Abstract
The potentially tetradentate SNNS ligand N,N′-(ethane-1,2-diyl)bis(N″-(diethylcarbamothioyl)benzimidamide, H2L, was synthesized by the reaction of ethylenediamine with two equivalents of the corresponding benzimide chloride. H2L readily reacts with [AuCl(tht)] (tht = tetrahydrothiophene) under formation of the binuclear gold(I) complex [(AuCl)2(H2L-κS,S′)] (1) using its thiocarbonyl units as donors, while the nitrogen atoms remain uncoordinated, and no deprotonation was observed. The gold atoms establish almost linear Cl–Au–S bonds. The terminal Cl− ligands can be replaced with thiocyanate units, giving [Au(SCN-κS)}2((H2L-κS,S′)] (2). The use of [Au(PPh3)Cl] as a starting material gives the cation [{Au(PPh3)}2(H2L-κS,S′)]2+ (3), which can be isolated as its PF6− salt. The products are air-stable compounds, which have been isolated in crystalline form and studied by X-ray diffraction and spectroscopic methods (IR, NMR, and MS).
1. Introduction
In addition to the fascination that gold has exerted on humanity since the beginning of history because of its extraordinary luster and impressive durability, it has a remarkable chemistry that gives rise to a number of applications [1]. They concern fields such as catalysis [2], photochemistry [3], or material or nano sciences [4,5,6,7,8].
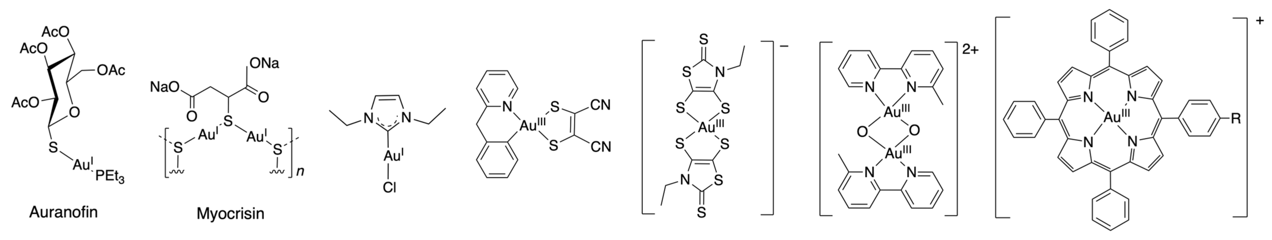
Of particular interest is the use of gold compounds in medicinal therapy. A ‘classical’ application of gold derivatives in this field is the use of thiolato complexes such as auranofin or myocrisin (for their chemical compositions see Figure 1) in antiarthritic chrysotherapy [9,10,11,12]. In recent decades, a large variety of structurally diverse molecular gold compounds or gold-based nanoparticles have gained attention as potential antifungal, antibacterial, antiviral, or anticancer drugs but also for the therapy of bacterial or parasitical diseases such as leishmaniasis [4,6,7,8,13,14,15,16,17,18,19,20,21,22,23,24,25,26,27]. It is evident that having exact knowledge of the coordination chemistry of gold is a required prerequisite, particularly for the development of novel molecule-based gold drugs.
Thus, a variety of gold complexes has been considered for such purposes, including simple phosphine/thiolates, polymeric arrangements, organometallic solution using N-heterocyclic carbenes, pyridyl-based ligand systems, dithiolenes, or bioconjugates with porphyrine-type chelating systems. A small collection of some fundamental gold complexes for current or prospective application as pharmaceuticals is depicted in Figure 1. It includes gold(I) and gold(III) compounds, which are by far the most common oxidation states of gold, while monomeric gold(II) is rare and commonly unstable [28,29,30]. The latter fact also explains the dominating role of Au(I) and Au(III) complexes in the quest for prospective gold drugs, although also some potential for the rare Au(II) compounds has been recently proposed [30]. Consequently, the ability of potential ligand systems to stabilize defined oxidation states is important for the evaluation of their medicinal potential. One important factor for such estimations is their chelating capacity and, thus, the stabilization of square-planar gold(III) compounds in favor of the mostly linear coordination of Au(I) ions.
Figure 1.
Some molecular gold compounds used or discussed for biomedical applications [9,12,22,23,24,25,31,32].
Figure 1.
Some molecular gold compounds used or discussed for biomedical applications [9,12,22,23,24,25,31,32].

Gold complexes with thiourea-type ligands are not uncommon, and most of them contain the transition metal in the oxidation state “+1”, even when gold(III) compounds are used as starting materials [33]. This is not completely unexpected with regard the redox potential of Au(III), but there are some examples where the higher oxidation state is retained. This is due to the coordination of aromatic thiones [34,35,36], combination with organometallic units [36,37], and/or the stabilization of the coordination number 4 by the formation of chelate rings [36,38]. The retention of the oxidation state “+3” of gold by the stabilization of the square-planar coordination sphere seems to be supported by ligand systems, which allow for the formation of π-systems. Thus, a series of stable bis(thiosemicarbazone)-type complexes of Au(III) is reported [39,40,41], while potential aliphatic chelators such as N,N′-diisobutyloxycarbonyl-N″,N‴-(1,3-propylene)bisthiourea [42] seem not to be able to establish the corresponding chelate rings. Instead, they act as reductants and form linear gold(I) complexes using exclusively their sulfur atoms. Thus, the structural similarity of the latter ligand with H2L makes it interesting to learn more about the coordination behavior of the potential S,N,N,S ligand of the present study.
2. Results and Discussion
2.1. Synthesis, Characterization and Structure of H2L
H2L is formed during a reaction of two equivalents of N-(aminothiocarbonyl)benzimide chloride with ethylenediamine in THF (Scheme 1). The addition of triethylamine supports the abstraction of the chloride, and the almost quantitative precipitation of the formed (HNEt3)Cl in dry THF ensures the ready isolation of the desired product in crystalline form from the initially obtained oily residue. The procedure follows that described for corresponding ligands with central phenylenediamine units [43]. The formation of S,N,N,S chelates with {ReO}3+, Ni(II), and Cu(II) ions with such ligands has been reported previously [43,44,45]. Thus, no conformational constrains should be expected for H2L.
Scheme 1.
Synthesis of H2L.
