Impact of Ethanolic Thai Indigenous Leaf Extracts on Melanosis Prevention and Shelf-Life Extension of Refrigerated Pacific White Shrimp
Abstract
:1. Introduction
2. Materials and Methods
2.1. Chemicals
2.2. Collection of Leaves and Preparation of Leaf Extracts
2.3. PPO Inhibition and CCA of Leaf Extracts
2.3.1. Extraction of PPO from Cephalothoraxes of Pacific White Shrimp
2.3.2. Measurement of PPO Activity
2.3.3. Measurement of PPO-IA
2.3.4. Copper-Chelating Activity (CCA)
2.4. Analysis of Phenolic Compounds in Soursop Leaf Extract (SLE)
2.5. Study on the Effects of Soursop Leaf Extract (SLE) on the Quality of Pacific White Shrimp during Refrigerated Storage
2.5.1. Preparation of Pacific White Shrimp Treated with SLE at Various Concentrations
2.5.2. Melanosis Assessment
2.5.3. Microbiological Quality
2.5.4. Total Volatile Base (TVB) Content
2.5.5. pH
2.5.6. Thiobarbituric Acid Reactive Substances (TBARS)
2.5.7. Sensory Evaluation
2.5.8. Statistical Analysis
3. Results
3.1. PPO-IA and CCA of Various Dechlorophyllized Ethanolic Indigenous Leaf Extracts
3.2. Identification of Phenolic Compounds in SLE
3.3. Effect of SLE on Melanosis and Changes in the Quality of Pacific White Shrimp during the Refrigerated Storage
3.3.1. Melanosis
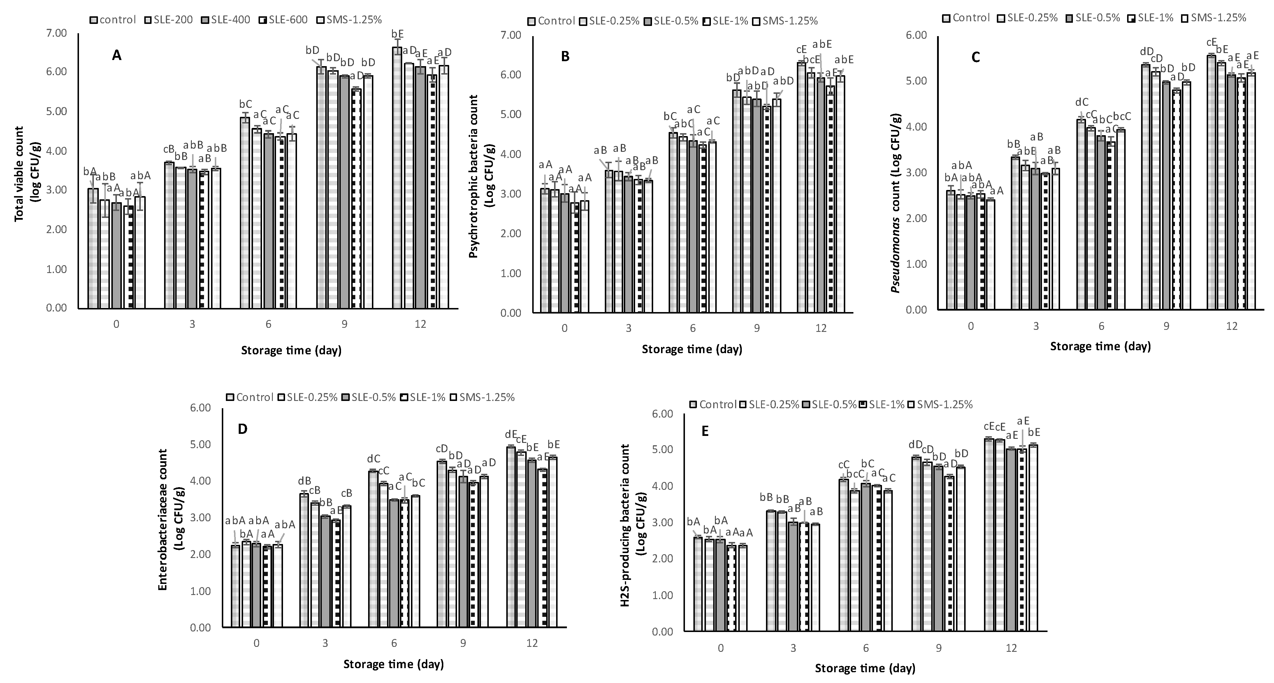
3.3.2. Microbiological Changes
3.3.3. Chemical Changes
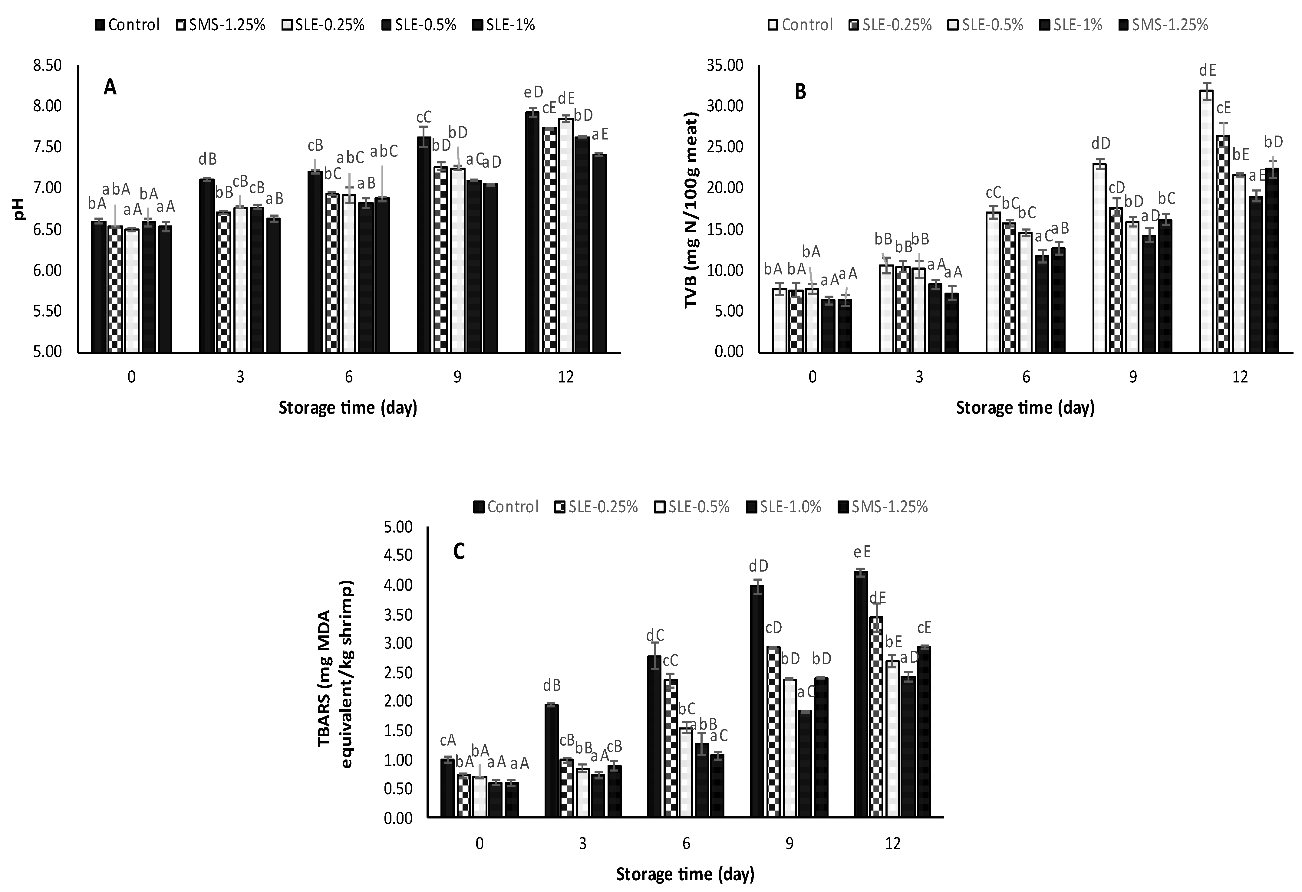
pH
TVB-N Content
TBARS Value
3.3.4. Sensorial Changes
4. Conclusions
Author Contributions
Funding
Data Availability Statement
Acknowledgments
Conflicts of Interest
References
- FAO. The State of World Fisheries and Aquaculture 2020; FAO: Rome, Italy, 2020; ISBN 978-92-5-132692-3. [Google Scholar] [CrossRef]
- Yildirim-Aksoy, M.; Eljack, R.; Peatman, E.; Beck, B.H. Immunological and Biochemical Changes in Pacific White Shrimp, Litopenaeus vannamei, Challenged with Vibrio parahaemolyticus. Microb. Pathog. 2022, 172, 105787. [Google Scholar] [CrossRef] [PubMed]
