Y.; Huang, X. Influence of far- infrared vacuum drying on drying kinetics and quality characteristics of Cistanche slices. J. Food Process. Preserv. 2022, 1, e17144. [Google Scholar] [CrossRef]
- Zhu, S.Q.; Guo, S.; Sha, X.X.; Zhu, D.X.; Lu, X.J.; Qian, D.W.; Duan, J.A. Simulation and analysis of moisture dynamic process of different drying methods of Radix Codonopsis pilosulae. Food Ind. Sci. Technol. 2017, 7, 245–249+255. [Google Scholar]
- Jiang, C.; Wan, F.; Zang, Z.; Zhang, Q.; Ma, G.; Huang, X. Effect of an Ultrasound Pre-Treatment on the Characteristics and Quality of Far-Infrared Vacuum Drying with Cistanche Slices. Foods 2022, 11, 866. [Google Scholar] [CrossRef]
- Dubois, M. Colorimetric method for determination of sugars and related substances. Anal. Chem. 1956, 28, 350–354. [Google Scholar] [CrossRef]
- Beato, V.; Orgaz, F.; Mansilla, F.; Montao, A.; Beato, V.; Montao, A. Changes in phenolic compounds in garlic (allium sativum l.) owing to the cultivar and location of growth. Plant Foods Hum. Nutr. 2011, 66, 218–223. [Google Scholar] [CrossRef]
- Ma, M.; Saiful, A.; Sadegh, M.; Sri, N. Phytochemical constituents, nutritional values, phenolics, flavonols, flavonoids, antioxidant and cytotoxicity studies on phaleria macrocarpa (scheff.) boerl fruits. BMC Complement. Altern. Med. 2014, 14, 152. [Google Scholar]
- Nencini, C.; Menchiari, A.; Franchi, G.; Micheli, L. In vitro antioxidant activity of aged extracts of some italian allium species. Plant Foods Hum. Nutr. 2011, 66, 11–16. [Google Scholar] [CrossRef] [PubMed]
- Xu, Y.; Xiao, Y.; Lagnika, C.; Li, D.; Liu, C.; Jiang, N.; Song, J.; Zhang, M. A comparative evaluation of nutritional properties, antioxidant capacity and physical characteristics of cabbage (Brassica oleracea var. Capitate var L.) subjected to different drying methods. Food Chem. 2020, 309, 124935. [Google Scholar] [CrossRef] [PubMed]
- Li, L.; Wang, B.; Wang, Y.; Liu, J. Effects of different drying methods on drying characteristics and quality of hypoglycemic hawthorn. Food Ferment. Ind. 2022, 1–10. [Google Scholar] [CrossRef]
- Pei, Y.; Li, Z.; Song, C.; Li, J.; Xu, W.; Zhu, G. Analysis and modelling of temperature and moisture gradient for ginger slices in hot air drying. J. Food Eng. 2022, 323, 111009. [Google Scholar] [CrossRef]
- Lee, S.; Jeong, S.; Kim, S.; Park, H.; Nam, K.C.; Ahn, D.U. Effect of far-infrared radiation and heat treatment on the antioxidant activity of water extracts from peanut hulls. Food Chem. 2005, 94, 489–493. [Google Scholar] [CrossRef]
- Gu, N.P. The effect of drying process on the main volatile substances in black tea processing. Food Ind. 2018, 39, 78–81. [Google Scholar]
- Rashid, M.; Jatoi, M.; Safdar, B.; Wali, A.; Aadil, R.; Sarpong, F.; Ma, H. Modeling the drying of ultrasound and glucose pretreated sweet potatoes: The impact on phytochemical and functional groups. Ultrason. Sonochem. 2020, 68, 105226. [Google Scholar] [CrossRef]
- Zogzas, N.; Maroulis, Z.; Kouris, D. Moisture diffusivity data compilation in foodstuffs. Dry. Technol. 1996, 14, 2225–2253. [Google Scholar] [CrossRef]
- Gong, Y.; Liu, D.; Wang, X. Correlation study of color and chemical composition of dried fruits of Lycium barbarum. Food Sci. Technol. 2015, 40, 57–61. [Google Scholar]
- Michalska, A.; Wojdylo, A.; Honke, J.; Ciska, E.; Andlauer, W. Drying-induced physico-chemical changes in cranberry products. Food Chem. 2018, 240, 448–455. [Google Scholar] [CrossRef]
