Elemental Selenium in the Synthesis of Selenaheterocycles
Abstract
1. Introduction
2. Synthesis of Selenium-Containing Heterocycles by Metal–Selenium Exchange in Cyclometallated Derivatives of Olefins, Allenes, Acetylenes and Aromatics
3. Synthesis of Selenium-Containing Heterocycles via Lithium–Selenium Exchange in Lithium Derivatives of Organic Compounds
4. Synthesis of Selenium-Containing Heterocycles by Exchange of I or Br for Se
5. Synthesis of Benzoselenazoles by Cyclization of 1-(2-Bromoaryl)benzimidazoles under Action of Selenium
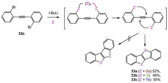
6. Cyclization of Polyunsaturated Hydrocarbons under the Action of Elemental Selenium
7. Selenophenes via Cyclization of Acetylenes under Action of Elemental Selenium
8. A Carbonylative Cyclization of Propargylic Amines with Elemental Selenium
9. Synthesis of 1,2,3,5,6,7-Hexaselenacyclooctane via Se–Cl Exchange in 1-Chloro-2,2-bis(diethylamino)ethene under Action of Elemental Selenium
10. Synthesis of Ebselen via Cyclization of 3-Halogenaryl Amides and Aryl Amides under Action of Selenium
11. Annulation of Ethynyl Arenes under Action of Selenium
12. Formation of Heterocycles via Cyclization of Diazo-Compounds under Action of Selenium
13. Formation of Selenazolines via Action of Selenium on N-Acyl-2-oxazolidinones
14. Carbonylative Cyclization of 2-Aminoacetophenone under Action of Se and CO
15. Synthesis of 1,3-Oxaselenoles from Carbonyl-Stabilized Sulfonium Ylides under Action of Selenium
16. Synthesis of 1,3-Diselenole-2-selones by Interaction of Terminal Acetylenes with Se, CSe2 and BuLi
17. Introduction of Selenium into Organic Molecule via Carbanion
18. Formation of Heterocycles with Se–El Bonds (El = B, Ge, P)
18.1. Formation of Heterocycles with Se–B Bonds
18.2. Formation of Heterocycles with Se–Ge Bonds
18.3. Formation of Se–P Heterocycles via Insertion of Se into P=P and P–P Bonds
18.4. Formation of Se–P Heterocycles through Interaction of Se with Methylenephosphorane
19. Formation of Heterocycles through Three- and Four-Component Reactions Involving Elemental Selenium
20. Conclusions
Funding
Data Availability Statement
Conflicts of Interest
References
- Muller, A.; Cadenas, E.; Graf, P.; Sies, H. A novel biologically active seleno-organic compound—1: Glutathione peroxidase-like activity in vitro and antioxidant capacity of PZ 51 (Ebselen). Biochem. Pharmacol. 1984, 33, 3235–3239. [Google Scholar] [CrossRef] [PubMed]
- Mugesh, G.; du Mont, W.-W.; Sies, H. Chemistry of biologically important synthetic organoselenium compounds. Chem. Rev. 2001, 101, 2125–2180. [Google Scholar] [CrossRef] [PubMed]
- Chinchilla, R.; Najera, C.; Yus, M. Metalated heterocycles and their applications in synthetic organic chemistry. Chem. Rev. 2004, 104, 2667–2722. [Google Scholar] [CrossRef] [PubMed]
- Ninomiya, M.; Garud, D.R.; Koketsu, M. Biologically significant selenium-containing heterocycles. Coord. Chem. Rev. 2011, 255, 2968–2990. [Google Scholar] [CrossRef]
- Gouda, M.A.; Sherif, Y.E.; Elsherbini, M.S. Synthesis, anti-inflammatory, and analgesic evaluation of some 2-amino-5-selenothiazoles. Phosphorus Sulfur Silicon Relat. Elem. 2014, 189, 1633–1643. [Google Scholar] [CrossRef]
- Prabhu, P.; Singh, B.G.; Noguchi, M.; Phadnis, P.P.; Jain, V.K.; Iwaoka, M.; Priyadarsini, K.I. Stable selones in glutathione-peroxidase-like catalytic cycle of selenonicotinamide derivative. Org. Biomol. Chem. 2014, 12, 2404–2412. [Google Scholar] [CrossRef]
- Fonseca, S.F.; Lima, D.B.; Alves, D.; Jacob, R.G.; Perin, G.; Lenardão, E.J.; Savegnago, L. Synthesis, characterization and antioxidant activity of organoselenium and organotellurium compound derivatives of chrysin. New J. Chem. 2015, 39, 3043–3050. [Google Scholar] [CrossRef]
- Zimmerman, M.T.; Bayse, C.A.; Ramoutar, R.R.; Brumaghim, J.L. Sulfur and selenium antioxidants: Challenging radical scavenging mechanisms and developing structure–activity relationships based on metal binding. J. Inorg. Biochem. 2015, 145, 30–40. [Google Scholar] [CrossRef]
- Bhowmick, D.; Srivastava, S.; D’Silva, P.; Mugesh, G. Highly efficient glutathione peroxidase and peroxiredoxin mimetics protect mammalian cells against oxidative damage. Angew. Chem. Int. Ed. 2015, 54, 8449–8453. [Google Scholar] [CrossRef]
