A Comprehensive Review of Recent Advances in Perovskite Materials: Electrical, Dielectric, and Magnetic Properties
Abstract
1. Introduction
2. Structural and Chemical Aspects of Perovskites



Characterization Techniques
3. Electrical and Dielectric Properties
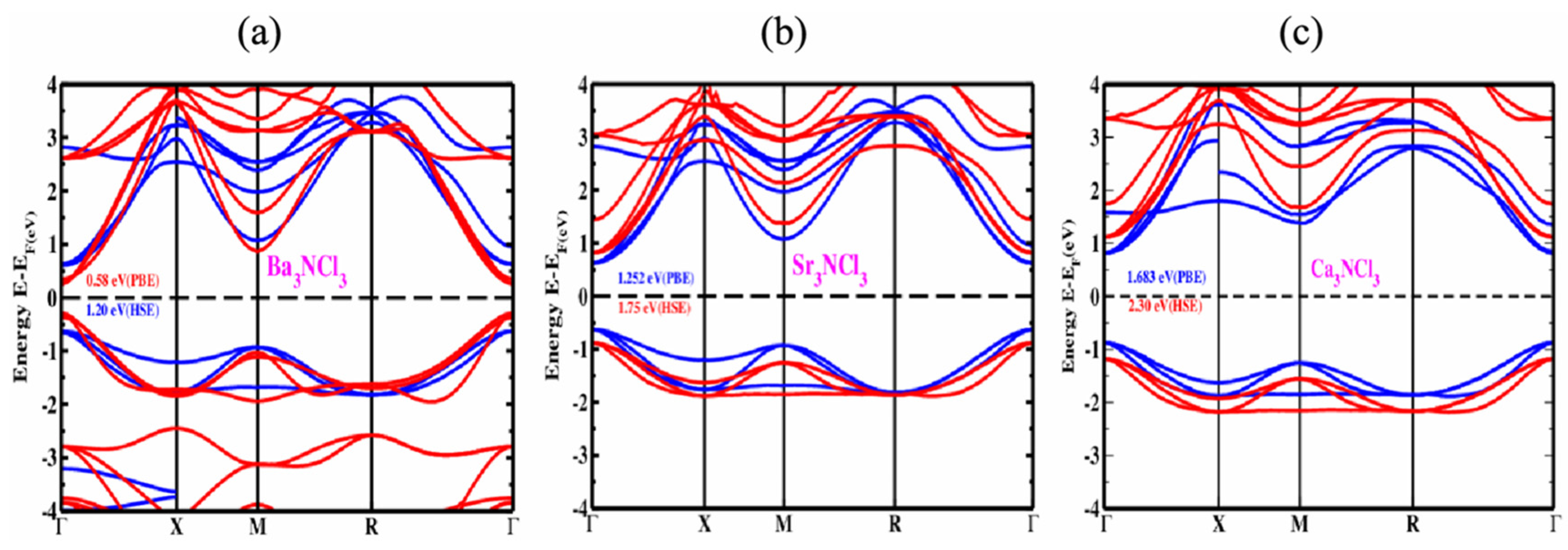
3.1. Electrical Properties

3.2. Dielectric Properties
4. Magnetic Properties
5. Conclusions and Perspectives
6. Challenges and Future Directions
Author Contributions
Funding
Data Availability Statement
Acknowledgments
Conflicts of Interest
References
- Labhasetwar, N.; Saravanan, G.; Megarajan, S.K.; Manwar, N.; Khobragade, R.; Doggali, P.; Grasset, F. Perovskite-type catalytic materials for environmental applications. Sci. Technol. Adv. Mater. 2015, 16, 036002. [Google Scholar] [CrossRef] [PubMed]
- Dong, H.; Zhang, C.; Liu, X.; Yao, J.; Zhao, Y.S. Materials chemistry and engineering in metal halide perovskite lasers. Chem. Soc. Rev. 2020, 49, 951–982. [Google Scholar] [CrossRef] [PubMed]
- Liang, J.; Xu, W.; Wang, T.; Yang, Q.; Zhang, S. Implementing NAT Hole Punching with QUIC. In Proceedings of the 2024 IEEE 100th Vehicular Technology Conference (VTC2024-Fall), Washington, DC, USA, 7–10 October 2024; IEEE: Piscataway, NJ, USA, 2024. [Google Scholar]
- Shi, X.; Ishtiaq, U.; Din, M.; Akram, M. Fractals of interpolative Kannan mappings. Fractal Fract. 2024, 8, 493. [Google Scholar] [CrossRef]
- Zhang, X.; Chen, A.L.; Piao, X.; Yu, M.; Zhang, Y.; Zhang, L. Is AI chatbot recommendation convincing customer? An analytical response based on the elaboration likelihood model. Acta Psychol. 2024, 250, 104501. [Google Scholar] [CrossRef]
- Shi, X.; Zhang, Y.; Pujahari, A.; Mishra, S.K. When latent features meet side information: A preference relation-based graph neural network for collaborative filtering. Expert Syst. Appl. 2025, 260, 125423. [Google Scholar] [CrossRef]
- Xu, C.; Zhu, M.; Wang, Q.; Cui, J.; Huang, Y.; Huang, X.; Huang, J.; Gai, J.; Li, G.; Qiao, P.; et al. TROP2-directed nanobody-drug conjugate elicited potent antitumor effect in pancreatic cancer. J. Nanobiotechnol. 2023, 21, 410. [Google Scholar] [CrossRef] [PubMed]
- Zhang, H.H.; Chao, J.B.; Wang, Y.W.; Liu, Y.; Yao, H.M.; Zhao, Z.P.; Niu, K. 5G Base Station Antenna Array with Heatsink Radome. IEEE Trans. Antennas Propag. 2024, 72, 2270–2278. [Google Scholar] [CrossRef]
- Wang, Z.; Liao, Z.; Zhou, B.; Yu, G.; Luo, W. SwinURNet: Hybrid transformer-cnn architecture for real-time unstructured road segmentation. IEEE Trans. Instrum. Meas. 2024, 73. [Google Scholar] [CrossRef]
- Luo, Y.X.; Dong, Y.L. Strain Measurement at up to 3000 °C Based on Ultraviolet-Digital Image Correlation. NDT E Int. 2024, 146, 103155. [Google Scholar] [CrossRef]
- Pi, X.; Yan, D.; Xu, Y.; Pan, M.; Wang, Z.; Chang, M.; Qi, Z. TLRs signaling pathway regulation, antibacterial and apoptotic activity of largemouth bass ECSIT during Edwardsiella piscicida infection. Aquaculture 2025, 595, 741615. [Google Scholar] [CrossRef]
- Lv, H.; Zeng, J.; Zhu, Z.; Dong, S.; Li, W. Study on prestress distribution and structural performance of heptagonal six-five-strut alternated cable dome with inner hole. In Structures; Elsevier: Amsterdam, The Netherlands, 2024; Volume 65. [Google Scholar]
- Cui, M.; Han, D.; Liu, H.; Li, K.-C.; Tang, M.; Chang, C.-C.; Ayaz, F.; Sheng, Z.; Guan, Y.L. Secure Data Sharing for Consortium BlockchainEnabled Vehicular Social Networks. IEEE Trans. Veh. Technol. 2024, 73, 19682–19695. [Google Scholar] [CrossRef]
- Shi, J.; Han, D.; Chen, C.; Shen, X. KTMN: Knowledge-driven Two-stage Modulation Network for visual question answering. Multimed. Syst. 2024, 30, 350. [Google Scholar] [CrossRef]
- Nakajima, T.; Fujio, Y.; Sugahara, T.; Tsuchiya, T. Flexible ceramic film sensors for free-form devices. Sensors 2022, 22, 1996. [Google Scholar] [CrossRef] [PubMed]
- Song, X.; Han, D.; Chen, C.; Shen, X.; Wu, H. Vman: Visual-modified attention network for multimodal paradigms. Vis. Comput. 2024, 1–18. [Google Scholar] [CrossRef]
- Li, J.; Han, D.; Weng, T.-H.; Wu, H.; Li, K.-C.; Castiglione, A. A secure data storage and sharing scheme for port supply chain based on blockchain and dynamic searchable encryption. Comput. Stand. Interfaces 2025, 91, 103887. [Google Scholar] [CrossRef]
- Han, D.; Shi, J.; Zhao, J.; Wu, H.; Zhou, Y.; Li, L.-H.; Khan, M.K.; Li, K.-C. LRCN: Layer-residual Co-Attention Networks for visual question answering. Expert Syst. Appl. 2025, 263, 125658. [Google Scholar] [CrossRef]
- Han, D.; Pan, N.; Li, K.-C. A traceable and revocable ciphertext-policy attribute-based encryption scheme based on privacy protection. IEEE Trans. Dependable Secur. Comput. 2020, 19, 316–327. [Google Scholar] [CrossRef]
- Han, D.; Zhu, Y.; Li, D.; Liang, W.; Souri, A.; Li, K.-C. A blockchain-based auditable access control system for private data in service-centric IoT environments. IEEE Trans. Ind. Inform. 2021, 18, 3530–3540. [Google Scholar] [CrossRef]
