The Influence of Different Recombination Pathways on Hysteresis in Perovskite Solar Cells with Ion Migration
Abstract
1. Introduction
2. Results and Discussion
2.1. Ion Migration
2.2. Bulk Recombination
2.3. Interface Recombination
2.4. Bulk Recombination and Interface Recombination
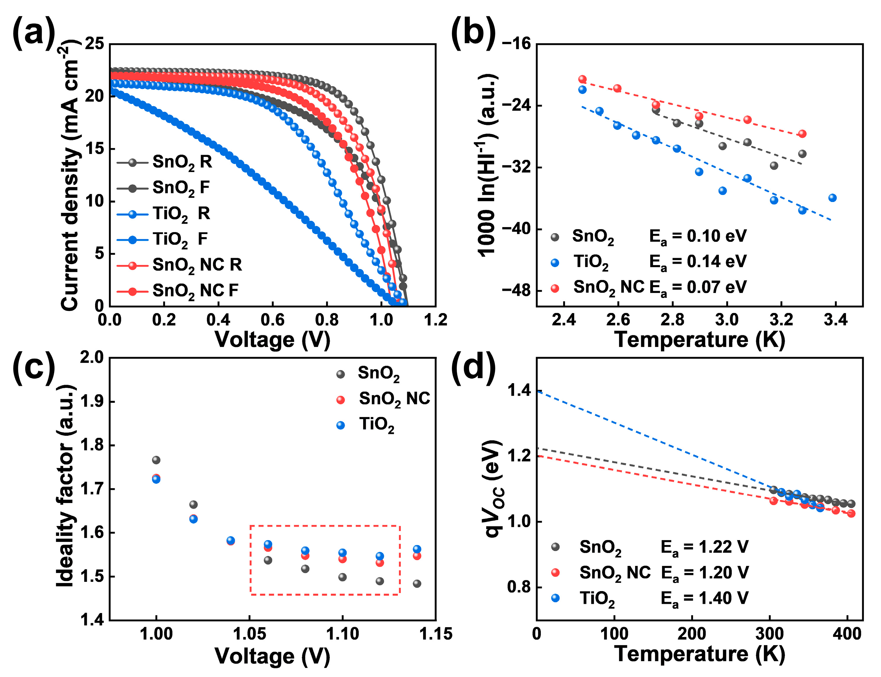
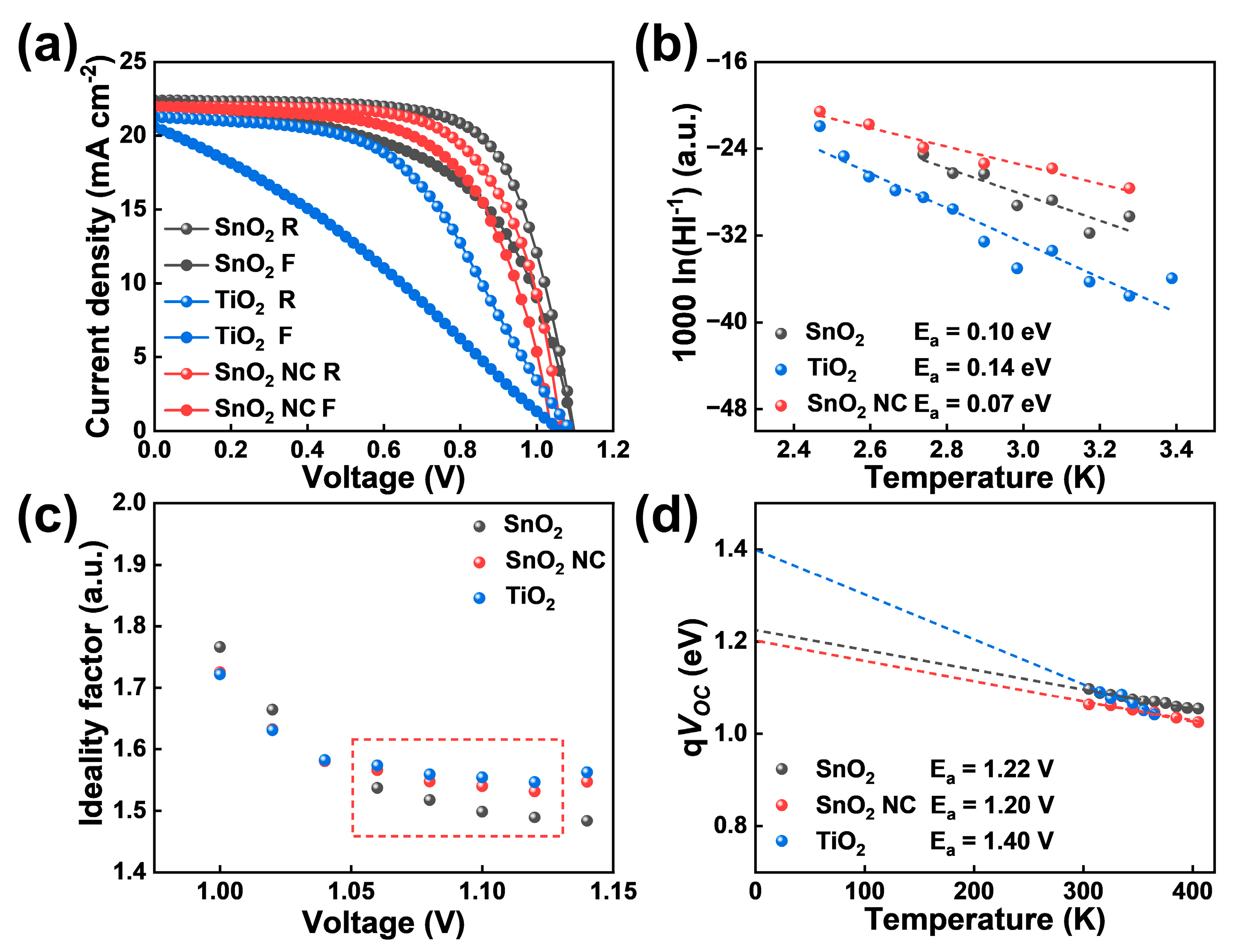
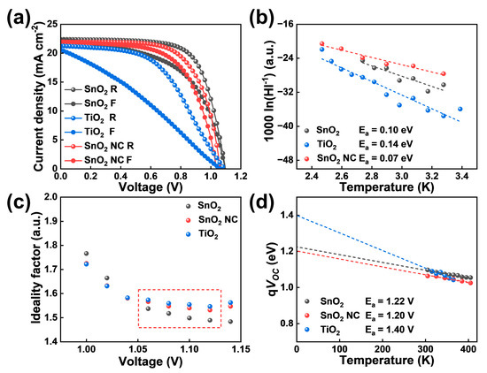
2.5. Hysteresis in Fabricated Devices
3. Experimental Section
3.1. Materials
3.2. Fabrication of Perovskite Solar Cells
3.3. Device and Material Characterization
3.4. Diffusion–Drift Modeling
4. Conclusions
Supplementary Materials
Author Contributions
Funding
Institutional Review Board Statement
Informed Consent Statement
Data Availability Statement
Conflicts of Interest
References
- Min, H.; Lee, D.; Kim, J.; Kim, G.; Lee, K.S.; Kim, J.; Paik, M.J.; Kim, Y.K.; Kim, K.S.; Kim, M.G.; et al. Perovskite solar cells with atomically coherent interlayers on SnO2 electrodes. Nature 2021, 598, 444–450. [Google Scholar] [CrossRef] [PubMed]
- Gao, P.; Gratzel, M.; Nazeeruddin, M.K. Organohalide lead perovskites for photovoltaic applications. Energy Environ. Sci. 2014, 7, 2448–2463. [Google Scholar] [CrossRef]
- Correa-Baena, J.P.; Saliba, M.; Buonassisi, T.; Gratzel, M.; Abate, A.; Tress, W.; Hagfeldt, A. Promises and challenges of perovskite solar cells. Science 2017, 358, 739–744. [Google Scholar] [CrossRef] [PubMed]
- Green, M.A.; Ho-Baillie, A.; Snaith, H.J. The emergence of perovskite solar cells. Nat. Photonics 2014, 8, 506–514. [Google Scholar] [CrossRef]
- Stranks, S.D.; Snaith, H.J. Metal-halide perovskites for photovoltaic and light-emitting devices. Nat. Nanotechnol. 2015, 10, 391–402. [Google Scholar] [CrossRef] [PubMed]
- Jena, A.K.; Kulkarni, A.; Miyasaka, T. Halide Perovskite Photovoltaics: Background, Status, and Future Prospects. Chem. Rev. 2019, 119, 3036–3103. [Google Scholar] [CrossRef]
- Snaith, H.J.; Abate, A.; Ball, J.M.; Eperon, G.E.; Leijtens, T.; Noel, N.K.; Stranks, S.D.; Wang, J.T.W.; Wojciechowski, K.; Zhang, W. Anomalous Hysteresis in Perovskite Solar Cells. J. Phys. Chem. Lett. 2014, 5, 1511–1515. [Google Scholar] [CrossRef]