- Lange, M.D.; Abernathy, J.; Rawles, A.A.; Zhang, D.; Shoemaker, C.A.; Bader, T.J.; Beck, B.H. Transcriptome Analysis of Pacific White Shrimp (Liptopenaeus vannamei) after Exposure to Recombinant Vibrio parahaemolyticus PirA and PirB Proteins. Fish Shellfish Immunol. 2023, 132, 108502. [Google Scholar] [CrossRef] [PubMed]
- Montero, P.; Lopez-Caballero, M.E.; Perez-Mateos, M. The Effect of Inhibitors and High-Pressure Treatment to Prevent Melanosis and Microbial Growth on Chilled Prawns (Penaeus japonicus). J. Food Sci. 2008, 66, 1201–1206. [Google Scholar] [CrossRef]
- Nirmal, N.; Benjakul, S. Melanosis and Quality Changes of Pacific White Shrimp (Litopenaeus vannamei) Treated with Catechin during Iced Storage. J. Agric. Food Chem. 2009, 57, 3578–3586. [Google Scholar] [CrossRef] [PubMed]
- Benjakul, S.; Visessanguan, W.; Tanaka, M. Properties of Phenoloxidase Isolated from the Cephalothorax of Kuruma Prawn 561 (Penaeus japonicus). J. Food Biochem. 2005, 29, 470–485. [Google Scholar] [CrossRef]
- Nirmal, N.P.; Benjakul, S. Inhibition of Melanosis Formation in Pacific White Shrimp by the Extract of Lead (Leucaena leucocephala) Seed. Food Chem. 2011, 128, 427–432. [Google Scholar] [CrossRef] [PubMed]
- Sae-leaw, T.; Benjakul, S. Prevention of Melanosis in Crustaceans by Plant Polyphenols: A Review. Trends Food Sci. Technol. 2019, 85, 1–9. [Google Scholar] [CrossRef]
- Gonçalves, A.A.; de Oliveira, A.R.M. Melanosis in Crustaceans: A Review. LWT 2016, 65, 791–799. [Google Scholar] [CrossRef]
- Manheem, K.; Benjakul, S.; Kijroongrojana, K.; Visessanguan, W. The Effect of Heating Conditions on Polyphenol Oxidase, Proteases and Melanosis in Pre-Cooked Pacific White Shrimp during Refrigerated Storage. Food Chem. 2012, 131, 1370–1375. [Google Scholar] [CrossRef]
- Sae-leaw, T.; Benjakul, S. Prevention of Quality Loss and Melanosis of Pacific White Shrimp by Cashew Leaf Extracts. Food Control 2019, 95, 257–266. [Google Scholar] [CrossRef]
- AAAAI. Sulfite Allergy 2021; American Academy of Allergy, Asthma and Immunology; AAAAI: Milwaukee, WI, USA, 2022; Available online: https://www.aaaai.org (accessed on 26 June 2023).