The potentially tetradentate ligand was characterized by elemental analysis, spectroscopic methods, and X-ray crystallography. Its IR spectrum exhibits a medium absorption at 3250 cm−1 related to the νN-H stretch and a medium broad absorption band at 1597 cm−1, which can be assigned to the νC=N vibrations. The 1H NMR spectrum of H2L confirms its symmetric structure. The resonances of the aromatic protons appear as a multiplet in the region between 7.45 and 7.35 ppm. Signals corresponding to the alkyl groups are observed at 3.71 ppm and 1.22 ppm, although they are poorly resolved due to the hindered rotation of the thiourea units. The proton of the amine is observed at 2.17 ppm as a broad singlet. The 13C{1H} spectrum supports the structure of the compound as well as its ESI+ mass spectrum. It shows two intense signals at m/z = 519.2335 and m/z = 535.2074, which are assigned to the cations [M + Na]+ (calc. 519.2335) and [M + K]+ (calc. 535.2074), respectively.
Single crystals of H2L suitable for an X-ray analysis were obtained by slow diffusion of Et2O into an EtOH solution of the ligand. The compound crystallizes in the tetragonal space group P43212 (a = b = 9.1374(3), c = 42.468(3) Å). Figure 2 contains an ellipsoid representation of the molecular structure. Selected bond lengths and angles are summarized in Table 1. While the C1–S1 and N1–C2 bond lengths of 1.696(3) and 1.293(3) Å fit well with the values expected for C=S and C=N double bonds, the C1–N1, C1–N3, and C2–N2 bonds reflect the partial double bond character and confirm the bonding situation suggested in Scheme 1. A similar arrangement is found in the phenylenediamine-centered ligand of ref. [43]. The protonation of the nitrogen atoms N2 and N2′ is confirmed by the formation of weak hydrogen bonds to co-crystallized solvent ethanol molecules, in which the NH hydrogen atoms act as donors. A corresponding Figure is given as Supporting Material.
Figure 2.
Ellipsoid representation of the molecular structure of H2L. Thermal ellipsoids are set to 50 percent probability. Hydrogen atoms bonded to carbon atoms are omitted for clarity. Symmetry operation: ‘y,x,–z.
Table 1.
Selected bond lengths (Å) and angles (°) in H2L.
2.2. Synthesis and Characterization of the Gold Complexes
Reactions of sodium tetrachloroaurate(III) with H2L result in the reduction in the gold starting material and (partial) formation of the binuclear gold(I) complex [(AuCl)2(H2L-κS,S′)] (1). The yields are low, and only impure products are obtained independent of the solvents used and conditions applied. This is mainly due to the formation of side-products as a consequence of the oxidation of a part of the added H2L. Although no electrochemical data are available, the oxidation of H2L under the influence of Au(III) is evident. Disulfide-like products, but also heterocyclic compounds such as thiadiazolium cations, have been isolated during similar reactions [46,47]. In the present case, no such oxidation products have been isolated in crystalline form, but their formation is evident from the 1H NMR or the mass spectra of the reaction mixtures. Clean [(AuCl)2(H2L-κS,S′)] in good yields can be obtained when the gold(I) starting materials are used, which avoids the formation of undesired side-products.
The addition of a MeOH solution of H2L to the complex [AuCl(tht)] (tht = tetrahydrothiophene) results in the rapid formation of compound 1. The low solubility of the product in the solvent facilitates the precipitation of 1 in pure form. In a similar way, the corresponding thiocyanato compound [{Au(SCN-κS)}2(H2L-κS,S′)] (2) can be prepared when KSCN is added to the reaction mixture (Scheme 2). Also, this sparingly soluble compound readily precipitates from the reaction mixture as a colorless solid. Alternative access to 2 is given via the reaction of 1 with an excess of KSCN. This approach, however, requires a prolonged reflux period due to the low solubility of the starting material and gives lower yields.
Scheme 2.
Syntheses of the gold complexes (1), (2), and (3) (PF6)2.
The low solubility of the gold complexes 1 and 2 in common solvents precludes the acquisition of NMR spectra of sufficient quality. Attempts to dissolve the products in hot DMSO resulted in decomposition and the subsequent precipitation of a greyish powder. Their ESI+ mass spectra exclusively show one intense peak at m/z = 693.2165, which can be assigned to an ion of the composition [Au(H2L)]+ (calcd. 693.2109). The IR spectra of 1 and 2 depict medium bands in the region between 3268 and 3406 cm−1, which indicate that the organic ligand remains protonated during the complex formation. The band assigned to νC=S at 1138 cm−1 in the spectrum of H2L is shifted by 40 cm−1 to lower wavelengths after complex formation, suggesting a slight weakening of the C-S bond. The presence of the SCN− ligands in compound 2 is supported by a very strong band at 2123 cm−1.
The cationic compound [{Au(PPh3)}2(H2L-κS,S′)]2+ (3) is formed during the reaction of H2L with [AuCl(PPh3)] in a MeOH/CH2Cl2 mixture (Scheme 2). It can be isolated as PF6− salt by the addition of (Bu4N)PF6 to the reaction mixture. Single crystals of the colorless solid were obtained from the slow diffusion of MeOH into a CH2Cl2 solution of the complex. Unlike 1 and 2, the triphenylphosphine complex 3 is soluble in organic solvents, and NMR spectra could be recorded in CD2Cl2. The 1H NMR spectrum shows relatively broad signals, which fit well with the expected peak groups. The 13C signal of the C=S carbon atom shows an upfield shift of 8 ppm compared to that for the uncoordinated H2L. The ESI+ mass spectra of compound 3 show no peaks for fragments containing coordinated H2L, while the most intense signal appears at m/z = 721.1573 and can be assigned to the [Au(PPh3)2]+ cation (calcd. 721.1488).
The molecular structures of the three gold(I) complexes are depicted in Figure 3. Selected bond lengths and angles are listed in Table 2 and Table 3. H2L acts as a neutral ligand in all three cases, and its sulfur atoms are used exclusively as donors for the coordination of the transition metal. The coordination environments of the gold atoms are almost linear with S1-Au-Cl/S21/P1 bond angles between 175.77(4) and 177.89(5)°. It is noteworthy that the C1–N1 bonds retain their double bond character after complexation, although they are slightly lengthened in comparison to the value in the uncoordinated H2L (Table 1). A similar situation is observed for the C–S1 bonds, which are lengthened by approximately 0.05 Å upon the complex formation. The linear thiocyanato ligand binds with an Au–S21–C22 angle of 99.2(2)°, and the Au–S21 bond is remarkably longer than the C–S bond established in H2L.
Figure 3.