- Chen, B.; Yang, M.J.; Priya, S.; Zhu, K. Origin of J-V Hysteresis in Perovskite Solar Cells. J. Phys. Chem. Lett. 2016, 7, 905–917. [Google Scholar] [CrossRef]
- Li, C.; Tscheuschner, S.; Paulus, F.; Hopkinson, P.E.; Kiessling, J.; Kohler, A.; Vaynzof, Y.; Huettner, S. Iodine Migration and its Effect on Hysteresis in Perovskite Solar Cells. Adv. Mater. 2016, 28, 2446–2454. [Google Scholar] [CrossRef]
- Yu, H.; Lu, H.P.; Xie, F.Y.; Zhou, S.; Zhao, N. Native Defect-Induced Hysteresis Behavior in Organolead Iodide Perovskite Solar Cells. Adv. Funct. Mater. 2016, 26, 1411–1419. [Google Scholar] [CrossRef]
- Shao, Y.H.; Xiao, Z.G.; Bi, C.; Yuan, Y.B.; Huang, J.S. Origin and elimination of photocurrent hysteresis by fullerene passivation in CH3NH3PbI3 planar heterojunction solar cells. Nat. Commun. 2014, 5, 5784. [Google Scholar] [CrossRef] [PubMed]
- Kong, D.H.; Park, N.G. On the Current-Voltage Hysteresis in Perovskite Solar Cells: Dependence on Perovskite Composition and Methods to Remove Hysteresis. Adv. Mater. 2019, 31, 1805214. [Google Scholar] [CrossRef] [PubMed]
- Yuan, Y.B.; Huang, J.S. Ion Migration in Organometal Trihalide Perovskite and Its Impact on Photovoltaic Efficiency and Stability. Acc. Chem. Res. 2016, 49, 286–293. [Google Scholar] [CrossRef] [PubMed]
- Eames, C.; Frost, J.M.; Barnes, P.R.F.; O’Regan, B.C.; Walsh, A.; Islam, M.S. Ionic transport in hybrid lead iodide perovskite solar cells. Nat. Commun. 2015, 6, 7497. [Google Scholar] [CrossRef] [PubMed]
- Frost, J.M.; Walsh, A. What Is Moving in Hybrid Halide Perovskite Solar Cells? Acc. Chem. Res. 2016, 49, 528–535. [Google Scholar] [CrossRef]
- Zhang, T.; Hu, C.; Yang, S.H. Ion Migration: A “Double-Edged Sword” for Halide-Perovskite-Based Electronic Devices. Small Methods 2019, 4, 1900552. [Google Scholar] [CrossRef]
- Jeon, N.J.; Noh, J.H.; Yang, W.S.; Kim, Y.C.; Ryu, S.; Seo, J.; Seok, S.I. Compositional engineering of perovskite materials for high-performance solar cells. Nature 2015, 517, 476–480. [Google Scholar] [CrossRef]
