A Neutral Pyridine-Pyrazole-Based N^N*N^N Ligand as a Tetradentate Chromophore for Diverse Transition Metal Cations
Abstract
1. Introduction
2. Results and Discussion
2.1. Synthesis
2.2. Structural Characterization
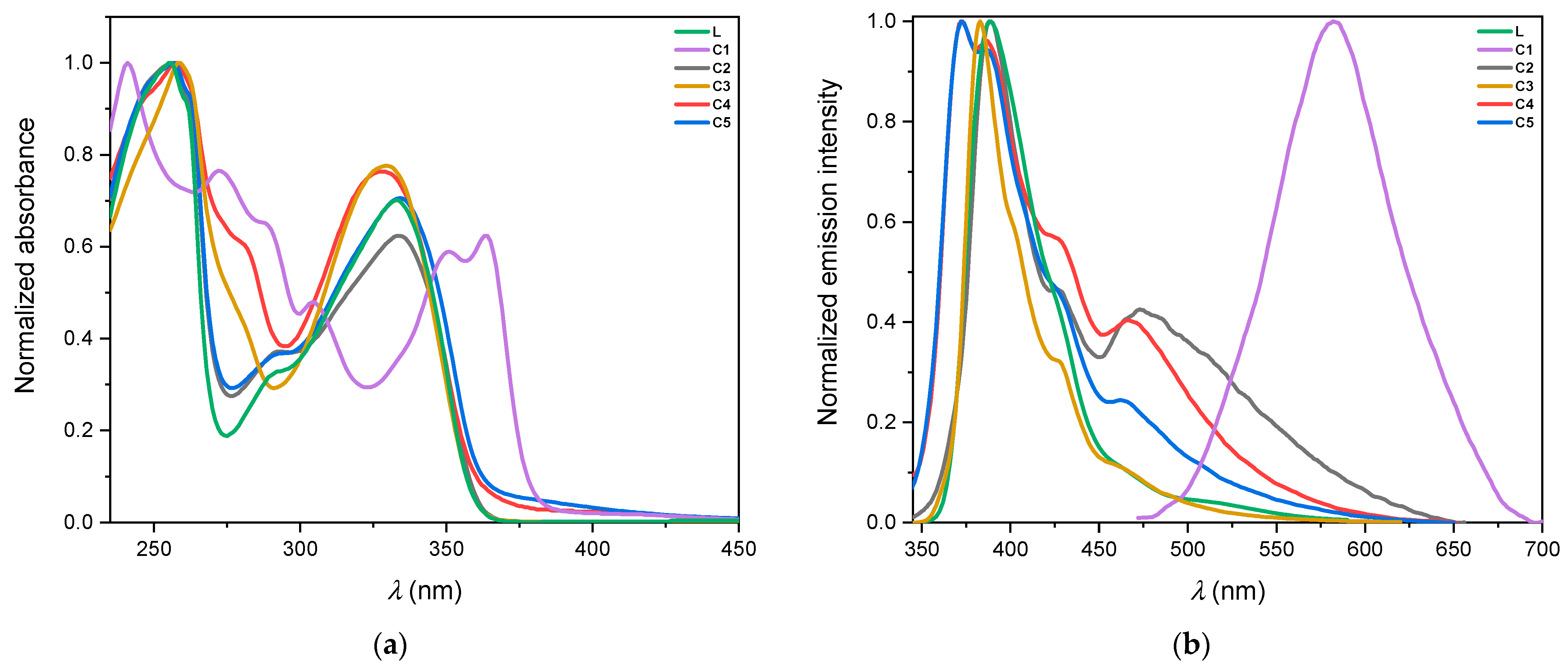
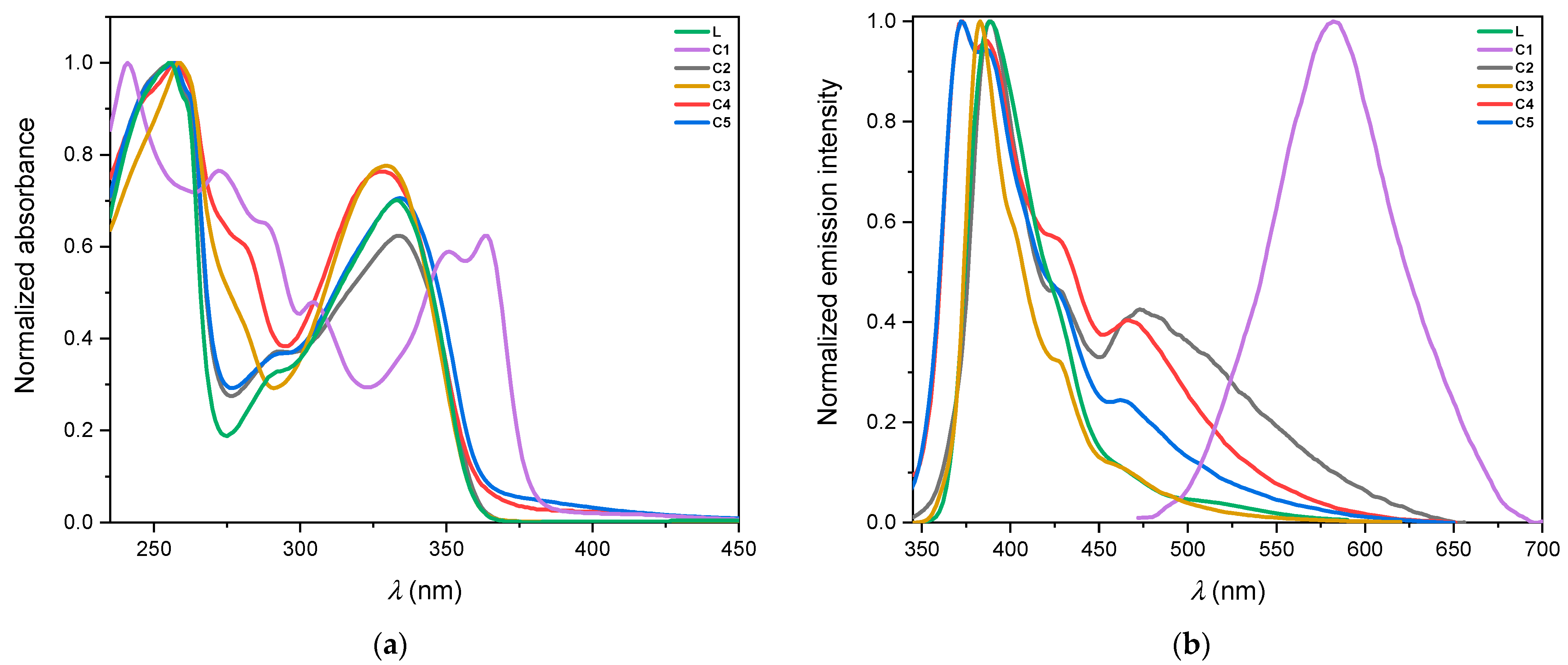
2.3. UV-Vis Absorption and Photoluminescence Spectroscopies
3. Methods and Materials
4. Conclusions
Supplementary Materials
Author Contributions
Funding
Data Availability Statement
Conflicts of Interest
References
- Theiss, T.; Buss, S.; Maisuls, I.; López-Arteaga, R.; Brünink, D.; Kösters, J.; Hepp, A.; Doltsinis, N.L.; Weiss, E.A.; Strassert, C.A. Room-Temperature Phosphorescence from Pd(II) and Pt(II) Complexes as Supramolecular Luminophores: The Role of Self-Assembly, Metal-Metal Interactions, Spin-Orbit Coupling, and Ligand-Field Splitting. J. Am. Chem. Soc. 2023, 145, 3937–3951. [Google Scholar] [CrossRef] [PubMed]
- Tam, A.Y.-Y.; Tsang, D.P.-K.; Chan, M.-Y.; Zhu, N.; Yam, V.W.-W. A luminescent cyclometalated platinum(II) complex and its green organic light emitting device with high device performance. Chem. Commun. 2011, 47, 3383–3385. [Google Scholar] [CrossRef] [PubMed]
- Shi, H.; Wang, Y.; Lin, S.; Lou, J.; Zhang, Q. Recent development and application of cyclometalated iridium(III) complexes as chemical and biological probes. Dalton Trans. 2021, 50, 6410–6417. [Google Scholar] [CrossRef] [PubMed]
- Yuan, H.; Han, Z.; Chen, Y.; Qi, F.; Fang, H.; Guo, Z.; Zhang, S.; He, W. Ferroptosis Photoinduced by New Cyclometalated Iridium(III) Complexes and Its Synergism with Apoptosis in Tumor Cell Inhibition. Angew. Chem. 2021, 133, 8255–8262. [Google Scholar] [CrossRef]
- Chi, Y.; Chou, P.-T. Contemporary progresses on neutral, highly emissive Os(II) and Ru(II) complexes. Chem. Soc. Rev. 2007, 36, 1421–1431. [Google Scholar] [CrossRef]
- Hernández-García, A.; Marková, L.; Santana, M.D.; Prachařová, J.; Bautista, D.; Kostrhunová, H.; Novohradský, V.; Brabec, V.; Ruiz, J.; Kašpárková, J. Cyclometalated Benzimidazole Osmium(II) Complexes with Antiproliferative Activity in Cancer Cells Disrupt Calcium Homeostasis. Inorg. Chem. 2023, 62, 6474–6487. [Google Scholar] [CrossRef]
