Crabs Eriocheir japonica and Paralithodes camtschaticus Are a Rich Source of Lipid Molecular Species with High Nutritional Value
Abstract
:1. Introduction
2. Materials and Methods
2.1. Sample Collection
2.2. The Lipid Analysis
2.3. Statistical Analysis
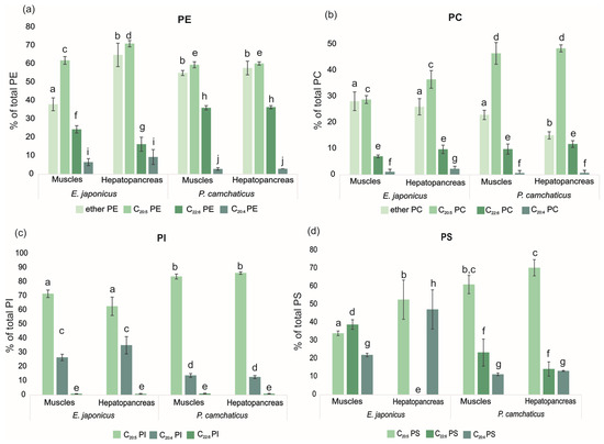
3. Results
4. Discussion
4.1. Differences in Lipid Composition between the Crabs E. japonica and P. camtschaticus
4.2. Nutritional Value of Crab Lipids
Supplementary Materials
Author Contributions
Funding
Data Availability Statement
Acknowledgments
Conflicts of Interest
References
- Yao, J.; Zhu, J.; Zhao, M.; Zhou, L.; Marchioni, E. Untargeted Lipidomics Method for the Discrimination of Five Crab Species by Ultra-High-Performance Liquid Chromatography High-Resolution Mass Spectrometry Combined with Chemometrics. Molecules 2023, 28, 3653. [Google Scholar] [CrossRef] [PubMed]
- Latyshev, N.A.; Kasyanov, S.P.; Kharlamenko, V.I.; Svetashev, V.I. Lipids and of fatty acids of edible crabs of the north-western Pacific. Food Chem. 2009, 116, 657–661. [Google Scholar] [CrossRef]
- Chen, D.-W.; Zhang, M.; Shrestha, S. Compositional characteristics and nutritional quality of Chinese mitten crab (Eriocheir sinensis). Food Chem. 2007, 103, 1343–1349. [Google Scholar] [CrossRef]
- Barrento, S.; Marques, A.; Teixeira, B.; Anacleto, P.; Vaz-Pires, P.; Nunes, M.L. Effect of season on the chemical composition and nutritional quality of the edible crab Cancer pagurus. J. Agric. Food Chem. 2009, 57, 10814–10824. [Google Scholar] [CrossRef]
- Wang, W.; Xue, C.; Mao, X. Chitosan: Structural modification, biological activity and application. Int. J. Biol. Macromol. 2020, 164, 4532–4546. [Google Scholar] [CrossRef] [PubMed]
- Balzano, M.; Pacetti, D.; Lucci, P.; Fiorini, D.; Frega, N.G. Bioactive fatty acids in mantis shrimp, crab and caramote prawn: Their content and distribution among the main lipid classes. J. Food Compos. Anal. 2017, 59, 88–94. [Google Scholar] [CrossRef]
- Wang, Z.; Zu, L.; Li, Q.; Jiang, X.; Xu, W.; Soyano, K.; Cheng, Y.; Wu, X. A comparative evaluation of the nutritional quality of Eriocheir sinensis and Eriocheir japonica (Brachyura, Varunidae). Crustaceana 2020, 93, 567–585. [Google Scholar] [CrossRef]
- Bourre, J.M. Roles of unsaturated fatty acids (especially omega-3 fatty acids) in the brain at various ages and during ageing. J. Nutr. Health Aging 2004, 8, 163–174. [Google Scholar]
- Liput, K.P.; Lepczyński, A.; Ogłuszka, M.; Nawrocka, A.; Poławska, E.; Grzesiak, A.; Ślaska, B.; Pareek, C.S.; Czarnik, U.; Pierzchała, M. Effects of Dietary n–3 and n–6 Polyunsaturated Fatty Acids in Inflammation and Cancerogenesis. Int. J. Mol. Sci. 2021, 22, 6965. [Google Scholar] [CrossRef]
- Joffre, C.; Rey, C.; Layé, S. N-3 Polyunsaturated Fatty Acids and the Resolution of Neuroinflammation. Review. Front. Pharmacol. 2019, 10, 1022. [Google Scholar] [CrossRef]