- Shiekh, K.A.; Benjakul, S.; Sae-leaw, T. Effect of Chamuang (Garcinia cowa Roxb.) Leaf Extract on Inhibition of Melanosis and Quality Changes of Pacific White Shrimp during Refrigerated Storage. Food Chem. 2019, 270, 554–561. [Google Scholar] [CrossRef] [PubMed]
- Olatunde, O.O.; Della Tan, S.L.; Benjakul, S. Ethanolic Guava Leaf Extract with Different Chlorophyll Removal Processes: Antioxidant Properties and Its Preventive Effect on Lipid Oxidation in Pacific White Shrimp. Int. J. Food Sci. Technol. 2021, 56, 1671–1681. [Google Scholar] [CrossRef]
- Basiri, S.; Shekarforoush, S.S.; Aminlari, M.; Akbari, S. The Effect of Pomegranate Peel Extract (PPE) on the Polyphenol Oxidase (PPO) and Quality of Pacific White Shrimp (Litopenaeus vannamei) during Refrigerated Storage. LWT Food Sci. Technol. 2015, 60, 1025–1033. [Google Scholar] [CrossRef]
- Jayaprakasha, G.K.; Singh, R.P.; Sakariah, K.K. Antioxidant Activity of Grape Seed (Vitis vinifera) Extracts on Peroxidation Models in Vitro. Food Chem. 2001, 73, 285–290. [Google Scholar] [CrossRef]
- Nirmal, N.P.; Benjakul, S. Effect of Catechin and Ferulic Acid on Melanosis and Quality of Pacific White Shrimp Subjected to Prior Freeze–Thawing during Refrigerated Storage. Food Control 2010, 21, 1263–1271. [Google Scholar] [CrossRef]
- Phumthum, M.; Balslev, H.; Barfod, A.S. Important Medicinal Plant Families in Thailand. Front. Pharmacol. 2019, 10, 1125. [Google Scholar] [CrossRef] [PubMed]
- Coria-Téllez, A.V.; Montalvo-Gónzalez, E.; Yahia, E.M.; Obledo-Vázquez, E.N. Annona muricata: A Comprehensive Review on Its Traditional Medicinal Uses, Phytochemicals, Pharmacological Activities, Mechanisms of Action and Toxicity. Arab. J. Chem. 2018, 11, 662–691. [Google Scholar] [CrossRef]
- Mutakin, M.; Fauziati, R.; Fadhilah, F.N.; Zuhrotun, A.; Amalia, R.; Hadisaputri, Y.E. Pharmacological Activities of Soursop (Annona muricata Lin.). Molecules 2022, 27, 1201. [Google Scholar] [CrossRef]
- Gavamukulya, Y.; Abou-Elella, F.; Wamunyokoli, F.; AEl-Shemy, H. Phytochemical Screening, Anti-Oxidant Activity and in Vitro Anticancer Potential of Ethanolic and Water Leaves Extracts of Annona muricata (Graviola). Asian Pac. J. Trop. Med. 2014, 7, S355–S363. [Google Scholar] [CrossRef]