- Au, V.K.-M.; Wong, K.M.-C.; Tsang, D.P.-K.; Chan, M.-Y.; Zhu, N.; Yam, V.W.-W. High-Efficiency Green Organic Light-Emitting Devices Utilizing Phosphorescent Bis-Cyclometalated Alkynylgold(III) Complexes. J. Am. Chem. Soc. 2010, 132, 14273–14278. [Google Scholar] [CrossRef]
- Fleetham, T.; Li, G.; Li, J. Phosphorescent Pt(II) and Pd(II) Complexes for Efficient, High-Color-Quality, and Stable OLEDs. Adv. Mater. 2017, 29, 1601861. [Google Scholar] [CrossRef]
- Tseng, C.-H.; Fox, M.A.; Liao, J.-L.; Ku, C.-H.; Sie, Z.-T.; Chang, C.-H.; Wang, J.-Y.; Chen, Z.-N.; Lee, G.-H.; Chi, Y. Luminescent Pt(II) complexes featuring imidazolylidene–pyridylidene and dianionic bipyrazolate: From fundamentals to OLED fabrications. J. Mater. Chem. C 2017, 5, 1420–1435. [Google Scholar] [CrossRef]
- Septiadi, D.; Aliprandi, A.; Mauro, M.; de Cola, L. Bio-imaging with neutral luminescent Pt(II) complexes showing metal⋯metal interactions. RSC Adv. 2014, 4, 25709–25718. [Google Scholar] [CrossRef]
- Jin, C.; Liang, F.; Wang, J.; Wang, L.; Liu, J.; Liao, X.; Rees, T.W.; Yuan, B.; Wang, H.; Shen, Y.; et al. Rational Design of Cyclometalated Iridium(III) Complexes for Three-Photon Phosphorescence Bioimaging. Angew. Chem. 2020, 132, 16121–16125. [Google Scholar] [CrossRef]
- Han, X.; Sun, J.; Wang, Y.; He, Z. Recent Advances in Platinum (IV) Complex-Based Delivery Systems to Improve Platinum (II) Anticancer Therapy. Med. Res. Rev. 2015, 35, 1268–1299. [Google Scholar] [CrossRef] [PubMed]
- Hussain, Y.; Islam, L.; Khan, H.; Filosa, R.; Aschner, M.; Javed, S. Curcumin-cisplatin chemotherapy: A novel strategy in promoting chemotherapy efficacy and reducing side effects. Phytother. Res. 2021, 35, 6514–6529. [Google Scholar] [CrossRef] [PubMed]
- Kuang, S.; Liao, X.; Zhang, X.; Rees, T.W.; Guan, R.; Xiong, K.; Chen, Y.; Ji, L.; Chao, H. FerriIridium: A Lysosome-Targeting Iron(III)-Activated Iridium(III) Prodrug for Chemotherapy in Gastric Cancer Cells. Angew. Chem. 2020, 132, 3341–3347. [Google Scholar] [CrossRef]
- Misra, R.; Chandrashekar, T.K. Structural diversity in expanded porphyrins. Acc. Chem. Res. 2008, 41, 265–279. [Google Scholar] [CrossRef] [PubMed]