- Uribe, E.; Vega-Galvez, A.; Heredia, V.; Pasten, A.; DiScala, K. An edible red seaweed (Pyropia orbicularis): Influence of vacuum drying on physicochemical composition, bioactive compounds, antioxidant capacity, and pigments. J. Appl. Phycol. 2018, 30, 673–683. [Google Scholar] [CrossRef]
- Wu, B.; Guo, X.; Guo, Y.; Ma, H.; Zhou, C. Enhancing jackfruit infrared drying by combining ultrasound treatments: Effect on drying characteristics, quality properties and microstructure. Food Chem. 2021, 358, 129845. [Google Scholar] [CrossRef]
- Ahmed, I.; Al, J.; Özcan, M.; Uslu, N.; Babiker, E.; Ghafoor, K.; Osman, M.; Salih, H. A comparative study of bioactive compounds, antioxidant activity and phenolic compounds of melon (Cucumis melo L.) slices dehydrated by oven, microwave and infrared systems. J. Food Process. Preserv. 2021, 45, e15605. [Google Scholar] [CrossRef]
- Chen, Y.; Martynenko, A. Combination of hydrothermodynamic (HTD) processing and different drying methods for natural blueberry leather. LWT—Food Sci. Technol. 2018, 87, 470–477. [Google Scholar] [CrossRef]
- Magdalena, Z.; Danuta, Z. Effects of freezing, convective and microwave-vacuum drying on the content of bioactive compounds and color of cranberries. LWT—Food Sci. Technol. 2019, 104, 204–209. [Google Scholar]
- Rahath Kubra, I.; Kumar, D.; Jagan Mohan Rao, L. Emerging Trends in Microwave Processing of Spices and Herbs. Crit. Rev. Food Sci. Nutr. 2016, 56, 2160–2173. [Google Scholar] [CrossRef]
- Niwa, Y.; Kanoh, T.; Kasama, T.; Negishi, M. Activation of antioxidant activity in natural medicinal products by heating, brewing and lipophilization. A new drug delivery system. Drugs Under Exp. Clin. Res. 1988, 14, 361–372. [Google Scholar]
- Wang, J.; Vanga, S.; Raghavan, V. High-intensity ultrasound processing of kiwifruit juice: Effects on the ascorbic acid, total phenolics, flavonoids and antioxidant capacity. LWT—Food Sci. Technol. 2019, 107, 299–307. [Google Scholar] [CrossRef]
- Samoticha, J.; Wojdyło, A.; Lech, K. The influence of different the drying methods on chemical composition and antioxidant activity in chokeberries. LWT—Food Sci. Technol. 2016, 66, 484–489. [Google Scholar] [CrossRef]
- Feng, Y.; Xu, B.; El Gasim, A.; Ma, H.; Sun, Y.; Xu, X.; Yu, X.; Zhou, C. Role of drying techniques on physical, rehydration, flavor, bioactive compounds and antioxidant characteristics of garlic. Food Chem. 2021, 343, 128404. [Google Scholar] [CrossRef] [PubMed]
- An, K.; Zhao, D.; Wang, Z.; Wu, J.; Xu, Y.; Xiao, G. Comparison of different drying methods on Chinese ginger (Zingiber officinale Roscoe): Changes in volatiles, chemical profile, antioxidant Properties, and microstructure. Food Chem. 2016, 197, 1292–1300. [Google Scholar] [CrossRef] [PubMed]
- Nie, J.; Chen, D.; Lu, Y.; Dai, Z. Effects of various blanching methods on fucoxanthin degradation kinetics, antioxidant activity, pigment composition, and sensory quality of Sargassum fusiforme. LWT—Food Sci. Technol. 2021, 143, 111179. [Google Scholar] [CrossRef]





| Model | Model Equation | Parameters |
|---|---|---|
| Overhults | MR = a·exp[−(kt)n] | a;k;n |
| Verma | MR = a·exp(−kt) + (1 − a) exp(−gt) | a;k;g |
| Dincer | MR = G·exp(−St) | G;S |
| Weibull | MR = exp[−(t/a)b] | a;b |
| Parameters | ND | RMVD | RFVD | VD | VFID | HD | |
|---|---|---|---|---|---|---|---|
