A Rare Thermochromic Zwitterionic Nickel (II) Complex of the Bulky Alpha Ligand 1,2-Bis-(di-tbutylphosphinomethyl)Benzene
Abstract
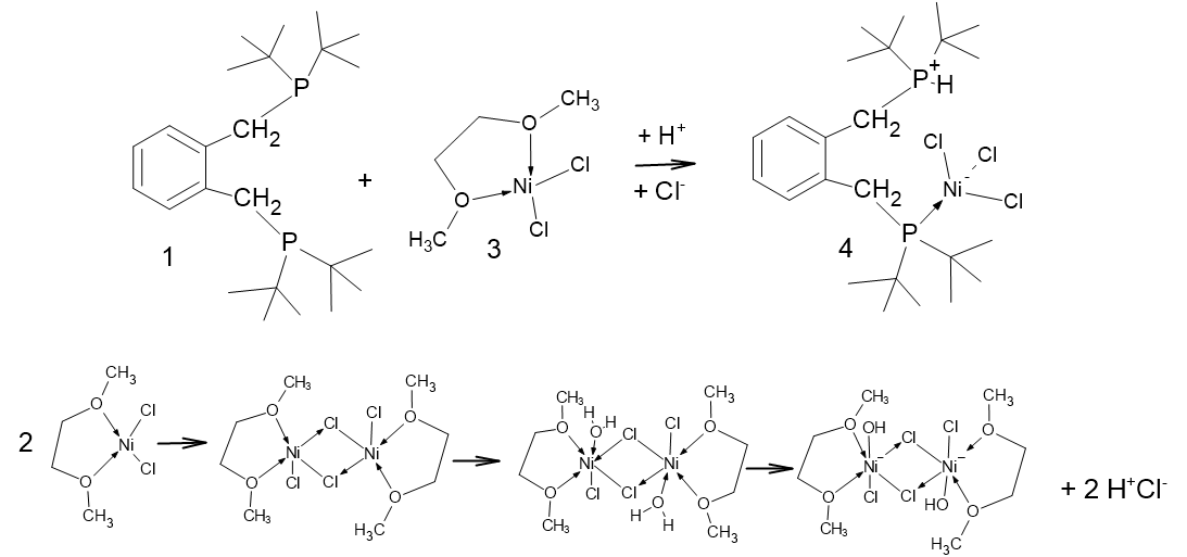
1. Introduction
2. Results and Discussion
2.1. Structural Comparisons
2.2. Examination of the Reaction of DMF with in [Ni(DME)Cl2], Looking for Trace Water
2.3. NMR Spectroscopic Examination of Compound 4
3. Materials and Methods
4. Conclusions
Supplementary Materials
Author Contributions
Funding
Data Availability Statement
Acknowledgments
Conflicts of Interest
References
- Nicholls, D. The Chemistry of Iron, Cobalt and Nickel: Comprehensive Inorganic Chemistry, Pergamon texts. In Inorganic Chemistry; Elsevier: Amsterdam, The Netherlands, 2013; Volume 24, 199p, ISBN 9781483146430. [Google Scholar]
- Blanchard, S.; Neese, F.; Bothe, E.; Weyhermüllerb, E.B.T.; Wieghardt, K. Square planar vs tetrahedral coordination in diamagnetic complexes of nickel(II) containing two bidentate pi-radical monoanions. Inorg. Chem. 2005, 44, 3636–3656. [Google Scholar] [CrossRef]
- Collinson, S.R.; Schröder, M. Nickel: Inorganic & Coordination Chemistry, Encyclopaedia of Inorganic Chemistry; Wiley: Hoboken, NJ, USA, 2006. [Google Scholar] [CrossRef]
- Lomjanský, D.; Rajnák, C.; Titiš, J.; Moncoľ, J.; Smolko, L.; Boča, R. Impact of tetrahedral and square planar geometry of Ni(II) complexes with (pseudo)halide ligands to magnetic properties. Inorg. Chim. Acta 2018, 483, 352–358. [Google Scholar] [CrossRef]
- Cope, J.D.; Denny, J.A.; Lamb, R.W.; McNamara, L.E.; Hammer, N.I.; Webster, C.E.; Hollis, T.K. Electrocatalytic reduction of CO2 with CCC-NHC pincer nickel complexes. J. Organometal. Chem. 2017, 845, 258–265. [Google Scholar] [CrossRef]
- Venanzi, L.M. Tetrahedral complexes of nickel (II) and the factors determining their formation. J. Inorg. Nucl. Chem. 1958, 8, 137–142. [Google Scholar] [CrossRef]
- Balakrishnan, K.P. Preparation and properties of nickel(II) complex dyes. J. Chem. Eng. Data 1980, 25, 186–187. [Google Scholar] [CrossRef]
- Garton, G.; Henn, D.E.; Powell, H.M.; Venanzi, L.M. Tetrahedral nickel(II) complexes and the factors determining their formation. Part V. The tetrahedral co-ordination of nickel in dichlorobistriphenylphosphinenickel. J. Chem. Soc 1963, 3625–3629. [Google Scholar] [CrossRef]
- Vondran, J.; Furst, M.R.L.; Eastham, G.R.; Seidensticker, T.; Cole-Hamilton, D.J. Magic of Alpha: The Chemistry of a Remarkable Bidentate Phosphine, 1,2-Bis(di-tert-butylphosphinomethyl)benzene. Chem. Rev. 2021, 121, 6610–6653. [Google Scholar] [CrossRef]
- Liu, J.; Heaton, B.T.; Iggo, J.A.; Whyman, R.; Bickley, J.F.; Steiner, A. The Mechanism of the Hydroalkoxycarbonylation of Ethene and Alkene–CO Copolymerization Catalyzed by Pd II–Diphosphine Cations. Chem. Eur. J. 2006, 12, 4417–4430. [Google Scholar] [CrossRef]