- Ibrahim, M.; Muhammad, N.; Naeem, M.; Deobald, A.M.; Kamdem, J.P.; Rocha, J.B.T. In vitro evaluation of glutathione peroxidase (GPx)-like activity and antioxidant properties of an organoselenium compound. Toxicol. Vitr. 2015, 29, 947–952. [Google Scholar] [CrossRef]
- Rocha, J.B.T.; Piccoli, B.C.; Oliveira, C.S. Biological and chemical interest in selenium: A brief historical account. ARKIVOC 2017, 2017, 457–491. [Google Scholar] [CrossRef]
- Nogueira, C.W.; Zeni, G.; Rocha, J.B.T. Organoselenium and organotellurium compounds: Toxicology and pharmacology. Chem. Rev. 2004, 104, 6255–6285. [Google Scholar] [CrossRef] [PubMed]
- Martínez-Ramos, F.; Salgado-Zamora, H.; Campos-Aldrete, M.E.; Melendez-Camargo, E.; Márquez-Flores, Y.; Soriano-García, M. Synthesis and anti-inflammatory activity evaluation of unsymmetrical selenides. Eur. J. Med. Chem. 2008, 43, 1432–1437. [Google Scholar] [CrossRef]
- Okoronkwo, A.E.; Rosário, A.R.; Alves, D.; Savegnago, L.; Nogueira, C.W.; Zeni, G. Synthesis of ω-hydroxy-α-alkyl/aryl-γ-organo-selenium and γ-organo-tellurium: A new class of organochalcogen compounds with antinociceptive activity. Tetrahedron Lett. 2008, 49, 3252–3256. [Google Scholar] [CrossRef]
- Comasseto, J.V.; Gariani, R.A. Biotransformations on organic selenides and tellurides: Synthetic applications. Tetrahedron 2009, 65, 8447–8459. [Google Scholar] [CrossRef]
- Tiekink, E.R.T. Therapeutic potential of selenium and tellurium compounds: Opportunities yet unrealised. Dalton Trans. 2012, 41, 6390–6395. [Google Scholar] [CrossRef]
- Potapov, V.A. The Chemistry of Organic Selenium and Tellurium Compounds; Rappoport, Z., Ed.; Wiley: Chichester, UK, 2013; Volume 4, pp. 765–843. [Google Scholar]
- Soriano-Garcia, M. Organoselenium compounds as potential therapeutic and chemopreventive agents: A review. Curr. Med. Chem. 2004, 11, 1657–1669. [Google Scholar] [CrossRef] [PubMed]
- Naithani, R. Organoselenium compounds in cancer chemoprevention. Mini-Rev. Med. Chem. 2008, 8, 657–668. [Google Scholar] [CrossRef]
- Wang, L.; Yang, Z.; Fu, J.; Yin, H.; Xiong, K.; Tan, Q.; Jin, H.; Li, J.; Wang, T.; Tang, W.; et al. Ethaselen: A potent mammalian thioredoxin reductase 1 inhibitor and novel organoselenium anticancer agent. Free Radical Biol. Med. 2012, 52, 898–908. [Google Scholar] [CrossRef]
- Kedarnath, G.; Jain, V.K. Pyridyl and pyrimidyl chalcogen (Se and Te) compounds: A family of multi utility molecules. Coord. Chem. Rev. 2013, 257, 1409–1435. [Google Scholar] [CrossRef]
- Du, P.; Viswanathan, U.M.; Khairan, K.; Buric, T.; Saidu, N.E.P.; Xu, Z.; Hanf, B.; Bazukyan, I.; Trchounian, A.; Hannemann, F.; et al. Synthesis of amphiphilic, chalcogen-based redox modulators with in vitro cytotoxic activity against cancer cells, macrophages and microbes. Med. Chem. Commun. 2014, 5, 25–31. [Google Scholar] [CrossRef]
- Pisoschi, A.M.; Pop, A. The role of antioxidants in the chemistry of oxidative stress: A review. Eur. J. Med. Chem. 2015, 97, 55–74. [Google Scholar] [CrossRef]
- Kryman, M.W.; Davies, K.S.; Linder, M.K.; Ohulchanskyy, T.Y.; Detty, M.R. Selenorhodamine photosensitizers with the Texas-red core for photodynamic therapy of cancer cells. Bioorg. Med. Chem. B 2015, 23, 4501–4507. [Google Scholar] [CrossRef]
- Ogura, F.; Takkimiya, K. Organoselenium Chemistry: A Practical Approach; Back, T.G., Ed.; Oxford University Press: Oxford, UK, 1999; pp. 257–277. [Google Scholar]
- Gao, F.; Cheng, Y.; Yu, Q.; Liu, S.; Shi, D.; Li, Y.; Wang, P. Conjugation of selenophene with bipyridine for a high molar extinction coefficient sensitizer in dye-sensitized solar cells. Inorg. Chem. 2009, 48, 2664–2669. [Google Scholar] [CrossRef]
- Zibarev, A.V.; Mews, R. A new class of paramagnetics: 1,2,5-chalcogenadiazolidyl salts as potential building blocks for molecular magnets and conductors. In Selenium and Tellurium Chemistry: From Small Molecules to Biomolecules and Materials; Derek, J., Woollins, J.D., Laitinen, R.S., Eds.; Springer-Verlag: Berlin, Heidelberg, 2011; pp. 123–150. [Google Scholar]
- Gsanger, M.; Kirchner, E.; Stolte, M.; Burschka, C.; Stepanenko, V.; Pflaum, J.; Wurthner, F. High-performance organic thin-film transistors of j-stacked squaraine dyes. J. Am. Chem. Soc. 2014, 136, 2351–2362. [Google Scholar] [CrossRef]
- Jeffries-EL, M.; Kobilka, B.M.; Hale, B.J. Optimizing the performance of conjugated polymers in organic photovoltaic cells by traversing Group 16. Macromolecules 2014, 47, 7253–7271. [Google Scholar] [CrossRef]
