Strategy Optimization of Quality Improvement and Price Subsidy of Agri-Foods Supply Chain
Abstract
:1. Introduction
2. Literature Review
2.1. The Improvement Strategy of Product Quality
2.2. Game Study on Product Price and Demand
2.3. Influences after the Improvement of the Agri-Food Quality
3. Materials and Methods
3.1. Problem Description
- (1)
- In order to respond to the quality and safety enhancement initiative, the agricultural producer needs to increase the quality inputs, such as upgrading production technology level, improving production management methods, etc. Referring to the study of Jiang [30], the research and development inputs for producing green products have a quadratic relationship with the greenness of the products. Therefore, it is assumed that the relationship between quality inputs and quality safety degree in agricultural production is , where is the production influence factor.
- (2)
- When the quality improvement action is promoted, the agricultural producer will raise the price to maintain his own interests according to the input costs of quality improvement. At this point, the selling price of the producer is , where is the price compensation coefficient after quality inputs. In order to encourage quality improvement and maintain profits, the agri-foods seller will also raise prices accordingly. To simplify the model, it can be assumed that the seller of agricultural produce raises prices by the same amount as the producer, and at this time, the selling price of the seller is .
- (3)
- Although the seller of agricultural produce determines the basic market demand based on past experience and order from the producer, natural losses such as bumping and spoilage cannot be avoided in the actual transportation and sales process due to the perishable nature of agri-foods. Thus, it is assumed that the actual market demand is (); i.e., the single-order quantity of the seller is greater than the actual market demand. Since agri-foods are perishable, it is assumed that all agri-foods unsold are lost and no longer converted into value.
- (4)
- Assume that the actual market demand is positively related to the basic market demand and the quality safety degree and negatively related to the retail price . Referring to the linear inverse demand function, let , where is the sensitivity coefficient of consumers to the price of agri-foods, and k is the sensitivity coefficient of consumers to the quality of agri-foods. Obviously, the higher the product quality is, the lower the price is, and the more consumers prefer to buy such produce. This assumption is in line with the reality.
3.2. Notation
4. Model Construction and Solving
4.1. Decentralized Decision Model
