Strategies and Challenges for Successful Implementation of Green Economy Concept: Edible Materials for Meat Products Packaging
Abstract
:1. Introduction
2. Materials and Methods
2.1. Materials
2.2. Development of Biopolymers—Based Films
2.3. Evaluation of Physical and Optical Properties
2.4. Determination of Mechanical Properties
2.5. Evaluation of Solubility Characteristics
2.6. Identification of Microbiological Stability
2.7. Testing of Food Packaged in Biopolymer Foils
2.8. Statistical Analysis
3. Results
3.1. Evaluation of the Developed Biopolymer-Based Films
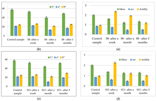
3.2. Salami Packaged in Biopolymer Foils
4. Conclusions
Author Contributions
Funding
Institutional Review Board Statement
Informed Consent Statement
Data Availability Statement
Acknowledgments
Conflicts of Interest
References
- Asgher, M.; Qamar, S.A.; Bilal, M.; Iqbal, H.M. Bio-based active food packaging materials: Sustainable alternative to conventional petrochemical-based packaging materials. Food Res. Int. 2020, 137, 109625. [Google Scholar] [CrossRef] [PubMed]
- Aykın-Dinçer, E.; Erbaş, M. Effect of packaging method and storage temperature on quality properties of cold-dried beef slices. LWT 2020, 124, 109171. [Google Scholar] [CrossRef]
- Bonnet, C.; Bouamra-Mechemache, Z.; Réquillart, V.; Treich, N. Viewpoint: Regulating meat consumption to improve health, the environment and animal welfare. Food Policy 2020, 97, 101847. [Google Scholar] [CrossRef]
- Hauschild, P.; Vogel, R.F.; Hilgarth, M. Influence of the packaging atmosphere and presence of co-contaminants on the growth of photobacteria on chicken meat. Int. J. Food Microbiol. 2021, 351, 109264. [Google Scholar] [CrossRef] [PubMed]
- Xu, M.M.; Kaur, M.; Pillidge, C.J.; Torley, P.J. Evaluation of the potential of protective cultures to extend the microbial shelf-life of chilled lamb meat. Meat Sci. 2021, 181, 108613. [Google Scholar] [CrossRef] [PubMed]
- Pandey, V.K.; Upadhyay, S.N.; Niranjan, K.; Mishra, P.K. Antimicrobial biodegradable chitosan-based composite Nano-layers for food packaging. Int. J. Biol. Macromol. 2020, 157, 212–219. [Google Scholar] [CrossRef]
- EUR-Lex-32004R1935-EN-EUR-Lex. Available online: https://eur-lex.europa.eu/legal-content/EN/ALL/?uri=celex%3A32004R1935 (accessed on 24 October 2021).
- Food Contact Materials. Available online: https://ec.europa.eu/food/safety/chemical-safety/food-contact-materials_ro (accessed on 24 October 2021).
- Guidelines on submission of a dossier for safety evaluation by the EFSA of a recycling process to produce recycled plastics intended to be used for manufacture of materials and articles in contact with food-Opinion of the Scientific Panel on food additives, flavourings, processing aids and materials in contact with food (AFC). EFSA J. 2008, 6. [CrossRef] [Green Version]
- Matthews, C.; Moran, F.; Jaiswal, A.K. A review on European Union’s strategy for plastics in a circular economy and its impact on food safety. J. Clean. Prod. 2021, 283, 125263. [Google Scholar] [CrossRef]
- Horizon 2020 | Horizon 2020. Available online: https://ec.europa.eu/programmes/horizon2020/en/home (accessed on 24 October 2021).