- Sekaran, B.; Misra, R. β-Pyrrole functionalized porphyrins: Synthesis, electronic properties, and applications in sensing and DSSC. Coord. Chem. Rev. 2022, 453, 214312. [Google Scholar] [CrossRef]
- Antonini, E.; Brunori, M. Hemoglobin. Annu. Rev. Biochem. 1970, 39, 977–1042. [Google Scholar] [CrossRef]
- Ahmed, M.H.; Ghatge, M.S.; Safo, M.K. Hemoglobin: Structure, Function and Allostery. Subcell. Biochem. 2020, 94, 345–382. [Google Scholar]
- Humphrey, A.M. Chlorophyll. Food Chem. 1980, 5, 57–67. [Google Scholar] [CrossRef]
- Hörtensteiner, S. Update on the biochemistry of chlorophyll breakdown. Plant Mol. Biol. 2013, 82, 505–517. [Google Scholar] [CrossRef]
- Wang, X.; Cai, Z.-F.; Wang, Y.-Q.; Feng, Y.-C.; Yan, H.-J.; Wang, D.; Wan, L.-J. In Situ Scanning Tunneling Microscopy of Cobalt-Phthalocyanine-Catalyzed CO2 Reduction Reaction. Angew. Chem. Int. Ed. 2020, 59, 16098–16103. [Google Scholar] [CrossRef] [PubMed]
- Lin, L.; Li, H.; Yan, C.; Li, H.; Si, R.; Li, M.; Xiao, J.; Wang, G.; Bao, X. Synergistic Catalysis over Iron-Nitrogen Sites Anchored with Cobalt Phthalocyanine for Efficient CO2 Electroreduction. Adv. Mater. 2019, 31, 1903470. [Google Scholar] [CrossRef] [PubMed]
- Lo, P.-C.; Rodríguez-Morgade, M.S.; Pandey, R.K.; Ng, D.K.P.; Torres, T.; Dumoulin, F. The unique features and promises of phthalocyanines as advanced photosensitisers for photodynamic therapy of cancer. Chem. Soc. Rev. 2020, 49, 1041–1056. [Google Scholar] [CrossRef] [PubMed]
- Oshiro-Junior, J.A.; Sato, M.R.; Boni, F.I.; Santos, K.L.M.; de Oliveira, K.T.; de Freitas, L.M.; Fontana, C.R.; Nicholas, D.; McHale, A.; Callan, J.F.; et al. Phthalocyanine-loaded nanostructured lipid carriers functionalized with folic acid for photodynamic therapy. Mater. Sci. Eng. C 2020, 108, 110462. [Google Scholar] [CrossRef] [PubMed]
- Chang, S.-H.; Chang, C.-F.; Liao, J.-L.; Chi, Y.; Zhou, D.-Y.; Liao, L.-S.; Jiang, T.-Y.; Chou, T.-P.; Li, E.Y.; Lee, G.-H.; et al. Emissive osmium(II) complexes with tetradentate bis(pyridylpyrazolate) chelates. Inorg. Chem. 2013, 52, 5867–5875. [Google Scholar] [CrossRef] [PubMed]