- Pao, Y.-C.; Chen, Y.-L.; Chen, Y.-T.; Cheng, S.-W.; Lai, Y.-Y.; Huang, W.-C.; Cheng, Y.-J. Synthesis and molecular properties of tricyclic biselenophene-based derivatives with nitrogen, silicon, germanium, vinylidene, and ethylene bridges. Org. Lett. 2014, 16, 5724–5727. [Google Scholar] [CrossRef] [PubMed]
- Panda, S.; Panda, A.; Zade, S.S. Organoselenium compounds as fluorescent probes. Coord. Chem. Rev. 2015, 300, 86–100. [Google Scholar] [CrossRef]
- Takikawa, Y.; Watanabe, H.; Sasaki, R.; Shimada, K. Conversion of amides, N,N,N′,N′-tetramethylurea, and esters to the corresponding selenoxo compounds by treatment with bis(trimethylsilyl) selenide and BF3·OEt2. Bull. Chem. Soc. Jpn. 1994, 67, 876–878. [Google Scholar] [CrossRef]
- Mitchell, R.H.; Mitchell, H.J. Rings containing selenium or tellurium. In Comprehensive Heterocyclic Chemistry II; Katritzky, A.R., Rees, C.W., Scriven, E.F.V., Eds.; Elsevier Science Ltd.: Amsterdam, The Netherlands, 1996; Volume 9, pp. 925–945. [Google Scholar] [CrossRef]
- Block, E.; Dikarev, E.V.; Jin, J.; Li, B.; Petrukhina, M.A.; Zhang, S.-Z. Synthesis, structure, and chemistry of selenium-containing four-membered rings. Pure Appl. Chem. 2005, 77, 2029–2032. [Google Scholar] [CrossRef]
- Block, E.; Glass, R.S.; Dikarev, E.V.; Gruhn, N.E.; Jin, J.; Li, B.; Lorance, E.; Zakai, U.I.; Zhang, S.-Z. Synthesis, structure, reactions, and photoelectron spectra of new mixed sulfur-, selenium- or tellurium and silicon- or tin-containing heterocycles. Heteroat. Chem. 2007, 18, 509–515. [Google Scholar] [CrossRef]
- Santi, C.; Santoro, S. Organoselenium Chemistry: Synthesis and Reactions; Wirth, T., Ed.; Wiley-VCH: Weinheim, Germany, 2012; pp. 1–51. [Google Scholar]
- Potapov, V.A.; Musalov, M.V.; Musalova, M.V.; Amosova, S.V. Recent advances in organochalcogen synthesis based on reactions of chalcogen halides with alkynes and alkenes. Curr. Org. Chem. 2016, 20, 136–145. [Google Scholar] [CrossRef]
- Tanini, D.; Capperucci, A. Ring opening reactions of heterocycles with selenium and tellurium nucleophiles. New J. Chem. 2019, 43, 11451–11468. [Google Scholar] [CrossRef]
- Milen, M.; Szabó, T. Recent developments in the synthesis of Se-heterocycles applying elemental selenium. Chem. Heterocycl. Compd. 2019, 55, 936–938. [Google Scholar] [CrossRef]
- Tokitoh, N.; Ando, W.; Choi, N. Three-membered rings with one selenium or tellurium atom. In Comprehensive Heterocyclic Chemistry II; Katritzky, A.R., Rees, C.W., Scriven, E.F.V., Eds.; Elsevier Science Ltd.: Amsterdam, The Netherlands, 1996; Volume 1A, pp. 259–276. [Google Scholar] [CrossRef]
- Sainsbury, M. Six-membered rings with two or more heteroatoms with at least one selenium or tellurium. In Comprehensive Heterocyclic Chemistry II; Katritzky, A.R., Rees, C.W., Scriven, E.F.V., Eds.; Elsevier Science Ltd.: Amsterdam, The Netherlands, 1996; Volume 6, pp. 987–1018. [Google Scholar] [CrossRef]
- Litvinov, V.P.; Dyachenko, V.D. Seleno-containing heterocycles. Russ. Chem. Rev. 1997, 66, 923–952. [Google Scholar] [CrossRef]
- Otsubo, T.; Takimiya, K.; Aso, Y. Synthetic methods of selenium- and tellurium variants of tetrathiafulvalene electron donors. Phosphorus Sulfur Silicon Relat. Elem. 2001, 171–172, 231–253. [Google Scholar] [CrossRef]
- Gray, I.P.; Woollins, J.D. Phosphorus-selenium heterocycles. Main Group Chem. 2005, 4, 69–88. [Google Scholar] [CrossRef]
- Bhattacharyya, P. Oxygen, sulfur, selenium and tellurium. Annu. Rep. Progr. Chem. A 2006, 102, 150–159. [Google Scholar] [CrossRef]
- Clarke, C.S.; Haynes, D.A.; Rawson, J.M. Oxygen, sulfur, selenium, tellurium and polonium. Annu. Rep. Progr. Chem. A 2007, 103, 116–125. [Google Scholar] [CrossRef]
- Mlochowski, J.; Kloc, K.; Lisiak, R.; Potaczek, P.; Wojtowicz, H. Developments in the chemistry of selenaheterocyclic compounds of practical importance in synthesis and medicinal biology. ARKIVOC 2007, 2007, 14–46. [Google Scholar] [CrossRef]
- Aitken, R.A.; Dragomir, G.-I. Five-membered ring systems: With O and S (Se, Te) atoms. Progr. Heterocycl. Chem. 2015, 27, 305–319. [Google Scholar] [CrossRef]
- Wu, B.; Yoshikai, N. Recent developments in synthetic methods for benzo[b]heteroles. Org. Biomol. Chem. 2016, 14, 5402–5416. [Google Scholar] [CrossRef] [PubMed]
- Elsherbini, M.; Hamama, W.S.; Zoorob, H.H. Recent advances in the chemistry of selenium-containing heterocycles: Five-membered ring systems. Coord. Chem. Rev. 2016, 312, 149–177. [Google Scholar] [CrossRef]
