Next Article in Journal
Luminescent Zn Halide Complexes with 2-(2-Aminophenyl)benzothiazole Derivatives
Next Article in Special Issue
Technoeconomic Analysis of Dye Sensitized Solar Cells (DSSCs) with WS2/Carbon Composite as Counter Electrode Material
Previous Article in Journal
Low-Cost Carbon Nanoparticles for Removing Hazardous Organic Pollutants from Water: Complete Remediation Study and Multi-Use Investigation
Previous Article in Special Issue
Correction: Michaels, H.; et al. Copper Complexes with Tetradentate Ligands for Enhanced Charge Transport in Dye-Sensitized Solar Cells. Inorganics 2018, 6, 53
 
 
Font Type:
Arial Georgia Verdana
Font Size:
Aa Aa Aa
Line Spacing:
Column Width:
Background:
Review

A Fascinating Trip into Iron and Copper Dyes for DSSCs

Department of Chemistry, University of Milan, UdR-INSTM, Via Golgi 19, I-20133 Milano, Italy
*
Author to whom correspondence should be addressed.
Inorganics 2022, 10(9), 137; https://doi.org/10.3390/inorganics10090137
Submission received: 26 July 2022 / Revised: 4 September 2022 / Accepted: 7 September 2022 / Published: 10 September 2022
(This article belongs to the Collection Coordination Complexes for Dye-Sensitized Solar Cells (DSCs))

Abstract

:
The production of electricity in a greener and more sustainable way by employing renewable sources is a great challenge in modern times. Photovoltaic systems represent an important possibility because sunlight is the most abundant renewable source. In this review article, recent studies (from 2018 to the present) involving novel iron and copper complexes employed as dyes in Dye-Sensitized Solar Cells (DSSCs) are reported; mono- and bimetallic Fe complexes, Cu-based dyes, and devices presenting both metals are discussed, together with the performances of the DSSCs reported in the papers and the corresponding values of the main parameters employed to characterize such solar cells. The feasibility of DSSCs employing copper and iron dyes, alone or in combination with other earth-abundant metals, is demonstrated. The proper optimization of the sensitizers, together with that of the electrolyte and of the semiconducting layer, will likely lead to the development of highly performing and cheap photovoltaic devices for future applications on a much larger scale.

1. Introduction

In the face of climate change and global warming, many solutions for energy conversion have been developed with the aim of producing electricity in a greener and more sustainable way by employing renewable sources. Among them, photovoltaic systems represent an important solution because sunlight is the most abundant renewable resource [1] and photovoltaic devices can easily be integrated in buildings, providing high conversion efficiencies.
Particularly interesting are the so-called Dye-Sensitized Solar Cells (DSSCs), first described by Grätzel and O’Regan in 1991 [2]: these devices (schematized in Figure 1) are based on a sensitizer (an organometallic or coordination complex, or purely organic compound) adsorbed on the surface of a semiconductor film (usually titanium dioxide), which is deposited onto a photoanode made of a conductive oxide, such as fluorine-doped tin oxide (FTO). The cathode is often constituted by a layer of FTO on which a counter electrode, usually made of Platinum or graphite, is deposited. Between the anode and the cathode, an electrolytic solution containing a redox couple—usually the I/I3 type—and some additives (such as 4-tert-butylpyridine, TBP) are placed.
When sunlight hits the cells, it is absorbed by the dye molecule, which reaches an excited state from which the injection of an electron in the conduction band of the TiO2 layer occurs. The injected electron reaches the photoanode and consequently the cathode by passing through an external circuit; there, it is recombined with the oxidized species of the redox mediator to create the reduced form. This species reacts with the oxidized dye, reducing it and preparing the molecule for another cycle.
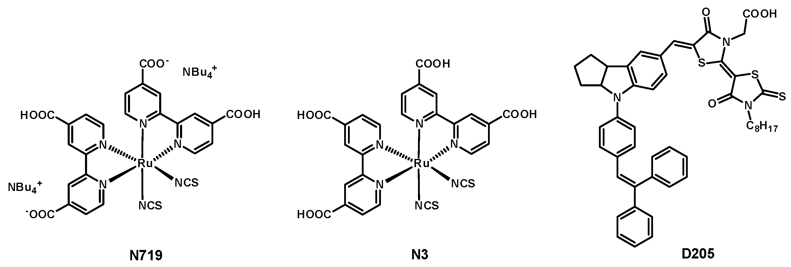
Among the wide variety of dyes employed as sensitizers in DSSCs, one can use both organic compounds, such as D205, and coordination compounds, such as N719 and N3 (structures in Figure 2). Record efficiencies overcoming 20% [3] were obtained with the dye N719, which is often employed as a term of comparison in studies describing novel dyes for DSSCs. Up to now, many examples of Ru(II) dyes have been tested, at first, with a structure similar to that of N719, and later, avoiding the presence of NCS ligands [4,5,6,7,8,9,10,11,12,13].
Dyes such as N719 present chelating bipyridine ligands functionalized with carboxyl groups, which are necessary to anchor these molecules onto the titania layer, and two monodentate thiocyanate ligands. The main problems arising from the use of Ru(II) complexes such as N719 are the replacement of the thiocyanate groups by other species often present in the redox mediator (such as 4-tert-butylpyridine), its scarcity, and the high cost. To find a solution, many iron and copper complexes have been proposed as an alternative to the conventional Ru(II)-based ones because Cu and Fe are cheaper and much more abundant than Ru. The goal of this review is to retrace the development of copper and iron complexes as sensitizers for DSSCs from 2018 to the present, inspired by the excellent review of C. Housecroft et al. [14], and to show the main results obtained by employing them, including their possible use in combination with other cheap and abundant metal cations, such as Zn and Ni cations.

2. Iron Monometallic and Bimetallic Complexes

This section reports the recent studies, from 2018 to present, in which novel iron and copper complexes were employed as dyes in DSSCs. Not only the structure and the performances of the cells were considered, but also other important aspects such as the shape of the UV–Vis spectra and the position of the highest occupied molecular orbital (HOMO) and lowest unoccupied molecular orbital (LUMO) levels.

2.1. Iron Complexes

Iron complexes as sensitizers for DSSCs were first described in 2002 by Ferrere [15], who employed 2,2′-bipyridine-4,4′-dicarboxylic acid and cyanides as ligands. Here, we discuss the most recent papers published in the field of iron complexes as sensitizers in DSSCs.
In 2018, Bera and Chatterjee et al. [16] published and tested two new ferrocene-cyanovinyl sensitizers (complexes 1a and 1b, structure in Figure 3). The two dyes were rather similar, except for the presence of a single acceptor group (cianovinyl chain) in complex 1a and two acceptors in complex 1b.
Compound 1a, due to the presence of only one acceptor, showed a reversible oxidation process (+0.61 V vs. Saturated Calomel Electrode (SCE)), whereas compound 1b was oxidized with greater difficulty (+0.87 V vs. SCE) because of the presence of two cianovinyl chains. Dye 1a also showed a higher molar extinction coefficient (ε) than 1b.
Compounds 1a and 1b were used as sensitizer DSSCs, employing mesoporous TiO2 on FTO as a support. The peculiarity of the cells fabricated with 1a and 1b stemmed from the absence of a redox mediator thanks to their ability to act both as a dye and a redox couple. The devices were tested under 1 Sun irradiation in air (Reference Air Mass 1.5 Spectra, AM 1.5G, 100 mW cm−2) and their characteristics are summarized in Table 1 entries 1–2. Density Functional Theory (DFT) calculations on the neutral and the oxidized species showed that the molecular orbitals of the oxidized species were more stable than the Pt work function. The optimization of the oxidized species not only aided the regeneration of the dye by the Pt cathode, but also reduced the recombination processes and made the cyanovinyl-ferrocene dyes interesting candidates for electrolyte-free DSSCs.
In 2020, Arshad et al. [17] presented the two ferrocenyl chalcones 2a and 2b (structures in Figure 3). These complexes differed only in the substituent in position 3 of the phenyl ring, namely, a hydrogen atom in compound 2a and an electron-donating methoxy group in compound 2b.
Dye 2a showed slightly lower HOMO and LUMO levels and a smaller gap than 2b (3.37 eV against 3.52 eV) because of the absence of the methoxy group. Compound 2b also had a higher absorbance than 2a. The absorption maximum was significantly red-shifted of 26 nm and, even in this case, it was a consequence of the presence of an electron-donating group instead of a simpler hydrogen atom. The structural analysis of dye 2b also showed that the methoxy group made it more planar than its counterpart 2a. This particular characteristic was reflected in a more efficient intramolecular charge transfer.
The photovoltaic performances of the DSSCs fabricated with dyes 2a and 2b, and with the reference N719, are listed in Table 1, entries 3–5. From their characterization, which was carried out under AM 1.5G irradiation, it emerged that both the Short Circuit Current (JSC) and the Open Circuit Voltage (VOC) followed the trend 2a < 2b < N719; the higher values observed for 2b were associated with the higher degree of planarity. The case of the Fill Factor was different (FF), as it was higher in the case of the device containing 2a than 2b; in fact, 2a was characterized by a stronger absorption than that of 2b. However, N719 showed a much higher FF than 2ab because the novel dyes did not contain any anchoring carboxylic group. Despite their lower conversion efficiencies than that of N719, optimizing 2a and 2b will result in the enhancement of the performances of DSSCs based on ferrocenyl-chalcones and in the development of suitable candidates for this application.
In 2020, Sreelatha et al. [18] published seven new metal lawsone-based complexes 3ag. Lawsone (structure in Figure 3), also known as 2-hydroxy-1,4-naphthoquinone, was considered because of its ease of functionalization, higher stability, and the improved performances of the devices containing its complexes. In particular, the synthesized ligand resulted from a Mannich reaction between lawsone, benzaldehyde, and butan-1-amine, and it was employed to produce complexes of Mn(II), Zn(II), Ni(II), Co(II), Cu(II), Fe(II), and Cr(III).
The UV–Vis characterization was carried out using dimethyl sulphoxide (DMSO) as a solvent: the lawsone ligand showed two absorption bands around 300 and 450 nm, while those of its complexes were around 350 and 650 nm. In general, the absorbance followed the trend 3g < 3a < 3d < 3b < 3c < 3f < 3e.
Two different types of photovoltaic devices, the former using TiO2 nanoparticles, the latter employing TiO2 nanofibers as photoanode, were assembled with the lawsone, each complex, and the reference dye N719 (data in Table 1, entries 6–23). While the observed VOC and FF were almost constant (except for the higher VOC of N719), the JSC showed increasing values passing from the lawsone to 3ag (Fe(II) was second only to Cr(III)). Moreover, the use of TiO2 nanofibers instead of nanocrystalline TiO2 was useful for increasing the energy conversion. It was also demonstrated that titania nanofibers allowed for a slower reduction of the DSSC efficiency (η) over time. Despite the higher efficiency of N719, the lawsone Fe(II) complex 3f represented an interesting candidate for applications in DSSCs and a remarkable improvement with respect to the simple lawsone molecule.
In 2020, Setyawati et al. [19] prepared a new methyl orange Fe(II) complex not only to increase the ability of this ligand as light absorber, but to reach an enhanced stability of the resulting compound (see Figure 3).
The UV–Vis characterization of compound 4 showed a noticeable blue shift from 464 nm to 420 nm of the absorption maximum wavelength when compared to methyl orange. In addition, the charge transfer phenomenon was significantly blue-shifted, from 278 nm to 262 nm, after the metal insertion, representing a clear indication of an improved electron transport in the photovoltaic device.
Methyl orange and compound 4 were employed for the production of DSSCs using TiO2 as a photoanode. The photovoltaic performances are listed in Table 1, entries 24–25, and an evident improvement with respect to the methyl orange was observed. The synthesis of metal complexes using such simple ligands can represent an interesting way to develop greener production of electricity.
In 2021, Arshad et al. [20] published two novel ferrocenyl chalcones, compounds 5a and 5b (structures in Figure 4), with different aromatic rings. Differently from the work of Arshad et al. [17], dyes 5a and 5b contained a 5-ethylfuran-2-yl and a 2,2′-bithiophen-5-yl moiety, respectively.
The UV–Vis spectra of 5a and 5b showed a broad absorption band at 486 and 483 nm, and more intense bands were observed at 345 nm for 5a and 385 nm for 5b. A stronger red shift was observed for the latter, which was attributable to the presence of two thiophene rings in this complex. From DFT calculations, it emerged that the HOMO–LUMO gaps were 3.488 eV and 3.153 eV for 5a and 5b; hence, the second one was characterized by an easier charge transfer process. In any case, the HOMO levels of 5a and 5b remained lower than the I/I3 couple redox potential. Therefore, it could be used as redox mediator for restoring both the oxidized dyes.
Compounds 5a and 5b were incorporated in DSSC devices and tested under AM 1.5G irradiation conditions. The photovoltaic performances of the DSSCs containing them, summarized in Table 2, entries 1–2, were higher for 5b than for 5a. Similar to complexes 2a and 2b, the higher planarity of 5a resulted in a more efficient intramolecular charge transfer, and hence in a better electron injection in the TiO2 layer. Despite the low conversion efficiency, the higher planarity of 5b made it an interesting starting point for synthesizing new ferrocenyl chalcones with various substituents and improved performances.
In 2021, Freitag, Lomoth, Persson, and Wärnmark et al. [21] synthesized and tested three iron-N-heterocyclic carbene (NHC) complexes bearing C^N^C ligands (i.e., pyridine-2,6-diyl)bis(methylimidazole-2-ylidene). Dye 6a contained two identical ligands with an anchoring carboxylicic group. In contrast, 6b and 6c were heteroleptic complexes containing an anchoring and an electron-donor ligand (see Figure 4).
The UV–Vis spectra of 6ac were recorded in a buffer system consisting of 0.1 M tetrabutylammonium methanesulfonate and 0.1 M methanesulfonic acid in acetonitrile (ACN) to guarantee the presence of solely the protonated species. The spectra consisted of two absorption bands, the first between 400–430 nm, the other one, more intense, at 500–550 nm, with a tail extended to 600 nm. Compound 6a exhibited a higher molar extinction coefficient (2.3 × 104 M−1 cm−1; absorption maximum (λmax) 515 nm) than compounds 6b and 6c (1.6 × 104 M−1 cm−1 and λmax 511 nm, and 1.4 × 104 M−1 cm−1 and λmax 512 nm, respectively). Dye 6b had a slightly higher absorbance than 6c in the whole visible spectrum. DFT calculations showed a destabilization of both the HOMO and LUMO when a ligand bearing an electron-rich aniline was present, and a remarkable stabilization was observed in the case of compound 6a because of the two carboxylicic groups. Nevertheless, the stabilization arising from the anchoring ligand was stronger than the destabilization; hence, the LUMO was extended preferentially over this ligand.
Compounds 6ac were employed as sensitizers for DSSCs because of their ability to inject electrons into the TiO2 layer (see Table 2, entries 3–5). The chosen redox couple was I/I3. Dye 6b showed the best performances, followed by 6c and 6a. Particularly interesting were complexes 6b and 6c because their improved performances with respect to 6a were associated with their push–pull character, which conferred to them a higher directionality of charge separation. The LUMO was directed towards the TiO2 layer because of its position over the anchoring ligand. The presence of two methoxy groups in dye 6c as opposed to the methyl ones in 6b resulted into a slower regeneration of the oxidized dye, and this was probably due to the shorter electron lifetime in the devices containing 6c. Rather low conversion efficiencies were obtained, but the higher performances of the heteroleptic dyes 6b and 6c indicated a clear way to improve these photovoltaic cells employing abundant and cheap metals such as iron.
Six other NHC heteroleptic complexes, i.e., compounds 7af (see Figure 4), were produced, tested, and compared with 6a by Pastore, Caramori, and Gros et al. [22] in 2021. Differently from complexes 6ac, both electron-withdrawing and electron-donating groups were incorporated in the non-anchoring ligand.
The UV–Vis spectra of 7ac, and 7e had a broad absorption band between 410 and 460 nm, while it was even more red-shifted to 450–600 nm in the case of 7d and 7f. A less intense band was observed around 400 nm, and a third absorption peak was observed in the near UV range around 300 nm. The electrochemical characterization showed that a suitable redox couple for 7af was I/I3 because of its efficient ability to regenerate the oxidized dye.
Dyes 7af were tested in DSSC devices using TiO2 as semiconductor, I/I3 as electrolytes, and under AM 1.5G illumination conditions. The redox mediator solution also contained Mg2+ cations for a better electronic coupling between the dye and the titania conduction band. Several tests were carried out (data in Table 2, entries 6–20) working with a different thickness of the TiO2 layer, with or without a top scattering layer for an increased optical path of the photons in the semiconductor. The best results were obtained when compound 7e was deposited onto a 20 μm TiO2 sheet in the presence of the top scattering layer (in general, better results were obtained with a thicker titania film in the presence of the scattering layer). In addition, in this case, the heteroleptic NHC complexes demonstrated superior performances compared to the homoleptic complexes.
In the same year, Pastore, Caramori, and Gros et al. [23] synthesized three other heteroleptic Fe(II) NHC complexes. Dyes 8ac (structures in Figure 5) were characterized by different anchoring ligands containing different spacers between the pyridine and the carboxylic group. The same non-anchoring ligand, namely, 2,6-bis(3-methyl-1H-3λ4-imidazol-1-yl)pyridine, was employed for each complex. These sensitizers were compared with compound 6a, containing two simple anchoring carboxylic groups.
The absorption spectra showed three distinct bands in the regions 250–330 nm, 340–420 nm, and 420–460 nm. The molar extinction coefficients measured in the methanol (MeOH) of 8a and 8b (16,725 and 15,306 M−1 cm−1) were higher than that of 8c (12,375 M−1 cm−1) since a thiophene or phenyl ring extended the π-system. The oxidation potentials vs. SCE for the dyes 8ac and C1 were 0.74 V, 0.70 V, 0.82 V, and 0.85 V, respectively; 8a and 8b showed lower oxidation potentials because of the more extended π-conjugation. In any case, the I/I3 redox couple was suitable for an efficient dye regeneration. In addition, the excited state oxidation potentials (−1.49 V, −1.62, and −1.57 mV for 8ac) were studied and each dye was able to inject electrons in the conduction band of TiO2.
The photovoltaic performances of the DSSCs assembled using TiO2 and compounds 8ac together with I/I3 (containing or omitting tetrabutylammonium iodide, abbreviated as TBAI) were tested under AM 1.5G irradiation conditions, employing poly(3,4-ethylenedioxythiophene) (PEDOT) or Pt counter electrodes (data in Table 2, entries 21–33). The JSC values were in the range between 2.50 and 4.00 mA cm−2. Slightly higher values of the photocurrent and efficiency were observed with the redox solution containing TBAI, even if its role was not fully understood. More constant were the values of VOC and FF. A major improvement was observed when Pt was used as counter electrode instead of PEDOT. Despite the lower molar extinction coefficient of 8c, it was a better dye than 8a and 8b because its less extended π-conjugation allowed for a more efficient electron injection. Dyes 8ac provided an interesting demonstration of how to improve the photovoltaic performances of Fe(II)-based DSSCs by developing the anchoring ligand, although their performances were still not comparable to those of N719.
In 2021, Setyawati et al. [24] synthesized a new Fe(II) complex 9 using the commercial dye Naphthol Blue Black (NBB, see Figure 5). This ligand was chosen due to its light-harvesting ability, especially thanks to its strong absorption band in the UV range and because its anionic character should guarantee a higher efficiency compared to cationic ligands.
The UV–Vis spectrum of complex 9 was compared to that of the ligand alone: a new absorption band at 273.5 nm was observed because of the presence of the metal center, even if it was much lower than the absorption bands of NBB. The anionic complex 9 had a higher conductivity than the solvent (59.6 μS vs. 1.42 μS of Aqua Bidest®), and the simple ionization was a clear indicator of a faster and continuous electron transfer process.
The photovoltaic performances of NBB and 9 (summarized in Table 2, entries 34–35) were tested using a titania layer and I/I3 as a redox couple. Similar to complex 4, compound 9 showed a higher efficiency (0.0925% vs. 0.0083%) with respect to the simple ligand alone. In addition, the JSC and the VOC values were much higher for compound 9 than for NBB. This study demonstrated that commercial dyes can be strongly improved simply by coordinating them to the proper transition metal cation.
In 2022, Kumar et al. [25] synthesized and tested two novel ferrocene sensitizers with an extended π-conjugated system. Dyes 10ab consisted of a ferrocene and a phenyl ring separated via an azine spacer. They were different thanks to the hydroxyl group in compound 10a and the nitro group in 10b (see Figure 5).
The absorption spectra of 10a and 10b were characterized by two bands in the UV region (230 and 326 nm) and by one, less intense, at 474 nm for compound 10a and at 506 nm for 10b. The HOMO and LUMO determination of 10a (+1.04 and −1.42 V) and 10b (+1.03 and −1.53 V) was necessary and demonstrated the feasibility of electron injection in the TiO2 conduction band. Even the I/I3 redox couple was suitable for an efficient dye regeneration.
Compounds 10ab and the reference dye N719 were employed as sensitizers in the DSSCs using a TiO2 semiconductor and under AM 1.5G conditions. Compound 10a showed better performances than 10b and this was attributed to the presence of a hydroxyl group instead of a nitro group (data in Table 2, entries 36–38). The former, in fact, had a stronger anchoring group than the latter, allowing for a stronger interaction between the dye and the titania layer. This was also demonstrated through the determination of the dye loading, which was 3.89 × 10−7 in the case of 10a and 3.89 × 10−7 in the case of 10b. Compound 10a also presented a longer electron lifetime than 10b (6.64 vs. 5.82 ns), indicating a delayed recombination of the injected electron with the redox mediator, and hence the higher efficiency of the cell. The presented dyes not only showed very interesting conversion efficiencies but also high efficiencies relative to the reference N719 (93.04 and 63.92%). Thus, 10a in particular could be a promising candidate for applications in DSSCs and represents a valid alternative to N719.