- Cnudde, M.; Brünink, D.; Doltsinis, N.L.; Strassert, C.A. Tetradentate N^N°N^N-type luminophores for Pt(II) complexes: Synthesis, photophysical and quantum-chemical investigation. Inorg. Chim. Acta 2021, 518, 120090. [Google Scholar] [CrossRef]
- Liao, K.-Y.; Hsu, C.-W.; Chi, Y.; Hsu, M.-K.; Wu, S.-W.; Chang, C.-H.; Liu, S.-H.; Lee, G.-H.; Chou, P.-T.; Hu, Y.; et al. Pt(II) metal complexes tailored with a newly designed spiro-arranged tetradentate ligand; harnessing of charge-transfer phosphorescence and fabrication of sky blue and white OLEDs. Inorg. Chem. 2015, 54, 4029–4038. [Google Scholar] [CrossRef]
- Ding, C.; Rui, X.; Wang, C.; Xie, Y. Coordination polymers of a multipyridyl and pyrazolyl ligand with conformational flexibility: Syntheses, structures and luminescence. CrystEngComm 2014, 16, 1010–1019. [Google Scholar] [CrossRef]
- van der Ende, M.; Wang, D.; Frey, W.; Buchmeiser, M.R. Pentamethylcyclopentadienyl Titanium(IV) Amido Pyridylene Phenylene and Pentamethylcyclopentadienyl Titanacyclopropane Amido Complexes and their Behavior in the Polymerization of Ethylene and Cyclic Olefins. ChemCatChem 2017, 9, 1242–1252. [Google Scholar] [CrossRef]
- Buss, S.; Cappellari, M.V.; Hepp, A.; Kösters, J.; Strassert, C.A. Modification of the Bridging Unit in Luminescent Pt(II) Complexes Bearing C^N*N and C^N*N^C Ligands. Chemistry 2023, 5, 1243–1255. [Google Scholar] [CrossRef]
- Zhang, E.-X.; Wang, D.-X.; Huang, Z.-T.; Wang, M.-X. Synthesis of (NH)(m)(NMe)(4-m)-bridged calix4pyridines and the effect of NH bridge on structure and properties. J. Org. Chem. 2009, 74, 8595–8603. [Google Scholar] [CrossRef] [PubMed]
- Hebenbrock, M.; González-Abradelo, D.; Hepp, A.; Meadowcroft, J.; Lefringhausen, N.; Strassert, C.A.; Müller, J. Influence of the ancillary ligands on the luminescence of platinum(II) complexes with a triazole-based tridentate C^N^N luminophore. Inorg. Chim. Acta 2021, 516, 119988. [Google Scholar] [CrossRef]
- Strassert, C.A.; Mauro, M.; de Cola, L. Photophysics of soft and hard molecular assemblies based on luminescent complexes. Adv. Inorg. Chem. 2011, 63, 47–103. [Google Scholar]
- Saint (Version 8.40B), Area Detector Control and Integration Software. Bruker AXS Inc.: Madison, WI, USA, 2021.