- Diakov, M.Y.; Prodanov, M.F.; Vashchenko, V.V. Recent progress in selenophenes synthesis from inorganic Se-precursors. Curr. Org. Synth. 2017, 14, 683–690. [Google Scholar] [CrossRef]
- Ma, Y.-T.; Liu, M.-C.; Zhou, Y.-B.; Wu, H.-Y. Synthesis of organoselenium compounds with elemental selenium. Adv. Synth. Catal. 2021, 363, 5386–5406. [Google Scholar] [CrossRef]
- Guo, T.; Li, Z.; Bi, L.; Fan, L.; Zhang, P. Recent advances in organic synthesis applying elemental selenium. Tetrahedron 2022, 112, 132752. [Google Scholar] [CrossRef]
- Dzhemilev, U.M.; Ibragimov, A.G. Regio- and stereoselective synthesis for a novel class of organoaluminium compounds—Substituted aluminacyclopentanes and aluminacyclopentenes assisted by zirconium catalysts. J. Organomet. Chem. 1994, 466, 1–4. [Google Scholar] [CrossRef]
- Dzhemilev, U.M.; Ibragimov, A.G. A novel reaction of cycloalumination of olefins and acetylenes mediated by metallocomplex catalysts. Russ. Chem. Bull. 1998, 47, 786–794. [Google Scholar] [CrossRef]
- Dzhemilev, U.M.; Ibragimov, A.G. Metal complex catalysis in the synthesis of organoaluminium compounds. Russ. Chem. Rev. 2000, 69, 121–135. [Google Scholar] [CrossRef]
- Dzhemilev, U.M. New achievements in the use of zirconium complexes in the chemistry of organo-aluminium and magnesium compounds. Tetrahedron 1995, 51, 4333–4346. [Google Scholar] [CrossRef]
- Dzhemilev, U.M.; Ibragimov, A.G. Metal complex catalysis in the synthesis of organomagnesium compounds. Russ. Chem. Rev. 2005, 74, 807–823. [Google Scholar] [CrossRef]
- Sultanov, R.M.; Vasil’ev, V.V.; Dzhemilev, U.M. Selective cyclometalation of disubstituted acetylenes and ethylene with diethylmagnesium and ethylmagnesium halides in the presence of zirconium complexes. Russ. J. Org. Chem. 2010, 46, 355–362. [Google Scholar] [CrossRef]
- D’yakonov, V.A.; Ibragimov, A.G.; Khalilov, L.M.; Makarov, A.A.; Timerkhanov, R.K.; Tuktarova, R.A.; Trapeznikova, O.A.; Galimova, L.F. Dzhemilev reaction in the synthesis of five-membered sulfur and selenium heterocycles. Chem. Heterocycl. Compd. 2009, 45, 317–326. [Google Scholar] [CrossRef]
- D’yakonov, V.A.; Tuktarova, R.A.; Tyumkina, T.V.; Khalilov, L.M.; Dzhemilev, U.M. Synthesis and transformations of metallacycles 36. Cycloalumination of macrocyclic diacetylenes with Et3Al catalyzed by Cp2ZrCl2. Russ. Chem. Bull. 2010, 59, 1902–1908. [Google Scholar] [CrossRef]
- Klapoetke, T.M.; Krumm, B.; Scherr, M. Halogenation of dibenzoselenophene and dibenzo[1,2]diselenine. Z. Anorg. Allg. Chem. 2010, 636, 1955–1961. [Google Scholar] [CrossRef]
- Klapoetke, T.M.; Krumm, B.; Polborn, K.; Scherr, M. Formation of unexpected selenium-rich compounds by selenation of the very bulky (PhMe2Si)3CLi: S-tetraselenane, a novel polyseleno heterocycle. Eur. J. Inorg. Chem. 2006, 2006, 2937–2941. [Google Scholar] [CrossRef]
- Yamaguchi, S.; Xu, C.; Okamoto, T. Ladder π-conjugated materials with main group elements. Pure Appl. Chem. 2006, 78, 721–730. [Google Scholar] [CrossRef]
- Li, X.; Zhu, Y.; Shao, J.; Wang, B.; Zhang, S.; Shao, Y.; Jin, X.; Yao, X.; Fang, R.; Shao, X. Non-pyrolytic, large-scale synthesis of trichalcogenasumanene: A two-step approach. Angew. Chem. Int. Ed. 2014, 53, 535–538. [Google Scholar] [CrossRef]
- Takimiya, K.; Otsubo, T. Selenium-containing conjugated compounds for electronic molecular materials. Phosphorus Sulfur Silicon Relat. Elem. 2005, 180, 873–881. [Google Scholar] [CrossRef]
- Sashida, H.; Sadamori, K.; Tsuchiya, T. A convenient one-pot preparation of benzo[b]-tellurophenes,-selenophenes, and -thiophenes from o-bromoethynylbenzenes. Synth. Commun. 1998, 28, 713–727. [Google Scholar] [CrossRef]
- Takimiya, K.; Kunugi, Y.; Konda, Y.; Niihara, N.; Otsubo, T. 2,6-Diphenylbenzo[1,2-b:4,5-b‘]dichalcogenophenes: A new class of high-performance semiconductors for organic field-effect transistors. J. Am. Chem. Soc. 2004, 126, 5084–5085. [Google Scholar] [CrossRef] [PubMed]
- Takimiya, K.; Konda, Y.; Ebata, H.; Niihara, N.; Otsubo, T. Facile synthesis, structure, and properties of benzo[1,2-b:4,5-b‘]dichalcogenophenes. J. Org. Chem. 2005, 70, 10569–11071. [Google Scholar] [CrossRef] [PubMed]
- Wang, Y.; Parkin, S.R.; Watson, M.D. Benzodichalcogenophenes with perfluoroarene termini. Org. Lett. 2008, 10, 4421–4424. [Google Scholar] [CrossRef] [PubMed]
