Effect of Psyllium on Physical Properties, Composition and Acceptability of Whole Grain Breads
Abstract
:1. Introduction
2. Materials and Methods
2.1. Materials
2.2. Methods
2.2.1. Dough Rheology
2.2.2. Bread Making
2.2.3. Bread Characteristics
2.2.4. Proximate Composition
2.2.5. Sensory Analysis
2.2.6. Statistical Analysis
3. Results and Discussion
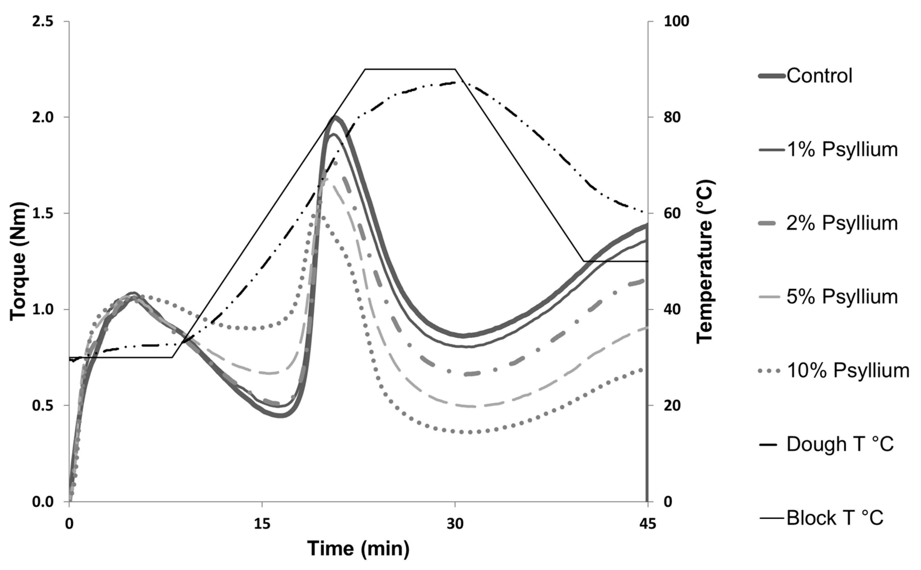
3.1. Dough Rheology
3.2. Bread Quality
3.3. Proximate Composition
3.4. Acceptability
4. Conclusions
Author Contributions
Funding
Institutional Review Board Statement
Informed Consent Statement
Data Availability Statement
Acknowledgments
Conflicts of Interest
References
- Seal, C.J.; Courtin, C.M.; Venema, K.; de Vries, J. Health benefits of whole grain: Effects on dietary carbohydrate quality, the gut microbiome, and consequences of processing. Compr. Rev. Food Sci. Food Saf. 2021, 20, 2742–2768. [Google Scholar] [CrossRef] [PubMed]
- Gómez, M.; Gutkoski, L.C.; Bravo-Nunez, A. Understanding whole-wheat flour and its effect in breads: A review. Compr. Rev. Food Sci. Food Saf. 2020, 19, 3241–3265. [Google Scholar] [CrossRef] [PubMed]
- Global Burden of Disease 2017 Diet Collaborators. Health effects of dietary risks in 195 countries, 1990–2017: A systematic analysis for the Global Burden of Disease Study 2017. Lancet 2019, 393, 1958–1972. [Google Scholar] [CrossRef] [Green Version]
- Reynolds, A.N.; Mann, J.; Cummings, J.H.; Winter, N.; Mete, E.; Te Morenga, L. Carbohydrate quality and human health: A series of systematic reviews and meta-analyses. Lancet 2019, 393, 434–445. [Google Scholar] [CrossRef] [Green Version]
- Robinson, E.; Chambers, L. The challenge of increasing wholegrain intake in the UK. Nutr. Bull. 2018, 43, 135–146. [Google Scholar] [CrossRef]
- Heinio, R.L.; Noort, M.W.J.; Katina, K.; Alam, S.A.; Sozer, N.; de Kock, H.L.; Hersleth, M.; Poutanen, K. Sensory characteristics of wholegrain and bran-rich cereal foods-A review. Trends Food Sci Technol. 2016, 47, 25–38. [Google Scholar] [CrossRef] [Green Version]
- Rosell, C.M.; Rojas, J.A.; de Barber, C.B. Influence of hydrocolloids on dough rheology and bread quality. Food Hydrocoll. 2001, 15, 75–81. [Google Scholar] [CrossRef]
- Tebben, L.; Li, Y.H. Effect of xanthan gum on dough properties and bread qualities made from whole wheat flour. Cereal Chem. 2019, 96, 263–272. [Google Scholar] [CrossRef]
- Belorio, M.; Gómez, M. Effect of hydration on gluten-free breads made with hydroxypropyl methylcellulose in comparison with psyllium and xanthan gum. Foods 2020, 9, 1548. [Google Scholar] [CrossRef]
- Belorio, M.; Gómez, M. Psyllium: A useful functional ingredient in food systems. Crit. Rev. Food Sci. Nutr. 2021, 62, 527–538. [Google Scholar] [CrossRef]
- Franco, E.A.N.; Sanches-Silva, A.; Ribero-Santos, R.; de Melo, N.R. Psyllium (Plantago ovata Forsk): From evidence of health benefits to its food application. Trends Food Sci. Technol. 2020, 96, 166–175. [Google Scholar] [CrossRef]
- Warnberg, J.; Marcos, A.; Bueno, G.; Moreno, L.A. Functional benefits of psyllium fibre supplementation. Curr. Top. Nutraceutical Res. 2009, 7, 55–63. [Google Scholar]