- (1)
- Producer-led Model (Model 1)
- (2)
- Seller-led Model (Model 2)
4.2. Centralized Decision Model (Model 3)
4.3. Comparison and Analysis
- (1)
- From , can be easily obtained.
- (2)
- From and , can be obtained.
5. Contract Coordination Strategy Based on Cost Sharing of Agricultural Quality Improvement
6. Numerical Study
6.1. Numerical Example
6.2. Sensitivity Analysis
6.2.1. Sensitivity Analysis on Consumer Price Sensitivity Factors
6.2.2. Sensitivity Analysis on Consumer Quality Sensitivity Factors
6.3. Analysis of Other Parameters
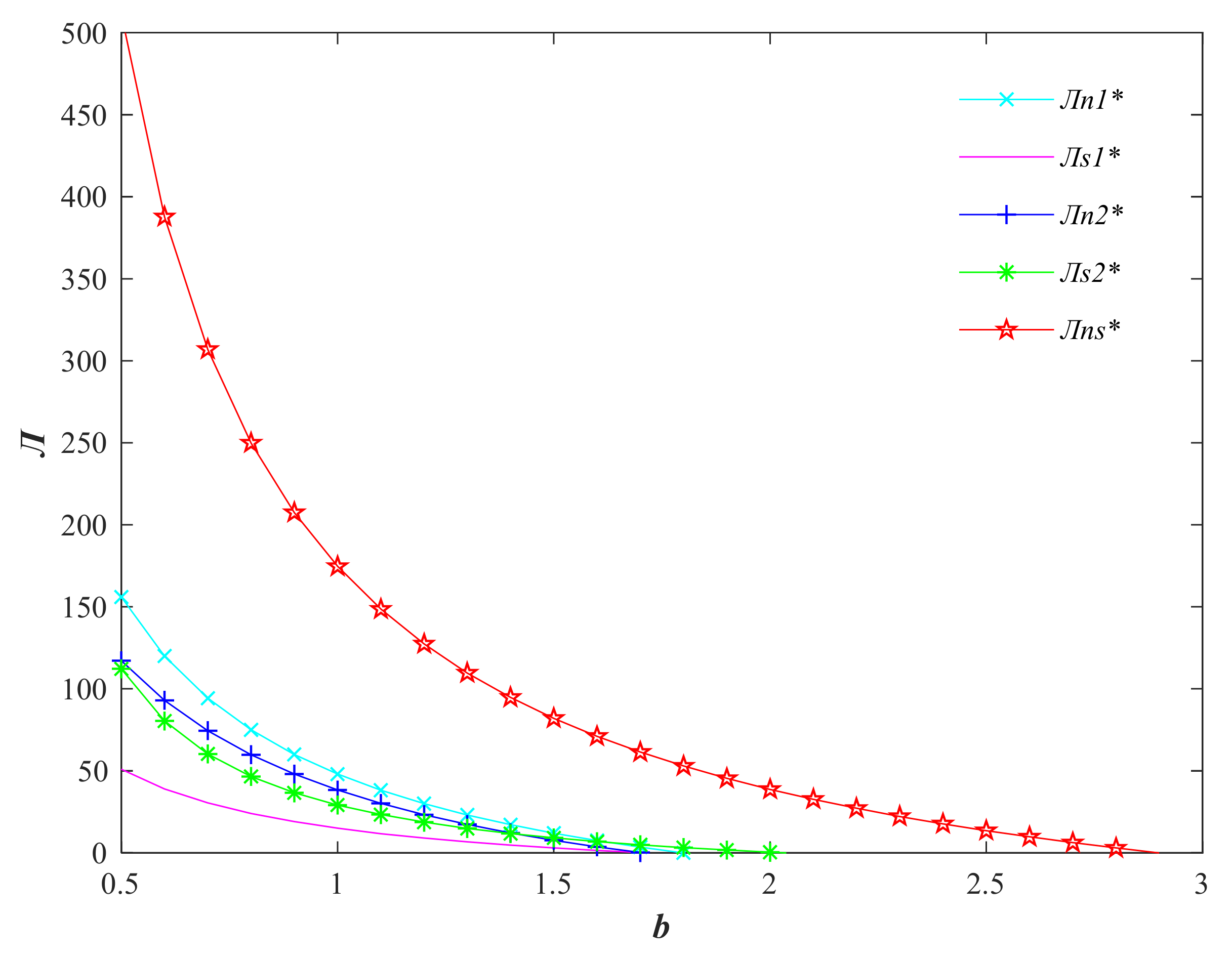
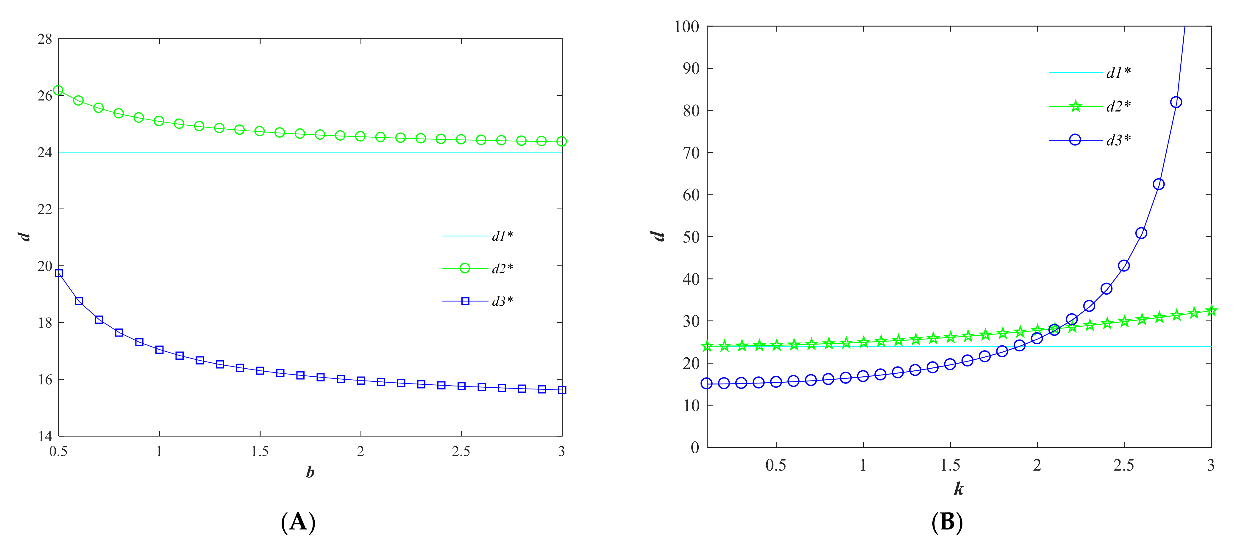
6.3.1. The Impact of Agricultural Selling Prices on Profits
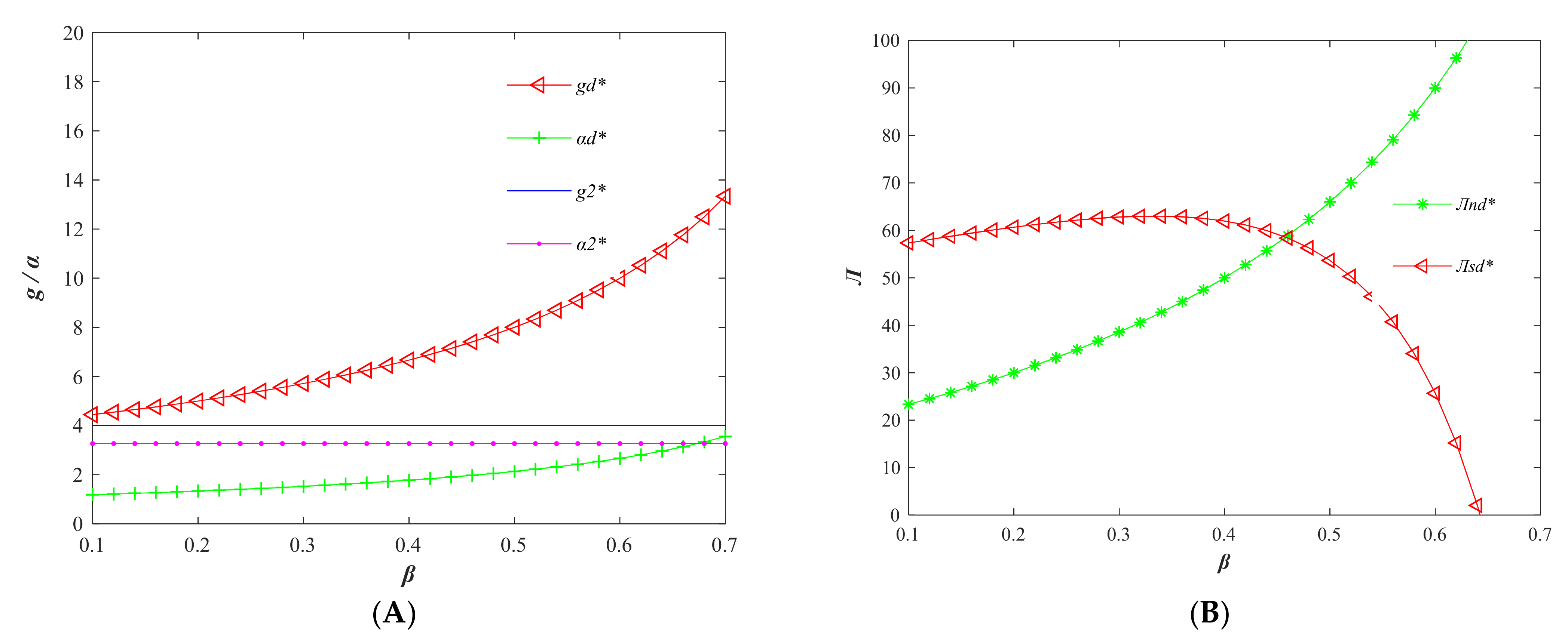
6.3.2. The Impact of Cost-Sharing Factor
7. Discussion
- (1)
- In the decentralized decision-making model, the quality improvement of agri-foods led by sellers is better than that led by producers, but both are lower than the agricultural product quality level when the decision making is centralized to maximize the overall supply chain benefits. Therefore, from the consideration of improving the quality of agri-foods, it is the optimal strategy to improve the level of supply chain integration, establish supply chain alliances, and launch action plans of agri-food quality improvement jointly by supply chain members.