- Sun, B.-L.; Shi, X.-L.; Hu, Q.; Du, M.; Gong, H.; Wang, J.; Fan, Y.; Zhang, J.; Li, Z. Ultrahigh-strength textile fiber-supported schiff base copper complexes for photocatalytic degradation of methyl orange. ACS Appl. Polym. Mater. 2024, 6, 13077–13088. [Google Scholar] [CrossRef]
- Zhang, T.; Shi, X.-L.; Hu, Q.; Gong, H.; Shi, K.; Li, Z. Ultrahigh-Performance Fiber-Supported Iron-Based Ionic Liquid for Synthesizing 3,4-Dihydropyrimidin-2-(1H)-ones in a Cleaner Manner. Langmuir 2024, 40, 9579–9591. [Google Scholar] [CrossRef]
- Shen, J.; Bao, X.; Li, J.; Chen, X.; Cui, H. Study on the mechanism of EPWP dissipation at the joints of shield tunnel in liquefiable strata during seismic events. Soil Dyn. Earthq. Eng. 2025, 188, 109089. [Google Scholar] [CrossRef]
- Chen, X.; Dai, A. Quantifying contributions of external forcing and internal variability to Arctic warming during 1900–2021. Earth’s Future 2024, 12, e2023EF003734. [Google Scholar] [CrossRef]
- Guan, D.; Xing, Y.; Huang, J.; Xiao, A.; El Saddik, A.; Lu, S. S2Match: Self-paced sampling for data-limited semi-supervised learning. Pattern Recognit. 2025, 159, 111121. [Google Scholar] [CrossRef]
- Xie, J.; Wen, M.; Ding, P.; Tu, Y.; Wu, D.; Liu, K.; Tang, K.; Chen, M. One-dimensional consolidation analysis of layered unsaturated soils: An improved model integrating interfacial flow and air contact resistance effects. Comput. Geotech. 2024, 176, 106791. [Google Scholar] [CrossRef]
- Li, W.; Xie, Z.; Zhao, J.; Wong, P.K.; Li, P. Fuzzy finite-frequency output feedback control for nonlinear active suspension systems with time delay and output constraints. Mech. Syst. Signal Process. 2019, 132, 315–334. [Google Scholar] [CrossRef]
- Li, W.; Xie, Z.; Wong, P.K.; Cao, Y.; Hua, X.; Zhao, J. Robust nonfragile H∞ optimum control for active suspension systems with time-varying actuator delay. J. Vib. Control 2019, 25, 2435–2452. [Google Scholar] [CrossRef]
- Li, W.; Xie, Z.; Wong, P.K.; Ma, X.; Cao, Y.; Zhao, J. Nonfragile H∞ control of delayed active suspension systems in finite frequency under nonstationary running. J. Dyn. Syst. Meas. Control 2019, 141, 061001. [Google Scholar] [CrossRef]
- Zhao, J.; Wong, P.K.; Xie, Z.; Ma, X.; Hua, X. Design and control of an automotive variable hydraulic damper using cuckoo search optimized PID method. Int. J. Automot. Technol. 2019, 20, 51–63. [Google Scholar] [CrossRef]
- Li, W.; Xie, Z.; Zhao, J.; Wong, P.K. Velocity-based robust fault tolerant automatic steering control of autonomous ground vehicles via adaptive event triggered network communication. Mech. Syst. Signal Process. 2020, 143, 106798. [Google Scholar] [CrossRef]
- Xu, Y.; Xie, Z.; Zhao, J.; Li, W.; Li, P.; Wong, P.K. Robust non-fragile finite frequency H∞ control for uncertain active suspension systems with time-delay using TS fuzzy approach. J. Frankl. Inst. 2021, 358, 4209–4238. [Google Scholar] [CrossRef]
- Li, W.; Xie, Z.; Cao, Y.; Wong, P.K.; Zhao, J. Sampled-data asynchronous fuzzy output feedback control for active suspension systems in restricted frequency domain. IEEE/CAA J. Autom. Sin. 2020, 8, 1052–1066. [Google Scholar] [CrossRef]
- Nassar, K.I.; Slimi, M.; Rammeh, N.; Bouhamed, A.; Njeh, A.; Kanoun, O. Investigation of AC electrical conductivity and dielectric properties of BiBaFeZnO6 double perovskite oxides. J. Mater. Sci. Mater. Electron. 2021, 32, 24050–24057. [Google Scholar] [CrossRef]
- Iben Nassar, K.; Slimi, M.; Rammeh, N.; Soreto Teixeira, S.; Graça, M.P.F. Structural and electrical properties of double perovskite oxide LaPbFeTiO6 synthesized by a sol-gel process. Appl. Phys. A 2021, 127, 940. [Google Scholar] [CrossRef]
- Li, W.; Xie, Z.; Wong, P.K.; Mei, X.; Zhao, J. Adaptive-event-trigger-based fuzzy nonlinear lateral dynamic control for autonomous electric vehicles under insecure communication networks. IEEE Trans. Ind. Electron. 2020, 68, 2447–2459. [Google Scholar] [CrossRef]
- Li, W.; Xie, Z.; Wong, P.K.; Hu, Y.; Guo, G.; Zhao, J. Event-triggered asynchronous fuzzy filtering for vehicle sideslip angle estimation with data quantization and dropouts. IEEE Trans. Fuzzy Syst. 2021, 30, 2822–2836. [Google Scholar] [CrossRef]
- Nassar, K.I.; Benamara, M.; Kechiche, L.; Teixeira, S.S.; Graça, M.P.F. Structural, electrical properties of bismuth and niobium-doped LaNiO3 perovskite obtained by sol-gel route for future electronic device applications. Indian J. Phys. 2024, 98, 2745–2753. [Google Scholar] [CrossRef]
- Iben Nassar, K.; Rammeh, N. Study of structural, dielectric, and electrical properties of the LaBaFe1.2Mn0.8O6 double perovskite. Indian J. Phys. 2023, 97, 1749–1757. [Google Scholar] [CrossRef]
- Tayari, F.; Nassar, K.I.; Benamara, M.; ben Moussa, S.; Alzahrani, A.Y.A.; Teixeira, S.S.; Graça, M.P.F. Insights into dielectric and electrical conductivity dynamics in sol-gel synthesized Ba0.75Ni0.25Tc0.88Mn0.12O3 perovskite ceramic. J. Sol-Gel Sci. Technol. 2024, 111, 132–143. [Google Scholar] [CrossRef]