- Belorio, M.; Marcondes, G.; Gómez, M. Influence of psyllium versus xanthan gum in starch properties. Food Hydrocoll. 2020, 105, 105843. [Google Scholar] [CrossRef]
- Filipcev, B.; Pojic, M.; Simurina, O.; Misan, A.; Mandic, A. Psyllium as an improver in gluten-free breads: Effect on volume, crumb texture, moisture binding and staling kinetics. LWT-Food Sci. Technol. 2021, 151, 112156. [Google Scholar] [CrossRef]
- Haque, A.; Morris, E.R. Combined use of ispaghula and HPMC to replace or augment gluten in breadmaking. Food Res. Int. 1994, 27, 379–393. [Google Scholar] [CrossRef]
- Mariotti, M.; Lucisano, M.; Pagani, M.A.; Ng, P.K.W. The role of corn starch, amaranth flour, pea isolate, and Psyllium flour on the rheological properties and the ultrastructure of gluten-free doughs. Food Res. Int. 2009, 42, 963–975. [Google Scholar] [CrossRef]
- Farbo, M.G.; Fadda, C.; Marceddu, S.; Conte, P.; Del Caro, A.; Piga, A. Improving the quality of dough obtained with old durum wheat using hydrocolloids. Food Hydrocoll. 2020, 101, 105467. [Google Scholar] [CrossRef]
- Mironeasa, S.; Codina, G.G. Optimization of bread quality of wheat flour with psyllium addition by using response surface. J. Culin. Sci. Technol. 2021, 1–16. [Google Scholar] [CrossRef]
- Pejcz, E.; Spychaj, R.; Wojciechowicz-Budzisz, A.; Gil, Z. The effect of Plantago seeds and husk on wheat dough and bread functional properties. LWT-Food Sci. Technol. 2018, 96, 371–377. [Google Scholar] [CrossRef]
- AACC International. Determination of rheological behavior as a function of mixing and temperature increase in wheat flour and whole wheat meal by mixolab. In Approved Methods of Analysis, 11th ed.; Method 54-60.01; Approved 28 May 2010; Cereals & Grains Association: St. Paul, MN, USA, 2010. [Google Scholar]
- Gómez, M.; Ronda, F.; Caballero, P.; Blanco, C.; Rosell, C.M. Functionality of different hydrocolloids on the quality and shelf-life of yellow layer cakes. Food Hydrocoll. 2007, 21, 167–173. [Google Scholar] [CrossRef]
- AACC International. Method 44-15.02. Moisture—ASBC air-oven method. In Approved Methods of Analysis, 11th ed.; Approved 3 November 1999; Cereals & Grains Association: St. Paul, MN, USA, 1999. [Google Scholar]
- Shin, J.M.; Hwang, Y.O.; Tu, O.J.; Jo, H.B.; Kim, J.H.; Chae, Y.Z.; Rhu, K.H.; Park, S.K. Comparison of different methods to quantify fat classes in bakery products. Food Chem. 2013, 136, 703–709. [Google Scholar] [CrossRef] [PubMed]
- AACC International. Method 46-10.01. Crude protein—Improved kjeldahl method. In Approved Methods of Analysis, 11th ed.; Approved 3 November 1999; Cereals & Grains Association: St. Paul, MN, USA, 1999. [Google Scholar]
- AACC International. Method 08-01.01. Ash—Basic method. In Approved Methods of Analysis, 11th ed.; Approved 20 May 2020; Cereals & Grains Association: St. Paul, MN, USA, 2020. [Google Scholar]
- AOAC International. Enzymatic-gravimetric method (985.29). Total dietary fibre in foods. In Official Methods of Analysis of AOAC International, 16th ed.; AOAC International: Gaithersburg, MD, USA, 1997. [Google Scholar]