(a) Ellipsoid representations of the molecular structures of (a) [(AuCl)2(H2L-κS,S′)] (1), (b) [{Au(SCN)}2(H2L-κS,S′)] (2), and (c) of the [{Au(PPh3)}2(H2L-κS,S′)]2+ (3) cation. Thermal ellipsoids are set to 50 percent probability. Hydrogen atoms bonded to carbon atoms are omitted for clarity. Symmetry operations: ‘–x,-y,1–z, ‘’1–x,y,1.5–z.
Table 2.
Selected bond lengths (Å) and angles (°) in [(AuCl)2(H2L-κS,S′)] (1) and [{Au(SCN)}2(H2L-κS,S′)] (2).
Table 3.
Selected bond lengths (Å) and angles (°) in the [{Au(PPh3)}2(H2L-κS,S′)]2+ cation (3). Symmetry: ‘’1–x,y,1.5–z.
A comparison of the unit cell packings is shown in Figure 4. The three compounds crystallize in different space groups and/or unit cells (1: C2/c; a = 23.730(1), b = 11.251(1), c = 17.363(1) Å, β = 124.334(2)°; 2: P
, a = 9.620(1), b = 9.731(1), c = 11.521(1) Å, α = 100.60(1), β = 113.46(1), γ = 90.14(2)°; 3: (PF6)2, C2/c, a = 26.198(2), b = 10.598(1), c = 25.776(1), and β = 117.213(1)°). Consequently, the complex molecules show different orientations to each other, which also results in clearly different Au…Au distances.
Figure 4.
Unit cell plots of the solid-state structures of compounds (a) 1, (b) 2, and (c) 3(PF6)2. The red circles illustrate possible weak (b) or clearly established (c) aurophilic interactions in the solid state.
While the Au…Au distance in compound 1 of >6.5 Å is far away from any bonding interaction, that in the thiocyanato compound 2 is 3.5146(5) Å, which is sometimes discussed in terms of aurophilic interactions [48,49,50,51,52]. A more recent critical review considers Au…Au distances between 2.85 and 3.50 Å as candidates for such interactions [53], values that are only slightly exceeded in complex 2.
Closer Au…Au contacts of 3.2310(3) Å are found in the complex [{Au(PPh3)}2(H2L-κS,S′)](PF6)2 (3(PF6)2). This distance clearly falls into the range, which is listed for ‘unsupported aurophilic interactions’ in the excellent review of Schmidbauer and Schlier [53]. Additionally, although the S–Au–P bond is almost linear, the slight deviation from the linearity is directed towards the Au–Au axis. The formed polymeric structure establishes helical chains along the crystallographic a axis. The PF6− counter ions occupy the voids between these chains.
3. Materials and Methods
Na[AuCl4] · H2O [54], [AuCl(tht)]) [55], [AuCl(PPh3)] [56], and N-(diethylthiocarbamothioyl)benzimidoyl chloride [57] were prepared as reported in the literature. The synthesis of H2L was adopted from previously described protocols [43,58]. All reactions were conducted under aerobic conditions. Solvents were dried by standard procedures.
3.1. Syntheses
H2L. N-Diethylamino(thiocarbamoyl)benzimidoyl chloride (2.54 g, 10 mmol) dissolved in 25 mL of dry THF was added dropwise to a stirred mixture of ethylenediamine (0.33 mL, 5 mmol) and NEt3 (1.67 mL, 12 mmol) in 10 mL of dry THF. The mixture was stirred for 4 h at room temperature. During this time, a colorless precipitate of (HNEt3)Cl formed. It was filtered off, and the filtrate was evaporated to dryness under reduced pressure. The oily residue was dissolved in ethanol (3 mL), overlayed with diethyl ether (9 mL), and stored in a refrigerator. Pale yellow crystals formed upon slow diffusion of the solvents. They were filtered off, washed with diethyl ether, and dried in vacuum. Yield: 1.97 g (79%). Elemental analysis: Calcd. for C26H36N6S2 · 2 EtOH: C, 61.2; H, 8.2; N, 14.3%. Found: C 61.3; H, 7.9; N, 13.7%. IR (cm−1): 3250 (m), 2970 (m), 2929 (m), 2870 (w), 1587 (s), 1560 (m), 1438 (s), 1419 (s), 1375 (m), 1313 (m), 1255 (m), 1138 (s), 1076 (m), 881 (w), 777 (s), 698 (m). 1H NMR (400 MHz, CD2Cl2, ppm): 7.45–7.35 (m, 10H, Ph); 3.8 (m, 4H, CH2); 3.58–3.52 (m, 8H, CH2); 1.17 (t, J = 8.0 Hz, 6H, CH3); 1.09 (t, J = 8.0 Hz, 6H, CH3). 13C{1H} NMR (CD2Cl2, ppm): 188.4 (C=S); 159.3 (C=N); 134.1 (Ph), 130.4 (Ph); 128.3 (Ph); 57.8 (CH2); 46.0 (CH2); 44.6 (CH2); 18.2 (CH2); 12.8 (CH3); 11.8 (CH3). ESI+ MS (m/z): 519.2335, 100% [M + Na]+ (Calcd. 519.2335), 535.2074, 41% [M + K]+ (Calcd. 535.2074).
[(AuCl)2(H2L-κS,S′)]. A solution of H2L (49.6 mg, 0.1 mmol) in 2 mL of MeOH was added dropwise to a suspension of [AuCl(tht)] (65 mg, 0.2 mmol) in 1 mL of MeOH. The mixture was stirred for 2 h at room temperature. The formed colorless precipitate was filtered off and washed with a small amount of MeOH. Colorless single crystals suitable for X-ray diffraction were obtained by dissolving the compound in hot CH2Cl2 (3 mL) and overlayering it with MeOH (3 mL). Yield: 72 mg (75%). Elemental analysis: Calcd. for C26H36Au2Cl2N6S2: C, 32.5; H, 3.8; N, 8.7; S, 6.7%. Found: C, 32.3; H, 4.0; N, 8.5; S, 6.7%. IR (KBr, cm−1): 3288 (br, s), 3057 (w), 2978 (m), 2931 (m), 2870 (w), 1604 (s), 1595 (s), 1575 (s), 1552 (s), 1508 (s), 1436 (s), 1379 (m), 1359 (m), 1296 (s), 1232 (m), 1143 (m), 1078 (m), 943 (w), 900 (w), 869 (w), 773 (s), 696 (m), 650 (w), 613 (w), 594 (w), 495 (w), 420 (w). ESI+ MS (m/z): 693.2165, 100% [M–Au–2 Cl)]+ (Calcd. 693.2108). The acquisition of NMR spectra was not possible due to the low solubility of the compound in organic solvents.