- Correa-Gordillo, J.; Ortiz, J.; Sánchez-Mejía, M.; Pachón, H. Actividad Antioxidante En Guanábana (Annona muricata L.) Una Revisión Bibliográfica. Bol. Latinoam. Caribe Plantas Med. Aromáticas 2012, 11, 111–126. [Google Scholar]
- Pinto, N.d.C.C.; Campos, L.M.; Evangelista, A.C.S.; Lemos, A.S.O.; Silva, T.P.; Melo, R.C.N.; de Lourenço, C.C.; Salvador, M.J.; Apolônio, A.C.M.; Scio, E.; et al. Antimicrobial Annona muricata L. (Soursop) Extract Targets the Cell Membranes of Gram-Positive and Gram-Negative Bacteria. Ind. Crops Prod. 2017, 107, 332–340. [Google Scholar] [CrossRef]
- Sina, H.; Dramane, G.; Tchekounou, P.; Assogba, M.F.; Chabi-Sika, K.; Boya, B.; Socohou, A.; Adjanohoun, A.; Baba-Moussa, L. Phytochemical Composition and in Vitro Biological Activities of Morinda citrifolia Fruit Juice. Saudi J. Biol. Sci. 2021, 28, 1331–1335. [Google Scholar] [CrossRef] [PubMed]
- Ma, D.L.; Chen, M.; Su, C.X.; West, B.J. In Vivo Antioxidant Activity of Deacetylasperulosidic Acid in Noni. J. Anal. Methods Chem. 2013, 2013, 804504. [Google Scholar] [CrossRef] [PubMed]
- Chan-Blanco, Y.; Vaillant, F.; Mercedes Perez, A.; Reynes, M.; Brillouet, J.-M.; Brat, P. The Noni Fruit (Morinda citrifolia L.): A Review of Agricultural Research, Nutritional and Therapeutic Properties. J. Food Compos. Anal. 2006, 19, 645–654. [Google Scholar] [CrossRef]
- Chantaranothai, P. Barringtonia (Lecythidaceae) in Thailand. Kew Bull. 1995, 50, 677–694. [Google Scholar] [CrossRef]
- Kong, K.W.; Mat Junit, S.; Aminudin, N.; Abdul Aziz, A. Phytochemicals in Barringtonia Species: Linking Their Traditional Uses as Food and Medicine with Current Research. J. Herb. Med. 2020, 19, 100299. [Google Scholar] [CrossRef]
- Kumar, S.R. Antioxidant, Antimicrobial Studies and Investigation of Secondary Metabolites from Stem Bark of Barringtonia acutangula (L.). Int. J. Pharmacogn. Phytochem. Res. 2014, 64, 967–972. Available online: https://www.ijppr.com (accessed on 30 July 2023).