- Sashida, H.; Yasuike, S. A simple one-pot synthesis of [1]benzotelluro[3,2-b][1]benzotellurophenes and its selenium and sulfur analogs from 2,2′-dibromodiphenylacetylene. J. Heterocycl. Chem. 1998, 35, 725–726. [Google Scholar] [CrossRef]
- Alam, A.; Ohta, H.; Yamamoto, T.; Ogawa, S.; Sato, R. A new method for the synthesis of dinaphtho[1,2-b;2′,1′-d]thiophenes and selenophenes. Heteroat. Chem. 2007, 18, 239–248. [Google Scholar] [CrossRef]
- Roy, G.; Nethaji, M.; Mugesh, G. Biomimetic studies on anti-thyroid drugs and thyroid hormone synthesis. J. Am. Chem. Soc. 2004, 126, 2712–2713. [Google Scholar] [CrossRef]
- Roy, G.; Mugesh, G. Anti-thyroid drugs and thyroid hormone synthesis: Effect of methimazole derivatives on peroxidase-catalyzed reactions. J. Am. Chem. Soc. 2005, 127, 15207–15217. [Google Scholar] [CrossRef]
- Engman, L. Expedient synthesis of ebselen and related compounds. J. Org. Chem. 1989, 54, 2964–2966. [Google Scholar] [CrossRef]
- Chang, T.-C.; Huang, M.-L.; Hsu, W.-L.; Hwang, J.-M.; Hsu, L.-Y. Synthesis and biological evaluation of ebselen and its acyclic derivatives. Chem. Pharm. Bull. 2003, 51, 1413–1416. [Google Scholar] [CrossRef]
- Prochnow, T.; Maroneze, A.; Back, D.F.; Zeni, G. Synthesis of 3-(organochalcogen) chalcogenazolo indoles via cascade cyclization of N-alkynylindoles. J. Org. Chem. 2019, 84, 2891–2900. [Google Scholar] [CrossRef]
- Xiong, X.; Deng, C.-L.; Li, Z.; Peng, X.-S.; Wong, H.N.C. Quasi-planar diazadithio and diazodiseleno[8]circulenes: Synthesis, structures and properties. Org. Chem. Front. 2017, 4, 682–687. [Google Scholar] [CrossRef]
- Kobayashi, K.; Yokoi, Y. A convenient synthesis of 2-sulfanylbenzoselenazole derivatives via the reaction of 2-lithiophenyl isothiocyanates with selenium. Helv. Chim. Acta 2012, 95, 761–765. [Google Scholar] [CrossRef]
- Wang, M.; Fan, Q.; Jiang, X. Transition-metal-free diarylannulated sulfide and selenide construction via radical/anion-mediated sulfur-iodine and selenium-iodine exchange. Org. Lett. 2016, 18, 5756–5759. [Google Scholar] [CrossRef] [PubMed]
- Wu, B.; Yoshikai, N. Versatile synthesis of benzothiophenes and benzoselenophenes by rapid assembly of arylzinc reagents, alkynes, and elemental chalcogens. Angew. Chem. Int. Ed. 2013, 52, 10496–10499. [Google Scholar] [CrossRef] [PubMed]
- Gao, K.; Yoshikai, N. Low-valent cobalt catalysis: New opportunities for C–H functionalization. Acc. Chem. Res. 2014, 47, 1208–1219. [Google Scholar] [CrossRef]
- Luo, D.; Wu, G.; Yang, H.; Liu, M.; Gao, W.; Huang, X.; Chen, J.; Wu, H. Copper-catalyzed three-component reaction for regioselective aryl- and heteroarylselenation of indoles using selenium powder. J. Org. Chem. 2016, 81, 4485–4493. [Google Scholar] [CrossRef]
- Matsumura, M.; Sakata, Y.; Iwase, A.; Kawahata, M.; Kitamura, Y.; Murata, Y.; Kakusawa, N.; Yamaguchi, K.; Yasuike, S. Copper-catalyzed tandem cyclization of 2-(2-iodophenyl)imidazo[1,2-a]pyridine derivatives with selenium: Synthesis of benzo[b]selenophene-fused imidazo[1,2-a]pyridines. Tetrahedron Lett. 2016, 57, 5484–5488. [Google Scholar] [CrossRef]
- Sun, P.; Jiang, M.; Wie, W.; Min, Y.; Zhang, W.; Li, W.; Yang, D.; Wang, H. Copper-catalyzed selenylation of imidazo[1,2-a]pyridines with selenium powder via a radical pathway. J. Org. Chem. 2017, 82, 2906–2913. [Google Scholar] [CrossRef]
- Huang, M.-Q.; Li, T.-J.; Liu, J.-Q.; Shatskiy, A.; Karkas, M.D.; Wang, X.-S. Switchable copper-catalyzed approach to benzodithiole, benzothiaselenole, and dibenzodithiocine skeletons. Org. Lett. 2020, 22, 3454–3459. [Google Scholar] [CrossRef]
- Reddy, A.S.; Swamy, K.C.K. Use of elemental sulfur or selenium in a novel one-pot copper-catalyzed tandem cyclization of functionalized ynamides leading to benzosultams. Org. Lett. 2015, 17, 2996–2999. [Google Scholar] [CrossRef]
- Gattaiah, D.; Reddy, A.S.; Khan, S.A.; Swamy, K.C.K. Reactions of alkynes- copper-catalyzed cyclization of functionalized alkynes with elemental sulfur/selenium to form oxathiines/oxaselenines. J. Organomet. Chem. 2019, 889, 33–39. [Google Scholar] [CrossRef]
- Wang, Q.; Xiao, F.; Huang, Z.; Mao, G.; Deng, G.-J. CuBr2-Catalyzed annulation of 2-bromo-N-arylbenzimidamide with Se/S8 powder for the synthesis of benzo[d]isoselenazole and benzo[d]isothiazole. J. Org. Chem. 2023, 88, 1963–1976. [Google Scholar] [CrossRef] [PubMed]