- (2)
- Considering that the actual demand for agri-foods is affected by the wholesale price, the supply chain participants should choose decision-making strategies according to the characteristics of the products they operate when launching the action plan for agricultural produce quality improvement, from the perspective of opening up the market and increasing the market awareness of agricultural produce. Generally speaking, for general mass agri-foods, it is more favorable to expand sales volume by centralizing decisions for the supply chain to drive quality upgrades, while for high-end agri-foods with higher wholesale prices, it is more favorable to expand sales volume and open up the market for the supply chain to be led by sellers.
- (3)
- The price and quality of agri-foods are affected by the price elasticity of demand and quality elasticity of demand. The more sensitive consumers are to price, the more popular low-quality and low-priced products will be, and the more sensitive consumers are to quality, the better quality and price mechanism is guaranteed when the overall benefit of the supply chain is maximized to improve the quality of agri-foods, and the quality improvement of agri-foods is more “good value for money” compared with the decentralized decision-making mode. Therefore, in order to promote the high-quality development of the agri-foods industry, raising the income level of agri-foods consumers and reducing the price elasticity of demand should be the first focus, and then, it is indispensable to promote the concept of food safety and improve the quality elasticity of demand so as to force the construction of a high-quality and high-quality price mechanism for agricultural produce.
- (4)
- The use of cost-sharing contracts can significantly improve the quality of agri-foods in the supply chain, and the subsidized price of agri-foods under certain conditions is lower than before the introduction of the contract, which helps to reduce the selling price and increase sales. Moreover, cost-sharing contracts facilitate the transfer of profit distribution in the supply chain to the producers. Therefore, from the perspective of protecting “small farmers” and increasing consumer surplus, sellers should be encouraged to promote quality upgrading initiatives in the form of cost-sharing.
8. Conclusions
Author Contributions
Funding
Data Availability Statement
Acknowledgments
Conflicts of Interest
References
- Miao, Y.; Huang, J.; Liu, R.; Sun, J. Research hotspots and development trend of high quality and high price in China: Visualization analysis based on citespace. Chin. J. Agric. Resour. Reg. Plan. 2022, 18, 1–15. [Google Scholar]
- Xu, J.; Yao, G.; Dai, P. Quality Decision-Making Behavior of Bodies Participating in the Agri-Foods E-Supply Chain. Sustainability 2020, 12, 1874. [Google Scholar]
- Starbird, S.A. Moral Hazard, Inspection Policy, and Food Safety. Am. J. Agric. Econ. 2005, 87, 15–27. [Google Scholar] [CrossRef]
- Chen, J. Game Analysis of Agri-food Quality Classification under Consumer Selection Behavior. Oper. Res. Manag. Sci. 2020, 29, 68–75. [Google Scholar]
- Messer, K.D.; Costanigro, M.; Kaiser, H.M. Labeling food processes: The good, the bad and the ugly. Appl. Econ. Perspect. Policy 2017, 39, 407–427. [Google Scholar] [CrossRef]
- Bonroy, O.; Constantatos, C. On the economics of labels: How their introduction affects the functioning of markets and the welfare of all participants. Am. J. Agric. Econ. 2015, 97, 239–259. [Google Scholar] [CrossRef] [Green Version]