2.2. Iron Bimetallic Complexes

In the previous subsection, several iron complexes were described as sensitizers for DSSCs. In the meantime, some research groups synthesized and tested bimetallic complexes containing Fe(II) and other cheap and abundant metals, trying to improve the photovoltaic performances.
In 2021, Therien et al. [26] published the new dye 11 consisting of a bimetallic complex of both Fe(II) and Zn(II) (structure in Figure 6). The compound was characterized by two NHC ligands chelating the Fe(II) cation: the first being a simple 2,6-bis(3-methyl-1H-3λ4-imidazol-1-yl)pyridine, and the other the same ligand but functionalized with a zinc porphyrin.
The UV–Vis spectrum of ACN showed a strong absorption band between 400 and 450 nm, with a molar extinction coefficient exceeding 105 M−1 cm−1, and a weaker band between 600 and 650 nm. From the potentiometric characterization it emerged that the redox potentials of 11 were −1.15 V for the zinc porphyrin and +0.76 V for the couple Fe(II)/Fe(III).
A DSSC fabricated with 11 was compared with another one based on the Ru bipyridine dye N3, using TiO2 on FTO as semiconductor, Pt as counter electrode, and under AM 1.5 G irradiation conditions. Only the Jsc and the VOC were determined, and those of N3 were superior to those of 11 (data in Table 3, entries 1–2). However, the broad intense absorption bands represent a peculiar characteristic of this novel Fe–Zn dye and an important starting point for developing a better performing sensitizer for DSSCs.
In 2021, Gosavi and Kumar et al. [27] synthesized five new 1,1′-bis(diphenylphosphino)ferrocene Ni(II) dithiolates 12ae (structures in Figure 6). The difference between these dyes lay in the aromatic substituent on the S^S chelating ligand, namely, a phenyl, a 2-cyanophenyl, 2-pyridyl, 3-pyridyl, and 2-thienyl ring. All these complexes contained at least an anchoring cyano group.
The UV–Vis spectra of compounds 12ae were characterized by a medium absorption band between 280 and 350 nm and a weaker one in the 450–500 nm region. From cyclic voltammetry experiments it emerged that the HOMO levels ranged from +0.245 to +0.515 V vs. Ag/Ag+ in ACN. These levels were higher than that of the I/I3 couple (+0.15 V vs. Ag/Ag+ in ACN), which could be used for regenerating the dye. The LUMO levels were between −2.56 and −2.47 V vs. Ag/Ag+ in ACN, indicating a feasible electron injection in the titania film, whose conduction band is placed at +0.75 V vs. Ag/Ag+ in ACN.
Six DSSCs were produced with the five dyes and the reference N719 using a titania semiconductor film, the I/I3 redox couple, a Pt counter electrode, and under AM 1.5G illumination conditions (data in Table 3, entries 3–8). Despite the higher JSC and efficiency of N719, compound 12d showed really interesting performances and an 80% relative efficiency with respect to N719. Anyway, even compound 12c, which was an isomer of 12d due to its differently linked pyridine ring, showed interesting performances. Complexes 12c and 12d were also characterized by a longer electron lifetime (5.46 and 6.54 ms, respectively) than 12a, 12c, and 12e (3.26, 4.63, and 2.88 ms), indicating a delayed recombination of the injected electron with the electrolyte, and hence an increased performance. Although these dyes still showed a lower efficiency when compared to the reference N719, compounds 12c and 12d demonstrated the possibility of more closely approaching the efficiency of the current standard even with cheaper and poorer performing metal centers.
In 2022, Kumar, Sharama, and Chauhan et al. [28] presented three new ferrocenyl-2-pyridilimine complexes 13ac (see Figure 6). The employed ligand was the same for the three complexes (ferrocenyl-2-pyridylimine) and it was coordinated to Zn(II), Cd(II), and Hg(II).
The UV–Vis spectra were recorded in MeOH and the maximum absorption wavelengths were 490, 465, and 470 nm for 13ac, respectively. The HOMO levels were +0.152, +0.149, and +0.151 V, while the LUMO levels were −2.53, −2.61, and −2.59 V, clearly indicating that the electron injection in the conduction band of TiO2 was feasible.
Seven DSSCs were assembled and tested using dyes 13ac alone, 13ac in combination with N719, and with N719 alone. The selected semiconductor and redox couple were TiO2 and I/I3, and the cells were tested under AM 1.5G conditions (data in Table 3, entries 9–15). Considering the devices fabricated with only the synthesized dyes, much smaller JSC, VOC, and efficiencies than those of N719 were observed. However, when these dyes were employed together with N719, evident improvements of all these parameters were observed, reaching relative efficiencies for N719 up to 135.95%. This was essentially due to the broader absorption spectrum and to the presence of many more molecules adsorbed on the titania surface, which hindered the diffusion of the oxidized electrolyte towards the photoanode, thereby reducing the recombination of the electrons with the oxidized dye. In fact, the dye loadings were 6.45 × 10−6, 4.85 × 10−6, 3.67 × 10−6, and 3.12 × 10−6 mol cm−2 for N719 and 13ac, respectively. After the sensitization, the values for N719 plus 13ac were 4.69 × 10−6 + 2.91 × 10−6, 4.87 × 10−6 + 2.12 × 10−6, and 4.98 × 10−6 + 1.56 × 10−6 mol cm−2 and, also in this case, a higher dye loading was observed for 13a. The electron lifetimes of the devices fabricated with dyes 13ac alone were 4.25, 3.94, and 3.26 ms, respectively, and longer lifetimes (6.37, 5.40, and 4.74 ms) were observed when complexes 13ac were employed together with N719, indicating a less efficient electron recombination with the oxidized electrolyte. These complexes, especially 13a, represented an important result in the development of novel sensitizers for DSSCs based on non-noble metals. Moreover, when used in combination with N719, the efficiency of the 13a/N719 couple exceeded that of the reference dye alone, and this indicated a major step forward in the development of photovoltaic devices.