- Sanches, M.A.R.; Camelo-Silva, C.; Carvalho, C.D.S.; de Mello, J.R.; Barroso, N.G.; Barros, E.L.D.S.; Silva, P.P.; Pertuzatti, P.B. Active packaging with starch, red cabbage extract and sweet whey: Characterization and application in meat. LWT 2020, 135, 110275. [Google Scholar] [CrossRef]
- Vinod, A.; Sanjay, M.; Suchart, S.; Jyotishkumar, P. Renewable and sustainable biobased materials: An assessment on biofibers, biofilms, biopolymers and biocomposites. J. Clean. Prod. 2020, 258, 120978. [Google Scholar] [CrossRef]
- Mohamed, S.A.A.; El-Sakhawy, M.; El-Sakhawy, M.A.M. Polysaccharides, Protein and Lipid -Based Natural Edible Films in Food Packaging: A Review. Carbohydr. Polym. 2020, 238, 116178. [Google Scholar] [CrossRef]
- Vilarinho, F.; Stanzione, M.; Buonocore, G.; Barbosa-Pereira, L.; Sendón, R.; Vaz, M.; Silva, A.S. Green tea extract and nanocellulose embedded into polylactic acid film: Properties and efficiency on retarding the lipid oxidation of a model fatty food. Food Packag. Shelf Life 2021, 27, 100609. [Google Scholar] [CrossRef]
- Kumar, S.; Mukherjee, A.; Dutta, J. Chitosan based nanocomposite films and coatings: Emerging antimicrobial food packaging alternatives. Trends Food Sci. Technol. 2020, 97, 196–209. [Google Scholar] [CrossRef]
- Moeini, A.; Germann, N.; Malinconico, M.; Santagata, G. Formulation of secondary compounds as additives of biopolymer-based food packaging: A review. Trends Food Sci. Technol. 2021, 114, 342–354. [Google Scholar] [CrossRef]
- Xiong, Y.; Li, S.; Warner, R.D.; Fang, Z. Effect of oregano essential oil and resveratrol nanoemulsion loaded pectin edible coating on the preservation of pork loin in modified atmosphere packaging. Food Control 2020, 114, 107226. [Google Scholar] [CrossRef]
- Smaoui, S.; Ben Hlima, H.; Tavares, L.; Ennouri, K.; Ben Braiek, O.; Mellouli, L.; Abdelkafi, S.; Khaneghah, A.M. Application of essential oils in meat packaging: A systemic review of recent literature. Food Control 2022, 132, 108566. [Google Scholar] [CrossRef]
- Pérez, M.J.; Moreno, M.A.; Martínez-Abad, A.; Cattaneo, F.; Zampini, C.; Isla, M.I.; López-Rubio, A.; Fabra, M.J. Interest of black carob extract for the development of active biopolymer films for cheese preservation. Food Hydrocoll. 2020, 113, 106436. [Google Scholar] [CrossRef]
- Jafarzadeh, S.; Salehabadi, A.; Nafchi, A.M.; Oladzadabbasabadi, N.; Jafari, S.M. Cheese packaging by edible coatings and biodegradable nanocomposites; improvement in shelf life, physicochemical and sensory properties. Trends Food Sci. Technol. 2021, 116, 218–231. [Google Scholar] [CrossRef]
- Al-Moghazy, M.; El-Sayed, H.S.; Salama, H.H.; Nada, A.A. Edible packaging coating of encapsulated thyme essential oil in liposomal chitosan emulsions to improve the shelf life of Karish cheese. Food Biosci. 2021, 43, 101230. [Google Scholar] [CrossRef]
- Lima, R.; Carvalho, A.; Vieira, C.; Moreira, R.; Conte-Junior, C. Green and Healthier Alternatives to Chemical Additives as Cheese Preservative: Natural Antimicrobials in Active Nanopackaging/Coatings. Polymers 2021, 13, 2675. [Google Scholar] [CrossRef]