| Drying time (min) | 18 ± 0.13 b | 240 ± 0.00 a | 1220 ± 0.27 ac | 300 ± 0.01 b | 160 ± 0.04 ab | ||
| Deff (10−8 m2/s) | 3.95 ± 0.00 ab | 0.29 ± 0.01 c | 0.06 ± 0.01 ac | 0.26 ± 0.05 abc | 0.56 ± 0.11 d | ||
| Color | L* | 7.21 ± 0.14 a | 7.60 ± 0.20 a | 7.75 ± 0.01 ab | 7.33 ± 0.03 b | 7.13 ± 0.28 ab | 5.83 ± 0.35 b |
| a * | 4.62 ± 0.29 a | 4.65 ± 0.13 b | 4.24 ± 0.19 ab | 4.22 ± 0.20 b | 4.51 ± 0.23 a | 2.71 ± 0.14 ab | |
| b * | −0.67 ± 1.14 ab | −3.43 ± 0.18 a | −0.88 ± 1.08 ab | −2.53 ± 0.01 a | −1.88 ± 0.25 a | −0.55 ± 0.28 ab | |
| △E | 6.72 ± 0.18 b | 8.49 ± 0.07 ab | 6.98 ± 0.01 b | 8.46 ± 0.15 a | 6.10 ± 0.11 a | 6.01 ± 0.12 ab | |
| Drying Condition | Model Name | Evaluating Indicator | ||||||||
|---|---|---|---|---|---|---|---|---|---|---|
| a | b | k | n | G(g) | S | R2 | RMSE | χ2 | ||
| FIRD | Weibull | 140.99004 | 1.33041 | 0.99807 | 1.9043 × 10−4 | 0.00267 | ||||
| RFVD | 147.95568 | 1.63417 | 0.99048 | 9.4733 × 10−4 | 0.01042 | |||||
| HD | 68.89244 | 1.27793 | 0.99832 | 1.9413 × 10−4 | 0.00136 | |||||
| FIRD | Dincer | 1.07268 | 0.00775 | 0.98118 | 0.00186 | 0.02605 | ||||
| RFVD | 1.0945 | 0.00728 | 0.94029 | 0.00594 | 0.06537 | |||||
| HD | 1.04433 | 0.01554 | 0.98450 | 0.00179 | 0.01251 | |||||
| FIRD | Verma | 1.13973 | 0.00826 | 57.5017 | 0.98759 | 0.00123 | 0.01595 | |||
| RFVD | 1.18214 | 0.00795 | 60.0018 | 0.95149 | 0.00483 | 0.04828 | ||||
| HD | 1.16405 | 0.01729 | 30.88894 | 0.99216 | 9.3076 × 10−4 | 0.00542 | ||||
| FIRD | Overhults | 0.98592 | 0.007 | 1.36254 | 0.99815 | 1.8318 × 10−4 | 0.00238 | |||
| RFVD | 0.95927 | 0.00655 | 1.79011 | 0.99226 | 7.7005 × 10−4 | 0.0077 | ||||
| HD | 0.99259 | 0.01441 | 1.29117 | 0.99812 | 2.1668 × 10−4 | 0.0013 | ||||
Disclaimer/Publisher’s Note: The statements, opinions and data contained in all publications are solely those of the individual author(s) and contributor(s) and not of MDPI and/or the editor(s). MDPI and/or the editor(s) disclaim responsibility for any injury to people or property resulting from any ideas, methods, instructions or products referred to in the content. |
© 2023 by the authors. Licensee MDPI, Basel, Switzerland. This article is an open access article distributed under the terms and conditions of the Creative Commons Attribution (CC BY) license (https://creativecommons.org/licenses/by/4.0/).
Share and Cite
Yue, Y.; Zhang, Q.; Wan, F.; Ma, G.; Zang, Z.; Xu, Y.; Jiang, C.; Huang, X. Effects of Different Drying Methods on the Drying Characteristics and Quality of Codonopsis pilosulae Slices. Foods 2023, 12, 1323. https://doi.org/10.3390/foods12061323
Yue Y, Zhang Q, Wan F, Ma G, Zang Z, Xu Y, Jiang C, Huang X. Effects of Different Drying Methods on the Drying Characteristics and Quality of Codonopsis pilosulae Slices. Foods. 2023; 12(6):1323. https://doi.org/10.3390/foods12061323
Chicago/Turabian StyleYue, Yuanman, Qian Zhang, Fangxin Wan, Guojun Ma, Zepeng Zang, Yanrui Xu, Chunhui Jiang, and Xiaopeng Huang. 2023. "Effects of Different Drying Methods on the Drying Characteristics and Quality of Codonopsis pilosulae Slices" Foods 12, no. 6: 1323. https://doi.org/10.3390/foods12061323
APA StyleYue, Y., Zhang, Q., Wan, F., Ma, G., Zang, Z., Xu, Y., Jiang, C., & Huang, X. (2023). Effects of Different Drying Methods on the Drying Characteristics and Quality of Codonopsis pilosulae Slices. Foods, 12(6), 1323. https://doi.org/10.3390/foods12061323