- Gupta, V.; Ncho, C.M.; Goel, A.; Jeong, C.M.; Choi, Y.H. Effects of in ovo injection of α-ketoglutaric acid on hatchability, growth, plasma metabolites, and antioxidant status of broilers. Antioxidants 2022, 11, 2102. [Google Scholar] [CrossRef] [PubMed]
- Liu, J.; Xie, Z.; Zhao, J.; Wong, P.K. Probabilistic Adaptive Dynamic Programming for Optimal Reliability-Critical Control with Fault Interruption Estimation. IEEE Trans. Ind. Inform. 2024, 20, 8524–8535. [Google Scholar] [CrossRef]
- Liu, J.; Xie, Z.; Gao, J.; Hu, Y.; Zhao, J. Failure characteristics of the active-passive damping in the functionally graded piezoelectric layers-magnetorheological elastomer sandwich structure. Int. J. Mech. Sci. 2022, 215, 106944. [Google Scholar] [CrossRef]
- Li, W.; Xie, Z.; Zhao, J.; Gao, J.; Hu, Y.; Wong, P.K. Human-machine shared steering control for vehicle lane keeping systems via a fuzzy observer-based event-triggered method. IEEE Trans. Intell. Transp. Syst. 2021, 23, 13731–13744. [Google Scholar] [CrossRef]
- Chu, S.; Xie, Z.; Wong, P.K.; Li, P.; Li, W.; Zhao, J. Observer-based gain scheduling path following control for autonomous electric vehicles subject to time delay. Veh. Syst. Dyn. 2022, 60, 1602–1626. [Google Scholar] [CrossRef]
- Xie, Z.; Li, S.; Wong, P.K.; Li, W.; Zhao, J. An improved gain-scheduling robust MPC for path following of autonomous independent-drive electric vehicles with time-varying and uncertainties. Veh. Syst. Dyn. 2024, 1–27. [Google Scholar] [CrossRef]
- Xie, Z.; You, W.; Wong, P.K.; Li, W.; Zhao, J. Fuzzy robust non-fragile control for nonlinear active suspension systems with time varying actuator delay. Proc. Inst. Mech. Eng. Part D J. Automob. Eng. 2024, 238, 46–62. [Google Scholar] [CrossRef]
- Cao, Y.; Xie, Z.; Li, W.; Wang, X.; Wong, P.K.; Zhao, J. Combined Path Following and Direct Yaw-Moment Control for Unmanned Electric Vehicles Based on Event-Triggered T–S Fuzzy Method. Int. J. Fuzzy Syst. 2024, 26, 2433–2448. [Google Scholar] [CrossRef]
- Hu, Y.; Sugiyama, Y. Well-posedness of the initial-boundary value problem for 1D degenerate quasilinear wave equations. Adv. Differ. Equ. 2025, 30, 177–206. [Google Scholar] [CrossRef]
- Du, J.; Liu, H.; Wang, F.; Bao, W.; Li, H. Solidification Microstructure Reconstruction and Its Effects on Phase Transformation, Grain Boundary Transformation Mechanism, and Mechanical Properties of TC4 Alloy Welded Joint. Metall. Mater. Trans. A 2024, 55, 1193–1206. [Google Scholar] [CrossRef]
- Lv, S.; Liu, H.; Wang, F.; Liu, X.; Peng, M.; Wei, Y.; Li, C. Effect of axial misalignment on the microstructure, mechanical, and corrosion properties of magnetically impelled arc butt welding joint. Mater. Today Commun. 2024, 40, 109866. [Google Scholar] [CrossRef]
- Bao, W.; Liu, H.; Wang, F.; Du, J.; Wang, Y.; Li, H.; Ye, X. Keyhole critical failure criteria and variation rule under different thicknesses and multiple materials in K-TIG welding. J. Manuf. Process. 2024, 126, 48–59. [Google Scholar] [CrossRef]
- Zhou, H.; Guo, J.; Zhu, G.; Xie, F.; Tang, X.; Luo, X. Highly efficient preparation of crystalline yttrium carbonate in sodium carbonate system: Formation and growth mechanism. J. Rare Earths, 2024; in press. [Google Scholar] [CrossRef]
- Zhou, H.; Guo, J.; Zhu, G.; Xu, H.; Tang, X.; Luo, X. Flotation behavior and mechanism of smithsonite under the system of bidentate ligand sulfide sodium thiocyanate. Sep. Purif. Technol. 2024, 334, 126086. [Google Scholar] [CrossRef]
- Luan, S.; Ji, Y.; Liu, Y.; Zhu, L.; Zhao, H.; Zhou, H.; Li, K.; Zhu, W.; Zhu, B. AI-powered ultrasonic thermometry for HIFU therapy in deep organ. Ultrason. Sonochemistry 2024, 111, 107154. [Google Scholar] [CrossRef]
- Zhang, M.; Xu, Y.-C.; Wang, J.-F.; Peng, K.-R.; Dai, S.; Wu, J.-M.; Zhu, L. Cold-sprayed Cu matrix composite coatings with core-shell structured Co@ WC reinforcements on Q235 steel. Surf. Interfaces 2025, 56, 105577. [Google Scholar] [CrossRef]
- Feng, C.; Feng, Z.; Mao, R.; Li, G.; Zhong, Y.; Ling, K. Prediction of vitrinite reflectance of shale oil reservoirs using nuclear magnetic resonance and conventional log data. Fuel 2023, 339, 127422. [Google Scholar] [CrossRef]
- Wehrenfennig, C.; Eperon, G.E.; Johnston, M.B.; Snaith, H.J.; Herz, L.M. High charge carrier mobilities and lifetimes in organolead trihalide perovskites. Adv. Mater. 2013, 26, 1584–1589. [Google Scholar] [CrossRef] [PubMed]
- Wehrenfennig, C.; Eperon, G.E.; Stranks, S.D.; Snaith, H.J.; Herz, L.M. Charge carrier recombination channels in the low-temperature phase of organic-inorganic lead halide perovskite thin films. APL Mater. 2014, 2, 081513. [Google Scholar] [CrossRef]
- Serpetzoglou, E.; Kymakis, E.; Stratakis, E.; Koutselas, I. In situ monitoring of the charge carrier dynamics of CH3NH3PbI3 perovskite crystallization process. J. Mater. Chem. C 2019, 7, 12170–12179. [Google Scholar] [CrossRef]