- Atzler, J.J.; Sahin, A.W.; Gallagher, E.; Zannini, E.; Arendt, E.K. Investigation of different dietary-fibre-ingredients for the design of a fibre enriched bread formulation low in FODMAPs based on wheat starch and vital gluten. Eur. Food Res. Technol. 2021, 247, 1939–1957. [Google Scholar] [CrossRef]
- Abdullah, M.M.; Aldughpassi, A.D.H.; Sidhu, J.S.; Al-Foudari, M.Y.; Al-Othman, A.R.A. Effect of psyllium husk addition on the instrumental texture and consumer acceptability of high-fiber wheat pan bread and buns. Ann. Agric. Sci. 2021, 66, 75–80. [Google Scholar] [CrossRef]
- Fratelli, C.; Muniz, D.G.; Santos, F.G.; Capriles, V.D. Modelling the effects of psyllium and water in gluten-free bread: An approach to improve the bread quality and glycemic response. J. Funct. Foods 2018, 42, 339–345. [Google Scholar] [CrossRef]
- Rosell, C.M.; Collar, C.; Haros, M. Assessment of hydrocolloid effects on the thermo-mechanical properties of wheat using the Mixolab. Food Hydrocoll. 2007, 21, 452–462. [Google Scholar] [CrossRef]
- Zeng, M.; Morris, C.F.; Batey, I.L.; Wrigley, C.W. Sources of variation for starch gelatinization, pasting, and gelation properties in wheat. Cereal Chem. 1997, 74, 63–71. [Google Scholar] [CrossRef]
- Mancebo, C.M.; San Miguel, M.A.; Martinez, M.M.; Gomez, M. Optimisation of rheological properties of gluten-free doughs with HPMC, psyllium and different levels of water. J. Cereal Sci. 2015, 61, 8–15. [Google Scholar] [CrossRef]
- Collar, C.; Conte, P.; Fadda, C.; Piga, A. Gluten-free dough-making of specialty breads: Significance of blended starches, flours and additives on dough behaviour. Food Sci. Technol. Int. 2015, 21, 523–536. [Google Scholar] [CrossRef] [Green Version]
- BeMiller, J.N. Pasting, paste, and gel properties of starch–hydrocolloid combinations. Carbohydr. Polym. 2011, 86, 386–423. [Google Scholar] [CrossRef]
- Doublier, J.L.; Llamas, G.; Lemeur, M. A rheological investigation of cereal starch pastes and gels effect of pasting procedures. Carbohydr. Polym. 1987, 7, 251–275. [Google Scholar] [CrossRef]
- Fratelli, C.; Santos, F.G.; Muniz, D.G.; Habu, S.; Braga, A.R.C.; Capriles, V.D. Psyllium improves the quality and shelf life of gluten-free bread. Foods 2021, 10, 954. [Google Scholar] [CrossRef] [PubMed]
- Biliaderis, C.G.; Izydorczyk, M.S.; Rattan, O. Effect of arabinoxylans on bread-making quality of wheat flours. Food Chem. 1995, 53, 165–171. [Google Scholar] [CrossRef]
- Fadda, C.; Sanguinetti, A.M.; Del Caro, A.; Collar, C.; Piga, A. Bread staling: Updating the view. Compr. Rev. Food Sci. Food Saf. 2014, 13, 473–492. [Google Scholar] [CrossRef] [PubMed] [Green Version]
- Zhang, J.; Wen, C.; Zhang, H.; Duan, Y. Review of isolation, structural properties, chain conformation, and bioactivities of psyllium polysaccharides. Int. J. Biol. Macromol. 2019, 139, 409–420. [Google Scholar] [CrossRef] [PubMed]
- Jiang, D.; Peterson, D.G. Identification of bitter compounds in whole wheat bread. Food Chem. 2013, 141, 1345–1353. [Google Scholar] [CrossRef]
- Moriartey, S.; Temelli, F.; Vasanthan, T. Effect of health information on consumer acceptability of bread fortified with beta-glucan and effect of fortification on bread quality. Cereal Chem. 2010, 87, 428–433. [Google Scholar] [CrossRef]