- Fanjul, T.; Eastham, G.; Floure, J.; Forrest, S.J.; Haddow, M.F.; Hamilton, A.; Pringle, P.G.; Orpen, A.G.; Waugh, M. Interplay of bite angle and cone angle effects. A comparison between o-C6H4(CH2PR2)(PR’2) and o-C6H4(CH2PR2)(CH2PR’2) as ligands for Pd-catalysed ethene hydromethoxycarbonylation. Dalton Trans. 2013, 42, 100–115. [Google Scholar] [CrossRef]
- Fanjul, T.; Eastham, G.; Fey, N.; Hamilton, A.; Orpen, A.G.; Pringle, P.G.; Waugh, M. Palladium complexes of the heterodiphosphine o-C6H4 (CH2PtBu2)(CH2PPh2) are highly selective and robust catalysts for the hydromethoxycarbonylation of ethene. Organometallics 2010, 29, 2292–2305. [Google Scholar] [CrossRef]
- Fortune, K.M.; Castel, C.; Robertson, C.M.; Horton, P.N.; Light, M.; Coles, S.J.; Waugh, M.; Clegg, W.; Harrington, R.W.; Butler, I.R. Ferrocenylmethylphosphanes and the Alpha Process for Methoxycarbonylation: The Original Story. Inorganics 2021, 9, 57. [Google Scholar] [CrossRef]
- Butler, I.R.; Baker, P.K.; Eastham, G.R.; Fortune, K.M.; Horton, P.N.; Hursthouse, M.B. Ferrocenylmethylphosphines ligands in the palladium-catalysed synthesis of methyl propionate. Inorg. Chem. Commun. 2004, 7, 1049–1052. [Google Scholar] [CrossRef]
- Dong, K.; Sang , R.; Fang, X.; Spannenberg, A.; Neumann, H.; Jackstell, R.; Beller, M. Efficient Palladium-Catalyzed Alkoxycarbonylation of Bulk Industrial Olefins Using Ferrocenyl Phosphine Ligands. Angew. Chem. Int. Ed. 2017, 56, 5267–5271. [Google Scholar] [CrossRef]
- Fanjul, T.; Eastham , G.; Haddow, M.F.; Hamilton, A.; Pringle, P.G.; Orpen, A.G.; Turner, T.P.W.; Waugh, M. Efficient and chemoselective ethene hydromethoxycarbonylation catalysts based on Pd-complexes of heterodiphosphines o-C6H4 (CH2PtBu2)(CH2PR2). Catal. Sci. Technol. 2012, 2, 937–950. [Google Scholar] [CrossRef]
- Knight, J.G.; Doherty, S.; Harriman, A.; Robins, E.G.; Berham, M.; Eastham, G.R.; Tooze, R.P.; Elsegood, M.R.J.; Champkin, P.; Clegg, W. Remarkable Differences in Catalyst Activity and Selectivity fo the Production of Methyl Propanoate versus CO−Ethylene Copolymer by a Series of Palladium Complexes of Related C4-Bridged Diphosphines. Organometallics 2000, 19, 4957–4967. [Google Scholar] [CrossRef]
- Clevenger, A.L.; Stolley, R.M.; Aderibigbe, J.; Louie, J. Trends in the Usage of Bidentate Phosphines as Ligands in Nickel Catalysis. Chem. Rev. 2020, 120, 6124–6196. [Google Scholar] [CrossRef]
- Ward, L.G.L. Anhydrous nickel(II) halides and their tetrakis(ethanol) and 1, 2-dimethoxyethane complexes. Inorg. Synth. 1971, 13, 154–164. Available online: https://onlinelibrary.wiley.co (accessed on 24 July 2025).