[{Au(SCN)}2(H2L-κS,S′)]. A solution of KSCN (9.6 mg, 0.1 mmol) dissolved in 5 mL of MeOH was added to a solution containing [AuCl(tht)] (32.5 mg, 0.1 mmol). H2L (24.8 mg, 0.05 mmol) dissolved in 5 mL of CH2Cl2 was added. The resulting solution was stirred for 2 h at room temperature. Colorless single crystals suitable for X-ray diffraction were obtained by slow evaporation of the solvents. Yield: 26.0 mg (49%). Elemental analysis: Calcd. for C30H44Au2N8O2S4 [{Au(SCN)}2(H2L-κS,S’)] · 2 MeOH: 33.7; H, 4.1; N, 10.5; S, 12.0%. Found: C, 33.2; H, 4.3; N, 10.5; S, 12.0%. IR (KBr, cm−1): 3390 (br, w), 3346 (br, w), 3267 (br, m), 3126 (w), 3064 (w), 2978 (m), 2931 (m), 2870 (w), 2123 (vs), 1593 (s), 1560 (s), 1508 (s), 1436 (s), 1379 (m), 1357 (m), 1309 (m), 1292 (m), 1230 (m), 1145 (m), 1118 (m), 1076 (m), 1020 (m), 885 (m), 777 (vs), 694 (vs), 673 (w), 586 (w), 495 (w), 426 (w). ESI+ MS (m/z): 693.2195, 100% [M-Au-2(SCN)]+ (Calcd. 693.2108). The acquisition of NMR spectra was not possible due to the low solubility of the compound in organic solvents.
[{Au(PPh3)}2(H2L-κS,S′)](PF6)2. A solution of H2L (49.6 mg, 0.1 mmol) in 3 mL of MeOH was added to a suspension of [AuCl(PPh3)] (100 mg, 0.2 mmol) in 5 mL of MeOH. The suspension became a clear yellow solution. The mixture was stirred for 2 h at room temperature. (Bu4N)(PF6) (77.0 mg, 0.2 mmol) was added, and the mixture was stirred for more 15 min. During this time, a colorless precipitate formed, which was filtered off and dried in the air. The solid was dissolved in 2 mL of CH2Cl2 and overlayered with 3 mL of MeOH. Single crystals suitable for X-ray diffraction were obtained from the slow diffusion of the solvents. Yield: 72.0 mg (70%). Elemental analysis: Calcd. for [C62H66Au2N6S2](PF6)2: C, 43.7; H, 3.7; N, 4.9; S, 3.8%. Found: C, 44.0; H, 4.3; N, 4.9; S, 3.9%. IR (KBr, cm−1): 34,060 (m), 2981 (w), 2937 (w), 1591 (m), 1558 (m), 1508 (s), 1436 (s), 1375 (w), 1307 (m), 1269 (w), 1234 (w), 1147 (w), 1099 (m), 839 (vs), 754 (m), 696 (s), 557 (s), 540 (s), 499 (m). 1H NMR (400 MHz, CD2Cl2, ppm): 8.0–7.0 (m, 40H, Ph); 6.7 (br, 2H, NH); 3.8 (br, 4H, -N-CH2-CH2-N); 3.60 (br, 2H, CH2); 3.45 (br, 2H, CH2); 1.33 (m, 12H, CH3). 13C{1H} NMR (CD2Cl2, ppm): 180.5 (C=S); 161.0 (N-C=N); 134.0, 132.5, 129.7, 129.6, 128.1, 127.5 (Ph); 47.9 (HN-CH2-CH2-NH); 46.9 (CH2); 41.4 (CH2); 12.1 (CH3). 31P{1H} NMR (CD2Cl2, ppm): 38.3 (s, PPh3), 144.0 (sep, PF6−). ESI+ MS (m/z): 721.1573, 100% [Au(PPh3)2]+ (Calcd. 721.1483).
3.2. Spectroscopic and Analytical Methods
Elemental analyses of carbon, hydrogen, nitrogen, and sulfur were determined using a Heraeus vario EL elemental analyzer (Elementar, Langensebold, Germany). IR spectra were measured as KBr pellets on a Shimadzu IR Affinity-1 spectrometer (Shimadzu, Kyoto, Japan). The NMR spectra were recorded on a JEOL 400 MHz spectrometer (JEOL, Kyoto, Japan). ESI-TOF mass spectra were measured with an Agilent 6210 ESI-TOF (Agilent Technologies, Santa Clara, CA, USA). All MS results are given in the form: m/z, assignment.
3.3. X-Ray Crystallography
The intensities for the X-ray determinations were collected on STOE IPDS-2T (STOE, Karlsruhe, Germany) or Bruker CCD instruments (BRUKER, Billerica, MA, USA) with Mo/Kα radiation. The various temperatures applied are due to the experimental setup of the different diffractometers. Semi-empirical or numerical absorption corrections were carried out by the SADABS or X-RED32 programs [59,60,61]. Structure solution and refinement were performed with the SHELX programs [62,63] included in the OLEX2 program package [64]. Hydrogen atoms were calculated for idealized positions and treated with the ‘riding model’ option of SHELXL. More details are given as Supplementary Materials. The representation of molecular structures was made using the program MERCURY [65].
4. Conclusions
Binuclear, S-bonded gold(I) complexes with the potentially tetradentate ligand H2L can readily be prepared in good yields when gold(I) precursors such as [AuCl(tht)], [Au(SCN)(tht)], or [AuCl(PPh3)]. They have a composition of [{Au(X)}2(H2L-κS,S′)] (X = Cl (1), SCN (2)) or [{Au(PPh3)}2(H2L-κS,S′)]2+ (3). The same products are also obtained when the reactions are conducted with the gold(III) precursor Na[AuCl4], but they contain several impurities due to the formation of oxidation products of H2L, which could not be removed reliably to give pure complexes.
There is no evidence for the formation of Au(III) chelate complexes with H2L. This behavior and their inherent reactivity in solution, e.g., exemplified by the ready formation of [Au(PPh3)2]+ cations during the MS measurements, do not recommend them for ongoing considerations as potential gold-based pharmaceuticals.
A clear dependence of the Au–S bonds on the trans-influence of the incoming ligand is observed (Cl−: 2.259(1) Å, SCN−: 2.274(1) Å, PPh3: 2.3223(6) Å). This is due to the individual σ-donor and π-acceptor properties of the ligands.
The isolated gold(I) products 2 and 3 show weak (compound 2) or unambiguous (compound 3) aggregation by aurophilic interactions in the solid state. However, the good solubility of compound 3 in common solvents clearly indicates that the observed formation of a polymeric chain is restricted to the solid state. More non-covalent interactions, e.g., due to Au…X contacts or weak π-π interactions, cannot be ruled out for the solid state structures of the compounds studied [66] but have not been evaluated since the focus of the present communication was on the complex formation trends in solution.