3. Copper Dyes

As an alternative to iron complexes, several copper complexes have also been tested and published since 2010 [29]. In this subsection, the most recent studies describing the applications of copper complexes in photovoltaic devices are presented. Copper dyes have also been tested employing both the traditional iodine-based redox shuttles and alternative mediators based on copper complexes (an extensive overview on such Cu electrolytes has been published in [30,31]).
In 2018, Housecroft et al. [32] synthesized and tested four novel heteroleptic Cu complexes in DSSCs (14ad, structures in Figure 7). Each ligand had the same core, namely, a simple bipyridine, and they were differentiated by inserting a variety of substituents. The anchoring ligand presented phosphonyl groups for binding to TiO2. The UV–Vis spectra of complexes 14ad were characterized by three separate absorption bands: the first ones were around 280 nm and showed the highest molar absorption coefficients (68,300, 62,500, 73,900, and 69,400 M−1 cm−1 for complexes 14ad). The second ones were around 320 nm and were less intense than those mentioned above (37,400, 44,300, 49,000, and 51,600 M−1 cm−1 for complexes 14ad), while the last values fell between 482 and 486 nm and were much less intense (11,400, 11,400, 13,600, and 13,100 M−1 cm−1 for complexes 14ad). DFT calculations allowed for the examination of the molecular orbitals and, in any case, the LUMO was localized on the anchoring ligand. Four DSSCs, employing dyes 14ad and three reference cells with N719, were assembled and tested, both on the day in which they were fabricated and after one week. Instead of synthesizing dyes 14ad before depositing them onto the TiO2 layer, the “Surfaces-As-Ligands, Surfaces As Complexes” (SALSAC) method was employed. First, the TiO2-coated FTO was immersed for 24 h in a solution of a homoleptic Cu(I) complex of the anchoring ligand. After washing the layer with DMSO and EtOH, it was immersed into a DCM solution of a Cu(I) homoleptic complex synthesized with the other ligands, followed by another washing step with EtOH. The DSSC performances (see Table 4, entries 1–24) showed that compound 14d was the best Cu sensitizer among the ones considered for this study, followed by 14a and 14b. Despite the presence of two methoxy groups on each phenyl ring, compound 14c was the least interesting sensitizer because the substitution in positions 3 and 5 favored the electron-withdrawing inductive effect, rather than favoring the electron-donating mesomeric effect. After one week, the devices showed only slightly reduced performances, and this clearly indicated a remarkable stability over time. Despite the lower efficiencies when compared to N719, compounds 14ad are interesting candidates for DSSCs because of their stability over time. Moreover, the SALSAC approach represented a useful tool for the sensitization of the titania film and for its decoration with many different complexes starting from the same anchoring ligand.
In 2018, Colombo et al. [31] synthesized two new Cu-phenanthroline complexes for applications in DSSCs. In particular, compounds 15ab (structures in Figure 7) were functionalized with two anchoring carboxylic groups and employed as sensitizers, whereas homoleptic compounds E14 (see Figure 8), in which the ligands were much simpler than those of 15ab, were employed as redoxelectrolytic couples.
The UV–Vis spectra of 15a and E14 had a broad and intense band around 460 nm when the oxidation state of the metal center was +1, and a significant red shift to around 750 nm and a decrease in the molar absorption coefficient were observed in the case of the Cu(II) complexes (15a: λmax = 478 nm, ε = 7.6 × 103 M−1 cm−1, E1: λmax = 455 nm, ε = 8.0 × 103 M−1 cm−1, E2: λmax = 741 nm, ε = 2.3 × 104 M−1 cm−1, E3: λmax = 452 nm, ε = 6.2 × 103 M−1 cm−1, E4: λmax = 756 nm, ε = 9.6 × 105 M−1 cm−1). Cyclic voltammetry experiments demonstrated that both the E1/E2 and E3/E4 couples were capable of restoring the oxidized dyes, but a better performance was observed in the case of the heteroleptic complex 15a.
Dyes 15ab were employed as sensitizers in DSSCs and compared with the reference N719 (data in Table 4, entries 25–30). The chosen redox electrolytes were the classical I/I3 couple and the novel couples E1/E2 and E3/E4 with the aim of making cheaper and environmentally friendly full-copper DSSCs. A higher efficiency was observed when the I/I3 was used, due to different reasons: first, the Cu-based electrolytes were able to absorb light thanks to their broad absorption bands and high molar extinction coefficients. Second, their solubilities were much lower than those of the components of the I/I3 couple and working with a 2.4-fold further diluted solution resulted in a much lower efficiency. Although complexes 15ab were much more underperforming than N719 and even though the use of Cu-based redox mediators decreased the photovoltaic performances even more, this article demonstrated the feasibility of full-copper DSSCs. Moreover, the Cu(I)/Cu(II) redox couples were not corrosive, in contrast to the I/I3 couple, so their optimization (especially of the better performing E3/E4) will lead to higher efficiencies.
In 2018, Housecroft et al. [33] presented an example of a full-copper DSSC, with a heteroleptic Cu(I) complex as a sensitizer and a redox couple consisting of Cu+/2+ homoleptic compounds. Concerning the dyes, the anchoring ligand was in all cases a 4,4′-di(4-PO(OH)2-phenyl)-6,6′dimethylbipyridine, while the ancillary ligands were differently substituted bipyridines or a phenanthroline (16ae, see Figure 9). These ancillary N^N ligands were also used for the synthesis of four novel homoleptic complexes (E5E12, Figure 8) tested as electrolytes and compared to E1/E2, with whom a total of sixteen devices were fabricated.
The lowest efficiency (0.33%) was observed by combining 16a and E5/E6, which provided a Jsc of 1.10 mA cm−2, which was probably due to the poor solubility of E5/E6 in ACN. The use of 16b with E7/E8 lead to a Voc value higher than that of the reference cell with the standard dye N719 (662 vs. 614 mV). Moreover, the best-performing devices were those based on 16bd and having E11/E12 as an electrolyte, showing high values of Jsc (in the range 3.44–4.01 mA cm−2) and an FF around 75%.
The highest efficiency with respect to reference N719 (2.06%, representing a ηrel of 38.1%) was achieved by testing 16e in combination with E11/E12. The complete data are reported in Table 4, entries 31–47.
In 2018, Constable et al. [34] synthesized and tested the heteroleptic dye 17 (structure in Figure 9). Similar to complexes 14ad, the ligands were constituted by a 2,2′-bipyridine functionalized with different groups. In addition, in this case, the anchoring ligand contained phosphonyl groups and the dye was assembled through the SALSAC approach starting from the functionalization of the TiO2 layer with the anchoring ligand.
The UV–Vis spectrum of 17 in DCM was characterized by an intense band around 325 nm and two much less intense ones at 435 and 485 nm.
Six DSSCs were produced using complex 17 as a sensitizer and through the ligand-exchange method, the 1:1 dipping procedure, and by sequential assembly (each method was employed to make two cells) and compared with a cell fabricated with N719 (see Table 4, entries 48–68). The three different dipping procedures differed in the way in which the non-anchoring ligand was coordinated to the metal center. The titania film was firstly functionalized with the anchoring ligand by immersing the electrode in a 1.0 mM solution in DMSO and washing it with DMSO and EtOH. After that, the ligand exchange method included its immersion into a DCM solution of the homoleptic Cu complex containing the non-anchoring ligand. In the case of the 1:1 method, the electrode was immersed into a 0.1 mM solution of [Cu(CH3CN)4][PF6] and in a 0.1 mM solution of the non-anchoring ligand in DCM. On the other hand, the sequential method started with the immersion of the electrode into a 2.0 mM solution of [Cu(CH3CN)4][PF6] in can followed by the immersion of the same electrode in a 0.1 mM solution of the non-anchoring ligand in DCM. In any case, the solid-state UV–Vis spectra of each cell showed the presence of both the homoleptic complex containing two anchoring ligands and dye 17. The best-performing cells were those fabricated through the sequential method, with a JSC around 7.8 mA cm−2 and an efficiency of 2.8%. The lowest performances were observed with the DSSCs fabricated through the ligand-exchange protocol. Even if the relative efficiencies of the cells fabricated with complex 17 were lower than that of the reference cell with N719 (the highest relative efficiency was 41.1%), and despite the existence of a minimum degradation of the photovoltaic performances over time, this article compared three different dipping protocols and demonstrated that the best one was the sequential method. Therefore, its optimization, together with the synthesis of optimized ligands, will further improve the performances of such cells.
In the same year, Housecroft and coworkers [35] carried out a study on the effect of the partial deprotonation of the aforementioned anchoring ligand based on a 4,4′-di(4-PO(OH)2-phenyl)-6,6′dimethylbipyridine (16a, Figure 9). The deprotonation was achieved by the subsequent addition of different equivalents of bases (tetrabutylammonium hydroxide (TBAOH), NaOH, Cs2CO3) to DMSO solutions of the complex, monitoring the effect through 1H and 31P NMR spectroscopy.
After the addition of 1 eq. of the base, an important increase in the efficiency (as a consequence of the higher Voc and Jsc) was observed; this phenomenon, with an increase up to 26%, was explained by an enhanced solubility of the deprotonated species, causing a more efficient binding of the dye molecules on the TiO2 surface and leading to better electron transfer.
The addition of further equivalents of the base resulted in a decrease in the efficiency accompanied by the appearance of a precipitate, limiting the solubility of the dye (see Table 4, entries 69–74).
In 2018, Zhong et al. [36] synthesized four new polymeric metal complexes 18ad (structures in Figure 9) containing Cu and Cd metal centers. The dyes were constituted by a donor (D) and an acceptor (A) connected through a conjugated π-bridge with an additional acceptor to obtain a D-A-π-A structure. In this way, it was possible to minimize the intramolecular charge recombination between the donor and acceptor. In this study, the donors were the electron-rich indacenodithiophene and carbazole, the anchoring acceptor was cyanoacrylic acid, while the additional acceptor was a Cu or Cd complex with two 8-hydroxyquinoline ligands.
The UV–Vis spectra of the carbazole-based complexes 18ab were characterized by an absorption maximum at 439 or at 416 nm depending on the metal center, Cd or Cu, respectively, with 24,400 and 24,100 M−1 cm−1 molar extinction coefficients. Remarkably red-shifted absorption bands (531 and 508 nm for the Cd and the Cu dyes) with slightly higher molar extinction coefficients (25,500 and 25,000 M−1 cm−1) were observed when the donor was indacenodithiophene, being a stronger donor than carbazole. The smaller red shift observed when passing from Cu to Cd was attributed to the larger radius of Cd, which improved the π-back donation between the ligands and the metal center. The electrochemical characterization of 18ad showed that the HOMO levels fell between −5.32 and −5.46 eV, while the LUMO levels were between −3.00 and −3.45 eV. This indicated the possibility of dye restoration by the I/I3 redox couple (−4.83 eV) and an efficient electron injection in the titania film (−4.26 eV). The polymers were also subject to a Thermal Gravimetric Analysis (TGA) under a N2 atmosphere: each dye showed an excellent stability and the onset temperature, at which 5% loss took place, was higher than 300 °C. This demonstrated that these polymers were very stable and that they could be used as sensitizers in DSSCs.
The photovoltaic parameters—listed in Table 4, entries 75–78—demonstrated the superior performances of the indacenodithiophene-based dyes due to its higher planarity than carbazole. Cd, thanks to its stronger electron-withdrawing character with respect to Cu, guaranteed only slightly higher performances; nevertheless, an interesting conversion efficiency was reached even with the Cu-indacenodithiophene dye. The optimization of this dye could lead to the discovery of Cu complexes with even better performances.
In 2019, Dragonetti et al. [37] optimized the performances of full-copper DSSCs fabricated with the abovementioned dye, 15a, working on an electrolyte solution based on the E3/E4 redox couple. For a more detailed comparison, the classical I/I3 redox couple and a control cell employing N719 were also tested.
The photovoltaic performances (see Table 5, entries 1–10) were remarkable for the cell containing a simple dye such as 15a and the I/I3 redox couple (η = 3.05%); and were better than those of the full-copper cells because of the much higher electrolyte concentration. An important enhancement of the performances of full-copper DSSCs was observed by employing a more diluted solution of E3/E4 in the presence of LiTFSI, since even the electrolyte was able to absorb sunlight, and a lower concentration of E3/E4 reduced these absorption phenomena. On the other hand, the highest efficiency for a full-copper DSSC was obtained without diluting the redox electrolyte and by introducing both LiTFSI and TBP. The latter had a higher affinity for Cu(II) rather than Cu(I), and the penta-coordinated species exhibited higher recombination energies, which resulted in a slower charge recombination process. This work clearly explained the feasibility of full-copper DSSCs and the possibility of enhancing their performances through the electrolyte.
In 2019, Colombo et al. [38] synthesized two novel heteroleptic Cu complexes 19ab (see Figure 10) and compared them with the previously described 15a. Unlike the simple phenanthroline ligand employed for dye 15a, more functionalized ones were employed for 19ab, one containing a triphenylamine, the other with a 3-hexyloxyphenyl moiety. In addition, in this case, the I/I3, E1/E2 and E3/E4 couples were employed as redox mediators.
The UV–Vis spectra showed that the more extended π-conjugated system of complexes 19ab brought about a red shift from 478 to 491 and 490 nm, respectively, and a noticeable increase in the molar absorption coefficients from 7.6 × 103 to 9.3 × 103 and 12.0 × 103 M−1 cm−1. DFT calculations demonstrated that the HOMO was mainly localized over the metal center, while the LUMO was localized over the anchoring ligand, which implied an efficient electron injection in the TiO2 conduction band. Cyclic voltammetry experiments showed that the E3/E4 redox couple was better than E1/E2 thanks to the larger difference between the oxidation potentials of the dye and of the redox mediator (0.28 vs. 0.09 eV).
The performances of solar cells fabricated with the complexes 15, 19ab, and N719 employing both the I/I3, E1/E2, and E3/E4 redox couples (summarized in Table 5, entries 11–23) were remarkably higher for the cells employing an iodine-based electrolyte. However, thanks to its better electrochemical properties, the E3/E4 redox couple allowed for higher efficiencies than those of the cells employing the other Cu(I)/Cu(II) redox mediator. Concerning the dyes, the more extended π-conjugated systems of 19ab provided efficiencies comparable to those of the simpler 15a; hence, a more extended π-conjugation did not represent a real improvement in the DSSC performances. In any case, this article demonstrated the potential of abundant and cheap metals such as copper for making powerful sensitizers for DSSCs.
In 2019, Srivastava and Singh et al. [39] prepared and tested the five homoleptic dithiocarbamate Cu(II) complex dyes 20ae. The ligands were rather simple, and the difference was in the substituents (see Figure 10).
The UV–Vis spectra of these complexes were characterized by two absorption bands: the first around 440 nm, with a molar absorption coefficient ranging from 4.1 × 103 to 9.0 × 103 M−1 cm−1; the second one (weaker, ε ranging from 0.70 × 102 to 1.33 × 102 M−1 cm−1) was located around 650 nm. From the energy level diagram (vs. Ag/Ag+), it was possible to understand that the LUMO levels fell between −2.52 and −2.71 V and the HOMO between +0.15 and +0.33 V. Consequently, the electron injection in the conduction band of TiO2 (−0.82 V) and the dye restoration by the I/I3 redox couple (+0.05 V) were feasible.
The measured photovoltaic performances of DSSCs fabricated with TiO2, employing complexes 20ae and N719, and tested under AM 1.5G illumination conditions (see Table 5, entries 24–29), were higher for 20c than for the other Cu-based compounds. This complex also had a higher JSC than those of the other synthesized complexes and showed 70.7% efficiency relative to the reference N719. In addition, the dye loading onto the titania film was higher for 17c than for the other dyes (2.16 × 10−7 mol cm−2 vs. 0.76 × 10−7, 1.70 × 10−7, 1.16 × 10−7, and 0.65 × 10−7 mol cm−2 for 20a, 20b, 20c, and 20d) and the electron lifetimes (5.45 ms vs. 3.68, 4.58, 3.68, and 3.10 ns) were higher for 20c than those observed for the other Cu dyes. Although these dyes were still not comparable to N719 in terms of DSSC performances, significant results were obtained anyway, especially with 20c. Despite the lack of one or more anchoring carboxylic groups, these dyes represented a major step in the synthesis of novel Cu sensitizers for DSSC.
In 2019, Agırtas et al. [40] synthesized a (4-tritylphenoxy) phthalocyanine ligand and coordinated it to three different metal cations (namely, Cu, Zn, and Co) to obtain complexes 21ac (structures in Figure 10). The goal of this study was the improvement of the DSSC performances working with strong light absorbers and in parallel the reduction of the cost of these devices.
The UV–Vis spectra of complexes 21ac in tetrahydrofuran (THF) showed a medium intense band around 350 nm, a weak band around 600 nm, and a strong absorption band closer to 700 nm. The calculated molar absorption coefficients for 21a, 21b, and 21c were 50,973, 29,224, and 50,811 M−1 cm−1. Each complex was soluble in THF and none of them showed aggregation phenomena.
The photovoltaic performances of complexes 21ac were determined under AM 1.5G irradiation, assembling the DSSCs using an FTO glass substrate, TiO2, a Pt counter electrode, and with the commercial electrolyte solution Solaronix Iodolyte AN-50 (data in Table 5, entries 30–32). The Cu-based complex had the best performances; even if only 1.77% efficiency was reached in the case of complex 21a, its broad absorption spectrum and high molar extinction coefficient represented important characteristics that the ideal dye should have. The optimization of 21a should further improve the performances of Cu-based DSSCs.
In 2020, Agırtas et al. [41] synthesized another phthalocyanine ligand coordinated to Zn, Co, and Cu metal centers to obtain dyes 22ac (structures in Figure 10).
Similar to complexes 21ac, compounds 22ac were characterized by an absorption spectrum in THF constituted by three bands: a medium intense band around 350 nm, a weak one around 600 nm, and the strongest localized band close to 700 nm. Even in this case, the molar extinction coefficients were very high (26,582, 31,713, and 25,498 M−1 cm−1 for 22ac, respectively). In addition, in this case, the dyes did not aggregate in solution when the concentration was between 2 × 10−5 and 8 × 10−5 M.
The photovoltaic properties of the DSSCs fabricated with 22ac (see Table 5, entries 33–35), FTO glass, TiO2, the I/I3 redox couple, and a Pt counter electrode were tested under AM 1.5G illumination conditions. It emerged that, even in this case, the Cu complex was the best dye among the three synthesized due to its higher efficiency, JSC, VOC, and FF. Despite the low conversion efficiencies, the optimization of these complexes, especially the Cu-based dye 22a, could lead to more efficient and cheaper DSSCs.
In 2020, Nyokong et al. [42] synthesized a novel asymmetric phthalocyanine ligand for chelating Cu and Zn cations (see complexes 23ab in Figure 10). The asymmetry of this ligand represented a major step forward with respect to the previously cited dyes 21ac and 22ac, and this was achieved by introducing two anchoring carboxylicic groups onto a phenyl ring placed on one isoindole subunit. Another peculiarity of these dyes was the presence of electron-donating tert-butyl groups on the other isoindole subunit, which were included to enhance the push–pull characteristics of these molecules. Another important point was the steric hindrance of this group, which was useful for reducing the tendency to aggregate. Moreover, reduced Graphene Oxide Nanosheets (rGONS) and Nitrogen-reduced Graphene Oxide Nanosheets (NrGONS) were employed in the DSSC fabrication to improve the photovoltaic performances hampering the charge recombination at the photoanode/dye/electrolyte interface.
As for complexes 21ac and 22ac, the UV–Vis spectra were constituted by a medium intense band around 350 nm, a weak one around 610 nm, and by the strongest absorption band around 670 nm. The solid-state absorption spectra of the Indium Tin Oxide (ITO)/TiO2/rGONS sensitized electrode were completely different; in fact, the dye easily aggregated, provoking the broadening and flattening of the absorption bands. The energy levels were −4.04 and −3.43 eV (LUMO) and −5.87 and −5.25 eV (HOMO) for complexes 23a and 23b. Each dye was able to inject electrons into the TiO2 conduction band, located at −4.20 eV, and to be restored by the I/I3 redox couple (−4.89 eV).
Four DSSCs were fabricated employing ITO as conductive glass, TiO2 functionalized with rGONS and NrGONS as semiconductor, complexes 23ab, and ITO functionalized with NrGONS as counter electrode (data in Table 5, entries 36–39). While a minor improvement was observed when the titania film was functionalized with NrGONS, an important enhancement resulted from the application of the Cu-sensitizer 23a rather than 23b. This work not only demonstrated the possibility of producing efficient DSSCs employing abundant metals such as Cu, but also showed that the introduction of electron-withdrawing anchoring groups and electron-donating tert-butyl groups in the ligand was fundamental to linking the dye to the photoanode and to observing a push–pull effect, and thereby a more efficient electron injection. Complex 23b represented a promising candidate for applications in photovoltaic devices. In addition, the use of rGONS and NrGONS was useful for a reduced electron recombination and thus for guaranteeing better performances.
The previously cited study of Sreelatha et al. [18] published in 2020 also described the synthesis, characterization, and testing of the lawsone–Cu complex 3e (DSSC performances in Table 1). Although its absorbance was lower than those of the Cr(III), Mn (II), Co(II), and Zn(II) complexes, the efficiencies of 3e employing both TiO2 nanoparticles and nanofibers were lower only than those of the Cr(III) and Fe(II)-based complexes, 3f and 3g. Even in this case, better performances were observed using the TiO2 nanofibers instead of the nanoparticles. This meant that dye 3e could also be a promising candidate for applications in DSSCs.
In 2020, Housecroft et al. published a paper [43] presenting five new bipyridinic ligands prepared by Schiff condensation between an aldehyde and a 4-R-aniline (R = H, Me, tBu, OMe, and NMe2). By employing the mentioned chelating ligands with the already-presented phosphonic acid anchoring ligand, the heteroleptic cuprous dyes 24ae were obtained though the SALSAC approach (structure in Figure 11).
All the new compounds were tested in DSSC, achieving a FF ranging from 65% to 70%. The highest Jsc values (in both cases 4.08 mA cm−2) were those of cells sensitized with 24a and 24c; complex 24a also provided the best values of Voc (538 mV), efficiency (1.51%), and ηrel to N719 (26%).
To clarify the effect of the introduction of the imine linker, the authors also used ligands that were different only due to the simple absence of the -C=N- group between the pyridine and the phenyl rings. In all the compared couples of the devices based on iminic and non-iminic ancillary ligands, it was pointed out that the presence of such a group was detrimental for the DSSCs’ performances, leading to lower values of Jsc, Voc, and efficiency. All photovoltaic data are listed in Table 5, entries 40–55.
A different spacer, namely, an alkynyl, was published in 2020 by Constable et al. [44] in a paper in which four new chelating ligands were synthesized and tested as ligands for copper, which were to be used as dyes in DSSC. The new ligands, coupled with the anchoring phosphonic acid ligand to yield dyes 25ad (Figure 11), had a 4-NMe2-phenyl or a 4-NPh2-phenyl moiety on the pyridine ring, with or without the CC triple bond. As usual, the dyes were prepared by reacting the N^N ligands with the starting compound [Cu(CH3CN)4][PF6], and then they were tested in different solar cells.
By comparing the photovoltaic parameters, it was clear that the introduction of the alkynyl group was not beneficial to the performances, since both the Jsc and the Voc achieved lower values (474 mA cm−2 and 539 mV for 25a; 3.59 mA cm−2 and 514 mV for 25b). The same trend arose from dyes 25c and 25d, confirming the negative effect of the alkynyl moiety on the cell parameters. Table 5, entries 56–77, reports the data for the produced solar cells.
In 2021, Inomata and Masuda et al. [45] published the three homoleptic asymmetric dyes 26ac (structures in Figure 11). Compounds 26a and 26c had two bipyridine ligands while 26b had two 2-pyrazol-1-yl pyridines. Two anchoring carboxylic groups were present in each complex: compound 26a had a strong electron-withdrawing cyanoacrylic acid moiety, whereas 26bc had two simple carboxylic groups directly linked to the pyridine rings.
The UV–Vis spectra of 26a and 26c in EtOH consisted of two intense absorption bands in the near UV range (26a: λmax = 317 nm, ε = 23,200 M−1 cm−1, 26c: λmax = 312 nm, ε = 27,500 M−1 cm−1) and a less intense band in the visible range (26a: λmax = 497 nm, ε = 9330 M−1 cm−1, 26c: λmax = 475 nm, ε = 7480 M−1 cm−1). The spectrum of 26b was different, consisting of only one intense absorption band at 355 nm (ε = 25,500 M−1 cm−1) because the introduction of an electron-donating dimethylamino group significantly blue-shifted the absorption band associated with the π→π* transition. The ΔG values of 26a and 26c with respect to the I/I3 redox couple were 0.09 and 0.15 V and clearly indicated a small driving force for the dye regeneration. On the other hand, 26b showed a much higher ΔG of 0.51 V, indicating a more efficient regeneration than those of 26a and 26c. DFT calculations showed that the HOMO levels were located on the Cu atom in complexes 26a and 26c, and on the dimethylamino group of 26b. The LUMO levels were on the rings bearing the carboxylic group.
The photovoltaic performances of the DSSCs fabricated with 26ac and N719 (see Table 6, entries 1–4) were determined under AM 1.5G irradiation conditions. Dyes 26ab showed poor performances, but the simpler 26c exhibited an efficiency of 2.66%. This was because 26a was penalized due to the small driving force and since 26b did not have any broad absorption band in the visible region, in contrast with the other complexes. On the other hand, 26c had its LUMO levels localized mostly on the anchoring carboxylic group, thereby increasing the conversion efficiency. Despite the quite low efficiencies observed, the simple structure of the ligands of 26c allowed for the highest conversion efficiencies and their optimization could lead to more efficient photovoltaic devices.
In 2021, Zhong et al. [46] synthesized four novel dyes (27ad, structures in Figure 12), employing Cd(II), Zn(II), Cu(II), and Co(II) as metal centers. In addition, in this case, an additional electron acceptor was placed between the donor and the conjugated π-bridge to reduce the intramolecular charge recombination between the donor and acceptor. In particular, a single donor was connected to two metal centers in order to obtain a D-(A-π-A)2 system. The chosen donor was a bis(5-(2-ethyloctyl)thiophen-2-yl)benzo [1,2-b:4,5-b0]dithiophene (thienylbenzo-[1,2-b:4,5-b’]-dithiophene, BDTT) moiety and the acceptors were based on 8-hydroxyquinoline ligands. The anchoring group was a cyanoacrylic acid.
The UV–Vis spectra of the novel dyes consisted of two intense and broad absorption bands: the first ranging from 481 to 508 nm, and the second from 366 to 432 nm. The maximum molar extinction coefficients had values of 19,520, 18,418, 17,565, and 16,880 M−1 cm−1 for compounds 27ad, and they were associated with the absorption bands between 481 and 508 nm. The Cd(II) complex 27a had a more intense absorption band than the Cu(II) one (27c) because of its larger radius, which strengthened the interaction with the ligand. In addition, the spectra of the metal complexes without the BDTT parts were recorded; however, they showed only a single absorption band between 350 and 400 nm because of the absence of a strong light absorber such as the BDTT group that was responsible for the broader and strongly red-shifted band around 500 nm described before. From the electrochemical characterization it emerged that the LUMO levels were from −3.309 to −3.322 eV, while the HOMO levels were between −5.347 and −5.465 eV, indicating a feasible electron injection in the conduction band of TiO2 (−4.26 eV) and an efficient dye regeneration by the I/I3 redox couple (−4.83 eV). Due to the exposure to sunlight, a TGA under a N2 atmosphere was carried out to understand at which temperature the dye degradation takes place. It emerged that the onset temperatures were 340, 323, 328, and 309 °C for dyes 27ad; therefore, these dyes were stable enough for applications in DSSCs.
Four DSSCs were assembled using these dyes and were tested under AM 1.5G illumination conditions (data in Table 6, entries 5–8). The Cu-based dye 27c showed a lower efficiency, VOC, and JSC than 27ab (based on Cd an Zn), but a higher FF, indicating that the influence of different metal cations was very important for achieving a high efficiency. In any case, interesting conversion performances were observed for the Cu-based dye 27c, and its optimization may lead to improved devices.
In 2022, Gardner et al. [47] synthesized seven novel Cu dyes, namely, 28ag (see Figure 13), bearing simple bipyridine and phenanthroline ligands. Compound 28a was a homoleptic Cu(I) complex with two bipyridine ligands, each containing two anchoring carboxylic groups. The other ones were characterized by an anchoring bipyridine and an ancillary phenanthroline with different substituents. Only 28f had a bipyridine ancillary ligand.
The UV–Vis spectra of the TiO2 of complexes 28ae and 28g showed an absorption band between 450 and 500 nm, which was significantly red-shifted to about 520–550 nm in the case of 28f. The HOMO levels were between +0.83 and +0.96 eV vs. a Normal Hydrogen Electrode (NHE), whereas the LUMO levels were between −1.00 and −1.45 eV vs. an NHE. Since the TiO2 conduction band and the redox potential of the I/I3 redox couple were placed at about −0.5 and +0.5 eV vs. an NHE, both the electron injection and dye regeneration were possible.
Complexes 28ag were deposited over the titania layer by immersing the electrode into a MeOH solution of the anchoring ligand. After that, the electrode was washed and immersed in another solution containing the homoleptic complex with the desired ligand in ACN or in a solution of the desired ligand plus [Cu(CH3CN)4][PF6] in ACN (the SALSAC approach; more detailed information can be found in Table 6, entries 9–23, together with the photovoltaic performances of these cells). Both I/I3 and Co(II)/Co(III) couples were tested, but the second one bleached the cell, consequently leading to lower performances. Among the cuprous sensitizers, 28e showed not only the best efficiency, but also the best JSC. Even if these dyes had lower performances than the reference N719, they represented promising candidates for applications in photovoltaic devices when employed with the I/I3 electrolytes.
In 2022, Zhong et al. [48] synthesized two new polymeric ligands for chelating Cu(II) and Cd(II) cations, obtaining the polymeric dyes 29ad (structures in Figure 14). In addition, in this case, D-A-π-A dyes were synthesized to achieve better performances than those of the commonly used D-π-A systems. The chosen donors were 1,4-dioctyloxybenzene and BDTT, while the ligands were derivatives of 8-hydroxyquinoline (bearing an anchoring cyanoacrylic acid) and iminic derivatives of salicylaldehyde.
The UV–Vis spectra of the polymeric complexes 29ad were characterized by two absorption bands: the first one between 300 and 400 nm; the second one around 450 nm in the case of 29ab, and between 510 and 530 nm for 29cd. The second band was stronger than the first one and was associated with a high molar absorption coefficient (18,254, 18,741, 19,858 and 20,188 M−1 cm−1 for 29ad). The dyes employing the thienylbenzo-[1,2-b:4,5-b’]-dithiophene moiety as electron donor had a higher molar extinction coefficient than those based on 1,4-dioctyloxybenzene. The HOMO levels were between −5.224 and −5.333 eV while the LUMO levels were between −3.125 and −3.229 eV, so each dye was capable of injecting electrons into the TiO2 conduction band (−4.26 eV) and could be regenerated by the I/I3 redox couple (−4.83 eV). The thermal stability of dyes 29ad was tested through TGA: the onset temperatures were higher than 300 °C, except for 29a, whose thermal degradation started at 246 °C. In any case, the high onset temperatures indicated that compounds 29ad were stable enough to be used in DSSCs.
The photovoltaic performances of the DSSCs fabricated with 29ad are summarized in Table 6, entries 24–27. As in the case of the absorption spectra, higher JSC, VOC, FF, and, consequently, efficiencies were observed when the thienylbenzo-[1,2-b:4,5-b’]-dithiophene moiety was present. The Cd complexes showed higher efficiencies than the Cu ones due to the lower Eg (2.208 vs. 2.124 for 29ab and 2.035 vs. 2.002 for 29c and 29d). Nevertheless, the difference was minimal and so the Cu complexes 29a and 29c were promising candidates for applications in DSSCs.
In 2022, Zhong et al. [49] also synthesized a novel polymeric ligand for Cd, Zn, Cu, and Ni metal centers (see complexes 30ad in Figure 14). In addition, in this case, a D-A-π-A system was produced to reduce the intramolecular charge recombination between the donor and acceptor. BDTT was used as electron donor, while the ligands were an 8-hydroxyquinoline derivative and two pyridines.
Considering the UV–Vis spectra of complexes 30ad, the maximum absorption wavelengths were at 506, 488, 478, and 464 nm, and were characterized by molar absorption coefficients between 18,000 and 23,500 M−1 cm−1, following the order 30d < 30c < 30b < 30a. The HOMO and LUMO levels were between −3.269 and −3.314 eV, and between −5.336 and −5.475 eV, respectively. Each dye could inject electrons into the conduction band of the titania layer (−4.26 eV) and could be regenerated by the I/I3 redox couple (−4.83 eV). The TGA of the polymeric complexes 30ad under a nitrogen atmosphere showed a high stability, with the onset temperatures of 314, 296, 287, and 268 °C, respectively.
From the photovoltaic characterization of complexes 30ad (data in Table 6, entries 28–31) it emerged that the JSC decreased when moving from 30a to 30d. VOC and FF were more constant; the efficiency followed the same trend of the JSC, and the higher performances of 30a and 30b were associated with the larger radius of the metal cation. Although the Cu complex had lower performances than the Cd and Zn complexes, its optimization could lead to improved DSSC devices.