- Ahmad, A.S.; Sae-leaw, T.; Zhang, B.; Benjakul, S. Antioxidant and Antimicrobial Activities of Ethanolic Jik (Barringtonia acutangula) Leaf Extract and Its Application for Shelf-Life Extension of Pacific White Shrimp Meat during Refrigerated Storage to Be Submitted to Food Control. Food Control 2023, 155, 110037. [Google Scholar] [CrossRef]
- Olatunde, O.O.; Benjakul, S.; Huda, N.; Zhang, B.; Deng, S. Ethanolic Noni (Morinda citrifolia L.) Leaf Extract Dechlorophyllised Using Sedimentation Process: Antioxidant, Antibacterial Properties and Efficacy in Extending the Shelf-life of Striped Catfish Slices. Int. J. Food Sci. Technol. 2021, 56, 2804–2819. [Google Scholar] [CrossRef]
- Sae-leaw, T.; Benjakul, S.; Simpson, B.K. Effect of Catechin and Its Derivatives on Inhibition of Polyphenoloxidase and Melanosis of Pacific White Shrimp. J. Food Sci. Technol. 2017, 54, 1098–1107. [Google Scholar] [CrossRef]
- Chotphruethipong, L.; Benjakul, S.; Kijroongrojana, K. Optimization of Extraction of Antioxidative Phenolic Compounds from Cashew (Anacardium occidentale L.) Leaves Using Response Surface Methodology. J. Food Biochem. 2017, 41, e12379. [Google Scholar] [CrossRef]
- Shiekh, K.A.; Zhou, P.; Benjakul, S. Combined Effects of Pulsed Electric Field, Chamuang Leaf Extract and Cold Plasma on Quality and Shelf-Life of Litopenaeus vannamei. Food Biosci. 2021, 41, 100975. [Google Scholar] [CrossRef]
- Shiekh, K.A.; Hozzein, W.N.; Benjakul, S. Effect of Pulsed Electric Field and Modified Atmospheric Packaging on Melanosis and Quality of Refrigerated Pacific White Shrimp Treated with Leaf Extract of Chamuang (Garcinia cowa Roxb.). Food Packag. Shelf Life 2020, 25, 100544. [Google Scholar] [CrossRef]
- Meilgaard, M.C.; Carr, B.T.; Civille, G.V. Sensory Evaluation Techniques; CRC Press: Boca Raton, FL, USA, 1999; ISBN 9781003040729. [Google Scholar]
- Nirmal, N.P.; Benjakul, S. Use of Tea Extracts for Inhibition of Polyphenoloxidase and Retardation of Quality Loss of Pacific White Shrimp during Iced Storage. LWT Food Sci. Technol. 2011, 44, 924–932. [Google Scholar] [CrossRef]
- Sae-leaw, T.; Benjakul, S.; Vongkamjan, K. Retardation of Melanosis and Quality Loss of Pre-Cooked Pacific White Shrimp Using Epigallocatechin Gallate with the Aid of Ultrasound. Food Control 2018, 84, 75–82. [Google Scholar] [CrossRef]
- Liao, T.; Zhou, L.; Liu, J.; Zou, L.; Dai, T.; Liu, W. Inhibitory Mechanism of Salicylic Acid on Polyphenol Oxidase: A Cooperation between Acidification and Binding Effects. Food Chem. 2021, 348, 129100. [Google Scholar] [CrossRef] [PubMed]
- Sánchez-Vioque, R.; Polissiou, M.; Astraka, K.; de los Mozos-Pascual, M.; Tarantilis, P.; Herraiz-Peñalver, D.; Santana-Méridas, O. Polyphenol Composition and Antioxidant and Metal Chelating Activities of the Solid Residues from the Essential Oil Industry. Ind. Crops Prod. 2013, 49, 150–159. [Google Scholar] [CrossRef]
- Nirmal, N.P.; Benjakul, S. Inhibition Kinetics of Catechin and Ferulic Acid on Polyphenoloxidase from Cephalothorax of Pacific White Shrimp (Litopenaeus vannamei). Food Chem. 2012, 131, 569–573. [Google Scholar] [CrossRef]