- Butler, I.R.; Williams, R.M.; Heeroma, A.; Horton, P.N.; Coles, S.J.; Jones, L.F. The Effect of Localized Magnetic Fields on the Spatially Controlled Crystallization of Transition Metal Complexes. Inorganics 2025, 13, 117. [Google Scholar] [CrossRef]
- Horton, P.N.; Coles, S.J.; Clegg, W.; Harrington, R.W.; Butler, I.R. A Rapid General Synthesis and the Spectroscopic Data of 2, 2′-Bis-(di-isopropylphosphino)-1, 1′-dibromoferrocene, (bpdbf), 1, 1′, 2, 2′-Tetrakis-(di-isopropylphosphino) Ferrocene, (tdipf) and Related Ligands: Taking dppf into the Future. Inorganics 2025, 13, 10. [Google Scholar] [CrossRef]
- Fortune, K. Nitrogen Donor Complexes of Molybdenum and Tungsten and New Routes to bis-1, 2 & tris-1, 2, 3 Substituted Ferrocenes. Ph.D. Thesis, Bangor University, Bangor, UK, 2004. Available online: https://research.bangor.ac.uk/portal/files/50696506/K_M_FORTUNE_PhD_2004_OCR.pdf (accessed on 24 July 2025).
- Oberhauser, W.; Bachmann, C.; Stampfl, T.; Haid, R.; Brüggeller, P. Structural differences in nickel(II) and palladium(II) complexes containing cis-1, 2-bis(diphenylphosphino)ethene or 1, 2-bis(diphenylphosphino)ethane. Polyhedron 1997, 16, 2827–2835. [Google Scholar] [CrossRef]
- Donahue, C.M.; McCollom, S.P.; Forrest, C.M.; Blake, A.V.; Bellott, B.J.; Keith, J.M.; Daly, S.R. Impact of Coordination Geometry, Bite Angle, and Trans Influence on Metal-Ligand Covalency in Phenyl-Substituted Phosphine Complexes of Ni and Pd. Inorg Chem. 2015, 54, 5646–5659. [Google Scholar] [CrossRef]
- Wu, K.; Doyle, A. Parameterization of phosphine ligands demonstrates enhancement of nickel catalysis via remote steric effects. Nat. Chem. 2017, 9, 779–784. [Google Scholar] [CrossRef]
- Li, B.; Wang, Z.; Luo, Y.; Wei, H.; Chen, J.; Liu, D.; Zhang, W. Nickel-catalyzed asymmetric hydrogenation for the preparation of α-substituted propionic acids. Nat. Commun. 2024, 15, 5482. [Google Scholar] [CrossRef]
- Hay, R.W.; Albedyhl, S.; Lightfoot, P. The crystal structure of [Ni(dmf)6][NiCl4] and comments on the hydrolysis of coordinated amides and peptides in metal complexes. Transit. Met. Chem. 1998, 23, 257–260. [Google Scholar] [CrossRef]
- Du, J.-L.; Li, L.-J. Synthesis and Crystal Structure of Nickel Complex, Ni[(DMF)4(H2O)2]·Br2. Inorg. Chem. Indian J. 2007, 2, 88–90. Available online: https://www.tsijournals.com/articles/synthesis-and-crystal-structure-of-nickel-complex-nidmf4h2o2br2.pdf (accessed on 24 July 2025).
- Bogachev, N.A.; Tsyrul’nikov, N.A.; Makarova, A.A.; Tolmachev, M.V.; Starova, L.; Yu, M.; Skripkin, Y.M.; Nikol’skiiet, A.B. Solubility of d-Element Salts in Organic and Aqueous-Organic Solvents: VII. Structure of Nickel Chloride Solvatocomplexes. Russ. J. Gen. Chem. 2019, 89, 859–864. [Google Scholar] [CrossRef]
- Butler, I.R.; Coles, S.J.; Horton, P.N. On the self-assembly of a trans-dibromo-bis-(dppfo2) iron (III), a ferrocene-ligand complex, dppfo2 = [(ƞ5-C5H4P(O)Ph2)2Fe]: Letting nature do the work. Inorg. Chem. Commun. 2018, 97, 166–170. [Google Scholar] [CrossRef]
- Pathania, A.; Bagchi, S. Slowdown of solvent structural dynamics in aqueous DMF solutions. Chem. Phys. Impact 2024, 9, 100711. [Google Scholar] [CrossRef]
- Shao, D.; Shi, L.; Liu, G.; Yue, J.; Ming, S.; Yang, X.; Zhu, J.; Ruan, Z. Metalo Hydrogen-Bonded Organic Frameworks Self-Assembled by Charge-Assisted Synthons for Ultrahigh Proton Conduction. Cryst. Growth Des. 2023, 23, 5035–5042. [Google Scholar] [CrossRef]
- Zhang, Y.-L.; Shi, L.; Liu, G.; Yang, J.; Shao, D. Hydrogen-bonded nickel(II)-organosulfonate framework: Thermal expansion behavior, proton conduction, and magnetic properties. J. Mol. Struct. 2023, 1292, 136131. [Google Scholar] [CrossRef]