- Liu, J.; Ma, D.W. The role of n-3 polyunsaturated fatty acids in the prevention and treatment of breast cancer. Nutrients 2014, 6, 5184–5223. [Google Scholar] [CrossRef] [PubMed]
- Imbs, A.B.; Ermolenko, E.V.; Grigorchuk, V.P.; Sikorskaya, T.V.; Velansky, P.V. Current Progress in Lipidomics of Marine Invertebrates. Mar. Drugs 2021, 19, 660. [Google Scholar] [CrossRef] [PubMed]
- Hyötyläinen, T.; Bondia-Pons, I.; Orešič, M. Lipidomics in nutrition and food research. Mol. Nutr. Food Res. 2013, 57, 1306–1318. [Google Scholar] [CrossRef]
- Han, X.; Gross, R.W. Global analyses of cellular lipidomes directly from crude extracts of biological samples by ESI mass spectrometry: A bridge to lipidomics. J. Lipid Res. 2003, 44, 1071–1079. [Google Scholar] [CrossRef] [PubMed]
- Ding, Z. Lipid metabolism disorders contribute to the pathogenesis of Hepatospora eriocheir in the crab Eriocheir sinensis. J. Fish. Dis. 2021, 44, 305–313. [Google Scholar] [CrossRef]
- Yuan, Y.; Xu, F.; Jin, M.; Wang, X.; Hu, X.; Zhao, M.; Cheng, X.; Luo, J.; Jiao, L.; Betancor, M.B.; et al. Untargeted lipidomics reveals metabolic responses to different dietary n-3 PUFA in juvenile swimming crab (Portunus trituberculatus). Food Chem. 2021, 354, 129570. [Google Scholar] [CrossRef]
- Rey, F.; Alves, E.; Melo, T.; Domingues, P.; Queiroga, H.; Rosa, R.; Domingues, M.R.M.; Calado, R. Unravelling polar lipids dynamics during embryonic development of two sympatric brachyuran crabs (Carcinus maenas and Necora puber) using lipidomics. Sci. Rep. 2015, 5, 14549. [Google Scholar] [CrossRef]
- Wang, J.; Wang, H.; Xue, J.; Yu, X.; Long, X.; Wu, X.; Xie, H.; Shen, Q.; Wang, H. Phospholipidomics quality evaluation of swimming crabs (Portunus trituberculatus) cultured with formulated feed, frozen trash fish, and mixed feed, a non-target approach by HILIC-MS. J. Chromatogr. B Anal. Technol. Biomed. Life Sci. 2021, 1179, 122845. [Google Scholar] [CrossRef]
- Kobayashi, S.; Vazquez-Archdale, M. Selectivity of Two Methods for Surveying the Japanese Mitten Crab, Eriocheir Japonica (De Haan, 1835), in a Riverine Environment. J. Crustac. Biol. 2016, 36, 1–11. [Google Scholar] [CrossRef]
- Epelbaum, A.B.; Kovatcheva, N.P. Daily food intakes and optimal food concentrations for red king crab (Paralithodes camtschaticus) larvae fed Artemia nauplii under laboratory conditions. Aquac. Nutr. 2005, 11, 455–461. [Google Scholar] [CrossRef]
- Folch, J.; Lees, M.; Sloane-Stanley, G.A. A simple methods for the isolation and pyrification of total lipid extraction from animal tissue. J. Biol. Chem. 1957, 226, 497–509. [Google Scholar] [CrossRef]
- Sikorskaya, T.V.; Ermolenko, E.V.; Efimova, K.V. Lipids of Indo-Pacific gorgonian corals are modified under the influence of microbial associations. Coral Reefs 2022, 41, 277–291. [Google Scholar] [CrossRef]