4. Employing Cu and Fe Dyes Together

In 2019, Çakar [50] synthesized four Cu and Fe complexes bearing simple phenanthrolinic ligands. Dyes 31ab had two unsubstituted phenanthrolines, while 31cd presented two 1,10-phenanthroline-5,6-diol ligands (see Figure 14). Iron and copper dyes were employed both alone and in combination as sensitizers for DSSCs.
The UV–Vis spectra were characterized by two absorption bands around 250 and 450 nm. The band around 450 nm was much less intense in the spectra of the mixtures of 31ab and 31cd in different ratios. The HOMO and LUMO of each dye ranged from −5.25 to −5.44 eV, and from −3.26 to 3.82 eV, respectively. Therefore, the electron injection in the TiO2 conduction band and the dye regeneration by the I/I3 redox couple was able to take place efficiently.
The photovoltaic performances of 19 DSSCs fabricated with dyes 31ad and the reference dye N719 are summarized in Table 7. Considering the cells fabricated using a single dye, the Cu-based dyes 31a and 31c showed better performances than the Fe-based 31b and 31d. Even the effects of different pH values on the performances were tested, and it emerged that each Cu dye had a higher efficiency at pH 7, whereas the Fe complexes were more efficient at pH 3.5. Some DSSCs fabricated with the dyes 31ab and 31cd together in different ratios (Cu:Fe 1:1, 2:1 and 1:2) were also fabricated. Differently from the previously mentioned devices, working with a mixture of two different sensitizers promoted an improvement in the VOC, and especially in the JSC and the photovoltaic efficiency. The best results were obtained working with the 2:1 Cu:Fe ratio. For each sensitizer or mixture, a minor improvement was observed switching to the 1,10-phenanthroline-5,6-diol ligands because of the stronger interaction with the titania layer. Although a comparable efficiency to that of the reference dye N719 was still not reached, the combination of Cu and Fe dyes represented a major step forward with respect to the different metal complexes employed alone. The complexes described here are very simple, and their optimization could lead to much more efficient photovoltaic devices.