- Serpetzoglou, E.; Kymakis, E.; Stratakis, E.; Koutselas, I. Charge carrier dynamics in different crystal phases of CH3NH3PbI3 perovskite. Opto-Electron. Sci. 2022, 1, 210005. [Google Scholar] [CrossRef]
- Yu, Z.; Zhao, J.; Markov, V.; Han, D. Effects of hydrogen addition on ignition characteristics and engine performance of ammonia-hydrogen blended fuel: A kinetic analysis. Int. J. Hydrogen Energy 2024, 87, 722–735. [Google Scholar] [CrossRef]
- Feng, G.; Liu, T.; Jiang, F.; Guo, Z.; Xiao, L.; Wu, Q.; Zhang, X.; Hu, Q.; Liu, J.; Liang, J. Novel (Ni, Mn) co-doping CuFe5O8 black ceramic pigment with pinning strengthen effect in high-temperature black zirconia ceramic application. Ceram. Int. 2024; in press. [Google Scholar] [CrossRef]
- Yue, T.; Zhang, W.; Pei, H.; Danzeng, D.; He, J.; Yang, J.; Luo, Y.; Zhang, Z.; Xiong, S.; Yang, X.; et al. Monascus pigment-protected bone marrow-derived stem cells for heart failure treatment. Bioact. Mater. 2024, 42, 270–283. [Google Scholar] [CrossRef]
- Wang, X.; Zhang, Y.; Wen, M.; Mang, H.A. A simple hybrid linear and nonlinear interpolation finite element for the adaptive Cracking Elements Method. Finite Elem. Anal. Des. 2025, 244, 104295. [Google Scholar] [CrossRef]
- Wang, Y.; Xia, S.; Chen, K.; Zhang, J.; Tan, H.; Yu, C.; Cui, J.; Zeng, J.; Wu, J.; Wang, P.; et al. Atomic-Scale Tailoring C–N Coupling Sites for Efficient Acetamide Electrosynthesis over Cu-Anchored Boron Nitride Nanosheets. ACS Nano 2024, 18, 34403–34414. [Google Scholar] [CrossRef] [PubMed]
- Li, Z.; Li, W.; Li, X.; Zhang, Y. Guardians of the Ledger: Protecting Decentralized Exchanges From State Derailment Defects. IEEE Trans. Reliab. 2024, 1–13. [Google Scholar] [CrossRef]
- Thakur, P.; Sharma, N.; Pathak, D.; Sharma, P.; Kishore, K.; Dhar, S.; Lal, M. State-of-art review on smart perovskites materials: Properties and applications. Emergent Mater. 2024, 7, 667–694. [Google Scholar] [CrossRef]
- Zhang, F.; Miao, X.; van Dijk, N.; Brück, E.; Ren, Y. Advanced Magnetocaloric Materials for Energy Conversion: Recent Progress, Opportunities, and Perspective. Adv. Energy Mater. 2024, 14, 2400369. [Google Scholar] [CrossRef]
- Konidakis, I.; Karagiannaki, A.; Stratakis, E. Advanced composite glasses with metallic, perovskite, and two-dimensional nanocrystals for optoelectronic and photonic applications. Nanoscale 2022, 14, 2966–2989. [Google Scholar] [CrossRef]
- Zhu, Y.; Zhou, W.; Zhong, Y.; Bu, Y.; Chen, X.; Zhong, Q.; Liu, M.; Shao, Z. A Perovskite Nanorod as Bifunctional Electrocatalyst for Overall Water Splitting. Adv. Energy Mater. 2017, 7, 1602122. [Google Scholar] [CrossRef]
- Tayari, F.; Teixeira, S.S.; Graça, M.P.F.; Essid, M.; Nassar, K.I. Investigating structural, dielectric, and electrical characteristics of sol-gel synthesized perovskite ceramic Bi0.7Ba0.3(FeTi)0.5O3. J. Sol-Gel Sci. Technol. 2024, 112, 601–613. [Google Scholar] [CrossRef]
- Manser, J.S.; Kamat, P.V. Band filling with free charge carriers in organometal halide perovskites. Nat. Photonics 2014, 8, 737–743. [Google Scholar] [CrossRef]
- Konidakis, I.; Stratakis, E.; Koutselas, I. Improved charge carrier dynamics of CH3NH3PbI3 perovskite films synthesized by means of laser-assisted crystallization. ACS Appl. Energy Mater. 2018, 1, 5101–5111. [Google Scholar] [CrossRef]
- Dhahri, R.; Albargi, H.B.; Jbeli, A.; Elkenany, E.B.; Althumairi, N.A.; Al-Syadi, A.M.; Sharma, N.; Lal, M.; Nassar, K.I. Enhanced electrical and magnetic properties of barium manganese titanium oxide perovskite ceramics synthesized by solid-state reaction. J. Mater. Sci. Mater. Electron. 2025, 36, 30. [Google Scholar] [CrossRef]
- Luo, S.-Q.; Wang, J.-F.; Yang, B.; Yuan, Y.-B. Recent advances in controlling the crystallization of two-dimensional perovskites for optoelectronic devices. Front. Phys. 2019, 14, 53401. [Google Scholar] [CrossRef]
- Meng, F.; Pang, A.; Dong, X.; Han, C.; Sha, X. H∞ optimal performance design of an unstable plant under bode integral constraint. Complexity 2018, 2018, 4942906. [Google Scholar] [CrossRef]
- Duan, Y.; Wang, D.; Costa, R.D. Recent Progress on Synthesis, Characterization, and Applications of Metal Halide Perovskites@Metal Oxide. Adv. Funct. Mater. 2021, 31, 2104634. [Google Scholar] [CrossRef]
- Guo, X.; Zhou, J.; Wang, T. Methane recovery from anaerobic digestion of urea-pretreated wheat straw. Renew. Energy 2017, 113, 668–675. [Google Scholar]
- Li, J.; Wang, X.; Zhang, Y. Role of soil in improving process performance and methane yield of anaerobic digestion with corn straw as substrate. Energy 2018, 151, 869–878. [Google Scholar]
- Chen, H.; Liu, X.; Xu, F. Simultaneous ammonia stripping and anaerobic digestion for efficient thermophilic conversion of dairy manure at high solids concentration. Energy 2017, 138, 78–86. [Google Scholar]
- Luo, T.; Wang, Q.; Zhang, W. Using the properties of soil to speed up the start-up process, enhance process stability, and improve the methane content and yield of solid-state anaerobic digestion of alkaline-pretreated poplar processing residues. Biotechnol. Biofuels 2014, 7, 160. [Google Scholar]