Supplementary Materials
The following supporting information can be downloaded at https://www.mdpi.com/article/10.3390/inorganics13090292/s1, Table S1. Crystallographic data and data collection parameters; Figure S1: Ellipsoid representation of H2L · 2 EtOH. The thermal ellipsoids are set at a 50% probability level. Hydrogen atoms are omitted for clarity; Table S2. Bond lengths (Å) in H2L · 2 EtOH (symmetry operation: 1+y,+x,–z); Table S3: Bond angles (°) in H2L · 2 EtOH (symmetry operation: 1+y,+x,–z); Figure S2: Ellipsoid representation of [(AuCl)2(H2L-κS,S′)] (1) · 2 CH2Cl2. The thermal ellipsoids are set at a 50% probability level. Hydrogen atoms are omitted for clarity; Table S4. Selected bond lengths (Å) in [(AuCl)2(H2L-κS,S′)] (1) · 2 CH2Cl2 (symmetry: 1–x,+y,3/2–z); Table S5: Selected bond angles (°) in [(AuCl)2(H2L-κS,S′)] (1) · 2 CH2Cl2 (symmetry: 1–x,+y,3/2–z); and Figure S3: Ellipsoid representation of [{Au{SCN-κS)}2(H2L-κS,S′)] (2) · 2 MeOH. The thermal ellipsoids are set at a 35% probability level. Hydrogen atoms are omitted for clarity; Table S6: Bond lengths (Å) in [{Au{SCN-κS)}2(H2L-κS,S′)] (2) · 2 MeOH (symmetry: –x,–y,1–z); Table S7: Bond angles (°) in [{Au{SCN-κS)}2(H2L-κS,S′)] (2) · 2 MeOH (symmetry: –x,–y,1–z); Figure S4: Ellipsoid representation of [{Au(PPh3)}2(H2L-κS,S′)](PF6)2 (3(PF6)2). The thermal ellipsoids are set at a 50% probability level. Hydrogen atoms are omitted for clarity; Table S8: Bond lengths (Å) in [{Au(PPh3)}2(H2L-κS,S′)](PF6)2 (3(PF6)2) (11–x,1–y,2–z; 21–x,+y,3/2–z); Table S9. Bond angles (°) in [{Au(PPh3)}2(H2L-κS,S′)](PF6)2 (3(PF6)2) (11–x,1–y,2–z; 21-x,+y,3/2-z); Figure S5: IR (KBr) spectrum of H2L; Figure S6: 1H NMR spectrum of H2L in CD2Cl2; Figure S7: 13C{1H} NMR spectrum of H2L in CD2Cl2; Figure S8: ESI+ mass spectrum of H2L; Figure S9: IR (KBr) spectrum of [(AuCl)2(H2L-κS,S′)] (1); Figure S10: ESI+ mass spectrum of [(AuCl)2(H2L-κS,S′)] (1); Figure S11: IR (KBr) spectrum of [{Au(SCN-κS)}2(H2L-κS,S′)] (2); Figure S12: ESI+ mass spectrum of [{Au(SCN-κS)}2(H2L-κS,S′)] (2); Figure S13: IR spectrum (KBr) of [{Au(PPh3)}2(H2L-κS,S′)](PF6)2 ((3)(PF6)2); Figure S14: 1H NMR spectrum of [{Au(PPh3)}2(H2L-κS,S′)](PF6)2 ((3)(PF6)2) in CD2Cl2; Figure S15: 13C{1H} NMR spectrum of [{Au(PPh3)}2(H2L-κS,S′)](PF6)2 ((3)(PF6)2) in CD2Cl2; Figure S16: 31P{1H} NMR spectrum of [{Au(PPh3)}2(H2L-κS,S′)](PF6)2 ((3)(PF6)2) in CD2Cl2; Figure S17: ESI+ mass spectrum of [{Au(PPh3)}2(H2L-κS,S′)](PF6)2 ((3)(PF6)2).
Author Contributions
Conceptualization, U.A. and S.F.S.; methodology, S.F.S., C.T.P. and A.H.; validation, S.F.S., C.T.P. and A.H.; formal analysis, S.F.S. and U.A.; investigation, S.F.S. and U.A.; resources, U.A.; data curation, S.F.S. and A.H.; writing—original draft preparation, U.A.; writing—review and editing, S.F.S., A.H. and C.T.P.; visualization, U.A.; supervision, U.A.; project administration, U.A.; and funding acquisition, U.A. All authors have read and agreed to the published version of the manuscript.
Funding
This research was funded by the CNPq (PhD scholarship for S.F.S. and the DAAD). We acknowledge the assistance of the Core Facility BioSupraMol supported by the DFG. The publication of this article was funded by Freie Universität Berlin.
Data Availability Statement
Data is contained within the article or Supplementary Material.
Acknowledgments
We would like to acknowledge the assistance of the Core Facility BioSupraMol supported by the DFG.
Conflicts of Interest
The authors declare no conflicts of interest.