- Kim, G.; Min, H.; Lee, K.S.; Lee, D.Y.; Yoon, S.M.; Seok, S.I. Impact of strain relaxation on performance of alpha-formamidinium lead iodide perovskite solar cells. Science 2020, 370, 108–112. [Google Scholar] [CrossRef]
- Tsai, H.H.; Nie, W.Y.; Blancon, J.C.; Toumpos, C.C.S.; Asadpour, R.; Harutyunyan, B.; Neukirch, A.J.; Verduzco, R.; Crochet, J.J.; Tretiak, S.; et al. High-efficiency two-dimensional Ruddlesden-Popper perovskite solar cells. Nature 2016, 536, 312–316. [Google Scholar] [CrossRef]
- Jiang, Q.; Zhao, Y.; Zhang, X.W.; Yang, X.L.; Chen, Y.; Chu, Z.M.; Ye, Q.F.; Li, X.X.; Yin, Z.G.; You, J.B. Surface passivation of perovskite film for efficient solar cells. Nat. Photonics 2019, 13, 460–466. [Google Scholar] [CrossRef]
- Peng, J.; Wu, Y.; Ye, W.; Jacobs, D.A.; Shen, H.; Fu, X.; Wan, Y.; Duong, T.; Wu, N.; Barugkin, C.; et al. Interface passivation using ultrathin polymer-fullerene films for high-efficiency perovskite solar cells with negligible hysteresis. Energy Environ. Sci. 2017, 10, 1792–1800. [Google Scholar] [CrossRef]
- Kan, C.X.; Tang, Z.F.; Yao, Y.X.; Hang, P.J.; Li, B.; Wang, Y.; Sun, X.; Lei, M.; Yang, D.R.; Yu, X.G. Mitigating Ion Migration by Polyethylene Glycol-Modified Fullerene for Perovskite Solar Cells with Enhanced Stability. ACS Energy Lett. 2021, 6, 3864–3872. [Google Scholar] [CrossRef]
- Li, N.X.; Tao, S.X.; Chen, Y.H.; Niu, X.X.; Onwudinanti, C.K.; Hu, C.; Qiu, Z.W.; Xu, Z.Q.; Zheng, G.H.J.; Wang, L.G.; et al. Cation and anion immobilization through chemical bonding enhancement with fluorides for stable halide perovskite solar cells. Nat. Energy 2019, 4, 408–415. [Google Scholar] [CrossRef]
- Ke, W.J.; Xiao, C.X.; Wang, C.L.; Saparov, B.; Duan, H.S.; Zhao, D.W.; Xiao, Z.W.; Schulz, P.; Harvey, S.P.; Liao, W.Q.; et al. Employing Lead Thiocyanate Additive to Reduce the Hysteresis and Boost the Fill Factor of Planar Perovskite Solar Cells. Adv. Mater. 2016, 28, 5214–5221. [Google Scholar] [CrossRef]