- Zhou, S.; Li, W.; Liu, G. Anaerobic digestion of poplar processing residues for methane production after alkaline treatment. Bioresour. Technol. 2013, 140, 226–232. [Google Scholar]
- Chen, Y.; Cheng, J.; He, Z. Importance of “weak-base” poplar wastes to process performance and methane yield in solid-state anaerobic digestion. J. Environ. Manag. 2017, 192, 151–159. [Google Scholar]
- Liu, X.; Wang, W.; Zhang, Y. A novel and simple approach to the good process performance of methane recovery from lignocellulosic biomass alone. Biotechnol. Biofuels 2016, 9, 253. [Google Scholar]
- Zheng, Y.; Zhao, J.; Xu, F.; Li, Y. Leading pretreatments for enhancing the degradability of lignocellulosic wastes and the final products. Bioengineered 2016, 7, 356–365. [Google Scholar]
- Dhahri, R.; Tayari, F.; Haouas, A.; Alathlawi, H.J.; Albargi, H.B.; Elkenany, E.B.; Al-Syadi, A.M.; Sharma, N.; Lal, M.; Nassar, K.I. Crystal structural characteristics and optical and electrical properties of Bi-doped (Ba0.8Sr0.2)(Ti0.85Zr0.15)O3 perovskite ceramics. J. Mater. Sci. Mater. Electron. 2025, 36, 331. [Google Scholar] [CrossRef]
- Chen, J.; Wang, Y.; Zhang, Y.; Lu, Y.; Shu, Q.; Hu, Y. Extrinsic-and-Intrinsic Reward-Based Multi-Agent Reinforcement Learning for Multi-UAV Cooperative Target Encirclement. IEEE Trans. Intell. Transp. Syst. 2025, 1–13. [Google Scholar] [CrossRef]
- Chen, J.; Wang, Y.; Zhang, Y.; Lu, Y.; Li, Q.; Shu, Q. Non-Preemptive Scheduling of Periodic Tasks with Data Dependencies in Heterogeneous Multiprocessor Embedded Systems. ACM Trans. Des. Autom. Electron. Syst. 2025, 30, 1–25. [Google Scholar] [CrossRef]
- Jing, H.; Lin, Q.; Liu, M.; Liu, H. Electromechanical braking systems and control technology: A survey and practice. Proc. Inst. Mech. Eng. Part D J. Automob. Eng. 2024. [Google Scholar] [CrossRef]
- Li, S.; Li, J.; Tian, G.; Shang, H. Stiffness adjustment for a single-link robot arm driven by series elastic actuator in muscle training. IEEE Access 2019, 7, 65029–65039. [Google Scholar] [CrossRef]
- Li, S.; Li, J.; Tian, G.; Shang, H. Variable stiffness control for SEAs in rehabilitation training. Adv. Robot. 2019, 33, 424–438. [Google Scholar] [CrossRef]
- Li, X.; Cai, H.; Tian, G.; Hu, B. Life Field Theory: An Objective Presentation of the Dynamic Evolution of Human Life. IEEE Trans. Comput. Soc. Syst. 2023, 10, 1423–1427. [Google Scholar] [CrossRef]
- Li, Y.S.; Zhang, J.; Tian, G.H.; Shang, H.C.; Tang, H.B. Kirenol, darutoside and hesperidin contribute to the anti-inflammatory and analgesic activities of Siegesbeckia pubescens makino by inhibiting COX-2 expression and inflammatory cell infiltration. J. Ethnopharmacol. 2021, 268, 113547. [Google Scholar] [CrossRef]
- Wang, X.; Tian, G.; Li, Z.; Zheng, L. The crosstalk between miRNA and mammalian circadian clock. Curr. Med. Chem. 2015, 22, 1582–1588. [Google Scholar] [CrossRef]
- Yuan, X.C.; Song, J.L.; Tian, G.H.; Shi, S.H.; Li, Z.G. Proteome analysis on the mechanism of electroacupuncture in relieving acute spinal cord injury at different time courses in rats. Zhen Ci Yan Jiu = Acupunct. Res. 2009, 34, 75–82. [Google Scholar]
- Li, X.; Dai, Q.; Shi, Z.; Chen, H.; Hu, Y.; Wang, X.; Zhang, X.; Tian, G. Clinical efficacy and safety of electroacupuncture in migraine treatment: A systematic review and network meta-analysis. Am. J. Chin. Med. 2019, 47, 1755–1780. [Google Scholar] [CrossRef] [PubMed]
- Li, X.; Lin, S.; Lin, Y.; Su, Y.; Wang, C.; Huang, L.; Zhao, J.; Tian, G. The analgesic mechanism of Xi Shao Formula research on neuropathic pain based on metabolomics. J. Tradit. Chin. Med. Sci. 2023, 10, 448–460. [Google Scholar] [CrossRef]
- Yang, Z.; Niu, X.; Hou, K.; Liang, W.; Guo, Y. Prediction model on maximum potential pollution range of debris flows generated in tailings dam break. Electron. J. Geotech. Eng. 2015, 20, 4363–4369. [Google Scholar]
- Ye, F.; Zhang, S.; Warby, J.; Wu, J.; Gutierrez-Partida, E.; Lang, F.; Shah, S.; Saglamkaya, E.; Sun, B.; Zu, F.; et al. Overcoming C60-induced interfacial recombination in inverted perovskite solar cells by electron-transporting carborane. Nat. Commun. 2022, 13, 1–12. [Google Scholar] [CrossRef] [PubMed]
- Yang, Z.; Niu, X.; Hou, K.; Liang, W.; Guo, Y. Relationships between water-cement ratio and rheological characteristics of power-law cement grouts. Electron. J. Geotech. Eng. 2015, 20, 5825–5831. [Google Scholar]
- Yang, Z.Q.; Zhu, Y.Y.; Zou, D.S. Formation conditions and risk evaluation of glacial debris flow disasters along International Karakorum Highway (KKH). Ital. J. Eng. Geol. Environ. 2011, 1031–1037. [Google Scholar] [CrossRef]
- Yang, Z.; Qian, S.; Hou, K. Time-dependent Behavior Characteristics of Power-law Cement Grouts Applied in Geotechnical Engineering. Electron. J. Geotech. Eng. 2016, 21, 1017–1024. [Google Scholar]