5. Conclusions

This review allowed us to show the most recent advances in the development of novel sensitizers for dye-sensitized solar cells based on cheaper and earth-abundant iron and copper as potential replacements for the rarer and more expensive ruthenium.
The discussed articles describe a wide variety of ancillary and anchoring ligands, including phenanthrolines, bipyridines, 8-hydroxyquinolines, 2,6-bis(3-methyl-1H-3λ4-imidazol-1-yl)pyridines, commercially available organic dyes (like methyl orange), etc. Moreover, many different approaches were employed to synthesize increasingly better performing dyes, hence the use of increasingly efficient cells, such as the use of anchoring phosphonyl groups, the synthesis of polymeric dyes, and the SALSAC method for the synthesis of the ligands onto a previously functionalized titania film. Iron and copper were also used together, and in combination with other abundant and cheap metals such as Cd, Zn and Hg, in an attempt to push the photovoltaic efficiencies towards even higher values.
As mentioned several times before, both Cu- and Fe-based complexes are currently still not comparable with the ruthenium reference dye N719. However, interesting results were obtained with both the discussed alternative solutions. Among the iron-based dyes, the ferrocenyl-chalcone dye with azine spacers and bearing a hydroxyl group (compound 10a) was particularly interesting. In fact, it led to an efficiency of 5.88%, which was close to that of N719 (6.32%), guaranteeing a relative efficiency of 93.04%. It was also shown that the rather low efficiencies—hardly above 2%—obtained employing the iron complexes could be dramatically improved by synthesizing molecules containing an iron and another metal center at the same time, or by employing an iron complex together with another metal complex in the same DSSC. Two striking examples were the 1,1′-bis(diphenylphosphino)ferrocene Ni(II) dithiolate 12d with 5.05% efficiency (79.91% relative efficiency to N719) and the Zn-ferrocene complex 13a with 2.79% efficiency (66.43% relative efficiency to N719). The DSSCs fabricated with the latter were also improved by coupling it with N719, reaching an efficiency of 5.71% (a 135.95% increase in relative efficiency compared to N719 alone). Regarding the copper dyes, of particular interest were the polymeric sensitizers with a D-A-π-A structure, which greatly enhanced the photovoltaic performances with respect to the classical D-π-A structures, especially when the thienylbenzo-[1,2-b:4,5-b’]-dithiophene was employed as a donor, leading to photovoltaic efficiencies up to 8.45%. Despite their much lower performances, the full-copper DSSCs should also be mentioned because they demonstrated the possibility of eliminating the dependence on the classical I/I3 redox couple using simple and cheap copper complexes with phenanthrolinic ligands.
The studies included in this review demonstrated the feasibility of dye-sensitized solar cells employing copper and iron dyes alone or in combination with other cheap and abundant metals, which could achieve remarkable efficiencies. In conclusion, the proper optimization of the sensitizers, together with those of the electrolyte and of the titania layer, will likely lead to the development of highly performing and cheap photovoltaic devices for future applications on a much larger scale.

Author Contributions

Writing—original draft preparation, F.F.; writing—review and editing, A.C., C.D., F.F. and L.M. All authors have read and agreed to the published version of the manuscript.

Funding

This work was supported by Università degli Studi di Milano (Project PSR2020_DIP_005_PI_ACOLO “Synthesis and characterization of organic and coordination compounds for application in luminescent devices or in bioimaging”).

Institutional Review Board Statement

Not applicable.

Informed Consent Statement

Not applicable.

Data Availability Statement

Not applicable.

Conflicts of Interest

The authors declare no conflict of interest.