- Ahankari, S.S.; Subhedar, A.R.; Bhadauria, S.S.; Dufresne, A. Nanocellulose in food packaging: A review. Carbohydr. Polym. 2021, 255, 117479. [Google Scholar] [CrossRef] [PubMed]
- Ghosh, T.; Katiyar, V. Edible Food Packaging: An Introduction. Nanotechnology in Edible Food Packaging; Springer: Singapore, 2021; pp. 1–23. [Google Scholar] [CrossRef]
- Petkoska, A.T.; Daniloski, D.; D’Cunha, N.M.; Naumovski, N.; Broach, A.T. Edible packaging: Sustainable solutions and novel trends in food packaging. Food Res. Int. 2021, 140, 109981. [Google Scholar] [CrossRef] [PubMed]
- Verma, M.K.; Shakya, S.; Kumar, P.; Madhavi, J.; Murugaiyan, J.; Rao, M.V.R. Trends in packaging material for food products: Historical background, current scenario, and future prospects. J. Food Sci. Technol. 2021, 58, 4069–4082. [Google Scholar] [CrossRef]
- Puscaselu, R.G.; Besliu, I.; Gutt, G. Edible Biopolymers-Based Materials for Food Applications—The Eco Alternative to Conventional Synthetic Packaging. Polymers 2021, 13, 3779. [Google Scholar] [CrossRef]
- Kandeepan, G. Biodegradable Nanocomposite Packaging Films for Meat and Meat Products: A Review. J. Packag. Technol. Res. 2021, 5, 143–166. [Google Scholar] [CrossRef]
- Umaraw, P.; Munekata, P.E.; Verma, A.K.; Barba, F.J.; Singh, V.; Kumar, P.; Lorenzo, J.M. Edible films/coating with tailored properties for active packaging of meat, fish and derived products. Trends Food Sci. Technol. 2020, 98, 10–24. [Google Scholar] [CrossRef]
- Wang, C.; Chang, T.; Dong, S.; Zhang, D.; Ma, C.; Chen, S.; Li, H. Biopolymer films based on chitosan/potato protein/linseed oil/ZnO NPs to maintain the storage quality of raw meat. Food Chem. 2020, 332, 127375. [Google Scholar] [CrossRef]
- Martiny, T.R.; Raghavan, V.; De Moraes, C.C.; Da Rosa, G.S.; Dotto, G.L. Bio-Based Active Packaging: Carrageenan Film with Olive Leaf Extract for Lamb Meat Preservation. Foods 2020, 9, 1759. [Google Scholar] [CrossRef]
- Wongphan, P.; Harnkarnsujarit, N. Characterization of starch, agar and maltodextrin blends for controlled dissolution of edible films. Int. J. Biol. Macromol. 2020, 156, 80–93. [Google Scholar] [CrossRef]
- Olatunji, O. Agar. In Aquatic Biopolymers. Springer Series on Polymer and Composite Materials; Springer: Cham, Switzerland, 2020; pp. 145–168. [Google Scholar] [CrossRef]
- Eltabakh, M.; Kassab, H.; Badawy, W.; Abdin, M.; Abdelhady, S. Active Bio-composite Sodium Alginate/Maltodextrin Packaging Films for Food Containing Azolla pinnata Leaves Extract as Natural Antioxidant. J. Polym. Environ. 2021, 1–11. [Google Scholar] [CrossRef]
- Hidayati, S.; Zulferiyenni; Maulidia, U.; Satyajaya, W.; Hadi, S. Effect of glycerol concentration and carboxy methyl cellulose on biodegradable film characteristics of seaweed waste. Heliyon 2021, 7, 07799. [Google Scholar] [CrossRef]
- Puscaselu, R.G.; Amariei, S.; Norocel, L.; Gutt, G. New Edible Packaging Material with Function in Shelf Life Extension: Applications for the Meat and Cheese Industries. Foods 2020, 9, 562. [Google Scholar] [CrossRef]
- ASTM D882-18 Standard Test Method for Tensile Properties of Thin Plastic Sheeting. Available online: https://www.astm.org/Standards/D882 (accessed on 9 July 2021).