- Golan, E.; Kuchler, F.; Mitchell, L.; Greene, C.; Jessup, A. Economics of food labeling. J. Consum. Policy 2001, 24, 117–184. [Google Scholar] [CrossRef]
- Hong, X.; Cao, X.; Gong, Y.; Chen, W. Quality information acquisition and disclosure with green manufacturing in a closed-loop supply chain. Int. J. Prod. Econ. 2020, 232, 107997. [Google Scholar] [CrossRef]
- Li, S.; Shao, L. Upgrade Strategies in The Presence of Strategic Consumers. Chin. J. Manag. Sci. 2018, 26, 1–10. [Google Scholar]
- Chen, J.; Liang, L.; Yao, D.Q.; Sun, S. Price and quality decisions in dual-channel supply chains. Eur. J. Oper. Res. 2017, 259, 935–948. [Google Scholar] [CrossRef]
- Li, W.; Chen, J. Pricing and quality competition in a brand-differentiated supply chain. Int. J. Prod. Econ. 2018, 202, 97–108. [Google Scholar] [CrossRef]
- Nie, W.; Bao, H.; Li, T. A Theoretical Basis for and Path Towards Quality Grading System of Agricultural Products in China-Welfare Evaluation Based on Choice Experiment Survey. J. Agrotech. Econ. 2021, 7, 65–78. [Google Scholar]
- Nie, W.; Bao, H.; Li, T. Blocking Mechanism and Attributes Selection of Consumers’ Searching Grading Information of Agricultural Products. J. Huazhong Agric. Univ. 2021, 3, 51–62. [Google Scholar]
- Shao, Y.; Chen, G.; Yang, J. Potential Safety Hazard and Regulation Equilibrium of Primary Agricultural Products in Rural Areas. Collect. Essays Financ. Econ. 2020, 9, 104–112. [Google Scholar]
- Kang, T.; Mu, Y. Asymmetry of Production and Marketing Information and Farmers’ Behavior of Fertilizer Overuse. J. Northwest A F Univ. 2020, 20, 111–119. [Google Scholar]
- Chen, Z.; Yuan, B. Labor Price, Information Asymmetry and Investment in Fine Management Technology—From the Perspective of Differences in Quality Recognition Ability. J. Agrotech. Econ. 2020, 2, 21–31. [Google Scholar]
- Liu, X.; Dong, Y. Quantity, Quality or Price-performance Ratio—On the Impetus and Transformation of China’s Agri-product Exports. J. Int. Trade 2019, 11, 100–115. [Google Scholar]
- Abad, P.L. Supplier pricing and lot sizing when demand is price sensitive. Eur. J. Oper. Res. 1994, 78, 334–354. [Google Scholar] [CrossRef]
- Sadjadi, S.J.; Oroujee, M.; Aryanezhad, M. Optimal production and marketing planning. Comput. Optim. Appl. 2005, 2, 195–203. [Google Scholar] [CrossRef]
- Chan, C.K.; Kingsman, B.G. Coordination in a single-vendor multi-buyer supply chain by synchronizing delivery and production cycles. Transp. Res. Part E 2007, 43, 90–111. [Google Scholar] [CrossRef]
- Dai, T.; Qi, X. An acquisition policy for a multi-supplier system with a finite-time horizon. Comput. Oper. Res. 2007, 34, 2758–2773. [Google Scholar] [CrossRef]
- SeyedEsfahani, M.M.; Biazaran, M.; Gharakhani, M. A game theoretic approach to coordinate pricing and vertical co-op advertising in manufacturer-retailer supply chains. Eur. J. Oper. Res. 2011, 211, 263–273. [Google Scholar] [CrossRef]
- Zhao, Y.; Wang, S.; Cheng, T.E.; Yang, X.; Huang, Z. Coordination of supply chains by option contracts: A cooperative game theory approach. Eur. J. Oper. Res. 2010, 207, 668–675. [Google Scholar] [CrossRef]
- Leng, M.; Parlar, M. Game-theoretic analyses of decentralized assembly supply chains: Non-cooperative equilibriavs coordination with cost-sharing contracts. Eur. J. Oper. Res. 2010, 204, 96–104. [Google Scholar] [CrossRef]
- Esmaeili, M.; Aryanezhad, M.B.; Zeephongsekul, P. A game theory approach in seller-buyer supply chain. Eur. J. Oper. Res. 2009, 195, 442–448. [Google Scholar] [CrossRef]