- Sikorskaya, T.V.; Imbs, A.B. Study of Total Lipidome of the Sinularia siaesensis Soft Coral. Russ. J. Bioorganic Chem. 2018, 44, 712–723. [Google Scholar] [CrossRef]
- Xu, C.; Ma, Q.; Li, E.; Liu, Y.; Wang, X.; Du, Z.; Qin, J.G.; Chen, L. Response of lipid molecular structure to dietary lipid type in Chinese mitten crab Eriocheir sinensis: A deep lipidomics analysis. Aquac. Rep. 2021, 19, 100596. [Google Scholar] [CrossRef]
- Jiang, H.; Bao, J.; Xing, Y.; Cao, G.; Li, X.; Chen, Q. Metabolomic and metagenomic analyses of the Chinese mitten crab Eriocheir sinensis after challenge with Metschnikowia bicuspidata. Original Research. Front. Microbiol. 2022, 13, 990737. [Google Scholar] [CrossRef]
- Rozentsvet, O.A.; Ponomareva, E.R.; Mazepova, Y.N.; Koneva, N.V. Lipids of some aquatic plants of the Central Volga region. Chem. Nat. Compd. 1995, 31, 169–171. [Google Scholar] [CrossRef]
- Jungblut, S.; McCarthy, M.L.; Boos, K.; Saborowski, R.; Hagen, W. Seasonal lipid storage and dietary preferences of native European versus invasive Asian shore crabs. Mar. Ecol. Prog. Ser. 2018, 602, 169–181. [Google Scholar] [CrossRef]
- Montgomery, W.L.; Umino, T.; Nakagawa, H.; Vaughn, I.; Shibuno, T. Lipid storage and composition in tropical surgeonfishes (Teleostei: Acanthuridae). Mar. Biol. 1999, 133, 137–144. [Google Scholar] [CrossRef]
- Timchenko, M.; Molchanov, V.; Molchanov, M.; Timchenko, A.; Sogorin, E. Investigation of lipolytic activity of the red king crab hepatopancreas homogenate by NMR spectroscopy. PeerJ 2022, 10, e12742. [Google Scholar] [CrossRef]
- Żarnowski, A.; Jankowski, M.; Gujski, M. Public Awareness of Diet-Related Diseases and Dietary Risk Factors: A 2022 Nationwide Cross-Sectional Survey among Adults in Poland. Nutrients 2022, 14, 3285. [Google Scholar] [CrossRef]
- Haq, M.; Suraiya, S.; Ahmed, S.; Chun, B.-S. Phospholipids from marine source: Extractions and forthcoming industrial applications. J. Funct. Foods 2021, 80, 104448. [Google Scholar] [CrossRef]
- Bouwens, M.; van de Rest, O.; Dellschaft, N.; Bromhaar, M.G.; de Groot, L.; Geleijnse, J.M.; Müller, M.; Afman, L.A. Fish-oil supplementation induces antiinflammatory gene expression profiles in human blood mononuclear cells. Am. J. Clin. Nutr. 2009, 90, 415–424. [Google Scholar] [CrossRef] [PubMed]
- Itariu, B.K.; Zeyda, M.; Hochbrugger, E.E.; Neuhofer, A.; Prager, G.; Schindler, K.; Bohdjalian, A.; Mascher, D.; Vangala, S.; Schranz, M.; et al. Long-chain n-3 PUFAs reduce adipose tissue and systemic inflammation in severely obese nondiabetic patients: A randomized controlled trial. Am. J. Clin. Nutr. 2012, 96, 1137–1149. [Google Scholar] [CrossRef] [PubMed]
- Yeo, J.; Parrish, C.C. Mass Spectrometry-Based Lipidomics in the Characterization of Individual Triacylglycerol (TAG) and Phospholipid (PL) Species from Marine Sources and Their Beneficial Health Effects. Rev. Fish. Sci. Aquac. 2022, 30, 81–100. [Google Scholar] [CrossRef]