- Yang, Z.; Zhu, Y.; Qian, S.; Hou, K. Types and space distribution characteristics of debris flow disasters along China-Pakistan Highway. Electron. J. Geotech. Eng 2016, 21, 191–200. [Google Scholar]
- Liu, C.; Li, Z.; Zhang, H.; Yu, H.; Yan, J.; Wei, D.; Song, Z.; Cao, J.; Sun, Y. Visualization of the elevated levels of hypochlorous acid in Alzheimer’s disease with a ruthenium (II) complex-based luminescence probe. Anal. Chim. Acta 2023, 1279, 341779. [Google Scholar] [CrossRef]
- Achary, P.G.R.; Dehury, S.K.; Choudhary, R.N.P. Structural, electrical and dielectric properties of double perovskites: BiHoZnZrO6 and BiHoCuTiO6. J. Mater. Sci. Mater. Electron. 2018, 29, 6805–6816. [Google Scholar] [CrossRef]
- Thakur, P.; Kishore, K.; Kumar, R.; Pathak, D.; Nassar, K.I.; Lal, M. Structural, morphological, dielectric, and magnetic properties of CoFe2O4 ceramics at different sintering temperatures. J. Mater. Sci. Mater. Electron. 2024, 35, 1932. [Google Scholar] [CrossRef]
- Smith, J.; Brown, K.; Davis, R. Data-driven pressure estimation and optimal sensor selection for noisy turbine flow with blocked clustering strategy. J. Appl. Phys. 2024, 145, 075901. [Google Scholar]
- Zhou, M.; Liu, H.; Wang, X. Bagasse-based porous flower-like MoS2/carbon composites for efficient microwave absorption. Nano-Micro Lett. 2024, 16, 105. [Google Scholar]
- Gao, Y.; Sun, L.; Chen, R. Effects of pristine and photoaged tire wear particles and their leachable additives on key nitrogen removal processes and nitrous oxide accumulation in estuarine sediments. J. Hazard. Mater. 2025, 487, 137136. [Google Scholar]
- Zhang, T.; Wu, Q.; Yang, S. Investigating the structural behavior of double-skin steel tubes filled with basalt fibre reinforced recycled aggregate concrete under high temperature. J. Build. Eng. 2025, 100, 111782. [Google Scholar]
- Sun, P.; Liu, J. A review of seismic resilience of shield tunnels. Tunn. Undergr. Space Technol. 2023, 137, 105075. [Google Scholar]
- Guo, H.; Liu, X. Limosilactobacillus regulating microbial communities to overcome the hydrolysis bottleneck with efficient one-step co-production of H2 and CH4. Adv. Sci. 2024, 11, 2406119. [Google Scholar]
- Xiao, Y.; Wang, Z.; Zhang, F. IndVisSGG: VLM-based scene graph generation for industrial spatial intelligence. Adv. Eng. Inform. 2024, 65, 103107. [Google Scholar]
- Tang, X.; Wu, J. An AUV-enabled dockable platform for long-term dynamic and static monitoring of marine pastures. IEEE J. Ocean. Eng. 2024, 50, 276–293. [Google Scholar]
- Kim, Y.H.; Park, J.; Kim, S.; Kim, J.S.; Xu, H.; Jeong, S.H.; Hu, B.; Lee, T.W. Exploiting the full advantages of colloidal perovskite nanocrystals for large-area efficient light-emitting diodes. Nat. Nanotechnol. 2022, 17, 590–597. [Google Scholar] [CrossRef] [PubMed]
- Guo, B.; Lai, R.; Jiang, S.; Zhou, L.; Ren, Z.; Lian, Y.; Li, P.; Cao, X.; Xing, S.; Wang, Y.; et al. Ultrastable near-infrared perovskite light-emitting diodes. Nat. Photonics 2022, 16, 637–643. [Google Scholar] [CrossRef]
- Brinkmann, K.O.; Becker, T.; Zimmermann, F.; Kreusel, C.; Gahlmann, T.; Theisen, M.; Haeger, T.; Olthof, S.; Tückmantel, C.; Günster, M.; et al. Perovskite–organic tandem solar cells with indium oxide interconnect. Nature 2022, 604, 280–286. [Google Scholar] [CrossRef] [PubMed]
- Wang, S.; Xu, J.; Zhu, Y. Facilitated methanogenesis involved in anaerobic digestion of dairy manure by soil. J. Clean. Prod. 2019, 232, 117640. [Google Scholar]
- Zhang, C.; Su, H.; Baeyens, J. Water-free anaerobic co-digestion of vegetable processing waste with cattle slurry for methane production at high total solid content. Energy 2014, 74, 258–267. [Google Scholar]
- Sharma, R.; Hooda, N.; Hooda, A.; Khasa, S. Improved magnetic properties of Fe substituted La2CoMnO6 for spintronic applications. J. Magn. Magn. Mater. 2023, 587, 171347. [Google Scholar] [CrossRef]
- Gao, Y.; Fan, Y.; Zhang, C. Process modeling and optimization of anaerobic co-digestion of peanut hulls and swine manure using response surface methodology. Energy Fuels 2019, 33, 10168–10175. [Google Scholar]
- Li, J.; Wang, Y.; Zhang, H. Damage evolution characteristics of siliceous slate with varying initial water content during freeze-thaw cycles. Sci. Total Environ. 2024, 950, 175200. [Google Scholar]
- Wang, L.; Zhang, Y.; Li, P. (±)-Hypandrone A, a pair of polycyclic polyprenylated acylphloroglucinol enantiomers with a caged 7/6/5/6/6 pentacyclic skeleton from Hypericum androsaemum. Org. Chem. Front. 2024, 11, 3459–3464. [Google Scholar]
- Jiang, Q.; Tong, J.; Scheidt, R.A.; Wang, X.; Louks, A.E.; Xian, Y.; Tirawat, R.; Palmstrom, A.F.; Hautzinger, M.P.; Harvey, S.P.; et al. Compositional texture engineering for highly stable wide-bandgap perovskite solar cells. Science 2022, 378, 1295–1300. [Google Scholar] [CrossRef] [PubMed]