- Matsumura, M.; Kitamura, Y.; Yamauchi, A.; Kanazawa, Y.; Murata, Y.; Hyodo, T.; Yamaguchi, K.; Yasuike, S. Synthesis of benzo[d]imidazo[2,1-b]benzoselenoazoles: Cs2CO3-mediated cyclization of 1-(2-bromoaryl)benzimidazoles with selenium. Beilstein J. Org. Chem. 2019, 15, 2029–2035. [Google Scholar] [CrossRef]
- Tokitoh, N.; Hayakawa, H.; Goto, M.; Ando, W. Novel reactions of 1,1,4,4-tetraaryl-1,2,3-butatrienes with elemental sulfur and selenium. Tetrahedron Lett. 1988, 29, 1935–1938. [Google Scholar] [CrossRef]
- Abele, H.; Haas, A.; Lieb, M.; Schelvis, M. New [4+1]-cycloadditions to trifluoromethylated dienes. J. Fluor. Chem. 1997, 84, 75–78. [Google Scholar] [CrossRef]
- Bedi, A.; Debnath, S.; Zade, S.S. Diselenolodiselenole: A selenium containing fused heterocycle for conjugated systems. Chem. Commun. 2014, 50, 13454–13456. [Google Scholar] [CrossRef]
- Potapov, V.A.; Amosova, S.V.; Doron’kina, I.V.; Zinchenko, S.V. Efficient synthesis of 2,5-diphenylselenophene and 2,5-diphenyltellurophene. Sulfur Lett. 2001, 24, 275–279. [Google Scholar]
- Masuda, M.; Maeda, C.; Yoshioka, N. Synthesis of carbazole-based selenaporphyrin via annulation. Org. Lett. 2013, 15, 578–581. [Google Scholar] [CrossRef]
- Nakayama, J.; Yomoda, R.; Hoshino, M. Reactions of elemental sulfur and selenium with some acetylenic compounds. Formation of thiophenes and selenophenes. Heterocycles 1987, 26, 2215–2222. [Google Scholar] [CrossRef]
- Wang, H.; Ying, J.; Lai, M.; Qi, X.; Peng, J.-B.; Wu, X.-F. Base-promoted carbonylative cyclization of propargylic amines with selenium under CO gas-free conditions. Adv. Synth. Catal. 2018, 360, 1693–1703. [Google Scholar] [CrossRef]
- Wang, H.; Ying, J.; Ai, H.-J.; Wu, X.-F. Convenient carbonylative synthesis of selenium-substituted vinyl iodides: (E)-5-(iodomethylene)-1,3-selenazolidin-2-ones. Eur. J. Org. Chem. 2019, 2019, 1553–1556. [Google Scholar] [CrossRef]
- Fujiwara, S.-I.; Shikano, Y.; Shin-ike, T.; Kambe, N.; Sonoda, N. Stereoselective synthesis of new selenium-containing heterocycles by cyclocarbonylation of aminoalkynes with carbon monoxide and selenium. J. Org. Chem. 2002, 67, 6275–6278. [Google Scholar] [CrossRef]
- Nakayama, J.; Akiyama, I.; Sugihara, Y.; Nishio, T. Synthesis and Unique Properties of 4,8-Bis[bis(diethylamino)methylene]-1,2,3,5,6,7-hexaselenacyclooctane. J. Am. Chem. Soc. 1998, 120, 10027–10031. [Google Scholar] [CrossRef]
- Nakayama, J.; Akiyama, I.; Sugihara, Y. Synthesis, reactivities, and unique solution properties of 4,8-bis(diethylamino)-methylene-1,2,3,5,6,7-hexaselenacyclooctane. Phosphorus Sulfur Silicon Relat. Elem. 1998, 136, 569–572. [Google Scholar] [CrossRef]
- Balkrishna, S.J.; Bhakuni, B.S.; Chopra, D.; Kumar, S. Cu-Catalyzed efficient synthetic methodology for ebselen and related Se-N heterocycles. Org. Lett. 2010, 12, 5394–5397. [Google Scholar] [CrossRef] [PubMed]
- Balkrishna, S.J.; Bhakuni, B.S.; Kumar, S. Copper catalyzed/mediated synthetic methodology for ebselen and related isoselenazolones. Tetrahedron 2011, 67, 9565–9575. [Google Scholar] [CrossRef]
- Iwasaki, M.; Miki, N.; Tsuchiya, Y.; Nakajima, K.; Nishihara, Y. Synthesis of benzoisoselenazolone derivatives by nickel-catalyzed dehydrogenative direct selenation of C(sp2)–H bonds with elemental selenium in air. Org. Lett. 2017, 19, 1092–1095. [Google Scholar] [CrossRef] [PubMed]
- Wu, J.; He, D.; Wang, Y.; Su, F.; Guo, Z.; Lin, J.; Zhang, H.-J. Selective ortho-π-extension of perylene diimides for rylene dyes. Org. Lett. 2018, 20, 6117–6120. [Google Scholar] [CrossRef]
- Ishii, A.; Furusawa, K.; Omata, T.; Nakayama, J. Reactions of sterically congested 1,6- and 1,7-bis(diazo)alkanes with elemental sulfur and selenium: Formation of cyclohexene, 1,2-dithiocane, 1,2-diselenocane, and 1,2,3-triselenecane derivatives. Heteroat. Chem. 2002, 13, 351–356. [Google Scholar] [CrossRef]
- Shibahara, F.; Fukunaga, T.; Kubota, S.; Yoshida, A.; Murai, T. Synthesis of chiral selenazolines from N-acyloxazolidinones via a selenative rearrangement of chiral cyclic skeletons. Org. Lett. 2018, 20, 5826–5830. [Google Scholar] [CrossRef]
- Yoshida, T.; Kambe, N.; Murai, S.; Sonoda, N. A novel synthesis of selenium-containing heterocyclic compounds. Carbonylation of ortho-substituted anilines with carbon monoxide in the presence of selenium. J. Org. Chem. 1987, 52, 1611–1613. [Google Scholar] [CrossRef]