| Flour | Weight Loss (%) | Specific Volume (cm3/g) | Bread Height/Width (mm) |
|---|---|---|---|
| Control | 0.18 ± 0.00 a | 2.14 ± 0.07 a | 0.23 ± 0.01 a |
| PSY 1% | 0.18 ± 0.02 a | 1.97 ± 0.16 a | 0.35 ± 0.09 ab |
| PSY 2% | 0.17 ± 0.01 a | 1.98 ± 0.11 a | 0.42 ± 0.07 bc |
| PSY 5% | 0.17 ± 0.01 a | 2.16 ± 0.08 a | 0.59 ± 0.05 bc |
| PSY 10% | 0.18 ± 0.0 a | 2.20 ± 0.06 a | 0.68 ± 0.09 c |
| Flour | Hardness (N) | Cohesiveness | Resilience | Chewiness (N) | Δ Hardness (%) |
|---|---|---|---|---|---|
| Control | 16.15 ± 2.31 b | 0.79 ± 0.02 ab | 0.47 ± 0.01 a | 11.73 ± 1.50 c | 12.75 ± 1.50 b |
| PSY 1% | 16.42 ± 3.48 b | 0.78 ± 0.01 a | 0.48 ± 0.01a | 11.84 ± 2.61 c | 12.79 ± 2.50 b |
| PSY 2% | 12.76 ± 1.50 b | 0.80 ± 0.00 ab | 0.51 ± 0 ab | 9.66 ± 1.23 bc | 10.16 ± 1.20 b |
| PSY 5% | 5.88 ± 0.39 a | 0.82 ± 0.00 bc | 0.53 ± 0.01 bc | 5.77 ± 1.84 ab | 4.84 ± 0.33 a |
| PSY 10% | 2.98 ± 0.43 a | 0.84 ± 0.025 c | 0.55 ± 0.02 c | 3.98 ± 0.08 a | 2.50 ± 0.29 a |
| Flour | Moisture | Ashes | Protein | Fats | Fibre | Other Carbohydrates |
|---|---|---|---|---|---|---|
| Control | 39.53 ± 2.41 a | 2.28 ± 0.05 b | 8.62 ± 0.02 e | <0.1 | 7.83 ± 0.10 a | 41.74 ± 2.74 c |
| PSY 1% | 38.55 ± 0.53 a | 2.28 ± 0.04 b | 8.38 ± 0.08 d | <0.1 | 8.62 ± 0.22 ab | 42.17 ± 0.63 c |
| PSY 2% | 40.28 ± 0.40 a | 2.16 ± 0.03 b | 8.10 ± 0.00 c | <0.1 | 9.31 ± 0.08 bc | 40.15 ± 0.19 c |
| PSY 5% | 44.77 ± 0.75 b | 1.80 ± 0.09 a | 7.16 ± 0.01 b | <0.1 | 9.33 ± 0.92 bc | 36.94 ± 0.26 b |
| PSY 10% | 50.10 ± 0.62 c | 1.72 ± 0.01 a | 6.30 ± 0.01 a | <0.1 | 9.93 ± 0.39 c | 31.95 ± 1.03 a |
| Flour | Appearance | Odour | Taste | Texture | Overall Acceptability |
|---|---|---|---|---|---|
| Control | 7.27 ± 1.37 b | 6.76 ± 1.37 a | 6.19 ± 1.55 a | 5.74 ± 1.76 a | 6.45 ± 1.38 a |
| PSY 2% | 7.26 ± 1.13 b | 6.85 ± 1.35 a | 6.75 ± 1.37 b | 6.74 ± 1.42 bc | 6.87 ± 1.08 b |
| PSY 5% | 7.18 ± 1.22 b | 6.85 ± 1.35 a | 6.93 ± 1.37 b | 7.10 ± 1.48 c | 7.24 ± 1.09 c |
| PSY 10% | 5.97 ± 1.88 a | 6.93 ± 1.17 a | 6.65 ± 1.59 b | 6.55 ± 1.85 b | 6.76 ± 1.47 ab |
Publisher’s Note: MDPI stays neutral with regard to jurisdictional claims in published maps and institutional affiliations. |
© 2022 by the authors. Licensee MDPI, Basel, Switzerland. This article is an open access article distributed under the terms and conditions of the Creative Commons Attribution (CC BY) license (https://creativecommons.org/licenses/by/4.0/).
Share and Cite
Franco, M.; Gómez, M. Effect of Psyllium on Physical Properties, Composition and Acceptability of Whole Grain Breads. Foods 2022, 11, 1685. https://doi.org/10.3390/foods11121685
Franco M, Gómez M. Effect of Psyllium on Physical Properties, Composition and Acceptability of Whole Grain Breads. Foods. 2022; 11(12):1685. https://doi.org/10.3390/foods11121685
Chicago/Turabian StyleFranco, Maria, and Manuel Gómez. 2022. "Effect of Psyllium on Physical Properties, Composition and Acceptability of Whole Grain Breads" Foods 11, no. 12: 1685. https://doi.org/10.3390/foods11121685
APA StyleFranco, M., & Gómez, M. (2022). Effect of Psyllium on Physical Properties, Composition and Acceptability of Whole Grain Breads. Foods, 11(12), 1685. https://doi.org/10.3390/foods11121685