References
- Herrera, R.P.; Gimeno, M.C. Main Avenues in Gold Coordination Chemistry. Chem. Rev. 2021, 121, 8311–8363. [Google Scholar] [CrossRef]
- Stylianakis, I.; Kolocouris, A. Comprehensive Overview of Homogeneous Gold-Catalyzed Transformations of π-Systems for Application Scientists. Catalysts 2023, 13, 921. [Google Scholar] [CrossRef]
- Yam, V.W.-W.; Chan, A.K.; Hong, E.Y. Charge-Transfer Processes in Metal Complexes enable Luminescence and Memory Functions. Nat. Rev. Chem. 2020, 4, 528–541. [Google Scholar] [CrossRef]
- Thomas, S.R.; Wilnhammer, N.; Casini, A.; Moreno-Alcantar, G. Gold metallacages: Design principles and applications. Chem 2025, 11, 102502. [Google Scholar] [CrossRef]
- Ghobashy, M.M.; Alkhursani, A.A.; Alqahtani, H.A.; El-Damhoughy, T.K.; Madani, M. Gold nanoparticles in microelectronics advancements and biomedical applications. Mat. Sci. Eng. 2024, 302, 117191. [Google Scholar] [CrossRef]
- Karnwal, A.; Sachan, R.S.K.; Devgon, I.; Devgon, J.; Pant, G.; Panchpuri, M.; Ahmad, A.; Alshammari, M.B.; Hossain, K.; Kumar, G. Gold Nanoparticles in Nanobiotechnology: From Synthesis to Biosensing Applications. ACS Omega 2024, 9, 29966–29982. [Google Scholar] [CrossRef]
- Georgeous, J.; AlSawafth, N.; Abuwatfa, W.H.; Husseini, G.A. Review of Gold Nanoparticles: Synthesis, Properties, Shapes, Cellular Uptake, Targeting, Release Mechanisms and Applications in Drug Delivery and Therapy. Therapeutics 2024, 16, 16101332. [Google Scholar] [CrossRef] [PubMed]
- Balfourier, A.; Kolosnjaj-Tabi, J.; Luciani, N.; Crn, F.; Gazeau, F. Gold-based therapy from past to present. Proc. Natl. Acad. Sci. USA 2020, 117, 22639–22648. [Google Scholar] [CrossRef]
- Dalziel, K.; Going, G.; Cartwright, P.H.; Marks, R.; Beveridge, G.W.; Rowell, N.R. Treatment of chronic discoid lupus erythematosus with an oral gold compound (auranofin). Br. J. Dermatol. 1986, 115, 211–216. [Google Scholar] [CrossRef]
- Salvarani, C.; Zizzi, F.; Maccioni, P.; Mantovani, W.; Rossi, F.; Baricchi, R.; Bellelli, A.; Capozzoli, N.; Frizziero, L.; Portioli, I. Clinical response to auranofin in patients with psoriatic arthritis. Clin. Rheumatol. 1989, 8, 54–57. [Google Scholar] [CrossRef]
- Giannini, E.H.; Brewer, E.J., Jr.; Kuzmina, N.; Shaikov, A.; Wallin, B. Auranofin in the treatment of juvenile rheumatoid arthritis. Arthritis Rheum. 1990, 33, 466–476. [Google Scholar] [CrossRef]
- Ott, I. On the Medicinal Chemistry of Gold Complexes as Anticancer Drugs. Coord. Chem. Rev. 2009, 253, 1670–1681. [Google Scholar] [CrossRef]
- Bertrand, B.; Casini, A.A. Golden Future in Medicinal Inorganic Chemistry: The Promise of Anticancer Gold Organometallic Compounds. Dalton Trans. 2014, 43, 4209–4219. [Google Scholar] [CrossRef] [PubMed]
- Zou, T.; Lum, C.T.; Lok, C.-N.; Zhang, J.-J.; Che, C.-M. Chemical Biology of Anticancer Gold(III) and Gold(I) Complexes. Chem. Soc. Rev. 2015, 44, 8786–8801. [Google Scholar] [CrossRef] [PubMed]
- Mora, M.; Gimeno, M.C.; Visbal, R. Recent Advances in Gold-NHC Complexes with Biological Properties. Chem. Soc. Rev. 2019, 48, 447–462. [Google Scholar] [CrossRef] [PubMed]
- Fernández-Moreira, V.; Herrera, R.P.; Gimeno, M.C. Anticancer Properties of Gold Complexes with Biologically Relevant Ligands. Pure Appl. Chem. 2019, 91, 247–270. [Google Scholar] [CrossRef]
- Moreno-Alcantar, G.; Picchetti, P.; Casini, A. Gold Complexes in Anticancer Therapy: From New Design Principles to Particle-Based Delivery Systems. Angew. Chem. Int. Ed. 2023, 62, e2022180000. [Google Scholar] [CrossRef]
- Mertens, R.T.; Gukathasan, S.; Arojojoye, A.S.; Olelewe, C.; Awuah, S.G. Next Generation Gold Drugs and Probes: Chemistry and Biomedical Applications. Chem. Rev. 2023, 123, 6612–6667. [Google Scholar] [CrossRef]
- Maia, P.I.S.; Deflon, V.M.; Abram, U. Gold(III) complexes in medicinal chemistry. Future Med. Chem. 2014, 6, 1515–1536. [Google Scholar] [CrossRef]
- Borges, A.P.; Obata, S.S.; Libardi, S.H.; Trevisan, R.O.; Deflon, V.M.; Abram, U.; Ferreira, F.B.; Costa, L.A.S.; Patrocínio, A.O.T.; da Silva, M.V.; et al. Gold(I) and Silver(I) Complexes Containing Hybrid Sulfonamide/Thiourea Ligands as Potential Leishmanicidal Agents. Pharmaceutics 2024, 16, 452. [Google Scholar] [CrossRef]
- Bau, R. Crystal structure of the Antiarthritic Drug Gold Thiomalate (Myochrysine): A Double-Helical Geometry in the Solid State. J. Am. Chem. Soc. 1998, 120, 9380–9381. [Google Scholar] [CrossRef]
- Büssing, R.; Karge, B.; Lippmann, P.; Jones, P.G.; Brönstrup, M.; Ott, I. Gold (I) and Gold (III) N-Heterocyclic Carbene Complexes as Antibacterial Agents and Inhibitors of Bacterial Thioredoxin Reductase. ChemMedChem 2021, 16, 3402–3409. [Google Scholar] [CrossRef]
- Ferraro, G.; Monti, D.M.; Amoresano, A.; Pontillo, N.; Petruk, G.; Pane, F.; Cinellu, M.A.; Merlino, A. Gold-Based Drug Encapsulation within a Ferritin Nanocage: X-Ray Structure and Biological Evaluation as a Potential Anticancer Agent of the Auoxo3-Loaded Protein. Chem. Commun. 2016, 52, 9518–9521. [Google Scholar] [CrossRef]