- Milac, T.I.; Randolph, T.W.; Wang, P. Analyzing LC-MS/MS Data by Spectral Count and Ion Abundance: Two Case Studies. Stat. Interface 2012, 5, 75–87. [Google Scholar] [CrossRef]
- Naveed, M.; Hejazi, V.; Abbas, M.; Kamboh, A.A.; Khan, G.J.; Shumzaid, M.; Ahmad, F.; Babazadeh, D.; FangFang, X.; Modarresi-Ghazani, F.; et al. Chlorogenic Acid (CGA): A Pharmacological Review and Call for Further Research. Biomed. Pharmacother. 2018, 97, 67–74. [Google Scholar] [CrossRef]
- Ganeshpurkar, A.; Saluja, A.K. The Pharmacological Potential of Rutin. Saudi Pharm. J. 2017, 25, 149–164. [Google Scholar] [CrossRef] [PubMed]
- Imran, M.; Rauf, A.; Shah, Z.A.; Saeed, F.; Imran, A.; Arshad, M.U.; Ahmad, B.; Bawazeer, S.; Atif, M.; Peters, D.G.; et al. Chemo-Preventive and Therapeutic Effect of the Dietary Flavonoid Kaempferol: A Comprehensive Review. Phytother. Res. 2019, 33, 263–275. [Google Scholar] [CrossRef]
- Ahmad Shiekh, K.; Benjakul, S. Melanosis and Quality Changes during Refrigerated Storage of Pacific White Shrimp Treated with Chamuang (Garcinia cowa Roxb.) Leaf Extract with the Aid of Pulsed Electric Field. Food Chem. 2020, 309, 125516. [Google Scholar] [CrossRef] [PubMed]
- Phan, D.T.A.; Ha, H.T.; Ho, T.T. An Extract and Fractions from Coffea arabica Sediment on Antioxidant and Anti-Tyrosinase Activities, and on the Quality of Whiteleg Shrimp (Litopenaus vannamei) during Refrigerated Storage. Prev. Nutr. Food Sci. 2021, 26, 346–356. [Google Scholar] [CrossRef] [PubMed]
- Santi, M.D.; Bouzidi, C.; Gorod, N.S.; Puiatti, M.; Michel, S.; Grougnet, R.; Ortega, M.G. In Vitro Biological Evaluation and Molecular Docking Studies of Natural and Semisynthetic Flavones from Gardenia Oudiepe (Rubiaceae) as Tyrosinase Inhibitors. Bioorg. Chem. 2019, 82, 241–245. [Google Scholar] [CrossRef] [PubMed]
- Zeng, Q.Z.; Thorarinsdottir, K.A.; Olafsdottir, G. Quality Changes of Shrimp (Pandalus borealis) Stored under Different Cooling Conditions. J. Food Sci. 2005, 70, s459–s466. [Google Scholar] [CrossRef]
- Papadopoulos, V.; Chouliara, I.; Badeka, A.; Savvaidis, I.N.; Kontominas, M.G. Effect of Gutting on Microbiological, Chemical, and Sensory Properties of Aquacultured Sea Bass (Dicentrarchus labrax) Stored in Ice. Food Microbiol. 2003, 20, 411–420. [Google Scholar] [CrossRef]
- Mol, S.; Erkan, N.; Üçok, D.; Yasemin Tosun, Ş. Effect of psychrophilic bacteria to estimate fish quality. J. Muscle Foods 2007, 18, 120–128. [Google Scholar] [CrossRef]
- Sun, X.; Hong, H.; Jia, S.; Liu, Y.; Luo, Y. Effects of Phytic Acid and Lysozyme on Microbial Composition and Quality of Grass Carp (Ctenopharyngodon idellus) Fillets Stored at 4 °C. Food Microbiol. 2020, 86, 103313. [Google Scholar] [CrossRef]
- Dabadé, D.S.; den Besten, H.M.W.; Azokpota, P.; Nout, M.J.R.; Hounhouigan, D.J.; Zwietering, M.H. Spoilage Evaluation, Shelf-Life Prediction, and Potential Spoilage Organisms of Tropical Brackish Water Shrimp (Penaeus notialis) at Different Storage Temperatures. Food Microbiol. 2015, 48, 8–16. [Google Scholar] [CrossRef]