- Bag, M.; Renna, L.A.; Adhikari, R.Y.; Karak, S.; Liu, F.; Lahti, P.M.; Russell, T.P.; Tuominen, M.T.; Venkataraman, D. Kinetics of Ion Transport in Perovskite Active Layers and Its Implications for Active Layer Stability. J. Am. Chem. Soc. 2015, 137, 13130–13137. [Google Scholar] [CrossRef]
- Haruyama, J.; Sodeyama, K.; Han, L.Y.; Tateyama, Y. First-Principles Study of Ion Diffusion in Perovskite Solar Cell Sensitizers. J. Am. Chem. Soc. 2015, 137, 10048–10051. [Google Scholar] [CrossRef]
- Li, D.H.; Wu, H.; Cheng, H.C.; Wang, G.M.; Huang, Y.; Duan, X.F. Electronic and Ionic Transport Dynamics in Organolead Halide Perovskites. ACS Nano 2016, 10, 6933–6941. [Google Scholar] [CrossRef]
- Liu, P.Y.; Wang, W.; Liu, S.M.; Yang, H.G.; Shao, Z.P. Fundamental Understanding of Photocurrent Hysteresis in Perovskite Solar Cells. Adv. Energy Mater. 2019, 9, 1803017. [Google Scholar] [CrossRef]
- Courtier, N.E.; Richardson, G.; Foster, J.M. A fast and robust numerical scheme for solving models of charge carrier transport and ion vacancy motion in perovskite solar cells. Appl. Math. Model. 2018, 63, 329–348. [Google Scholar] [CrossRef]
- Ono, L.K.; Raga, S.R.; Wang, S.H.; Kato, Y.; Qi, Y.B. Temperature-dependent hysteresis effects in perovskite-based solar cells. J. Mater. Chem. A 2015, 3, 9074–9080. [Google Scholar] [CrossRef]
- Calado, P.; Telford, A.; Bryant, D.; Xiaoe, L.; Jenny, N.; Brian, R.; Piers, B. Evidence for ion migration in hybrid perovskite solar cells with minimal hysteresis. Nat. Commun. 2016, 7, 13831. [Google Scholar] [CrossRef] [PubMed]
- Neukom, M.T.; Zufle, S.; Knapp, E.; Makha, M.; Hany, R.; Ruhstaller, B. Why perovskite solar cells with high efficiency show small IV-curve hysteresis. Sol. Energy Mater. Sol. Cells 2017, 169, 159–166. [Google Scholar] [CrossRef]
- Courtier, N.E.; Cave, J.M.; Walker, A.B.; Richardson, G.; Foster, J.M. IonMonger: A free and fast planar perovskite solar cell simulator with coupled ion vacancy and charge carrier dynamics. J. Comput. Electron. 2019, 18, 1435–1449. [Google Scholar] [CrossRef]
- Lee, J.W.; Kim, S.G.; Yang, J.M.; Yang, Y.; Park, N.G. Verification and mitigation of ion migration in perovskite solar cells. APL Mater. 2019, 7, 041111. [Google Scholar] [CrossRef]