- Tong, K.-C.; Lok, C.-N.; Wan, P.-K.; Hu, D.; Fung, Y.M.E.; Chang, X.-Y.; Huang, S.; Jiang, H.; Che, C.-M. An Anticancer Gold(III)-Activated Porphyrin Scaffold That Covalently Modifies Protein Cysteine Thiols. Proc. Natl. Acad. Sci. USA 2020, 117, 1321–1329. [Google Scholar] [CrossRef]
- Chung, C.Y.-S.; Fung, S.-K.; Tong, K.-C.; Wan, P.-K.; Lok, C.-N.; Huang, Y.; Chen, T.; Che, C.-M. A Multi-Functional Pegylated Gold(III) Compound: Potent Anti-Cancer Properties and Self-Assembly into Nanostructures for Drug Co-Delivery. Chem. Sci. 2017, 8, 1942–1953. [Google Scholar] [CrossRef] [PubMed]
- Ratia, C.; Ballén, V.; Gabasa, Y.; Soengas, R.G.; Velasco-de Andrés, M.; Iglesias, M.J.; Cheng, Q.; Lozano, F.; Arnér, E.S.J.; López-Ortiz, F.; et al. Novel gold(III)-dithiocarbamate complex targeting bacterial thioredoxin reductase: Antimicrobial activity, synergy, toxicity, and mechanistic insights. Front. Microbiol. 2023, 14, 1198473. [Google Scholar] [CrossRef] [PubMed]
- Brown, R.K.; Bunyan, J.N.; Agrawal, A.; Li, G.; Dautoras, D.; Sarker, J.C.; Keat, T.T.; Hicks, T.; Hogarth, G.; Pugh, D. A revised understanding of the speciation of gold(III) dithiocarbamate complexes in solution. Dalton Trans. 2025, 54, 7627–7640. [Google Scholar] [CrossRef] [PubMed]
- Laguna, A.; Laguna, M. Coordination chemistry of gold(II) complexes. Coord. Chem. Rev. 1999, 193–195, 83–856. [Google Scholar] [CrossRef]
- Preiß, S.; Förster, C.; Otto, S.; Bauer, M.; Müller, P.; Hinderberger, D.; Haeri, H.H.; Carella, L.; Heinze, K. Structure and reactivity of a mononuclear gold(II) complex. Nature Chem. 2017, 9, 1249–1255. [Google Scholar] [CrossRef]
- Heinze, K. The Quest for Mononuclear Gold(II) and Its Potential Role in Photocatalysis and Drug Action. Angew. Chem. Int. Ed. 2017, 56, 16126–16134. [Google Scholar] [CrossRef]
- Pintus, A.; Aragoni, M.C.; Cinellu, M.A.; Maiore, L.; Isaia, F.; Lippolis, V.; Orru, G.; Tuveri, E.; Zucca, A.; Arca, M. [Au(Pyb-H)(Mnt)]: A Novel Gold (III) 1, 2-Dithiolene Cyclometalated Complex with Antimicrobial Activity (Pyb-H = C-Deprotonated 2- Benzylpyridine; Mnt = 1, 2-Dicyanoethene-1, 2-Dithiolate). J. Inorg. Biochem. 2017, 170, 188–194. [Google Scholar] [CrossRef] [PubMed]
- Fontinha, D.; Sousa, S.A.; Morais, T.S.; Prudencio, M.; Leitão, J.H.; Le Gal, Y.; Lorcy, D.; Silva, R.A.; Velho, M.F.; Belo, D.; et al. Gold (III) Bis(dithiolene) Complexes: From Molecular Conductors to Prospective Anticancer, Antimicrobial and Antiplasmodial Agents. Metallomics 2020, 12, 974–987. [Google Scholar] [CrossRef] [PubMed]
- Roccigiani, L.; Bochmann, M. Recent Advances in Godl(III) Chemistry: Structure, Bonding, Reactivity, and Role in Homogeneous Catalysis. Chem. Rev. 2021, 121, 8364–8451. [Google Scholar] [CrossRef] [PubMed]
- Lynch, W.E.; Padgett, C.W.; Quillian, B.; Haddock, J. A square-planar hydrated cationic tetrakis(methimazole)gold(III) complex. Acta Cryst. 2015, 71, 298–300. [Google Scholar] [CrossRef]
- Jääskeläinen, S.; Koskinen, L.; Kultamaa, M.; Haukka, M.; Hirva, P. Persistence of oxidation state III of gold in thione coordination. Solid State Sci. 2017, 67, 37–45. [Google Scholar] [CrossRef]
- Abram, U.; Mack, J.; Ortner, K.; Müller, M. Reactions of dichloro[2-(dimethylaminomethyl)phenyl-C1,N]gold(III), [Au(damp-C1,N)Cl2], with heterocyclic thiols. Evidence for Au-N bond cleavage and protonation of the dimethylamino group. J. Chem. Soc. Dalton Trans 1998, 1011–1019. [Google Scholar] [CrossRef]
- Smith, T.S.; Henderson, W.; Nicholson, B.K. Cycloaurated gold(III) complexes with monoanionic thiourea ligands. Inorg. Chim. Acta 2013, 408, 27–32. [Google Scholar] [CrossRef]
- Jia, W.-G.; Dai, Y.-C.; Zhang, H.-N.; Lu, X.; Sheng, E.-H. Synthesis and characterization of gold complexes. with pyridine-based SNS ligands and as homogeneous catalysts for reduction of 4-nitrophenol. RSC Adv. 2015, 5, 29491–29496. [Google Scholar] [CrossRef]
- Fonteh, P.N.; Keter, F.K.; Meyer, D. New bis(thiosemicarbazonate) gold(III) complexes inhibit HIV replication at cytostatic concentrations: Potential for incorporation into virostatic cocktails. J. Inorg. Biochem. 2011, 105, 1173–1180. [Google Scholar] [CrossRef]
- Rodríguez-Fanjul, V.; Lopez-Torres, E.; Mendiola, M.A.; Pizarro, A.M. Gold(III) bis(thiosemicarbazonate) compounds in breast cancer cells: Cytotoxicity and thioredoxin reductase targeting. Eur. J. Med. Chem. 2018, 148, 372–383. [Google Scholar] [CrossRef]
- Bottenus, B.N.; Kan, P.; Jenkins, T.; Ballard, B.; Rold, T.L.; Barnes, C.; Cutler, C.; Hoffman, T.J.; Green, M.A.; Jurisson, S.S. Gold(III) bis-thiosemicarbazonato complexes: Synthesis, characterization, radiochemistry and X-ray crystal structure analysis. Nucl. Med. Biol. 2010, 37, 41–49. [Google Scholar] [CrossRef]
- Wie, J.-J.; Xiao, J.J.; Yu, J.-W.; Yi, X.-Y.; Liu, S.; Liu, G.-Y. Synthesis and structural characterization of silver(I) and gold(I) complexes of N,N′-diisobutyloxycarbonyl-N″,N‴-(1,3-propylene)bisthiourea. Polyhedron 2017, 137, 176–181. [Google Scholar]
- Castillo, J.D.; Nguyen, H.H.; Hagenbach, A.; Abram, U. Oxidorhenium(V) complexes with tetradentate thiourea derivatives. Polyhedron 2012, 43, 123–130. [Google Scholar] [CrossRef]