- Nakayama, J.; Sugiura, H.; Hoshino, M.; Kobayashi, H. Formation of 1,3-oxathioles and 1,3-oxaselenoles by reactions of carbonyl-stabilized sulfonium ylides with elemental sulfur and selenium. Tetrahedron Lett. 1985, 26, 2201–2204. [Google Scholar] [CrossRef]
- Takimiya, K.; Morikami, A.; Otsubo, T. A convenient preparation of 1,3-dithiole-2-thione and 1,3-diselenole-2-selone derivatives. Synlett 1997, 1997, 319–322. [Google Scholar] [CrossRef]
- Morikami, A.; Takimiya, K.; Aso, Y.; Otsubo, T. One-pot synthesis of heterocycle-fused 1,3-diselenole-2-selones as the key precursors of tetraselenafulvalene-type electron donors. Org. Lett. 1999, 1, 23–25. [Google Scholar] [CrossRef]
- Hwu, J.R.; Lai, L.-L.; Hakimelahi, G.H.; Davari, H. Syntheses of the first selenium-containing bicyclic β-lactams as potent antimicrobial agents. Helv. Chim. Acta 1994, 77, 1037–1045. [Google Scholar] [CrossRef]
- Goh, G.K.H.; Li, Y.; Kinjo, R. Oxidative addition of elemental selenium to 1,4,2,5-diazadiborinine. Dalton Trans. 2019, 48, 7514–7518. [Google Scholar]
- Braunschweig, H.; Constantinidis, P.; Dellermann, T.; Ewing, W.C.; Fischer, I.; Hess, M.; Knight, F.R.; Rempel, A.; Schneider, C.; Ullrich, S.; et al. Highly strained heterocycles constructed from boron-boron multiple bonds and heavy chalcogens. Angew. Chem. Int. Ed. 2016, 55, 5606–5609. [Google Scholar] [CrossRef]
- Braunschweig, H.; Dewhurst, R.D.; Hammond, K.; Mies, J.; Radacki, K.; Vargas, A. Ambient-temperature isolation of a compound with a boron-boron triple bond. Science 2012, 336, 1420–1422. [Google Scholar] [CrossRef]
- Braunschweig, H.; Dellermann, T.; Ewing, W.C.; Kramer, T.; Schneider, C.; Ullrich, S. Reductive insertion of elemental chalcogens into boron-boron multiple bonds. Angew. Chem. Int. Ed. 2015, 54, 10271–10275. [Google Scholar] [CrossRef]
- Nakata, N.; Sekiguchi, A. Thia- and selenasilaboriranes and 1,3,2,4-dioxasilaboretane from a stable silaborene. Chem. Lett. 2007, 36, 662–663. [Google Scholar] [CrossRef]
- Tsurusaki, A.; Sasamori, T.; Tokitoh, N. Synthesis and structure of a 1-phospha-2-boraacenaphthene derivative and its chalcogenation reactions. Chem. Eur. J. 2014, 20, 3752–3758. [Google Scholar] [CrossRef] [PubMed]
- Cui, C.-X.; Ren, S.; Qiu, Z.; Xie, Z. Synthesis of carborane-fused carbo- and heterocycles via zirconacyclopentane intermediates. Dalton Trans. 2018, 47, 2453–2459. [Google Scholar] [CrossRef] [PubMed]
- Dong, Z.; Schmidtmann, M.; Mueller, T. Reactivity of a bicyclo[2.1.1]hexene germylene towards elemental chalcogens. Z. Anorg. Allg. Chem. 2018, 644, 1041–1046. [Google Scholar] [CrossRef]
- Kawachi, A.; Tanaka, Y.; Tamao, K. Reaction of {tris[2-(dimethylamino)phenyl]germyl}lithium with elemental selenium: Formation of 2,2,4,4-tetrakis[2-(dimethylamino)phenyl]-1,3,2,4-diselenadigermetane. Chem. Lett. 1999, 28, 21–22. [Google Scholar] [CrossRef]
- Sugahara, T.; Sasamori, T.; Tokitoh, N. Chalcogenation reaction of cyclic digermenes. Chem. Lett. 2018, 47, 719–722. [Google Scholar] [CrossRef]
- Sugahara, T.; Sasamori, T.; Tokitoh, N. 2,5-Digermaselenophenes: Germanium analogues of selenophenes. J. Am. Chem. Soc. 2018, 140, 11206–11209. [Google Scholar] [CrossRef] [PubMed]
- Nakata, N.; Takeda, N.; Tokitoh, N. Reaction of a stable germabenzene with chalcogens: Synthesis and structure of a novel germanium analog of pentathiepane, 1,2,3,4,5,6-pentathiagermepane. J. Organomet. Chem. 2003, 672, 66–71. [Google Scholar] [CrossRef]
- Nagahora, N.; Sasamori, T.; Tokitoh, N. Chalcogenation reactions of a stable ferrocenyldiphosphene: Formation of thia-, selena-, and telluradiphosphiranes. Heteroat. Chem. 2008, 19, 443–449. [Google Scholar] [CrossRef]
- Sasamori, T.; Mieda, E.; Tokitoh, N. Chalcogenation reactions of overcrowded doubly bonded systems between heavier group 15 elements. Bull. Chem. Soc. Jpn. 2007, 80, 2425–2435. [Google Scholar] [CrossRef]
- Fitzmaurice, J.C.; Williams, D.J.; Wood, P.T.; Woollins, J.D. Organo-Phosphorus-Selenium Heterocycles. J. Chem. Soc. Chem. Commun. 1988, 11, 741–743. [Google Scholar] [CrossRef]
- Wood, P.T.; Woollins, J.D. Phosphorus–selenium heterocycles. J. Chem. Soc. Chem. Commun. 1988, 17, 1190–1191. [Google Scholar] [CrossRef]
- Pilkington, M.J.; Slawin, A.M.Z.; Williams, D.J.; Woollins, J.D. The preparation and characterization of binary phosphorus–selenium rings. Heteroat. Chem. 1990, 1, 351–355. [Google Scholar] [CrossRef]