- Luo, D.Y.; Su, R.; Zhang, W.; Gong, Q.H.; Zhu, R. Minimizing non-radiative recombination losses in perovskite solar cells. Nat. Rev. Mater. 2020, 5, 44–60. [Google Scholar] [CrossRef]
- Sarritzu, V.; Sestu, N.; Marongiu, D.; Chang, X.Q.; Masi, S.; Rizzo, A.; Colella, S.; Quochi, F.; Saba, M.; Mura, A.; et al. Optical determination of Shockley-Read-Hall and interface recombination currents in hybrid perovskites. Sci. Rep. 2017, 7, 44629. [Google Scholar] [CrossRef]
- Kruckemeier, L.; Krogmeier, B.; Liu, Z.F.; Rau, U.; Kirchartz, T. Understanding Transient Photoluminescence in Halide Perovskite Layer Stacks and Solar Cells. Adv. Energy Mater. 2021, 11, 2003489. [Google Scholar] [CrossRef]
- Li, B.A.; Kan, C.X.; Hang, P.J.; Fang, Y.J.; Zuo, L.J.; Song, L.H.; Zhang, Y.Q.; Yang, D.R.; Yu, X.G. Understanding the Influence of Cation and Anion Migration on Mixed-Composition Perovskite Solar Cells via Transient Ion Drift. Phys. Status Solidi RRL 2021, 15, 2100225. [Google Scholar] [CrossRef]
- Tress, W.; Yavari, M.; Domanski, K.; Yadav, P.; Niesen, B.; Baena, J.P.C.; Hagfeldt, A.; Graetzel, M. Interpretation and evolution of open-circuit voltage, recombination, ideality factor and subgap defect states during reversible light-soaking and irreversible degradation of perovskite solar cells. Energy Environ. Sci. 2018, 11, 715. [Google Scholar] [CrossRef]
- Velilla, E.; Jaramillo, F.; Mora-Seró, I. High-throughput analysis of the ideality factor to evaluate the outdoor performance of perovskite solar minimodules. Nat. Energy 2021, 6, 54–62. [Google Scholar] [CrossRef]
- Singh, S.; Li, C.; Panzer, F.; Narasimhan, K.L.; Graeser, A.; Gujar, T.P.; Kohler, A.; Thelakkat, M.; Huettner, S.; Kabra, D. Effect of Thermal and Structural Disorder on the Electronic Structure of Hybrid Perovskite Semiconductor CH3NH3PbI3. J. Phys. Chem. Lett. 2016, 7, 3014–3021. [Google Scholar] [CrossRef] [PubMed]





| Parameters | VOC (V) | JSC (mA cm−2) | FF (%) | PCE (%) | HI (%) | |
|---|---|---|---|---|---|---|