- Singh, P.; Baisthakur, P.; Yemul, O.S. Synthesis, characterization and application of crosslinked alginate as green packaging material. Heliyon 2020, 6, e03026. [Google Scholar] [CrossRef] [PubMed] [Green Version]
- Tarique, J.; Sapuan, S.M.; Khalina, A. Effect of glycerol plasticizer loading on the physical, mechanical, thermal, and barrier properties of arrowroot (Maranta arundinacea) starch biopolymers. Sci. Rep. 2021, 11, 13900. [Google Scholar] [CrossRef]
- Aitboulahsen, M.; El Galiou, O.; Laglaoui, A.; Bakkali, M.; Zerrouk, M.H. Effect of plasticizer type and essential oils on mechanical, physicochemical, and antimicrobial characteristics of gelatin, starch, and pectin-based films. J. Food Process. Preserv. 2020, 44, 14480. [Google Scholar] [CrossRef]
- Lim, W.S.; Ock, S.Y.; Park, G.D.; Lee, I.W.; Lee, M.H.; Park, H.J. Heat-sealing property of cassava starch film plasticized with glycerol and sorbitol. Food Packag. Shelf Life 2020, 26, 100556. [Google Scholar] [CrossRef]
- Huntrakul, K.; Harnkarnsujarit, N. Effects of plasticizers on water sorption and aging stability of whey protein/carboxy methyl cellulose films. J. Food Eng. 2020, 272, 109809. [Google Scholar] [CrossRef]
- Ballesteros-Mártinez, L.; Pérez-Cervera, C.; Andrade-Pizarro, R. Effect of glycerol and sorbitol concentrations on mechanical, optical, and barrier properties of sweet potato starch film. NFS J. 2020, 20, 1–9. [Google Scholar] [CrossRef]
- Chen, J.; Wu, A.; Yang, M.; Ge, Y.; Pristijono, P.; Li, J.; Xu, B.; Mi, H. Characterization of sodium alginate-based films incorporated with thymol for fresh-cut apple packaging. Food Control. 2021, 126, 108063. [Google Scholar] [CrossRef]
- Harnkarnsujarit, N.; Li, Y. Structure-property modification of microcrystalline cellulose film using agar and propylene glycol alginate. J. Appl. Polym. Sci. 2017, 134, 45533. [Google Scholar] [CrossRef]
- Puscaselu, R.; Gutt, G.; Amariei, S. Rethinking the Future of Food Packaging: Biobased Edible Films for Powdered Food and Drinks. Molecules 2019, 24, 3136. [Google Scholar] [CrossRef] [PubMed] [Green Version]
- Fathiraja, P.; Gopalrajan, S.; Karunanithi, M.; Nagarajan, M.; Obaiah, M.C.; Durairaj, S.; Neethirajan, N. Response surface methodology model to optimize concentration of agar, alginate and carrageenan for the improved properties of biopolymer film. Polym. Bull. 2021, 123AD, 1–27. [Google Scholar] [CrossRef]
- Moreira, M.D.R.; Pereda, M.; Marcovich, N.E.; Roura, S.I. Antimicrobial Effectiveness of Bioactive Packaging Materials from Edible Chitosan and Casein Polymers: Assessment on Carrot, Cheese, and Salami. J. Food Sci. 2010, 76, M54–M63. [Google Scholar] [CrossRef]
- Lourenço, S.C.; Fraqueza, M.J.; Fernandes, M.H.; Moldão-Martins, M.; Alves, V.D. Application of Edible Alginate Films with Pineapple Peel Active Compounds on Beef Meat Preservation. Antioxidants 2020, 9, 667. [Google Scholar] [CrossRef] [PubMed]