- Paluchova, V.; Vik, A.; Cajka, T.; Brezinova, M.; Brejchova, K.; Bugajev, V.; Draberova, L.; Draber, P.; Buresova, J.; Kroupova, P.; et al. Triacylglycerol-Rich Oils of Marine Origin are Optimal Nutrients for Induction of Polyunsaturated Docosahexaenoic Acid Ester of Hydroxy Linoleic Acid (13-DHAHLA) with Anti-Inflammatory Properties in Mice. Mol. Nutr. Food Res. 2020, 64, 1901238. [Google Scholar] [CrossRef]
- Zhang, T.-T.; Xu, J.; Wang, Y.-M.; Xue, C.-H. Health benefits of dietary marine DHA/EPA-enriched glycerophospholipids. Prog. Lipid Res. 2019, 75, 100997. [Google Scholar] [CrossRef]
- Ahmmed, M.K.; Ahmmed, F.; Tian, H.S.; Carne, A.; Bekhit, A.E. Marine omega-3 (n-3) phospholipids: A comprehensive review of their properties, sources, bioavailability, and relation to brain health. Compr. Rev. Food Sci. Food Saf. 2020, 19, 64–123. [Google Scholar] [CrossRef]
- Schverer, M.; O’Mahony, S.M.; O’Riordan, K.J.; Donoso, F.; Roy, B.L.; Stanton, C.; Dinan, T.G.; Schellekens, H.; Cryan, J.F. Dietary phospholipids: Role in cognitive processes across the lifespan. Neurosci. Biobehav. Rev. 2020, 111, 183–193. [Google Scholar] [CrossRef]
- Wang, Z.; Zhao, J.; Wang, Y.; Zhang, T.; Liu, R.; Chang, M.; Wang, X. Advances in EPA-GPLs: Structural features, mechanisms of nutritional functions and sources. Trends Food Sci. Technol. 2021, 114, 521–529. [Google Scholar] [CrossRef]
- Ferreira, I.; Rauter, A.P.; Bandarra, N.M. Marine Sources of DHA-Rich Phospholipids with Anti-Alzheimer Effect. Mar. Drugs 2022, 20, 662. [Google Scholar] [CrossRef]
- Wang, C.-C.; Wang, J.-Y.; Shi, H.-H.; Zhao, Y.-C.; Yang, J.-Y.; Wang, Y.-M.; Yanagita, T.; Xue, C.-H.; Zhang, T.-T. DHA-Enriched Phospholipids Exhibit Anti-Depressant Effects by Immune and Neuroendocrine Regulation in Mice: A Study on Dose- and Structure-Activity Relationship. Mol. Nutr. Food Res. 2023, 67, 2200089. [Google Scholar] [CrossRef] [PubMed]
- da Silva, T.F.; Sousa, V.F.; Malheiro, A.R.; Brites, P. The importance of ether-phospholipids: A view from the perspective of mouse models. Biochim. Et Biophys. Acta (BBA)-Mol. Basis Dis. 2012, 1822, 1501–1508. [Google Scholar] [CrossRef] [PubMed]
- Dorninger, F.; Werner, E.R.; Berger, J.; Watschinger, K. Regulation of plasmalogen metabolism and traffic in mammals: The fog begins to lift. Review. Front. Cell Dev. Biol. 2022, 10, 946393. [Google Scholar] [CrossRef] [PubMed]
- Wang, X.; Chen, Q.; Wang, X.; Cong, P.; Xu, J.; Xue, C. Lipidomics Approach in High-Fat-Diet-Induced Atherosclerosis Dyslipidemia Hamsters: Alleviation Using Ether-Phospholipids in Sea Urchin. J. Agric. Food Chem. 2021, 69, 9167–9177. [Google Scholar] [CrossRef]



| Lipids | E. japonicus | P. camchaticus | ||||||
|---|---|---|---|---|---|---|---|---|
| Muscles | Hepatopancreas | Muscles | Hepatopancreas | |||||