| Devices | ||||||
| SnO2 R | 1.10 | 22.37 | 69.32 | 17.03 | 20.67 | |
| SnO2 F | 1.10 | 22.33 | 55.22 | 13.51 | ||
| SnO2 NC R | 1.06 | 21.95 | 66.62 | 15.45 | 15.86 | |
| SnO2 NC F | 1.04 | 21.66 | 58.02 | 13.00 | ||
| TiO2 R | 1.09 | 21.26 | 50.26 | 12.81 | 42.78 | |
| TiO2 F | 1.06 | 20.58 | 30.49 | 7.33 | ||
Disclaimer/Publisher’s Note: The statements, opinions and data contained in all publications are solely those of the individual author(s) and contributor(s) and not of MDPI and/or the editor(s). MDPI and/or the editor(s) disclaim responsibility for any injury to people or property resulting from any ideas, methods, instructions or products referred to in the content. |
© 2023 by the authors. Licensee MDPI, Basel, Switzerland. This article is an open access article distributed under the terms and conditions of the Creative Commons Attribution (CC BY) license (https://creativecommons.org/licenses/by/4.0/).
Share and Cite
Li, B.; Chen, K.; Hang, P.; Yao, Y.; Kan, C.; Hu, Z.; Wang, Y.; Zhang, Y.; Yang, D.; Yu, X. The Influence of Different Recombination Pathways on Hysteresis in Perovskite Solar Cells with Ion Migration. Inorganics 2023, 11, 52. https://doi.org/10.3390/inorganics11020052
Li B, Chen K, Hang P, Yao Y, Kan C, Hu Z, Wang Y, Zhang Y, Yang D, Yu X. The Influence of Different Recombination Pathways on Hysteresis in Perovskite Solar Cells with Ion Migration. Inorganics. 2023; 11(2):52. https://doi.org/10.3390/inorganics11020052
Chicago/Turabian StyleLi, Biao, Kun Chen, Pengjie Hang, Yuxin Yao, Chenxia Kan, Zechen Hu, Ying Wang, Yiqiang Zhang, Deren Yang, and Xuegong Yu. 2023. "The Influence of Different Recombination Pathways on Hysteresis in Perovskite Solar Cells with Ion Migration" Inorganics 11, no. 2: 52. https://doi.org/10.3390/inorganics11020052
APA StyleLi, B., Chen, K., Hang, P., Yao, Y., Kan, C., Hu, Z., Wang, Y., Zhang, Y., Yang, D., & Yu, X. (2023). The Influence of Different Recombination Pathways on Hysteresis in Perovskite Solar Cells with Ion Migration. Inorganics, 11(2), 52. https://doi.org/10.3390/inorganics11020052