- Rahman, M.A.; Rahman, M.F.; Marasamy, L.; Harun-Or-Rashid, M.; Ghosh, A.; Chaudhry, A.R.; Irfan, A. Impact of A-Cations Modified on the Structural, Electronic, Optical, Mechanical, and Solar Cell Performance of Inorganic Novel A3NCl3 (A = Ba, Sr, and Ca) Perovskites. Energy Fuels 2024, 38, 8199–8217. [Google Scholar] [CrossRef]
- Lin, R.; Wang, Y.; Lu, Q.; Tang, B.; Li, J.; Gao, H.; Gao, Y.; Li, H.; Ding, C.; Wen, J.; et al. All-perovskite tandem solar cells with 3D/3D bilayer perovskite heterojunction. Nature 2023, 620, 994–1000. [Google Scholar] [CrossRef] [PubMed]
- Krichene, A.; Boujelben, W.; Rathod, K.N.; Gadani, K.; Chen, C.; Kandasami, A.; Shah, N.A.; Solanki, P.S. Electronic structure and room temperature colossal magnetodielectric effect in La0.4Dy0.1Ca0.5MnO3 manganite. J. Alloys Compd. 2024, 999, 175022. [Google Scholar] [CrossRef]
- You, S.; Eickemeyer, F.T.; Gao, J.; Yum, J.-H.; Zheng, X.; Ren, D.; Xia, M.; Guo, R.; Rong, Y.; Zakeeruddin, S.M.; et al. Bifunctional hole-shuttle molecule for improved interfacial energy level alignment and defect passivation in perovskite solar cells. Nat. Energy 2023, 8, 515–525. [Google Scholar] [CrossRef]
- Zhou, S.; Fu, S.; Wang, C.; Meng, W.; Zhou, J.; Zou, Y.; Lin, Q.; Huang, L.; Zhang, W.; Zeng, G.; et al. Aspartate all-in-one doping strategy enables efficient all-perovskite tandems. Nature 2023, 624, 69–73. [Google Scholar] [CrossRef] [PubMed]
- Algahtani, A.; Ali, S.; Hussain, T.; Ali, A.; Quraishi, A.M.; Tirth, V.; Abdullaeva, B.S.; Kamran, M.; Aslam, M.; Zaman, A. Studies on structural, optical and microwave dielectric properties of double perovskite Sr2Fe1+xNb1−xO6, ceramics synthesized by solid state route. Opt. Mater. 2024, 148, 114822. [Google Scholar] [CrossRef]
- Kumar, A.; Kumar, V.; Kumar, A.; Tiwary, D.; Mandal, K.D. Studies on electrical & dielectric properties of rare-earth-based complex perovskite oxide Bi5Yb3O12 ceramic material synthesized via chemical route. J. Mater. Sci. Mater. Electron. 2024, 35, 664. [Google Scholar]
- Suresh, S.; Vindhya, P.S.; Devika, S.; Kavitha, V.T. Structural, optical and dielectric properties of nanostructured La1−xSrxMnO3 perovskites. Mater. Today Commun. 2023, 36, 106657. [Google Scholar] [CrossRef]
- Cao, J.; Liu, Y.; Wang, Z.; Liu, L. Arylgermylation of alkenes by a cooperative photoactivation and hydrogen atom transfer strategy. Org. Chem. Front. 2024, 11, 7098–7106. [Google Scholar] [CrossRef]
- Liu, J.; Wen, Z.; Cui, Y.; Zhao, Y.; Chen, Y. The Spin Glass State and Exchange Bias Effect in SrFe1−xCuxO3−δ. J. Supercond. Nov. Magn. 2022, 35, 3403–3409. [Google Scholar] [CrossRef]
- Hu, S.; Otsuka, K.; Murdey, R.; Nakamura, T.; Truong, M.A.; Yamada, T.; Handa, T.; Matsuda, K.; Nakano, K.; Sato, A.; et al. Optimized carrier extraction at interfaces for 23.6% efficient tin–lead perovskite solar cells. Energy Environ. Sci. 2022, 15, 2096–2107. [Google Scholar] [CrossRef]
- Irfan, M.; Murtaza, G.; Muhammad, N.; Tahir, S.; Raza, H.H.; Sabir, B.; Iftikhar, M.; Sharif, S. Experimental and theoretical studies of structural, electronic and magnetic properties of RE2NiCrO6 (RE = ce, Pr and Nd) double perovskites. Phys. E Low-Dimens. Syst. Nanostructures 2023, 148, 115635. [Google Scholar] [CrossRef]
- Mohamed, M.; Mohamed, M.; Iben Nassar, K.; Rammeh, N. Effect of the partial substitution of K on the structural, magnetic and magnetocaloric properties of brownmillerite oxides La1−xKxSrMn2O5+δ (0.1 ≤ x ≤ 0.3). Indian J. Phys. 2023, 97, 1717–1725. [Google Scholar] [CrossRef]
- Li, H.; Li, Y.; Zhang, G.; Liu, Y.; Han, Z.; Zhang, H.; Xu, Q.; Zhao, J.; Jin, M.; Song, D.; et al. Directly printing high-resolution, high-performance 3D curved electronics based on locally polarized electric-field-driven vertical jetting. Addit. Manuf. 2024, 96, 104579. [Google Scholar] [CrossRef]
- Thach, P.V.; Sumi, S.; Tanabe, K.; Awano, H. Comparison of Current Induced Domain Wall Motion Driven by Spin Transfer Torque and by Spin Orbit Torque in Ferrimagnetic GdFeCo Wires. Magnetochemistry 2024, 10, 36. [Google Scholar] [CrossRef]
- Sharma, S.; Khan, S. Tailoring the structural, optical, electrical and multiferroic properties of Sm1−xRxFeO3 (x = 0.0 and 0.5; R = Pr, Nd, and Gd) and their synergistic photocatalytic activity. Ceram. Int. 2024, 50, 9185–9205. [Google Scholar] [CrossRef]
- Yang, F.; Yang, X.; Su, K.; Lin, J.; He, Y.; Lin, Q. Structural and Magnetic Properties of Perovskite Functional Nanomaterials La1−xRxFeO3 (R = Co, Al, Nd, Sm) Obtained Using Sol-Gel. Molecules 2023, 28, 5745. [Google Scholar] [CrossRef] [PubMed]
- Selmi, R.; Cherif, W.; Khammassi, F.; Sarabando, A.R.; Ferreira, N.M. Structural and magnetic properties of Ca1−xLaxFe0.5Mn0.5O3−δ (0.05 ≤ x ≤ 0.15) perovskites. Appl. Phys. A 2022, 128, 847. [Google Scholar] [CrossRef]
- Su, W.; Hu, Q.; Yue, B.; Wang, Y.; Liu, J. Electrochemical and magnetic properties of perovskite-type PrFeO3 and EuFeO3 nanofibers. Ionics 2023, 29, 5525–5534. [Google Scholar] [CrossRef]