References

  1. Cho, A. Energy’s Tricky Tradeoffs. Science 2010, 329, 786–787. [Google Scholar] [CrossRef] [PubMed]
  2. O’Regan, B.; Grätzel, M. A Low-Cost, High-Efficiency Solar Cell Based on Dye-Sensitized Colloidal TiO2 Films. Nature 1991, 353, 737–740. [Google Scholar] [CrossRef]
  3. Mazloum-Ardakani, M.; Arazi, R. Improving the Effective Photovoltaic Performance in Dye-Sensitized Solar Cells Using an Azobenzenecarboxylic Acid-Based System. Heliyon 2019, 5, e01444. [Google Scholar] [CrossRef] [PubMed]
  4. Colombo, A.; Dragonetti, C.; Magni, M.; Meroni, D.; Ugo, R.; Marotta, G.; Grazia Lobello, M.; Salvatori, P.; de Angelis, F. New Thiocyanate-Free Ruthenium(II) Sensitizers with Different Pyrid-2-Yl Tetrazolate Ligands for Dye-Sensitized Solar Cells. Dalton Trans. 2015, 44, 11788–11796. [Google Scholar] [CrossRef]
  5. Colombo, A.; Dragonetti, C.; Valore, A.; Coluccini, C.; Manfredi, N.; Abbotto, A. Thiocyanate-Free Ruthenium(II) 2,2′-Bipyridyl Complexes for Dye-Sensitized Solar Cells. Polyhedron 2014, 82, 50–56. [Google Scholar] [CrossRef]
  6. Dragonetti, C.; Valore, A.; Colombo, A.; Magni, M.; Mussini, P.; Roberto, D.; Ugo, R.; Valsecchi, A.; Trifiletti, V.; Manfredi, N.; et al. Ruthenium Oxyquinolate Complexes for Dye-Sensitized Solar Cells. Inorg. Chim. Acta 2013, 405, 98–104. [Google Scholar] [CrossRef]
  7. Dragonetti, C.; Colombo, A.; Magni, M.; Mussini, P.; Nisic, F.; Roberto, D.; Ugo, R.; Valore, A.; Valsecchi, A.; Salvatori, P.; et al. Thiocyanate-Free Ruthenium(II) Sensitizer with a Pyrid-2-Yltetrazolate Ligand for Dye-Sensitized Solar Cells. Inorg. Chem. 2013, 52, 10723–10725. [Google Scholar] [CrossRef]
  8. Abbotto, A.; Coluccini, C.; Dell’Orto, E.; Manfredi, N.; Trifiletti, V.; Salamone, M.M.; Ruffo, R.; Acciarri, M.; Colombo, A.; Dragonetti, C.; et al. Thiocyanate-Free Cyclometalated Ruthenium Sensitizers for Solar Cells Based on Heteroaromatic-Substituted 2-Arylpyridines. Dalton Trans. 2012, 41, 11731–11738. [Google Scholar] [CrossRef]
  9. Pogozhev, D.V.; Bezdek, M.J.; Schauer, P.A.; Berlinguette, C.P. Ruthenium(II) Complexes Bearing a Naphthalimide Fragment: A Modular Dye Platform for the Dye-Sensitized Solar Cell. Inorg. Chem. 2013, 52, 3001–3006. [Google Scholar] [CrossRef]
  10. Bomben, P.G.; Borau-Garcia, J.; Berlinguette, C.P. Three Is Not a Crowd: Efficient Sensitization of TiO2 by a Bulky Trichromic Trisheteroleptic Cycloruthenated Dye. Chem. Commun. 2012, 48, 5599–5601. [Google Scholar] [CrossRef]
  11. Arnold, J.; Mindiola, D.; Agapie, T.; Love, J.; Dincă, M.; Dauth, A.; Love, J.A.; Stacey, T.E.; Fredrickson, D.C.; Robson, K.C.D.; et al. Cycloruthenated Sensitizers: Improving the Dye-Sensitized Solar Cell with Classical Inorganic Chemistry Principles. Dalton Trans. 2012, 41, 7814–7829. [Google Scholar] [CrossRef]
  12. Bomben, P.G.; Koivisto, B.D.; Berlinguette, C.P. Cyclometalated Ru Complexes of Type [RuII(N^N) 2(C^N)]z: Physicochemical Response to Substituents Installed on the Anionic Ligand. Inorg. Chem. 2010, 49, 4960–4971. [Google Scholar] [CrossRef] [PubMed]
  13. Bomben, P.G.; Robson, K.C.D.; Sedach, P.A.; Berlinguette, C.P. On the Viability of Cyclometalated Ru(II) Complexes for Light-Harvesting Applications. Inorg. Chem. 2009, 48, 9631–9643. [Google Scholar] [CrossRef] [PubMed]
  14. See, C.E.; Housecroft, E.; Housecroft, C.E.; Constable, E.C. Solar Energy Conversion Using First Row D-Block Metal Coordination Compound Sensitizers and Redox Mediators. Chem. Sci. 2022, 13, 1225–1262. [Google Scholar] [CrossRef]
  15. Ferrere, S. New Photosensitizers Based upon [FeII(L)2(CN)2] and [FeIIL3], Where L Is Substituted 2,2′-Bipyridine. Inorg. Chim. Acta 2002, 329, 79–92. [Google Scholar] [CrossRef]
  16. Ghosh, A.; Mishra, S.; Giri, S.; Mobin, S.M.; Bera, A.; Chatterjee, S. Electrolyte-Free Dye-Sensitized Solar Cell with High Open Circuit Voltage Using a Bifunctional Ferrocene-Based Cyanovinyl Molecule as Dye and Redox Couple. Organometallics 2018, 37, 1999–2002. [Google Scholar] [CrossRef]
  17. Anizaim, A.H.; Zainuri, D.A.; Zaini, M.F.; Razak, I.A.; Bakhtiar, H.; Arshad, S. Comparative Analyses of New Donor-π-Acceptor Ferrocenyl-Chalcones Containing Fluoro and Methoxy-Fluoro Acceptor Units as Synthesized Dyes for Organic Solar Cell Material. PLoS ONE 2020, 15, e0241113. [Google Scholar] [CrossRef]
  18. Jinchu, I.; Sreekala, C.O.; Sreelatha, K.S. Lawsone Metal Complex as an Effective Sensitizer for Dye Sensitized Solar Cells. In Proceedings of the Materials Today: Proceedings; Elsevier Ltd.: Amsterdam, The Netherlands, 2019; Volume 33, pp. 1356–1360. [Google Scholar]
  19. Setyawati, H.; Hadi, M.S.; Darmokoesoemo, H.; Murwani, I.K.; Permana, A.J.; Rochman, F. Modification of Methyl Orange Dye as a Light Harvester on Solar Cell. In Proceedings of the IOP Conference Series: Earth and Environmental Science, Changchun, China, 21–23 August 2020; Institute of Physics Publishing: Bristol, UK, 2020; Volume 456. [Google Scholar]
  20. Anizaim, A.H.; Zaini, M.F.; Razak, I.A.; Arshad, S. Insight into the Impact of the Substituent Modification on the Photovoltaic Performance of Ferrocenyl Chalcones Based DSSCs. J. Solid State Chem. 2021, 304, 122551. [Google Scholar] [CrossRef]
  21. Lindh, L.; Gordivska, O.; Persson, S.; Michaels, H.; Fan, H.; Chábera, P.; Rosemann, N.W.; Gupta, A.K.; Benesperi, I.; Uhlig, J.; et al. Dye-Sensitized Solar Cells Based on Fe N-Heterocyclic Carbene Photosensitizers with Improved Rod-like Push-Pull Functionality. Chem. Sci. 2021, 12, 16035–16053. [Google Scholar] [CrossRef]
  22. Marri, A.R.; Marchini, E.; Cabanes, V.D.; Argazzi, R.; Pastore, M.; Caramori, S.; Bignozzi, C.A.; Gros, P.C. A Series of Iron(II)-NHC Sensitizers with Remarkable Power Conversion Efficiency in Photoelectrochemical Cells**. Chem. Eur. J. 2021, 27, 16260–16269. [Google Scholar] [CrossRef]
  23. Reddy Marri, A.; Marchini, E.; Cabanes, V.D.; Argazzi, R.; Pastore, M.; Caramori, S.; Gros, P.C. Record Power Conversion Efficiencies for Iron(Ii)-NHC-Sensitized DSSCs from Rational Molecular Engineering and Electrolyte Optimization. J. Mater. Chem. A 2021, 9, 3540–3554. [Google Scholar] [CrossRef]
  24. Setyawati, H.; Darmokoesoemo, H.; Murwani, I.K. Dye-Sensitized Solar Cells with Napthol Blue Black as Dye Sensitizer. In Proceedings of the Journal of Physics: Conference Series; IOP Publishing Ltd.: Bristol, UK, 2021; Volume 1918. [Google Scholar]
  25. Singh, A.; Kociok-Köhn, G.; Chauhan, R.; Muddassir, M.; Gosavi, S.W.; Kumar, A. Ferrocene Appended Asymmetric Sensitizers with Azine Spacers with Phenolic/Nitro Anchors for Dye-Sensitized Solar Cells. J. Mol. Struct. 2022, 1249, 131630. [Google Scholar] [CrossRef]
  26. Ting, J.; Yusong, B.; Peng, Z.; Therien, M.J. Electronic Structure and Photophysics of a Supermolecular Iron Complex Having a Long MLCT-State Lifetime and Panchromatic Absorption. Proc. Natl. Acad. Sci. USA 2020, 117, 20430–20437. [Google Scholar] [CrossRef]
  27. Singh, A.; Dutta, A.; Srivastava, D.; Kociok-Köhn, G.; Chauhan, R.; Gosavi, S.W.; Kumar, A.; Muddassir, M. Effect of Different Aromatic Groups on Photovoltaic Performance of 1,1′-Bis (Diphenylphosphino)Ferrocene Functionalized Ni (II) Dithiolates as Sensitizers in Dye Sensitized Solar Cells. Appl. Organomet. Chem. 2021, 35, e6402. [Google Scholar] [CrossRef]
  28. Gautam, C.; Singh, A.; Gosavi, S.W.; Chauhan, R.; Sharma, V.K.; Alarifi, A.; Afzal, M.; Muddassir, M.; Kumar, A. Ferrocenyl-2-Pyridylimine Derived D10-Configuration Complexes as Prospective Co-Sensitizers in Dye Sensitized Solar Cells. Appl. Organomet. Chem. 2022, 36, e6608. [Google Scholar] [CrossRef]
  29. Xiao, L.; Liu, Y.; Xiu, Q.; Zhang, L.; Guo, L.; Zhang, H.; Zhong, C. Novel Polymeric Metal Complexes as Dye Sensitizers for Dye-Sensitized Solar Cells Based on Poly Thiophene Containing Complexes of 8-Hydroxyquinoline with Zn(II),Cu(II) and Eu(III) in the Side Chain. Tetrahedron 2010, 66, 2835–2842. [Google Scholar] [CrossRef]
  30. Colombo, A.; Dragonetti, C.; Roberto, D.; Fagnani, F. Copper Complexes as Alternative Redox Mediators in Dye-Sensitized Solar Cells. Molecules 2021, 26, 194. [Google Scholar] [CrossRef]
  31. Dragonetti, C.; Magni, M.; Colombo, A.; Melchiorre, F.; Biagini, P.; Roberto, D. Coupling of a Copper Dye with a Copper Electrolyte: A Fascinating Springboard for Sustainable Dye-Sensitized Solar Cells. ACS Appl. Energy Mater. 2018, 1, 751–756. [Google Scholar] [CrossRef]
  32. Büttner, A.; Brauchli, S.Y.; Constable, E.C.; Housecroft, C.E. Effects of Introducing Methoxy Groups into the Ancillary Ligands in Bis(Diimine) Copper(i) Dyes for Dye-Sensitized Solar Cells. Inorganics 2018, 6, 40. [Google Scholar] [CrossRef]
  33. Karpacheva, M.; Malzner, F.J.; Wobill, C.; Büttner, A.; Constable, E.C.; Housecroft, C.E. Cuprophilia: Dye-Sensitized Solar Cells with Copper(I) Dyes and Copper(I)/(II) Redox Shuttles. Dyes Pigment. 2018, 156, 410–416. [Google Scholar] [CrossRef]
  34. Malzner, F.J.; Housecroft, C.E.; Constable, E.C. The Versatile SALSAC Approach to Heteroleptic Copper(I) Dye Assembly in Dye-Sensitized Solar Cells. Inorganics 2018, 6, 57. [Google Scholar] [CrossRef]
  35. Stephens, A.J.; Malzner, F.J.; Constable, E.C.; Housecroft, C.E. The Influence of Phosphonic Acid Protonation State on the Efficiency of Bis(Diimine)Copper(i) Dye-Sensitized Solar Cells. Sustain. Energy Fuels 2018, 2, 786–794. [Google Scholar] [CrossRef]
  36. Xia, C.; Liu, Y.; Wan, T.; Xu, Z.; Wen, G.; Tang, S.; Wang, K.; Zhong, C. D-A-π-A Dye-Sensitizers with Cd (II) or Cu (II) Complex as Auxiliary Electron Acceptor. Opt. Mater. 2018, 77, 140–147. [Google Scholar] [CrossRef]
  37. Colombo, A.; Dragonetti, C.; Fagnani, F.; Roberto, D.; Melchiorre, F.; Biagini, P. Improving the Efficiency of Copper-Dye-Sensitized Solar Cells by Manipulating the Electrolyte Solution. Dalton Trans. 2019, 48, 9818–9823. [Google Scholar] [CrossRef]
  38. Dragonetti, C.; Magni, M.; Colombo, A.; Fagnani, F.; Roberto, D.; Melchiorre, F.; Biagini, P.; Fantacci, S. Towards Efficient Sustainable Full-Copper Dye-Sensitized Solar Cells. Dalton Trans. 2019, 48, 9703–9711. [Google Scholar] [CrossRef]
  39. Manar, K.K.; Kumari, K.; Yadav, C.L.; Srivastava, P.; Drew, M.G.; Singh, N. Preparation, Characterization and Photosensitizing Activities of Homoleptic Cu(II) Dithiocarbamates in TiO2-Based DSSC. ChemistrySelect 2019, 4, 11140–11148. [Google Scholar] [CrossRef]
  40. Güngördü Solğun, D.; Horoz, S.; Ağırtaş, M.S. Synthesis of Novel Tetra (4-Tritylphenoxy) Substituted Metallophthalocyanines and Investigation of Their Aggregation, Photovoltaic, Solar Cell Properties. Inorg. Nano-Met. Chem. 2018, 48, 508–514. [Google Scholar] [CrossRef]
  41. Ağirtaş, M.S.; Güngördü Solğun, D.; Yildiko, Ü.; Özkartal, A. Design of Novel Substituted Phthalocyanines; Synthesis and Fluorescence, DFT, Photovoltaic Properties. Turk. J. Chem. 2020, 44, 1574–1586. [Google Scholar] [CrossRef]
  42. Chindeka, F.; Mashazi, P.; Britton, J.; Oluwole, D.O.; Mapukata, S.; Nyokong, T. Fabrication of Dye-Sensitized Solar Cells Based on Push-Pull Asymmetrical Substituted Zinc and Copper Phthalocyanines and Reduced Graphene Oxide Nanosheets. J. Photochem. Photobiol. A 2020, 399, 112612. [Google Scholar] [CrossRef]
  43. Lüthi, E.; Cortés, P.A.F.; Prescimone, A.; Constable, E.C.; Housecroft, C.E. Schiff Base Ancillary Ligands in Bis(Diimine) Copper(i) Dye-sensitized Solar Cells. Int. J. Mol. Sci. 2020, 21, 1735. [Google Scholar] [CrossRef] [Green Version]
  44. Risi, G.; Becker, M.; Housecroft, C.E.; Constable, E.C. Are Alkynyl Spacers in Ancillary Ligands in Heteroleptic Bis(Diimine)Copper(I) Dyes Beneficial for Dye Performance in Dye-Sensitized Solar Cells? Molecules 2020, 25, 1528. [Google Scholar] [CrossRef] [PubMed]
  45. Inomata, T.; Hatano, M.; Kawai, Y.; Matsunaga, A.; Kitagawa, T.; Wasada-Tsutsui, Y.; Ozawa, T.; Masuda, H. Synthesis and Physico-Chemical Properties of Homoleptic Copper(I) Complexes with Asymmetric Ligands as a Dssc Dye. Molecules 2021, 26, 6835. [Google Scholar] [CrossRef] [PubMed]
  46. Zhang, H.; Wu, X.; Tang, S.; Wang, K.; Tian, Y.; Zhong, C. Novel Metal Complexes for D-(A-π-A)2 Motif Dye Sensitizer: Synthesis and Photovoltaic Application. Appl. Organomet. Chem. 2021, 35, e6220. [Google Scholar] [CrossRef]
  47. Franchi, D.; Leandri, V.; Pizzichetti, A.R.P.; Xu, B.; Hao, Y.; Zhang, W.; Sloboda, T.; Svanström, S.; Cappel, U.B.; Kloo, L.; et al. Effect of the Ancillary Ligand on the Performance of Heteroleptic Cu(I) Diimine Complexes as Dyes in Dye-Sensitized Solar Cells. ACS Appl. Energy Mater. 2022, 5, 1460–1470. [Google Scholar] [CrossRef]