- Osman, E.; Faruk, B.T. Spoilage of Fish and Other Seafoods. In Food Microbiology: Principles into Practice; John Wiley & Sons, Ltd.: Hoboken, NJ, USA, 2016; pp. 301–306. [Google Scholar]
- Pongsetkul, J.; Benjakul, S.; Sumpavapol, P.; Vongkamjan, K.; Osako, K. Quality of Kapi, Salted Shrimp Paste of Thailand, Inoculated with Bacillus Spp. K-C3. J. Aquat. Food Prod. Technol. 2018, 27, 830–843. [Google Scholar] [CrossRef]
- Olatunde, O.O.; Della Tan, S.L.; Shiekh, K.A.; Benjakul, S.; Nirmal, N.P. Ethanolic Guava Leaf Extracts with Different Chlorophyll Removal Processes: Anti-Melanosis, Antibacterial Properties and the Impact on Qualities of Pacific White Shrimp during Refrigerated Storage. Food Chem. 2021, 341, 128251. [Google Scholar] [CrossRef]
- Shamshad, S.I.; Kher-Un-Nisa; Riaz, M.; Zuberi, R.; Qadri, R.B. Shelf Life of Shrimp (Penaeus merguiensis) Stored at Different Temperatures. J. Food Sci. 1990, 55, 1201–1205. [Google Scholar] [CrossRef]
- Zhu, J.; Chen, Y.; Jin, L.; Zhu, J. Quality Assessment of Frozen Solenocera crassicornis Treated with Sodium Metabisulphite by Soaking or Spraying. J. Ocean Univ. China 2020, 19, 199–208. [Google Scholar] [CrossRef]
- Okpala, C.O.R.; Choo, W.S.; Dykes, G.A. Quality and Shelf Life Assessment of Pacific White Shrimp (Litopenaeus vannamei) Freshly Harvested and Stored on Ice. LWT Food Sci. Technol. 2014, 55, 110–116. [Google Scholar] [CrossRef]
- Ibrahim, A.; Ibrahim, M.S.C.; Bakar, K.; Bakar, J.; Ikhwanuddin, M.; Karim, N.U. Effects of Annona muricata Extraction on Inhibition of Polyphenoloxidase and Microbiology Quality of Macrobrachium rosenbergii. J. Food Sci. Technol. 2022, 59, 859–868. [Google Scholar] [CrossRef] [PubMed]
- Jeongmok, K.; Marshall, M.R.; Cheng, I.W. Polyphenoloxidase. In Seafood Enzymes. Utilization and Influence on Postharvest Seafood Quality; Haard, N.F., Simpson, B.K., Eds.; Mercel Dekker Inc.: New York, NY, USA, 2000; pp. 271–313. [Google Scholar]





| Compounds | Molecular Weight | Molecular Formula | Score | Abundance (×106) |
|---|---|---|---|---|
| Aempferol-3-O-rutinoside | 594.16 | C₂₇H₃₀O₁₆ | 94.9 | 60.65 |
| Catechin | 290.08 | C₁₅H₁₄O₆ | 97.6 | 25.31 |
| Neochlorogenic acid | 354.1 | C₁₆H₁₈O₉ | 98.7 | 18.39 |
| Rutin (quercetin 3-rutinoside) | 610.14 | C₂₇H₃₀O₁₆ | 94.6 | 14.86 |
| Hyperin (quercetin-3-O-galactoside) | 464.1 | C₂₁H₂₀O₁₂ | 99.6 | 12.56 |
| Kaemferol-7-O-neohesperidoside | 594.16 | C₂₉H₃₆O₁₇ | 83.1 | 9.99 |
| Isorhamnetin-3-O- neohespeidoside | 578.16 | C₃₃H₄₈O₁₇ | 96.8 | 9.95 |
| Procyanidin C1 | 866.21 | C₃₀H₂₄O₁₂ | 96 | 8.28 |
| Quercitrin | 448.1 | C₂₁H₂₀O₁₁ | 71.4 | 5.53 |
| Afzelin | 432.11 | C₂₁H₂₀O₁₁ | 99.6 | 4.35 |
| Cryptochlorogenic acid | 354.1 | C₁₇H₂₀O₉ | 98.2 | 4.2 |
| Epicatechin | 290.08 | C₁₅H₁₄O₆ | 96.4 | 3.39 |
| Procyanidin B2 | 578.14 | C₃₀H₂₄O₁₂ | 97 | 3.25 |
| Procyanidin A1 | 576.13 | C₃₀H₂₄O₁₁ | 76.3 | 1.58 |
| Calceorioside B | 478.21 | C23H26O11 | 94.6 | 1.1 |
| p-Coumaric acid | 164.05 | C₉H₈O₃ | 98.3 | 0.75 |