- Sheldrick, G.M. A short history of SHELX. Acta Crystallogr. 2008, A64, 112–122. [Google Scholar] [CrossRef]
- Bruno, I.J.; Cole, J.C.; Edgington, P.R.; Kessler, M.; Macrae, C.F.; McCabe, P.; Pearson, J.; Taylor, R. New software for searching the Cambridge Structural Database and visualizing crystal structures. Acta Crystallogr. 2002, B58, 389–397. [Google Scholar] [CrossRef]








| Compound | 298 K | 77 K | ||||||
|---|---|---|---|---|---|---|---|---|
| MeOH Solution at Room Temperature | Solid State at Room Temperature | Frozen Glassy MatrixDCM/MeOH 1:1 77 K | ||||||
| λem/nm | τ/ns | ΦL (±2%) | λem/nm | τ/ns | ΦL (±2%) | λem/nm | τ/ns | |
| L | 384 | 2.75 ± 0.06 | <2% | 382 | 1.628 ± 0.007 | 15% | 370 | 1.71 ± 0.02 |
| C1 | 450, 480 | 280.2 ± 0.9 (Ar-purged); 223.9 ± 0.6 (air-eq.) | 3% (Ar-purged); <2% (air-eq.) | 588 | (66.0 ± 0.3) × 103 | <2% | 444 | 285 ± 2 |
| C2 | 388 | 8.51 ± 0.04 | <2% | |||||
| C3 | 382 | 0.78 ± 0.01 | <2% | |||||
| C4 | 372 | 7.5 ± 0.1 | <2% | |||||
| C5 | 382 | 7.2 ± 0.1 | <2% | |||||
Disclaimer/Publisher’s Note: The statements, opinions and data contained in all publications are solely those of the individual author(s) and contributor(s) and not of MDPI and/or the editor(s). MDPI and/or the editor(s) disclaim responsibility for any injury to people or property resulting from any ideas, methods, instructions or products referred to in the content. |
© 2024 by the authors. Licensee MDPI, Basel, Switzerland. This article is an open access article distributed under the terms and conditions of the Creative Commons Attribution (CC BY) license (https://creativecommons.org/licenses/by/4.0/).
Share and Cite
Theiss, T.; Cappellari, M.V.; Kösters, J.; Hepp, A.; Strassert, C.A. A Neutral Pyridine-Pyrazole-Based N^N*N^N Ligand as a Tetradentate Chromophore for Diverse Transition Metal Cations. Inorganics 2024, 12, 27. https://doi.org/10.3390/inorganics12010027
Theiss T, Cappellari MV, Kösters J, Hepp A, Strassert CA. A Neutral Pyridine-Pyrazole-Based N^N*N^N Ligand as a Tetradentate Chromophore for Diverse Transition Metal Cations. Inorganics. 2024; 12(1):27. https://doi.org/10.3390/inorganics12010027
Chicago/Turabian StyleTheiss, Tobias, María Victoria Cappellari, Jutta Kösters, Alexander Hepp, and Cristian A. Strassert. 2024. "A Neutral Pyridine-Pyrazole-Based N^N*N^N Ligand as a Tetradentate Chromophore for Diverse Transition Metal Cations" Inorganics 12, no. 1: 27. https://doi.org/10.3390/inorganics12010027
APA StyleTheiss, T., Cappellari, M. V., Kösters, J., Hepp, A., & Strassert, C. A. (2024). A Neutral Pyridine-Pyrazole-Based N^N*N^N Ligand as a Tetradentate Chromophore for Diverse Transition Metal Cations. Inorganics, 12(1), 27. https://doi.org/10.3390/inorganics12010027