| mg/100 g w.w. | % of Detected Lipids | mg/100 g w.w. | % of Detected Lipids | mg/100 g w.w. | % of Detected Lipids | mg/100 g w.w. | % of Detected Lipids | |
| TG | tr | tr | 2405.46 ± 446.80 | 75.55 ± 7.05 | tr | tr | 460.26 ± 85.85 | 55.22 ± 0.52 |
| DG | 49.54 ± 10.99 | 26.32 ± 6.53 | tr | tr | 22.23 ± 9.43 | 20.58 ± 8.04 | tr | tr |
| ST | 2.81 ± 0.91 | 1.51 ± 0.57 | 246.15 ± 54.87 | 7.95 ± 2.65 | 1.44 ± 0.21 | 1.36 ± 0.21 | 24.75 ± 3.06 | 3.02 ± 0.50 |
| PE | 43.27 ± 7.95 | 22.79 ± 3.07 | 130.28 ± 14.05 | 4.17 ± 0.84 | 20.22 ± 5.08 | 18.90 ± 3.47 | 108.11 ± 24.67 | 12.92 ± 0.65 |
| PC | 60.76 ± 11.70 | 31.98 ± 4.43 | 353.21 ± 62.43 | 11.37 ± 3.26 | 37.04 ± 7.89 | 34.52 ± 0.40 | 203.05 ± 39.91 | 24.33 ± 0.34 |
| PI | 10.98 ± 0.65 | 5.82 ± 0.57 | 18.57 ± 4.97 | 0.60 ± 0.22 | 8.79 ± 1.38 | 8.27 ± 0.96 | 15.71 ± 5.19 | 1.85 ± 0.34 |
| PS | 6.95 ± 0.23 | 3.69 ± 0.35 | 5.58 ± 1.42 | 0.18 ± 0.06 | 7.68 ± 1.39 | 7.19 ± 0.49 | 11.42 ± 3.01 | 1.36 ± 0.15 |
| SM | 12.17 ± 2.11 | 6.41 ± 0.82 | 4.66 ± 2.04 | 0.15 ± 0.07 | 6.48 ± 2.74 | 6.12 ± 2.86 | 4.82 ± 1.47 | 0.57 ± 0.09 |
| PA | 2.65 ± 0.80 | 1.42 ± 0.51 | tr | tr | 1.79 ± 2.87 | 1.37 ± 2.13 | tr | tr |
| LPE | tr | tr | 0.56 ± 0.20 | 0.02 ± 0.01 | 1.61 ± 1.56 | 1.69 ± 1.72 | 5.70 ± 1.05 | 0.68 ± 0.03 |
Disclaimer/Publisher’s Note: The statements, opinions and data contained in all publications are solely those of the individual author(s) and contributor(s) and not of MDPI and/or the editor(s). MDPI and/or the editor(s) disclaim responsibility for any injury to people or property resulting from any ideas, methods, instructions or products referred to in the content. |
© 2023 by the authors. Licensee MDPI, Basel, Switzerland. This article is an open access article distributed under the terms and conditions of the Creative Commons Attribution (CC BY) license (https://creativecommons.org/licenses/by/4.0/).
Share and Cite
Ermolenko, E.V.; Sikorskaya, T.V.; Grigorchuk, V.P. Crabs Eriocheir japonica and Paralithodes camtschaticus Are a Rich Source of Lipid Molecular Species with High Nutritional Value. Foods 2023, 12, 3359. https://doi.org/10.3390/foods12183359
Ermolenko EV, Sikorskaya TV, Grigorchuk VP. Crabs Eriocheir japonica and Paralithodes camtschaticus Are a Rich Source of Lipid Molecular Species with High Nutritional Value. Foods. 2023; 12(18):3359. https://doi.org/10.3390/foods12183359
Chicago/Turabian StyleErmolenko, Ekaterina V., Tatyana V. Sikorskaya, and Valeria P. Grigorchuk. 2023. "Crabs Eriocheir japonica and Paralithodes camtschaticus Are a Rich Source of Lipid Molecular Species with High Nutritional Value" Foods 12, no. 18: 3359. https://doi.org/10.3390/foods12183359
APA StyleErmolenko, E. V., Sikorskaya, T. V., & Grigorchuk, V. P. (2023). Crabs Eriocheir japonica and Paralithodes camtschaticus Are a Rich Source of Lipid Molecular Species with High Nutritional Value. Foods, 12(18), 3359. https://doi.org/10.3390/foods12183359