- Zhu, A.; Li, D.; Zhu, T.; Zhu, X. Tailored SrFeO3−δ for chemical looping dry reforming of methane. Green Chem. Eng. 2024, 6, 102–115. [Google Scholar] [CrossRef]
- Shen, X.; Sun, Y.; Wu, Y.; Wang, J.; Jiang, E.; Xu, X.; Su, J.; Jia, Z. The coupling of CH4 partial oxidation and CO2 splitting for syngas production via double perovskite-type oxides LaFexCo1−xO3. Fuel 2020, 268, 117381. [Google Scholar] [CrossRef]
- Zeeshan, M.; Yaqub, M.A.; Khan, S.; Ramay, S.M.; Atiq, S. Fast polarization switching capability mediated by oxygen deficiency in Co-substituted SrFeO3−δ perovskites. J. Phys. Chem. Solids 2023, 181, 111557. [Google Scholar] [CrossRef]
- Rosa, G.B.; da Silveira Lacerda, L.H.; de Lazaro, S.R. Influence of the oxygen vacancy and Ag-doping on the magnetic and electronic properties of the SrFeO3 material. J. Magn. Magn. Mater. 2024, 591, 171715. [Google Scholar] [CrossRef]
- Amin, S. Synthesis and Multiferroic Properties of BaFe2O4/BaFeO3 Ceramics. Ph.D. Thesis, Quaid I Azam University, Islamabad, Pakistan, 2022. [Google Scholar]
- El Boukili, A.; Mounkachi, O.; Hamedoun, M.; Lachkar, P.; Hlil, E.K.; Benyoussef, A.; Balli, M.; Ez-Zahraouy, H. A study of structural, magnetic and magnetocaloric properties of (1−x)La0.6Ca0.4MnO3/xMn2O3 composite materials. J. Alloys Compd. 2021, 859, 158392. [Google Scholar] [CrossRef]
- Ho, T.; Phan, T.; Putri, W.; Yu, S.; Thang, P. Large Magnetocaloric Effect in Cu-Doped La0.7Ca0.3MnO3 Compounds. Mater. Trans. 2023, 64, 1991–1999. [Google Scholar] [CrossRef]
- Abdel-Latif, I.A.; Hegab, A.F.; Azab, A.A.; Roumaih, K.M. Study on crystal structure, electrical and magnetic properties of LaFexCo1−xO3 prepared by sol-gel method. J. Solid-State Chem. 2023, 325, 124144. [Google Scholar] [CrossRef]
- Dzara, M.J.; Campello, A.C.; Breidenbach, A.T.; Strange, N.A.; Park, J.E.; Ambrosini, A.; Coker, E.N.; Ginley, D.S.; Lee, Y.S.; Bell, R.T.; et al. Influence of the Rare Earth Cation on the Magnetic Properties of Layered 12R-Ba4M4+Mn3O12 (M = Ce, Pr) Perovskites. Chem. Mater. 2024, 36, 2810–2818. [Google Scholar] [CrossRef]
- Nadig, P.R.; Murari, M.S.; Daivajna, M.D. Influence of heat sintering on the physical properties of bulk La0.67Ca0.33MnO3 perovskite manganite: Role of oxygen in tuning the magnetocaloric response. Phys. Chem. Chem. Phys. 2024, 26, 5237–5252. [Google Scholar] [CrossRef]
- Liao, H.; Ma, H.; Meng, H.; Kang, N.; Wang, L. Ropinirole suppresses LPS-induced periodontal inflammation by inhibiting the NAT10 in an ac4C-dependent manner. BMC Oral Health 2024, 24, 510. [Google Scholar] [CrossRef] [PubMed]
- Wang, L.; Hu, H.; Ko, C.-C. Osteoclast-Driven Polydopamine-to-Dopamine Release: An Upgrade Patch for Polydopamine-Functionalized Tissue Engineering Scaffolds. J. Funct. Biomater. 2024, 15, 211. [Google Scholar] [CrossRef] [PubMed]













| Challenge | Current Strategies | Future Directions |
|---|---|---|
| Stability under harsh conditions |
|
|
|
| |
|
| |
| Scalability for industrial use |
|
|
|
| |
|
| |
| Efficiency limitations |
|
|
|
| |
|
| |
| Material defects and grain boundaries |
|
|
|
| |
| Interfacial issues with electrodes |
|
|
|
| |
| Cost of materials |
|
|
|
| |
| Environmental concerns of lead-based perovskites |
|
|
|
| |
| Long-term stability and operational lifetime |
|
|
|
| |
| Device architecture design |
|
|
|
|
Disclaimer/Publisher’s Note: The statements, opinions and data contained in all publications are solely those of the individual author(s) and contributor(s) and not of MDPI and/or the editor(s). MDPI and/or the editor(s) disclaim responsibility for any injury to people or property resulting from any ideas, methods, instructions or products referred to in the content. |
© 2025 by the authors. Licensee MDPI, Basel, Switzerland. This article is an open access article distributed under the terms and conditions of the Creative Commons Attribution (CC BY) license (https://creativecommons.org/licenses/by/4.0/).
Share and Cite
Tayari, F.; Teixeira, S.S.; Graca, M.P.F.; Nassar, K.I. A Comprehensive Review of Recent Advances in Perovskite Materials: Electrical, Dielectric, and Magnetic Properties. Inorganics 2025, 13, 67. https://doi.org/10.3390/inorganics13030067
Tayari F, Teixeira SS, Graca MPF, Nassar KI. A Comprehensive Review of Recent Advances in Perovskite Materials: Electrical, Dielectric, and Magnetic Properties. Inorganics. 2025; 13(3):67. https://doi.org/10.3390/inorganics13030067
Chicago/Turabian StyleTayari, Faouzia, Silvia Soreto Teixeira, Manuel Pedro F. Graca, and Kais Iben Nassar. 2025. "A Comprehensive Review of Recent Advances in Perovskite Materials: Electrical, Dielectric, and Magnetic Properties" Inorganics 13, no. 3: 67. https://doi.org/10.3390/inorganics13030067
APA StyleTayari, F., Teixeira, S. S., Graca, M. P. F., & Nassar, K. I. (2025). A Comprehensive Review of Recent Advances in Perovskite Materials: Electrical, Dielectric, and Magnetic Properties. Inorganics, 13(3), 67. https://doi.org/10.3390/inorganics13030067