- Richter, R.; Sieler, J.; Beyer, L.; Yanovsky, A.L.; Struchkov, Y.T. Kristall- und Molekülstruktur von N,N′-o-Phenylen-bis-(N″,N′-diethyl-N‴-benzimidoyl-thioureato)nickel(II). Z. Anorg. Allg. Chem. 1989, 570, 84–92. [Google Scholar] [CrossRef]
- Rodenstein, A.; Creutzburg, D.; Schmiedel, P.; Griebel, J.; Hennig, L.; Kirmse, R. Synthesis, Structures, EPR and NMR Investigations of N,N′-o-Phenylen-bis(N″,N″-dialkyl-N‴-benzimidoyl-thioureato) Complexes of NiII and CuII (alkyl = C2H5, i-C4H9) and of Benzo[b]pyrimido-[1,6-d][1,4]diazepin-12-ium-dichlorocuprate(I). Z. Anorg. Allg. Chem. 2008, 634, 2811–2818. [Google Scholar] [CrossRef]
- Richter, R.; Schröder, U.; Kampf, M.; Hartung, J.; Beyer, L. Gold(I) Complexes of N-Thiocarbamoyl Benzamidines: Synthesis and Structures. Z. Anorg. Allg. Chem. 1997, 623, 1021–1026. [Google Scholar] [CrossRef]
- Schröder, U.; Richter, R.; Hartung, J.; Abram, U.; Beyer, L. Substituted 1,2,4-Thiadiazoliumdichloroaurates(I) and -tetrachloroaurates(III) as Products oft he Reactions of N-Thiocarbamoyl-benzamidines with Tetrachlorogold(III) Compounds. Z. Naturforsch. 1997, 52, 620–628. [Google Scholar] [CrossRef]
- Schmidbauer, H. The Aurophilicity Phenomenon: A Decade of Experimental Findings, Theoretical Concepts and Emerging Applications. Gold Bull. 2000, 33, 3–10. [Google Scholar] [CrossRef]
- Bardaji, M.; Laguna, A. Gold Chemistry: The Aurophilic Interaction. J. Chem. Edu. 1999, 76, 201–202. [Google Scholar] [CrossRef]
- Schmidbauer, H.; Schier, A. A briefing on auophilicity. Chem. Soc. Rev. 2008, 37, 1931–1951. [Google Scholar] [CrossRef]
- Anderson, K.M.; Goeta, A.E.; Steed, J.W. Au⋯Au Interactions: Z‘ > 1 Behavior and Structural Analysis. Inorg. Chem. 2007, 46, 6444–6451. [Google Scholar] [CrossRef]
- Sculfort, S.; Braunstein, P. Intermolecular d10-d10 interactions in heterometallic clusters of the transition metals. Chem. Soc. Rev. 2011, 40, 2741–2760. [Google Scholar] [CrossRef]
- Schmidbauer, H.; Schier, A. Aurophilic interactions as a subject of current research: An up-date. Chem. Soc. Rev. 2012, 41, 370–412. [Google Scholar] [CrossRef]
- Westcott, S.A.; Sherry, B.D.; Toste, F.D.; Campagne, J.-M. Sodium Tetrachloroaurate(III). In Encyclopedia of Reagents for Organic Synthesis; Wiley: Hoboken, NJ, USA, 2011. [Google Scholar] [CrossRef]
- Uson, R.; Laguna, A.; Laguna, M. Chloro(tetrahydrothiophene)gold(I). Inorg. Synth. 1989, 26, 85–86. [Google Scholar]
- Kowala, C.; Swan, J.M. Coordination compounds of Group IB metals. II. Some tertiary phosphine and phosphite complexes of gold(I). Aust. J. Chem. 1966, 19, 547–554. [Google Scholar] [CrossRef]
- Beyer, L.; Widera, R. N-(Aminothiocarbonyl)benzimidchloride. Tetrahedron Lett. 1982, 23, 1881–1882. [Google Scholar] [CrossRef]
- Köhler, R.; Hoyer, E.; Beyer, L.; Weber, G. DD282910 A5 19900926. Available online: https://depatisnet.dpma.de/DepatisNet/depatisnet?action=pdf&firstdoc=1&docid=DD000000282910A5 (accessed on 25 July 2025).
- Sheldrick, G. SADABS, version 2014/5; University of Göttingen: Göttingen, Germany, 2014. [Google Scholar]
- Krause, L.; Herbst-Irmer, R.; Sheldrick, G.M.; Stalke, D. Comparison of silver and molybdenum microfocus X-ray sources for single-crystal structure determination. J. Appl. Cryst. 2015, 48, 3–10. [Google Scholar] [CrossRef] [PubMed]
- Coppens, P. The Evaluation of Absorption and Extinction in Single-Crystal Structure Analysis. In Crystallographic Computing; Muksgaard: Copenhagen, Denmark, 1979. [Google Scholar]
- Sheldrick, G.M. A short history of SHELX. Acta Crystallogr. 2008, 64, 112–122. [Google Scholar] [CrossRef]
- Sheldrick, G.M. Crystal structure refinement with SHELXL. Acta Crystallogr. 2015, 71, 3–8. [Google Scholar]
- Dolomanov, O.V.; Bourhis, L.J.; Gildea, R.J.; Howard, J.A.; Puschmann, H. OLEX2: A complete structure solution, refinement and analysis program. J. Appl. Crystallogr. 2009, 42, 339–341. [Google Scholar] [CrossRef]
- Macrae, C.F.; Sovago, I.; Cottrell, S.J.; Galek, P.T.A.; McCabe, P.; Pidcock, E.; Platings, M.; Shields, G.P.; Stevens, J.S.; Towler, M. Mercury 4.0: From visualization to analysis, design and prediction. J. Appl. Cryst. 2020, 53, 226–235. [Google Scholar] [CrossRef] [PubMed]
- Shmelev, N.Y.; Okubazghi, T.H.; Abramov, P.A.; Rakhmanova, M.I.; Novikov, A.S.; Sokolov, M.N.; Gushchin, A.L. Asymmetric Coordination Mode of Phenanthroline-like Ligands in Gold(I) Complexes: A Case of the Antichelate Effect. Cryst. Growth Des. 2022, 22, 3882–3895. [Google Scholar] [CrossRef]
Disclaimer/Publisher’s Note: The statements, opinions and data contained in all publications are solely those of the individual author(s) and contributor(s) and not of MDPI and/or the editor(s). MDPI and/or the editor(s) disclaim responsibility for any injury to people or property resulting from any ideas, methods, instructions or products referred to in the content. |
© 2025 by the authors. Licensee MDPI, Basel, Switzerland. This article is an open access article distributed under the terms and conditions of the Creative Commons Attribution (CC BY) license (https://creativecommons.org/licenses/by/4.0/).