- Ren, Y.; He, Z.; Luning, P.A. Luning, Performance of food safety management systems of Chinese food business operators in Tianjin. Food Control 2022, 138, 108980. [Google Scholar] [CrossRef]
- Trienekens, J.; Zuurbier, P. Quality and safety standards in the food industry, developments and challenges. Int. J. Prod. Econ. 2008, 113, 107–122. [Google Scholar] [CrossRef]
- Yao, G.X.; Xu, J. Agricultural supply chain decisions research under random yield. Ind. Eng. Manag. 2015, 20, 16–22. [Google Scholar]
- Aftab, S.; Yaseen, M.R.; Anwar, S. Impact of rising food prices on consumer welfare in the most populous countries of South Asia. Int. J. Social Econ. 2017, 44, 1062–1077. [Google Scholar] [CrossRef]
- Jiang, S.; Li, S. Green Supply Chain Game Models and Revenue Sharing Contract with Product Green Degree. Chin. J. Manag. Sci. 2015, 23, 169–176. [Google Scholar]
- Yang, Y.; Yao, G. Fresh agricultural products supply chain coordination considering consumers’ Dual preferences under carbon CAP-and-Trade mechanism. J. Ind. Manag. Optim. 2022. [CrossRef]







| Notations | Descriptions |
|---|---|
| Profit for the agricultural producer | |
| Profit for the agricultural foods seller | |
| Overall profitability of the agricultural supply chain | |
| q | Basic market demand, i.e., the order quantity determined by the seller based on previous years’ sales |
| d | Actual market demand, i.e., the amount of produce ultimately sold by the seller |
| Selling price of produce per unit for the seller before the quality improvement initiative | |
| Selling price of produce per unit for the producer before the quality improvement initiative | |
| Production cost per unit of agricultural produce | |
| Cost of sales per unit of agricultural foods | |
| u | Quality improvement inputs, i.e., the unit cost paid by producers to improve the quality of agricultural produce |
| g | Quality safety degree |
| Price compensation factor after quality inputs | |
| k | Sensitivity coefficient of consumers to the quality of agricultural produce, i.e., quality elasticity of demand |
| b | Sensitivity coefficient of consumers to the price of agricultural produce, i.e., price elasticity of demand |
| z | Production impact factor |
| Variables | Model 1 | Model 2 | Model 3 |
|---|---|---|---|
| 0 | |||
| Variables | Model 1 | Model 2 | Model 3 |
|---|---|---|---|
| 0.5 | 0.8 | 3.4 | |
| 0 | 2.3 | 4.4 | |
| 24 | 25.4 | 17.6 | |
| 75 | 59.8 | ||
| 24 | 46.5 | ||
| 99 | 105.3 | 249.9 |
Publisher’s Note: MDPI stays neutral with regard to jurisdictional claims in published maps and institutional affiliations. |
© 2022 by the authors. Licensee MDPI, Basel, Switzerland. This article is an open access article distributed under the terms and conditions of the Creative Commons Attribution (CC BY) license (https://creativecommons.org/licenses/by/4.0/).
Share and Cite
Xu, J.; Cai, J.; Yao, G.; Dai, P. Strategy Optimization of Quality Improvement and Price Subsidy of Agri-Foods Supply Chain. Foods 2022, 11, 1761. https://doi.org/10.3390/foods11121761
Xu J, Cai J, Yao G, Dai P. Strategy Optimization of Quality Improvement and Price Subsidy of Agri-Foods Supply Chain. Foods. 2022; 11(12):1761. https://doi.org/10.3390/foods11121761
Chicago/Turabian StyleXu, Jing, Jiajia Cai, Guanxin Yao, and Panqian Dai. 2022. "Strategy Optimization of Quality Improvement and Price Subsidy of Agri-Foods Supply Chain" Foods 11, no. 12: 1761. https://doi.org/10.3390/foods11121761
APA StyleXu, J., Cai, J., Yao, G., & Dai, P. (2022). Strategy Optimization of Quality Improvement and Price Subsidy of Agri-Foods Supply Chain. Foods, 11(12), 1761. https://doi.org/10.3390/foods11121761