| Phloridzin (dihydrochalchone) | 436.14 | C₂₁H₂₄O₁₀ | 78.9 | 0.55 |
| Salidroside | 300.12 | C₁₄H₂₀O₇ | 90.9 | 0.54 |
| Caffeic acid | 180.04 | C₉H₈O₄ | 92.2 | 0.53 |
| Chlorogenic acid | 354.1 | C₁₆H₁₈O₉ | 98.7 | 0.48 |
| Protocatechin aldehyde | 138.03 | C₉H₈O₂ | 98.9 | 0.229 |
| Isoferulic acid | 194.06 | C₁₀H₁₀O₄ | 93.3 | 0.22 |
| Ferulic acid | 194.06 | C₁₀H₁₀O₄ | 94.5 | 0.19 |
| Storage Time (Days) | Sample | Appearance | Color | Texture | Taste | Flavor | Odor | Overall Likeness |
|---|---|---|---|---|---|---|---|---|
| 0 | Control | 8.00 ± 0.71 a | 8.30 ± 0.71 a | 7.50 ± 0.93 a | 7.75 ± 0.38 a | 8.11 ± 0.60 a | 7.56 ± 0.53 a | 7.89 ± 0.60 a |
| SLE-0.25 | 8.20 ± 0.96 a | 8.20 ± 0.46 a | 8.00 ± 0.71 a | 7.60 ± 0.58 a | 8.00 ± 0.71 a | 8.20 ± 0.96 a | 8.00 ± 0.71 a | |
| SLE-0.5 | 7.60 ± 0.89 a | 8.20 ± 0.84 a | 7.80 ± 0.45 a | 8.00 ± 0.71 a | 8.20 ± 0.84 a | 7.80 ± 0.84 a | 7.80 ± 0.84 a | |
| SLE-1.0 | 8.10 ± 0.74 a | 8.20 ± 0.45 a | 7.60 ± 0.55 a | 7.60 ± 0.55 a | 8.00 ± 0.71 a | 8.20 ± 0.45 a | 7.60 ± 0.55 a | |
| SMS-1.25 | 8.40 ± 0.55 a | 8.40 ± 0.55 a | 7.80 ± 0.84 a | 7.80 ± 0.84 a | 8.20 ± 0.45 a | 8.00 ± 0.71 a | 7.60 ± 0.55 a | |
| 12 | SLE-1.0 | 7.2 ± 0.84 b | 7.00 ± 0.55 b | 7.10 ± 0.84 b | 6.20 ± 0.84 b | 7.00 ± 0.71 b | 6.40 ± 0.89 b | 6.80 ± 0.84 b |
Disclaimer/Publisher’s Note: The statements, opinions and data contained in all publications are solely those of the individual author(s) and contributor(s) and not of MDPI and/or the editor(s). MDPI and/or the editor(s) disclaim responsibility for any injury to people or property resulting from any ideas, methods, instructions or products referred to in the content. |
© 2023 by the authors. Licensee MDPI, Basel, Switzerland. This article is an open access article distributed under the terms and conditions of the Creative Commons Attribution (CC BY) license (https://creativecommons.org/licenses/by/4.0/).
Share and Cite
Ahmad, A.S.; Sae-leaw, T.; Zhang, B.; Singh, P.; Kim, J.T.; Benjakul, S. Impact of Ethanolic Thai Indigenous Leaf Extracts on Melanosis Prevention and Shelf-Life Extension of Refrigerated Pacific White Shrimp. Foods 2023, 12, 3649. https://doi.org/10.3390/foods12193649
Ahmad AS, Sae-leaw T, Zhang B, Singh P, Kim JT, Benjakul S. Impact of Ethanolic Thai Indigenous Leaf Extracts on Melanosis Prevention and Shelf-Life Extension of Refrigerated Pacific White Shrimp. Foods. 2023; 12(19):3649. https://doi.org/10.3390/foods12193649
Chicago/Turabian StyleAhmad, Abubakar Saleh, Thanasak Sae-leaw, Bin Zhang, Prabjeet Singh, Jun Tae Kim, and Soottawat Benjakul. 2023. "Impact of Ethanolic Thai Indigenous Leaf Extracts on Melanosis Prevention and Shelf-Life Extension of Refrigerated Pacific White Shrimp" Foods 12, no. 19: 3649. https://doi.org/10.3390/foods12193649
APA StyleAhmad, A. S., Sae-leaw, T., Zhang, B., Singh, P., Kim, J. T., & Benjakul, S. (2023). Impact of Ethanolic Thai Indigenous Leaf Extracts on Melanosis Prevention and Shelf-Life Extension of Refrigerated Pacific White Shrimp. Foods, 12(19), 3649. https://doi.org/10.3390/foods12193649