- Alexandre, S.; Vital, A.C.P.; Mottin, C.; Prado, R.M.D.; Ornaghi, M.G.; Ramos, T.R.; Guerrero, A.; Pilau, E.J.; Prado, I.N.D. Use of alginate edible coating and basil (Ocimum spp) extracts on beef characteristics during storage. J. Food Sci. Technol. 2020, 58, 3835–3843. [Google Scholar] [CrossRef] [PubMed]
- Hosseini, M.; Jamshidi, A.; Raeisi, M.; Azizzadeh, M. Effect of sodium alginate coating containing clove (Syzygium Aromaticum) and lemon verbena ( Aloysia Citriodora ) essential oils and different packaging treatments on shelf life extension of refrigerated chicken breast. J. Food Process. Preserv. 2021, 45, 14946. [Google Scholar] [CrossRef]
- Kang, Z.-L.; Wang, T.-T.; Li, Y.-P.; Li, K.; Ma, H.-J. Effect of sodium alginate on physical-chemical, protein conformation and sensory of low-fat frankfurters. Meat Sci. 2020, 162, 108043. [Google Scholar] [CrossRef]
- Xavier, L.O.; Sganzerla, W.G.; Rosa, G.B.; da Rosa, C.G.; Agostinetto, L.; Veeck, A.P.D.L.; Bretanha, L.C.; Micke, G.A.; Costa, M.D.; Bertoldi, F.C.; et al. Chitosan packaging functionalized with Cinnamodendron dinisii essential oil loaded zein: A proposal for meat conservation. Int. J. Biol. Macromol. 2021, 169, 183–193. [Google Scholar] [CrossRef]
- Duran, A.; Kahve, H.I. The effect of chitosan coating and vacuum packaging on the microbiological and chemical properties of beef. Meat Sci. 2020, 162, 107961. [Google Scholar] [CrossRef] [PubMed]









| Film | Agar, (g) | Sodium Alginate, (g) | Glycerol, (g) | Water, (mL) |
|---|---|---|---|---|
| S1 | 2 | 1.5 | 1 | 150 |
| S2 | 1.5 | 2 | 1 | |
| S3 | 1.75 | 1.75 | 1 | |
| S4 | 3 | 0.5 | 1 | |
| S5 | 0.5 | 3 | 1 | |
| S6 | 1.875 | 1.875 | 0.75 | |
| S7 | 2 | 1.75 | 0.75 | |
| S8 | 1.75 | 2 | 0.75 | |
| S9 | 3 | 0.75 | 0.75 | |
| S10 | 0.75 | 3 | 0.75 | |
| S11 | 2 | 2 | 0.5 | |
| S12 | 1 | 3 | 0.5 | |
| S13 | 3 | 1 | 0.5 | |
| S14 | 2.5 | 1.5 | 0.5 | |
| S15 | 1.5 | 2.5 | 0.5 |
| Film | Adhesivity | Surface | Multiple Bends | Margins Uniformity | Pores/Fissures |
|---|---|---|---|---|---|
| S1 | high | rough on the outside | yes | yes | - |
| S2 | medium | smooth | yes | yes | - |
| S3 | medium | rough on the outside | yes | yes | - |
| S4 | high | very smooth and glossy | yes | yes | - |
| S5 | medium | rough on the outside | yes | yes | - |
| S6 | low | rough on the outside | yes | yes | - |
| S7 | medium | rough on the outside | yes | yes | - |
| S8 | medium | very smooth | yes | yes | - |
| S9 | low | rough, with tendency to tighten | yes | yes | - |
| S10 | medium | smooth | yes | yes | - |
| S11 | medium | very smooth | yes | yes | - |
| S12 | high | smooth | yes | yes, tendency to twist | - |
| S13 | medium | very smooth | yes | yes | - |
| S14 | low | rough on the outside | yes | yes | - |
| S15 | high | rough on the outside | yes | yes | - |
| Samples | Drying Time, h | Thickness, µm | Retraction Ratio, % | Water Activity, aw | Tensile Strength, MPa | Elongation, % |
|---|---|---|---|---|---|---|
| S1 | 42 | 72.30 a ± 0.83 | 4.55 h ± 0.91 | 0.3686 b ± 0.15 | 10.75 j ± 0.20 | 22.45 k ± 0.28 |