- Zhou, Y.; Xiang, H.; Zhu, J.-Y.; Shi, L.; You, W.-J.; Wei, X.-Q.; Tian, Z.; Shao, D. Synthesis, structure, magnetism and proton conductivity of a cyanide-bridged NiIICoIII framework. Polyhedron 2022, 228, 116181. [Google Scholar] [CrossRef]
- Zhou, Y.; Zhang, Y.L.; Zhang, Q.; Yang, S.-Y.; Wei, X.-Q.; Tian, Z.; Shao, D. Supramolecular porous frameworks of two Ni(II) coordination polymers with varying structures, porosities, and magnetic properties. Polyhedron 2022, 225, 116078. [Google Scholar] [CrossRef]
- Wei, X.-Q.; Wan, Y.; Tang, W.-J.; Dong, J.; Huang, L.; Yang, J.; Huang, X.-C.; Shao, D. Two cobalt(II) and nickel(II) sulfonate complexes constructed by mixed bipyridyl-organodisulfonate strategy: Syntheses, crystal structures, and magnetic properties. J. Mol. Struct. 2024, 1305, 137823. [Google Scholar] [CrossRef]
- Keskin, S.G.; Stanley, J.M.; Cowley, A.H. Synthesis, characterization and theoretical investigations of molybdenum carbonyl complexes with phosphorus/nitrogen/phosphorus ligand as bidentate and tridentate modes. Polyhedron 2017, 138, 206–217. [Google Scholar] [CrossRef]
- Laine, T.V.; Klinga, M.; Leskela, M. Pyridinylimine-based nickel(II) and palladium(II) complexes: Preparation, structural characterization and use as alkene polymerization catalysts. Eur. J. Inorg. Chem. 1999, 6, 959–964. [Google Scholar] [CrossRef]
- Boussandel, S.; Erb, W.; Roisnel, T.; Blot, M.; Hurvois, J.-P.; Butler, I.; Samarat, A.; Mongin, F. Hexafluoroisopropanol-promoted substitution towards the synthesis of enantiopure ferrocene phosphines. Synthesis 2025, in press. [Google Scholar] [CrossRef]











Disclaimer/Publisher’s Note: The statements, opinions and data contained in all publications are solely those of the individual author(s) and contributor(s) and not of MDPI and/or the editor(s). MDPI and/or the editor(s) disclaim responsibility for any injury to people or property resulting from any ideas, methods, instructions or products referred to in the content. |
© 2025 by the authors. Licensee MDPI, Basel, Switzerland. This article is an open access article distributed under the terms and conditions of the Creative Commons Attribution (CC BY) license (https://creativecommons.org/licenses/by/4.0/).
Share and Cite
Butler, I.R.; Horton, P.N.; Coles, S.J.; Clegg, W.; Fortune, K.M.; Drew, M.G.B.; Suwada, K. A Rare Thermochromic Zwitterionic Nickel (II) Complex of the Bulky Alpha Ligand 1,2-Bis-(di-tbutylphosphinomethyl)Benzene. Inorganics 2025, 13, 291. https://doi.org/10.3390/inorganics13090291
Butler IR, Horton PN, Coles SJ, Clegg W, Fortune KM, Drew MGB, Suwada K. A Rare Thermochromic Zwitterionic Nickel (II) Complex of the Bulky Alpha Ligand 1,2-Bis-(di-tbutylphosphinomethyl)Benzene. Inorganics. 2025; 13(9):291. https://doi.org/10.3390/inorganics13090291
Chicago/Turabian StyleButler, Ian R., Peter N. Horton, Simon J. Coles, William Clegg, Kevin M. Fortune, Michael G. B. Drew, and Kamil Suwada. 2025. "A Rare Thermochromic Zwitterionic Nickel (II) Complex of the Bulky Alpha Ligand 1,2-Bis-(di-tbutylphosphinomethyl)Benzene" Inorganics 13, no. 9: 291. https://doi.org/10.3390/inorganics13090291
APA StyleButler, I. R., Horton, P. N., Coles, S. J., Clegg, W., Fortune, K. M., Drew, M. G. B., & Suwada, K. (2025). A Rare Thermochromic Zwitterionic Nickel (II) Complex of the Bulky Alpha Ligand 1,2-Bis-(di-tbutylphosphinomethyl)Benzene. Inorganics, 13(9), 291. https://doi.org/10.3390/inorganics13090291