  48. Tian, Y.; Wang, K.; Zhang, H.; Wu, X.; Zhong, C. Novel Polymeric Metal Complexes of Salicylaldehyde Schiff Base Derivative Being Used for Dye Sensitizer. Tetrahedron 2022, 113, 132756. [Google Scholar] [CrossRef]
  49. Zhang, H.; Wu, X.; Tian, Y.; Wang, K.; Tang, S.; Zhong, C. Novel Polymeric Metal Complexes for Dye Sensitizer: Synthesis and Photovoltaic Performances. J. Inorg. Organomet. Polym. 2022, 32, 1736–1743. [Google Scholar] [CrossRef]
  50. Çakar, S. 1,10 Phenanthroline 5,6 Diol Metal Complex (Cu, Fe) Sensitized Solar Cells: A Cocktail Dye Effect. J. Power Sources 2019, 435, 226825. [Google Scholar] [CrossRef]
Figure 1. Simplified scheme and working principle of a DSSC.
Figure 1. Simplified scheme and working principle of a DSSC.
Inorganics 10 00137 g001
Figure 2. Structure of dyes N719, N3, and D205.
Figure 2. Structure of dyes N719, N3, and D205.
Inorganics 10 00137 g002
Figure 3. Structure of dyes 1ab, 2ab and 4, of Lawsone and of Methyl Orange.
Figure 3. Structure of dyes 1ab, 2ab and 4, of Lawsone and of Methyl Orange.
Inorganics 10 00137 g003
Figure 4. Structure of dyes 5ab, 6ac, and 7af.
Figure 4. Structure of dyes 5ab, 6ac, and 7af.
Inorganics 10 00137 g004
Figure 5. Structure of dyes 8ac and 10ab, and of Naphthol Blue-Black.
Figure 5. Structure of dyes 8ac and 10ab, and of Naphthol Blue-Black.
Inorganics 10 00137 g005
Figure 6. Structure of dyes 11, 12ae, and 13ac.
Figure 6. Structure of dyes 11, 12ae, and 13ac.
Inorganics 10 00137 g006
Figure 7. Structure of dyes 14ad and 15ab.
Figure 7. Structure of dyes 14ad and 15ab.
Inorganics 10 00137 g007
Figure 8. Structure of redox couples E1E12. In all cases, the counteranions are PF6.
Figure 8. Structure of redox couples E1E12. In all cases, the counteranions are PF6.
Inorganics 10 00137 g008
Figure 9. Structure of dyes 16ae, 17, and 18ad.
Figure 9. Structure of dyes 16ae, 17, and 18ad.
Inorganics 10 00137 g009
Figure 10. Structure of dyes 19ab, 20ae, 21ac, 22ac, and 23ab.
Figure 10. Structure of dyes 19ab, 20ae, 21ac, 22ac, and 23ab.
Inorganics 10 00137 g010
Figure 11. Structure of dyes 24ae, 25ad, and 26ac.
Figure 11. Structure of dyes 24ae, 25ad, and 26ac.
Inorganics 10 00137 g011
Figure 12. Structure of dyes 27ad.
Figure 12. Structure of dyes 27ad.
Inorganics 10 00137 g012
Figure 13. Structure of dyes 28ag.
Figure 13. Structure of dyes 28ag.
Inorganics 10 00137 g013
Figure 14. Structure of dyes 29ad, 30ad, and 31ad.
Figure 14. Structure of dyes 29ad, 30ad, and 31ad.
Inorganics 10 00137 g014
Table 1. Photovoltaic data of DSSCs produced with dyes 1ab, 2ab, and 3ag, 4 1.
Table 1. Photovoltaic data of DSSCs produced with dyes 1ab, 2ab, and 3ag, 4 1.
EntryDyeRedox CoupleJSC (mA cm−2)VOC (V)FFη (%)ηrel 2 (%)Ref.
11a 3Absent 40.4100.7630.350.10 [16]
21b 3Absent 40.0390.8410.289.18 × 10−3 [16]
32aI/I3− 50.6060.59358.700.21141.21[17]
42bI/I3− 50.7760.60152.700.24648.05[17]
5N719I/I3− 51.1530.62670.900.512 [17]
6Lawsone ligand 5I/I32.210.660.640.940.31[18]
73a6I/I32.480.660.651.080.36[18]
83b 6I/I32.860.660.651.230.40[18]
93c 6I/I33.270.660.651.410.46[18]
103d 6I/I33.770.660.621.540.51[18]
113e 6I/I33.960.660.621.630.54[18]
123f 6I/I34.430.660.651.900.63[18]
133g 6I/I34.920.660.652.110.69[18]
14N719 6I/I35.400.860.653.04 [18]
15Lawsone ligand 7I/I32.390.680.651.060.24[18]
163a 7I/I33.060.680.651.390.32[18]
173b 7I/I33.410.680.661.530.35[18]
183c 7I/I33.710.680.661.670.38[18]
193d 7I/I34.260.680.661.930.44[18]
203e 7I/I34.500.680.662.020.46[18]
213f7I/I35.320.680.662.390.54[18]
223g 7I/I36.330.680.662.850.65[18]
23N719 7I/I37.800.860.664.40 [18]
24Methyl Orange 8I/I3− 93.000.150.830.756 [19]
254 8I/I3− 93.750.151.001.137 [19]
1 using FTO as conductive oxide, TiO2 as semiconductor, Pt as counter-electrode, and under AM 1.5 G-simulated light source (100 mW cm−2) if not differently specified. 2 ηrel: relative efficiency with respect to N719. 3 0.01 M dye in dichloromethane (DCM). 4 compounds 1ab acted both as dyes and redox mediators, and the cells were fabricated without a redox electrolyte solution. 5 Solaronix Iodolyte AN-50. 6 TiO. Nanoparticles. 7 TiO2 nanofibers. 8 10−5 M. 9 KI3.
Table 2. Photovoltaic data of DSSCs produced with dyes 5ab, 6ac, 7af, 8ac, 9, and 10ab 1.
Table 2. Photovoltaic data of DSSCs produced with dyes 5ab, 6ac, 7af, 8ac, 9, and 10ab 1.
EntryDyeRedox CoupleJSC (mA cm−2)VOC (V)FFη (%)ηrel (%)Ref.
15a 2I/I3− 30.0360.19150.200.0034 [20]
25b 2I/I3− 30.1320.49163.400.0412 [20]
36a 4,5I/I3− 62.090.4660.7520.73 [21]
46b4,5I/I3− 63.520.5120.7241.31 [21]
56c 4,5I/I3− 63.230.4160.6940.93 [21]
67a 7,8I/I3− 96.03 ± 0.340.47 ± 0.010.59 ± 0.011.68 ± 0.14 [22]
77b 7,8I/I3− 96.07 ± 0.450.43 ± 0.010.61 ± 0.031.58 ± 0.13 [22]
87c 7,8I/I3− 95.81 ± 0.410.47 ± 0.010.57 ± 0.031.56 ± 0.18 [22]
97d 7,8I/I3− 96.11 ± 0.460.39 ± 0.010.49 ± 0.021.17 ± 0.15 [22]
107e7,8I/I3− 96.80 ± 0.170.47 ± 0.020.57 ± 0,021.83 ± 0.10 [22]
117f7,8I/I3− 95.20 ± 0.330.35 ± 0.010.61 ± 0.021.11 ± 0.12 [22]
126a 7,8I/I3− 95.60 ± 0.290.44 ± 0.010.56 ± 0.011.39 ± 0.13 [22]
137c 8,10I/I3− 94.87 ± 0.310.43 ± 0.010.59 ± 0.021.24 ± 0.10 [22]
147d 8,10I/I3− 94.82 ± 0.310.37 ± 0.020.51 ± 0.020.91 ± 0.12 [22]
157e 8,10I/I3− 95.59 ± 0.180.44 ± 0.010.58 ± 0.011.43 ± 0.10 [22]
166a 8,10I/I3− 94.30 ± 0.300.43 ± 0.010.59 ± 0.031.10 ± 0.09 [22]
177c 8,10I/I3− 95.41 ± 0.300.46 ± 0.010.58 ± 0.011.44 ± 0.10 [22]
187d 8,10I/I3− 95.45 ± 0.100.39 ± 0.010.47 ± 0.041.00 ± 0.15 [22]
197e 8,10I/I3− 96.33 ± 0.300.46 ± 0.010.57 ± 0.011.65 ± 0.12 [22]
206a 8,10I/I3− 95.22 ± 0.180.45 ± 0.010.57 ± 0.021.35 ± 0.07 [22]
218a 11,12I/I3− 133.550.440.60.94 ± 0.1126.33[23]
228b 11,12I/I3− 132.690.460.630.78 ± 0.0821.85[23]
238c 11,14I/I3− 133.950.490.611.18 ± 0.1033.05[23]
246a11,14I/I3− 133.640.450.621.02 ± 0.1128.57[23]
25N719 11,15I/I3− 1312.840.480.583.57 ± 0.34 [23]
268a 11,12I/I3− 163.890.430.570.95 ± 0.0925.82[23]
278b 11,12I/I3− 162.900.450.620.81 ± 0.1022.01[23]
288c 11,14I/I3− 164.440.450.641.27 ± 0.1234.51[23]
296a 11,14I/I3− 164.380.430.591.11 ± 0.1730.16[23]
30N719 11,15I/I3− 1612.870.500.503.68 ± 0.52 [23]
316a 14I/I3− 134.020.490.581.14 ± 0.07 [23]
328c 14I/I3− 134.260.510.591.29 ± 0.09 [23]
338c 14I/I3− 164.980.470.621.44 ± 0.07 [23]
34NBB 17,18I/I3− 190.02400.2180.78440.0083 [24]
359 17,18I/I3− 190.14180.3630.88870.0925 [24]
3610a 12.910.7100.645.8893.04[25]
3710b 9.210.6900.634.0463.92[25]
38N719 20 16.440.6380.606.32 [25]
1 using FTO as conductive oxide, TiO2 as semiconductor, Pt as counter-electrode, and under AM 1.5 G-simulated light source (100 mW cm−2) if not differently specified. 2 0.02 M + 0.002 M chenodeoxycholic acid (CDCA) in ACN. 3 Solaronix Iodolyte AN-50. 4 Nippon sheet glass; 8 Ω sheet resistance. 5 0.2 mM dye in can; then 0.5 mM CDCA in ACN. 6 0.1 M LiI + 0.05 M I2 + 0.6 M 1,2-dimethyl-3-propylimidazolium iodide (DMPII) in 3-methoxypropionitrile (MPN). 7 DSSC fabricated with a 20 μm TiO2 layer. 8 PEDOT counter electrode. 9 0.1 M LiI + 0.6 M 1-methyl-3-propylimidazolium iodide (PMII) + 0.1 M I2 + 0.1 M MgI2 + 0.1 M guanidinium thiocyanate (GuNCS) + 0.1 M TBAI in ACN. 10 DSSC fabricated with a 16 μm TiO2 layer. 11 PEDOT counter electrode. 12 0.05 M in ACN. 13 0.1 M LiI + 0.6 M PMII + 0.1 M I2 + 0.1 M MgI2 + 0.1 M GuNCS in ACN. 14 0.02 mM dye + 0.04 mM CDCA in ACN. 15 0.02 mM in ethanol (EtOH). 16 0.1 M LiI + 0.6 M PMII + 0.1 M I2 + 0.1 M MgI2 + 0.1 M GuNCS + 0.1 M TBAI in ACN. 17 Graphite counter electrode. 18 0.1 mM dye. 19 KI3. 20 10−4 M dye in ACN:tert-butanol (t-BuOH).
Table 3. Photovoltaic data of DSSCs produced with dyes 11, 12ae, and 13ac 1.
Table 3. Photovoltaic data of DSSCs produced with dyes 11, 12ae, and 13ac 1.
EntryDyeRedox CoupleJSC (mA cm−2)VOC (V)FFη (%)ηrel (%)Ref.
1112,3I/I3− 41.250.18 [26]
2N32,5I/I3− 42.100.32 [26]
312aI/I39.390.6320.613.6157.12[27]
412bI/I39.930.6520.684.3969.46[27]
512cI/I311.250.6670.634.7675.32[27]
612dI/I313.150.6330.615.0579.91[27]
712eI/I37.940.6660.643.3653.16[27]
8N719I/I316.440.6380.606.32 [27]
913a6I/I3− 76.08 ± 0.030.684 ± 0.020.67 ± 0.022.79 ± 0.0366.43[28]
1013b6I/I3− 75.13 ± 0.040.664 ± 0.020.67 ± 0.012.30 ± 0.0454.76[28]
1113c6I/I3− 74.44 ± 0.030.656 ± 0.030.66 ± 0.011.95 ± 0.0346.43[28]
1213a/N7198I/I3− 711.25 ± 0.060.776 ± 0.020.65 ± 0.025.71 ± 0.04135.95[28]
1313b/N719 8I/I3− 710.15 ± 0.040.758 ± 0.030.65 ± 0.015.00 ± 0.05119.05[28]
1413c/N719 8I/I3− 79.38 ± 0.060.742 ± 0.020.66 ± 0.014.57 ± 0.03108.81[28]
15N719 9I/I3− 78.85 ± 0.070.734 ± 0.020.64 ± 0.024.20 ± 0.05 [28]
1 using FTO as conductive oxide, TiO2 as semiconductor, Pt as counter-electrode, and under AM 1.5G-simulated light source (100 mW cm−2) if not differently specified. 2 SnO2 semiconductor. 3 0.5 mM dye in EtOH. 4 0.5 M TBAI + 0.05 M I2. 5 0.5 mM dye in EtOH + 1 mM pyridine-4-carboxylic acid. 6 10−5 M dye in DCM:ACN 1:1. 7 0.05 M LiI + 0.05 M I2 + 0.5 M 4-tert-butylpyridine in ACN. 8 10−5 M dye + 10−5 M N719 in DCM:ACN 1:1. 9 10−5 M N719 in EtOH.
Table 4. Photovoltaic data of DSSCs produced with dyes 14ad, 15ab, 16ad, 17, and 18ad 1.
Table 4. Photovoltaic data of DSSCs produced with dyes 14ad, 15ab, 16ad, 17, and 18ad 1.
EntryDyeRedox CoupleJSC (mA cm−2)VOC (V)FFη (%)ηrel (%)Ref.
114a2,3I/I3− 44.270.5450.711.6628.67[32]
214a2,3I/I3− 44.200.5360.701.5827.29[32]
3N719 (cell 1) 2,3I/I3− 413.290.6470.675.79 [32]
414b2,3I/I3− 44.870.5280.711.8230.13[32]
514b2,3I/I3− 44.740.5240.721.8029.80[32]
6N719 (cell 2) 2,3I/I3− 413.910.6350.686.04 [32]
714c2,3I/I3− 43.680.5280.731.4325.44[32]
814c2,3I/I3− 43.900.5160.721.4625.98[32]
9N719 (cell 3) 2,3I/I3− 413.420.6310.665.62 [32]
1014d2,3I/I3− 44.790.5670.721.9633.85[32]
1114d2,3I/I3− 44.680.5500.681.7530.22[32]
12N719 (cell 1) 2,3I/I3− 413.290.6470.675.79 [32]
1314a3,5I/I3− 44.220.5800.701.7229.66[32]
1414a3,5I/I3− 44.190.5730.701.6828.97[32]
15N719 (cell 1) 3,5I/I3− 412.700.6700.685.80 [32]
1614b3,5I/I3− 44.330.5690.711.7428.02[32]
1714b3,5I/I3− 45.020.5650.651.8629.95[32]
18N719 (cell 2) 3,5I/I3− 413.230.6900.686.21 [32]
1914c3,5I/I3− 43.230.5410.741.2921.83[32]
2014c3,5I/I3− 44.300.5620.701.7028.76[32]
21N719 (cell 1) 3,5I/I3− 413.050.6730.675.91 [32]
2214d3,5I/I3− 44.750.5800.671.8632.07[32]
2314d3,5I/I3− 44.640.5930.651.8031.03[32]
24N719 (cell 3) 3,5I/I3− 412.700.6700.685.80 [32]
2515a 6,7I/I3− 89.000.610.633.5039.33[31]
2615a 6,7I/I3− 98.200.670.653.6040.45[31]
2715a 6,7Cu+/Cu2+ 104.700.750.361.3014.61[31]
2815a6,7Cu+/Cu2+ 116.300.610.532.0022.47[31]
2915b 6,7I/I3− 87.300.590.693.0033.71[31]
30N719 6,7I/I3− 815.400.800.718.90 [31]
3116a 3Cu+/Cu2+ 121.100.5580.550.336.11[33]
3216b 3Cu+/Cu2+ 131.690.6620.550.6111.30[33]
3316c3Cu+/Cu2+ 131.970.6480.430.5410.00[33]
3416d3Cu+/Cu2+ 131.880.6550.520.6411.85[33]
3516a 3Cu+/Cu2+ 142.140.7840.661.1220.74[33]
3616b 3Cu+/Cu2+ 142.150.7100.550.8415.56[33]
3716c 3Cu+/Cu2+ 142.290.6890.600.9517.59[33]
3816d 3Cu+/Cu2+ 142.210.6790.640.9717.96[33]
3916e3Cu+/Cu2+ 142.270.7020.610.9717.96[33]
4016b 3Cu+/Cu2+ 153.090.8120.721.8233.70[33]
4116c 3Cu+/Cu2+ 152.800.7960.731.6330.19[33]
4216d 3Cu+/Cu2+ 152.980.8040.741.7632.59[33]
4316e 3Cu+/Cu2+ 152.660.7880.731.5328.33[33]
4416c 3Cu+/Cu2+ 163.850.6860.762.0037.04[33]
4516d 3Cu+/Cu2+ 163.440.6810.751.7632.59[33]
4616e 3Cu+/Cu2+ 164.010.6840.752.0638.15[33]
47N719 17I/I312.540.6140.705.40 [33]
4817 2,18I/I3− 44.360.5170.6901.5522.66[34]
4917 2,18I/I3− 44.880.5280.7011.8026.32[34]
5017 2,19I/I3− 45.950.5600.6822.2733.19[34]
51172,19I/I3− 46.170.5500.6732.2933.48[34]
5217 2,20I/I3− 47.850.5240.6832.8141.08[34]
5317 2,20I/I3− 47.730.5170.6782.7139.62[34]
54N719 2,17I/I3− 415.330.6150.7266.84 [34]
5517 18,21I/I3− 42.630.4990.6780.8912.18[34]
561719,21I/I3− 43.450.5140.6941.2316.83[34]
571719,21I/I3− 45.690.5600.6942.2130.23[34]
5817 20,21I/I3− 46.380.5600.6892.4633.65[34]
5917 20,21I/I3− 46.580.5150.7142.4233.11[34]
6017 20,21I/I3− 47.770.5450.6372.6936.80[34]
61N71917,21I/I3− 415.730.6380.7297.31 [34]
62175,18I/I3− 42.610.5010.6810.8912.08[34]
6317 5,18I/I3− 43.330.5050.6901.1615.74[34]
6417 5,19I/I3− 45.600.5610.7062.2230.12[34]
6517 5,19I/I3− 46.180.5600.7022.4332.97[34]
6617 5,20I/I3− 47.130.5350.6942.6535.96[34]
6717 5,20I/I3− 48.100.5610.5762.6135.41[34]
68N719 5,17I/I3− 415.160.6720.7247.37 [34]
6916a 3I/I3− 44.610.5210.721.7227.52[35]
7016a 3,22I/I3− 45.110.5350.721.9731.52[35]
7116a 3,23I/I3− 44.590.5120.701.6526.40[35]
7216a 3,24I/I3− 42.110.4340.690.6310.08[35]
7316a3,25I/I3− 40.750.4040.700.213.36[35]
74N71917I/I3− 414.300.6350.706.25 [35]
7518a 26I/I3− 279.350.670.6634.17 [36]
7618b 26I/I3− 279.020.650.6523.82 [36]
7718c 26I/I3− 2712.540.750.6966.55 [36]
7818d 26I/I3− 2712.060.720.6846.06 [36]