| S2 | 68 | 55.00 c,d ±1.01 | 25.90 d,e ± 0.87 | 0.3381 c,d ± 0.33 | 16.85 g ± 0.82 | 53.10 d ± 0.27 |
| S3 | 56 | 64.20 b ± 1.48 | 14.85 f ± 1.74 | 0.3970 a ± 0.66 | 2.15 l ± 0.95 | 17.70 m ± 0.93 |
| S4 | 36 | 40.30 g,h ± 0.96 | 46.50 a,b ± 0.94 | 0.3321 d ± 0.33 | 26.75 d ± 0.11 | 33.30 i ± 0.21 |
| S5 | 72 | 51.90 e,f ± 0.83 | 31.50 c,d ± 1.10 | 0.3512 c ± 0.77 | 25.45 e ± 0.19 | 21.20 l ± 0.28 |
| S6 | 56 | 71.70 a ± 1.30 | 5.15 g,h ± 1.12 | 0.3300 d ± 0.15 | 10.85 i,j ± 0.19 | 42.20 f ± 0.36 |
| S7 | 62 | 37.70 h,I ± 1.51 | 50.20 a ± 1.71 | 0.3131 d ± 0.72 | 21.55 f ± 0.30 | 42.70 e ± 0.52 |
| S8 | 68 | 36.30 i ± 0.89 | 51.80 a ± 0.82 | 0.3406 c,d ± 0.33 | 47.40 a ± 0.20 | 92.15 a ± 0.32 |
| S9 | 36 | 66.30 b ± 1.30 | 12.45 f ± 1.32 | 0.3311 d ± 0.33 | 14.45 h ± 0.37 | 17.45 m ± 0.15 |
| S10 | 72 | 58.00 c ± 1.35 | 22.10 e ± 1.10 | 0.3729 b ± 0.77 | 2.40 l ± 0.43 | 35.35 h ± 0.30 |
| S11 | 38 | 50.30 f ± 0.91 | 33.85 c ± 0.88 | 0.3136 e ± 0.15 | 30.10 c ± 0.48 | 72.25 b ± 0.22 |
| S12 | 70 | 53.20 d,e ± 1.07 | 29.35 c,d ± 0.99 | 0.3375 c,d ± 0.33 | 8.95 k ± 0.22 | 38.15 g ± 0.23 |
| S13 | 36 | 43.50 g ± 0.67 | 42.40 b ± 0.59 | 0.3411 c,d ± 0.25 | 8.55 k ± 0.33 | 60.85 c ± 0.19 |
| S14 | 42 | 67.50 b ± 1.03 | 10.70 f,g ± 0.86 | 0.3254 d,e ± 0.77 | 11.25 i ± 0.14 | 31.15 j ± 0.41 |
| S15 | 60 | 64.90 b ± 0.70 | 14.10 f ± 0.92 | 0.3391 c,d ± 0.33 | 31.20 b ± 0.37 | 42.55 e, f ± 0.81 |
| Sample | Color | Transmittance, % | Opacity, A*mm−1 | ||
|---|---|---|---|---|---|
| L* | a* | b* | |||
| S1 | 89.87 b,c ± 0.36 | −5.45 b ± 0.03 | 17.56 a,b,c ± 0.53 | 16.80 i ± 0.01 | 10.15 e ± 0.11 |
| S2 | 90.94 a,b ± 0.37 | −5.74 e,f,g ± 0.02 | 16.97 a,b,c ± 0.83 | 40.70 c ± 0.71 | 6.65 j ± 0.24 |
| S3 | 90.22 a,b ± 0.48 | −5.47 b,c ± 0.03 | 16.33 b,c,d ± 0.64 | 19.30 h ± 0.75 | 10.25 e ± 0.32 |
| S4 | 91.00 a ± 0.71 | −5.53 c ± 0.02 | 14.26 e ± 0.52 | 70.40 a ± 0.42 | 2.95 l ± 0.27 |
| S5 | 90.71 a,b ± 0.04 | −5.75 f,g ± 0.02 | 17.55 a,b,c ± 0.11 | 13.70 j ± 0.02 | 17.65 c ± 0.02 |
| S6 | 89.95 b,c ± 0.21 | −5.52 b,c ± 0.01 | 17.15 a,b,c ± 0.25 | 13.68 j ± 0.05 | 11.75 d ± 0.17 |
| S7 | 90.17 a,b,c ± 0.11 | −5.65 d ± 0.02 | 16.88 b,c ± 0.22 | 13.81 j ± 0.06 | 22.70 a ± 0.26 |
| S8 | 90.79 a,b ± 0.58 | −5.73 e,f,g ± 0.02 | 15.01 d,e ± 0.97 | 68.90 b ± 0.02 | 3.80 k ± 0.34 |
| S9 | 89.19 c ± 0.22 | −4.98 a ± 0.04 | 16.51 b, c ± 0.19 | 5.75 k ± 0.01 | 18.30 b ± 0.37 |
| S10 | 90.42 a,b ± 0.41 | −6.08 i ± 0.03 | 17.36 a,b,c ± 0.93 | 34.60 e ± 0.21 | 6.90 h ± 0.49 |
| S11 | 89.83 b,c ± 0.17 | −5.70 d,e,f ± 0.06 | 17.77 a,b ± 0.32 | 33.60 f ± 0.03 | 8.90 g ± 0.28 |
| S12 | 89.95 b,c ± 0.66 | −5.99 h ± 0.02 | 18.28 a ± 0.88 | 39.60 d ± 0.45 | 6.90 i ± 0.30 |
| S13 | 91.68 a,b ± 0.89 | −5.68 d,e,f ± 0.02 | 17.20 a,b,c ± 0.51 | 70.50 a ± 0.23 | 2.95 l ± 0.15 |
| S14 | 90.09 a,b,c ± 0.38 | −5.66 d,e ± 0.03 | 16.84 b,c ± 0.78 | 22.95 g ± 0.60 | 10.10 e ± 0.72 |
| S15 | 90.24 a,b ± 0.25 | −5.80 g ± 0.04 | 17.11 a,b,c ± 0.35 | 23.10 g ± 0.48 | 9.50 f ± 0.49 |