- Karaghiosoff, K.; Eckstein, K.; Motzer, R. Phosphorus-selenium heterocycles in the quasi-binary system RP/Se. Phosphorus Sulfur Silicon Relat. Elem. 1994, 93–94, 185–188. [Google Scholar] [CrossRef]
- Hua, G.; Woollins, J.D. Organophosphorus-selenium/tellurium reagents: From synthesis to applications. Phys. Sci. Rev. 2017, 4, 20170132. [Google Scholar] [CrossRef]
- Kilian, P.; Slawin, A.M.Z.; Woollins, J.D. Novel small organo-P-S/Se heterocycles. Chem. Commun. 2001, 21, 2288–2289. [Google Scholar] [CrossRef]
- Okuma, K.; Kubota, T. Novel formation of 1,2,4-triselenolanes by the reaction of tert-butylarylmethylenetriphenylphosphoranes with elemental selenium. Tetrahedron Lett. 2001, 42, 3881–3883. [Google Scholar] [CrossRef]
- Gan, H.; Macfarlane, D.R. Facile preparation of 2-arylbenzoselenazoles from three components reactions: 2-Chloronitrobenzenes, Se, and arylacetic acids. Tetrahedron Lett. 2020, 61, 151393. [Google Scholar] [CrossRef]
- Gu, R.; Wang, X.; Yang, Z.; Han, S. Se-mediated one-pot synthesis of 2-substituted benzoselenazole derivatives from 2-iodoanilines and arylacetic acids/arylmethyl chlorides. Tetrahedron Lett. 2018, 59, 2835–2838. [Google Scholar] [CrossRef]
- Su, T.; Xie, S.; Li, B.; Yan, J.; Huang, L.; Li, X. Copper-catalyzed three-component one-pot synthesis of substituted 2-aryl-1,3-benzoselenazoles. Synlett 2015, 26, 215–220. [Google Scholar] [CrossRef]
- Ni, P.; Tan, J.; Zhao, W.; Huang, H.; Deng, G.-J. Metal-free three-component selenopheno[2,3-b]indole formation through double C-H selenylation with selenium powder. Adv. Synth. Catal. 2019, 361, 5351–5356. [Google Scholar] [CrossRef]
- Ni, P.; Tan, J.; Zhao, W.; Huang, H.; Xiao, F.; Deng, G.-J. A three-component strategy for benzoselenophene synthesis under metal-free conditions using selenium powder. Org. Lett. 2019, 21, 3518–3522. [Google Scholar] [CrossRef] [PubMed]
- Fang, Y.; Wang, S.-Y.; Shen, X.-B.; Ji, S.-J. Base-promoted cascade reaction of isocyanides, selenium and amines: A practical approach to 2-aminobenzo[d][1,3]selenazines under metal-free conditions. Org. Chem. Front. 2015, 2, 1338–1341. [Google Scholar] [CrossRef]
- Fang, Y.; Zhu, Z.-L.; Xu, P.; Wang, S.-Y.; Ji, S.-J. Aerobic radical-cascade cycloaddition of isocyanides, selenium and imidamides: Facile access to 1,2,4-selenadiazoles under metal-free conditions. Green Chem. 2017, 19, 1613–1618. [Google Scholar] [CrossRef]
- Asanuma, Y.; Fujiwara, S.-I.; Shin-ike, T.; Kambe, N. Selenoimidoylation of alcohols with selenium and isocyanides and its application to the synthesis of selenium-containing heterocycles. J. Org. Chem. 2004, 69, 4845–4848. [Google Scholar] [CrossRef]
- Chen, W.; Zhu, X.; Wang, F.; Yang, Y.; Deng, G.; Liang, Y. Iodine-catalyzed three-component cascade reaction for the synthesis of substituted 2-phenylnaphtho[1,3]selenazoles under transition-metal-free conditions. J. Org. Chem. 2020, 85, 3349–3357. [Google Scholar] [CrossRef] [PubMed]
- Atanassov, P.; Linden, A.; Heimgartner, H. Thia- and selenaheterocycles by a four-component reaction using elemental sulfur and selenium. J. Sulfur Chem. 2006, 27, 181–191. [Google Scholar] [CrossRef]







































































Disclaimer/Publisher’s Note: The statements, opinions and data contained in all publications are solely those of the individual author(s) and contributor(s) and not of MDPI and/or the editor(s). MDPI and/or the editor(s) disclaim responsibility for any injury to people or property resulting from any ideas, methods, instructions or products referred to in the content. |
© 2023 by the author. Licensee MDPI, Basel, Switzerland. This article is an open access article distributed under the terms and conditions of the Creative Commons Attribution (CC BY) license (https://creativecommons.org/licenses/by/4.0/).
Share and Cite
Martynov, A.V. Elemental Selenium in the Synthesis of Selenaheterocycles. Inorganics 2023, 11, 287. https://doi.org/10.3390/inorganics11070287
Martynov AV. Elemental Selenium in the Synthesis of Selenaheterocycles. Inorganics. 2023; 11(7):287. https://doi.org/10.3390/inorganics11070287
Chicago/Turabian StyleMartynov, Alexander V. 2023. "Elemental Selenium in the Synthesis of Selenaheterocycles" Inorganics 11, no. 7: 287. https://doi.org/10.3390/inorganics11070287
APA StyleMartynov, A. V. (2023). Elemental Selenium in the Synthesis of Selenaheterocycles. Inorganics, 11(7), 287. https://doi.org/10.3390/inorganics11070287