1 using FTO as conductive oxide, TiO2 as semiconductor, Pt as counter-electrode, and under AM 1.5 G-simulated light source (100 mW cm−2) if not differently specified. 2 tested on the day of DSSC fabrication. 3 1.0 M anchoring ligand in DMSO; then, 0.1 M homoleptic complex with ancillary ligands in DCM. 4 0.1 M LiI + 0.05 M I2 + 0.5 M 1-methylbenzimidazole + 0.6 M 1-butyl-3-methylimidazolium iodide (BMII) in MPN. 5 tested seven days after the DSSC fabrication. 6 Use of an Abet 2000 solar simulator with a 300 W xenon lamp adjusted with a calibrated solar cell (VLSI standard SRC-1000-RTD-KG5). 7 1.5 × 10−3 M in MeOH. 8 0.025 M LiI + 0.04 M I2 + 0.65 M BMII in ACN + 0.28 M TBP in 15:85 valeronitrile (BuCN)/ACN. 9 0.01 M LiI + 0.017 M I2 + 0.26 M BMII in ACN + 0.28 M TBP in 15:85 BuCN/ACN. 10 0.17 M E1 + 0.017 M E2 + 0.1 M LiTFSI (LiTFSI = Lithium bis(trifluoromethanesulfonyl)imide) in ACN. 11 0.17 M E3 + 0.014 M E4 + 0.1 M LiTFSI in ACN. 12 E5/E6 5:1 + TBP + LiPF6 in ACN. 13 E7/E8 + TBP + LiPF6 in ACN. 14 E9/E10 + TBP + LiPF6 in ACN. 15 E11/E12 + TBP + LiPF6 in ACN. 16 E13/E14 + TBP + LiPF6 in ACN. 17 0.3 mM N719 in EtOH. 18 ligand exchange dipping procedure. 19 1:1 dipping procedure. 20 sequential procedure. 21 tested three days after the DSSC fabrication. 22 1 eq. TBAOH respect to the anchoring ligand. 23 2 eq. TBAOH respect to the anchoring ligand. 24 3 eq. TBAOH respect to the anchoring ligand. 25 4 eq. TBAOH respect to the anchoring ligand. 26 0.5 mM dye in N,N-dimethylformamide (DMF). 27 0.5 M LiI + 0.05 M I2 + 0.5 M TBP in ACN:MPN 7:3 v/v.
Table 5. Photovoltaic data of DSSCs produced with dyes 15a, 19ab, 20ae, 21ac, 22ac, 23ad, 24ae, and 25ad 1.
Table 5. Photovoltaic data of DSSCs produced with dyes 15a, 19ab, 20ae, 21ac, 22ac, 23ad, 24ae, and 25ad 1.
EntryDyeRedox CoupleJSC (mA cm−2)VOC (V)FFη (%)ηrel (%)Ref.
115a 2,3I/I3− 46.170.6700.7393.0544.40[37]
215a 2,3I/I3− 56.410.6480.7303.0344.10[37]
315a 2,3Cu+/Cu2+ 64.060.6060.6391.5722.85[37]
415a 2,3Cu+/Cu2+ 73.690.7080.6271.6423.87[37]
515a2,3Cu+/Cu2+ 84.350.6300.6311.7325.18[37]
615a 2,3Cu+/Cu2+ 92.880.7250.5991.2518.20[37]
715a 2,3Cu+/Cu2+ 105.770.6220.7012.5136.54[37]
815a 2,3Cu+/Cu2+ 114.980.5430.6621.8426.78[37]
915a 2,3Cu+/Cu2+ 122.220.7050.5600.8812.81[37]
10N719 2,3I/I3− 1315.170.6590.6876.87 [37]
1115a 2,3I/I3− 146.100.5920.7102.5028.09[38]
1215a2,3I/I3− 154.700.5710.7402.0022.47[38]
1319a 2,3I/I3− 145.600.6020.7502.5028.09[38]
1419a 2,3I/I3− 155.200.6070.7502.3025.84[38]
1519b2,3I/I3- 145.800.5970.7402.6029.21[38]
1619b 2,3I/I3− 155.600.5990.7202.4026.97[38]
1715a 2,3Cu+/Cu2+ 162.900.6940.3600.707.87[38]
1819a 2,3Cu+/Cu2+ 162.600.6470.3500.606.74[38]
1919b 2,3Cu+/Cu2+ 160.900.3700.3700.101.12[38]
2015a 2,3Cu+/Cu2+ 173.800.5930.6101.4015.73[38]
2119a 2,3Cu+/Cu2+ 173.200.5700.6701.2013.48[38]
2219b 2,3Cu+/Cu2+ 172.800.5730.6201.0011.24[38]
23N719 2,3I/I3− 1515.40.8020.718.9 [38]
2420aI/I3− 183.930.670.691.8135.35[39]
2520bI/I3− 186.880.630.763.2964.26[39]
2620cI/I3− 187.490.670.723.6270.70[39]
2720dI/I3− 185.640.690.732.8455.47[39]
2820eI/I3− 182.770.680.711.3325.98[39]
29N719I/I3− 1812.900.620.645.12 [39]
3021a 19-5.990.560.531.77 [40]
3121b 19-4.960.580.521.51 [40]
3221c 19-5.480.490.531.43 [40]
3322a20I/I35.560.640.431.54 [41]
3422b 20I/I34.940.590.461.35 [41]
3522c 20I/I35.200.690.471.69 [41]
3623a 21,22,23,24,25I/I3− 26 0.6893.77 [42]
3723b 21,22,23,25,27I/I3− 26 0.6853.80 [42]
3823c 21,22,23,24,25I/I3− 26 0.6864.32 [42]
3923d 21,22,23,25,27I/I3− 26 0.6824.36 [42]
4024a 28I/I3− 294.080.5380.691.5126.31[43]
4124a 28I/I3− 293.640.5200.691.3223.00[43]
4224a 28I/I3− 293.870.5340.701.4425.09[43]
4324b 28I/I3− 293.400.5260.711.2822.30[43]
4424b 28I/I3− 293.010.5300.721.1419.86[43]
4524b 28I/I3− 293.440.5240.701.2621.95[43]
4624c 28I/I3− 294.080.5220.681.4525.26[43]
4724c 28I/I3− 293.510.5220.701.2822.30[43]
4824c 28I/I3− 293.400.5180.711.2621.95[43]
4924d 28I/I3− 292.830.5080.701.0117.60[43]
5024d28I/I3− 292.960.5160.711.0818.82[43]
5124d 28I/I3− 292.740.5140.700.9917.25[43]
5224e 28I/I3− 291.560.4550.650.468.01[43]
5324e 28I/I3− 291.490.4610.660.457.84[43]
5424e 28I/I3− 291.550.4550.650.468.01[43]
55N719 30I/I3− 2913.420.6400.675.74 [43]
5625a 28I/I3− 294.540.5410.6761.6630.97[44]
5725a 28I/I3− 294.690.5390.6811.7232.09[44]
5825a 28I/I3− 294.740.5390.7011.7933.40[44]
5925a 28I/I3− 294.550.5240.6971.6630.97[44]
6025a 28,31I/I3− 294.750.5340.6511.6530.78[44]
6125a 28,31I/I3− 294.750.5480.6891.7933.40[44]
6225a 28,31I/I3− 294.420.5450.6591.5929.66[44]
6325a 28,31I/I3− 294.730.5430.6881.7733.02[44]
6425b 28I/I3− 293.590.5140.7071.3024.25[44]
6525b 28I/I3− 293.640.5080.6961.2924.07[44]
6625b 28I/I3− 293.540.5130.7121.2924.07[44]
6725b 28I/I3− 293.570.5140.6841.2523.32[44]
68N719 30I/I3− 2914.130.6020.6305.36 [44]
6925c 28I/I3− 294.820.5320.6791.7433.59[44]
7025c 28I/I3− 295.250.5230.7031.9337.26[44]
7125c 28I/I3− 294.640.5360.6861.7133.01[44]
7225c 28I/I3− 294.890.5330.6681.7433.59[44]
7325d 28I/I3− 294.240.5350.6931.5730.31[44]
7425d 28I/I3− 293.960.5300.6861.4427.80[44]
7525d 28I/I3− 294.080.5340.6681.4628.19[44]
7625d 28I/I3− 294.050.5310.7031.5129.15[44]
77N719 30I/I3− 2914.250.6030.6035.18 [44]
1 using FTO as conductive oxide, TiO2 as semiconductor, Pt as counter-electrode, and under AM 1.5G-simulated light source (100 mW cm−2) if not differently specified. 2 Use of an Abet 2000 solar simulator with a 300 W xenon lamp adjusted with a calibrated solar cell (VLSI standard SRC-1000-RTD-KG5). 3 1.5 mM dye in MeOH. 4 0.01 M LiI + 0.017 M I2 + 0.26 M BMII + 0.28 M TBP in 15:85 v/v BuCN:ACN. 5 0.01 M LiI + 0.017 M I2 + 0.26 M BMII + 0.28 M TBP + 0.025 M guanidinium iodide (GuI) in 15:85 v/v BuCN:ACN. 6 0.085 M E3 + 0.0085 M E4 + 0.05 M LiTFSI in ACN. 7 0.085 M E3 + 0.0085 M E4 + 0.14 M TBP + 0.05 M LiTFSI in ACN. 8 0.038 M E3 + 0.0038 M E4 + 0.022 M LiTFSI in ACN. 9 0.038 M E3 + 0.0038 M E4 + 0.062 M TBP + 0.022M LiTFSI in ACN. 10 0.085 M E3 + 0.0085 M E4 + 0.28 M TBP + 0.1 M LiTFSI in ACN. 11 0.038 M E3 + 0.0038 M E4 + 0.28 M TBP + 0.1 M LiTFSI in ACN. 12 0.085 M E3 + 0.0085 M E4 + 0.28 M TBP + 0.1 M LiTFSI + 0.26 M MBIPF6 ([N-methyl-N-butylimidazolium][PF6]) in ACN. 13 0.6 M BMII + 0.03 M I2 + 0.1 M GuNCS + 0.5 M TBP in 15:85 v/v BuCN:ACN. 14 0.025 M LiI + 0.04 M I2 + 0.65 M BMII + 0.28 M TBP in 15:85 BuCN:ACN. 15 0.025 M LiI + 0.04 M I2 + 0.65 M BMII + 0.05 M GuI + 0.28 M TBP in 15:85 BuCN:ACN. 16 0.17 M E1 + 0.017 E2 + 0.1 M LiTFSI in ACN. 17 0.17 M E3 + 0.017 E4 + 0.1 M LiTFSI in ACN. 18 Solaronix Iodolyte AN-50. 19 Cu2S was used as counter electrode. 20 1 mM dye in DMF. 21 Indium tin oxide (ITO) was used as conductive oxide instead of FTO. 22 ITO functionalized with NrGONS was used as counter electrode. 23 Use of an Autolab Potentiostat/Galvanostat 302 N with FRA Module and LED kit to test the photovoltaic performances of the cells. 24 TiO2 functionalized with rGONS was used as semiconductor. 25 0.05 mM dye in EtOH. 26 0.5 M LiI + 0.05 M I2 in ACN. 27 TiO2 functionalized with NrGONS was used as semiconductor. 28 1.0 mM anchoring dye in DMSO, then 0.1 mM homoleptic complex in DCM. 29 0.1 M LiI + 0.05 M I2 + 0.5 M 1-methylbenzimidazole + 0.6 M BMII in MPN. 30 0.3 mM N719 in EtOH. 31 Use of decylphosphonic acid (DPA) as co-adsorbent.
Table 6. Photovoltaic data of DSSCs produced with dyes 26ac, 27ad, 28ag, 29ad, and 30ad 1.
Table 6. Photovoltaic data of DSSCs produced with dyes 26ac, 27ad, 28ag, 29ad, and 30ad 1.
EntryDyeRedox CoupleJSC (mA cm−2)VOC (V)FFη (%)ηrel (%)Ref.
126a2I/I3− 30.610.480.580.172.17[45]
226b 4I/I3− 31.640.60.650.648.17[45]
326c 2I/I3− 36.080.660.662.6633.97[45]
4N719 2I/I3− 316.50.690.697.83 [45]
527a 5I/I3− 617.510.790.6938.82 [46]
627b 5I/I3− 617.020.780.6688.32 [46]
727c 5I/I3− 615.070.760.6928.03 [46]
827d 5I/I3− 614.380.740.6957.55 [46]
928a 7,8,9I/I3− 102.87 ± 0.100.550 ± 0.0100.74 ± 0.021.17 ± 0.0915.39[47]
1028b 7,8,11I/I3− 103.31 ± 0.120.563 ± 0.0050.74 ± 0.021.38 ± 0.1018.16[47]
1128c 7,8,11I/I3− 103.17 ± 0.110.555 ± 0.0050.70 ± 0.011.23 ± 0.1016.18[47]
1228d 7,8,11I/I3− 104.79 ± 0.110.563 ± 0.0050.68 ± 0.021.81 ± 0.1223.82[47]
1328e 7,8,11I/I3− 104.79 ± 0.070.565 ± 0.0100.73 ± 0.022.05 ± 0.0826.97[47]
1428f 7,8,12I/I3− 103.35 ± 0.090.553 ± 0.0050.67 ± 0.021.24 ± 0.0916.32[47]
1525g 7,8,11I/I3− 104.16 ± 0.100.566 ± 0.0050.72 ± 0.021.73 ± 0.0922.76[47]
1628e 7,11I/I3− 130.351 ± 0.0500.512 ± 0.0150.65 ± 0.030.117 ± 0.0301.54[47]
1728e 7,11Co2+/Co3+ 140.199 ± 0.0400.485 ± 0.0100.53 ± 0.080.052 ± 0.0200.68[47]
1828e 7,11Co2+/Co3+ 150.030 ± 0.0060.343 ± 0.0300.47 ± 0.010.005 ± 0.0010.07[47]
1928e 7,11I/I3− 122.664 ± 0.0300.560 ± 0.0050.69 ± 0.031.02 ± 0.0513.42[47]
2028e 7,11I/I3− 104.711 ± 0.0500.605 ± 0.0050.74 ± 0.002.10 ± 0.0227.63[47]
2128e 7,11I/I3− 104.693 ± 0.1000.622 ± 0.0050.71 ± 0.012.07 ± 0.0927.24[47]
2228e 7,11I/I3− 164.192 ± 0.1100.577 ± 0.0050.72 ± 0.011.74 ± 0.1022.89[47]
23N719 7,8I/I3− 1017.81 ± 0.090.700 ± 0.0050.61 ± 0.017.60 ± 0.21 [47]
2429a 17I/I3− 189.800.690.7054.77 [48]
2529b 17I/I3− 1810.280.730.7095.30 [48]
2629c 17I/I3− 1814.860.790.7208.45 [48]
2729d 17I/I3− 1814.940.790.7268.59 [48]
2830a 17I/I3− 1917.450.780.7049.03 [49]
2930b 17I/I3− 1914.750.760.7048.02 [49]
3030c 17I/I3− 1913.940.740.7176.82 [49]
3130d 17I/I3− 1912.000.750.6696.12 [49]
1 using FTO as conductive oxide, TiO2 as semiconductor, Pt as counter-electrode, and under AM 1.5G-simulated light source (100 mW cm−2) if not differently specified. 2 0.3 mM dye in EtOH. 3 0.1 M LiI + 0.05 M I2 + 0.6 M DMPII + 0.5 M TBP in ACN. 4 0.3 mM dye in MeOH. 5 0.05 mM in DMF. 6 0.5 M LiI + 0.05 M I2 + 0.5 M TBP. 7 use of Pilkington TEC15 as conductive glass. 8 tested two days after the fabrication.9 1 mM anchoring ligand in MeOH; then 1 mM [Cu(CH3CN)4][PF6] + 2 mM anchoring ligand in MeOH. 10 0.025 M LiI + 0.04 M I2 + 0.65 M BMII + 0.28 M TBP in ACN:BuCN 85:15 v/v. 11 1 mM anchoring ligand in MeOH, then 1 mM [Cu(CH3CN)4][PF6] + 1 mM Cu homoleptic complex in ACN. 12 1 mM anchoring ligand in MeOH, then 1 mM [Cu(CH3CN)4][PF6] + 2 mM ancillary ligand in ACN. 13 0.1 M LiI + 0.05 M I2 + 0.6 M BMII + 0.5 M methylbenzimidazole in 3-methoxypropionitrile. 14 0.22 M [Co(bpy)3]2+ + 0.05 M [Co(bpy)3]3+ + 0.2 M TBP + 0.1 M LiClO4 in ACN. 15 0.22 M [Co(bpy)3]2+ + 0.05 M [Co(bpy)3]3+ + 0.1 M LiClO4 in ACN. 16 0.1 M LiI + 0.05 M I2 + 1.0 M BMII + 0.5 M TBP in ACN:BuCN 85:15 v/v. 17 0.2 mM dye in DMF. 18 0.05 M LiI + 0.6 M I2 + 0.1 M DMPII + 0.5 M TBP in ACN. 19 0.1 M LiI + 0.05 M I2 + 0.6 M DMPII + 0.5 M TBP in ACN.
Table 7. Photovoltaic data of DSSCs produced with dyes 31ad 1.
Table 7. Photovoltaic data of DSSCs produced with dyes 31ad 1.
EntryDyeRedox CoupleJSC (mA cm−2)VOC (V)FFη (%)ηrel (%)Ref.
131a:31b: 1:1I/I3− 28.780.740.503.2540.88[50]
231a:31b: 2:1I/I3− 28.960.760.513.4743.65[50]
331a:31b: 1:2I/I3− 28.300.740.503.0738.62[50]
431c:31d: 1:1I/I3− 29.020.750.513.4543.40[50]
531c:31d: 2:1I/I3− 29.310.780.513.7046.54[50]
631c:31d: 1:2I/I3− 28.140.750.513.1139.12[50]
731aI/I3− 25.100.550.541.4918.74[50]
831aI/I3− 27.060.740.502.6132.83[50]
931aI/I3− 26.950.730.492.4831.19[50]
1031bI/I3− 25.140.740.491.8623.40[50]
1131bI/I3− 24.680.720.501.6320.50[50]
1231bI/I3− 24.650.700.481.5619.62[50]
1331cI/I3− 25.310.610.501.6120.25[50]
1431cI/I3− 27.320.750.512.8035.22[50]
1531cI/I3− 27.170.730.492.5632.20[50]
1631dI/I3− 25.390.760.502.0525.79[50]
1731dI/I3− 24.860.710.491.7522.01[50]
1831dI/I3− 25.060.730.501.8523.27[50]
19N719I/I3− 213.850.950.607.95 [50]
1 using FTO as conductive oxide, TiO2 as semiconductor, Pt as counter-electrode, and under AM 1.5G-simulated light source (100 mW cm−2) if not differently specified. 2 0.1 M LiI + 0.05 M I2 + 0.5 M TBP in ACN.
Publisher’s Note: MDPI stays neutral with regard to jurisdictional claims in published maps and institutional affiliations.

Share and Cite

MDPI and ACS Style

Mauri, L.; Colombo, A.; Dragonetti, C.; Fagnani, F. A Fascinating Trip into Iron and Copper Dyes for DSSCs. Inorganics 2022, 10, 137. https://doi.org/10.3390/inorganics10090137

AMA Style

Mauri L, Colombo A, Dragonetti C, Fagnani F. A Fascinating Trip into Iron and Copper Dyes for DSSCs. Inorganics. 2022; 10(9):137. https://doi.org/10.3390/inorganics10090137

Chicago/Turabian Style

Mauri, Luca, Alessia Colombo, Claudia Dragonetti, and Francesco Fagnani. 2022. "A Fascinating Trip into Iron and Copper Dyes for DSSCs" Inorganics 10, no. 9: 137. https://doi.org/10.3390/inorganics10090137

APA Style

Mauri, L., Colombo, A., Dragonetti, C., & Fagnani, F. (2022). A Fascinating Trip into Iron and Copper Dyes for DSSCs. Inorganics, 10(9), 137. https://doi.org/10.3390/inorganics10090137

Note that from the first issue of 2016, this journal uses article numbers instead of page numbers. See further details here.

Article Metrics

Back to TopTop