| Agar (g) | Alginate (g) | Glycerol (g) | Thickness (µm) | Retraction Ratio (%) | Moisture Content (%) | Water Solubility (%) | Transmittance (%) | Opacity (A mm−1) | |
|---|---|---|---|---|---|---|---|---|---|
| Agar (g) | 1 | ||||||||
| Alginate (g) | −0.942 ** | 1 | |||||||
| Glycerol (g) | −0.129 | −0.129 | 1 | ||||||
| Thickness (µm) | −0.016 | 0.115 | 0.023 | 1 | |||||
| Retraction ratio (%) | 0.016 | −0.115 | −0.023 | −1.000 ** | 1 | ||||
| Moisture content (%) | −0.018 | −0.001 | 0.561 * | 0.323 | −0.323 | 1 | |||
| Water solubility (%) | −0.715 ** | 0.618 * | 0.274 | −0.108 | 0.108 | 0.031 | 1 | ||
| Transmittance (%) | 0.164 | −0.146 | −0.112 | −0.698 ** | 0.698 ** | 0.128 | −0.240 | 1 | |
| Opacity, Amm−1 | −0.050 | −0.053 | 0.144 | 0.243 | −0.243 | −0.407 | 0.255 | −0.841 ** | 1 |
| Sample | Total Count | Coliforms | Enterobacteria | E. coli | S. aureus | L. monocytogenes | Yeasts/Molds |
|---|---|---|---|---|---|---|---|
| Control | 83 | - | - | 2 | - | - | 9 |
| S4 | 1 | - | - | - | - | - | - |
| S8 | 3 | - | - | - | 1 | - | - |
| S13 | 15 | - | - | - | - | - | - |
| Sample | ΔE | ||
|---|---|---|---|
| T1—One Week | T2—One Month | T3—Three Months | |
| Salami kept in conventional packaging material | 11.41 a ± 0.33 | 10.41 a ± 0.33 | 11.57 a ± 0.42 |
| Salami kept in S4 packaging material | 8.56 b ± 0.67 | 4.68 b ± 0.91 | 11.51 b ± 0.98 |
| Salami kept in S8 packaging material | 7.45 c ± 0.12 | 8.59 c ± 0.12 | 5.37 c ± 0.33 |
| Salami kept in S13 packaging material | 8.17 d ± 0.74 | 8.98 d ± 0.66 | 10.07 d ± 0.17 |
Publisher’s Note: MDPI stays neutral with regard to jurisdictional claims in published maps and institutional affiliations. |
© 2021 by the authors. Licensee MDPI, Basel, Switzerland. This article is an open access article distributed under the terms and conditions of the Creative Commons Attribution (CC BY) license (https://creativecommons.org/licenses/by/4.0/).
Share and Cite
Puscaselu, R.G.; Anchidin-Norocel, L.; Petraru, A.; Ursachi, F. Strategies and Challenges for Successful Implementation of Green Economy Concept: Edible Materials for Meat Products Packaging. Foods 2021, 10, 3035. https://doi.org/10.3390/foods10123035
Puscaselu RG, Anchidin-Norocel L, Petraru A, Ursachi F. Strategies and Challenges for Successful Implementation of Green Economy Concept: Edible Materials for Meat Products Packaging. Foods. 2021; 10(12):3035. https://doi.org/10.3390/foods10123035
Chicago/Turabian StylePuscaselu, Roxana Gheorghita, Liliana Anchidin-Norocel, Ancuţa Petraru, and Florin Ursachi. 2021. "Strategies and Challenges for Successful Implementation of Green Economy Concept: Edible Materials for Meat Products Packaging" Foods 10, no. 12: 3035. https://doi.org/10.3390/foods10123035
APA StylePuscaselu, R. G., Anchidin-Norocel, L., Petraru, A., & Ursachi, F. (2021). Strategies and Challenges for Successful Implementation of Green Economy Concept: Edible Materials for Meat Products Packaging. Foods, 10(12), 3035. https://doi.org/10.3390/foods10123035

