Luminescent Zn Halide Complexes with 2-(2-Aminophenyl)benzothiazole Derivatives
Abstract
:1. Introduction
2. Results and Discussion
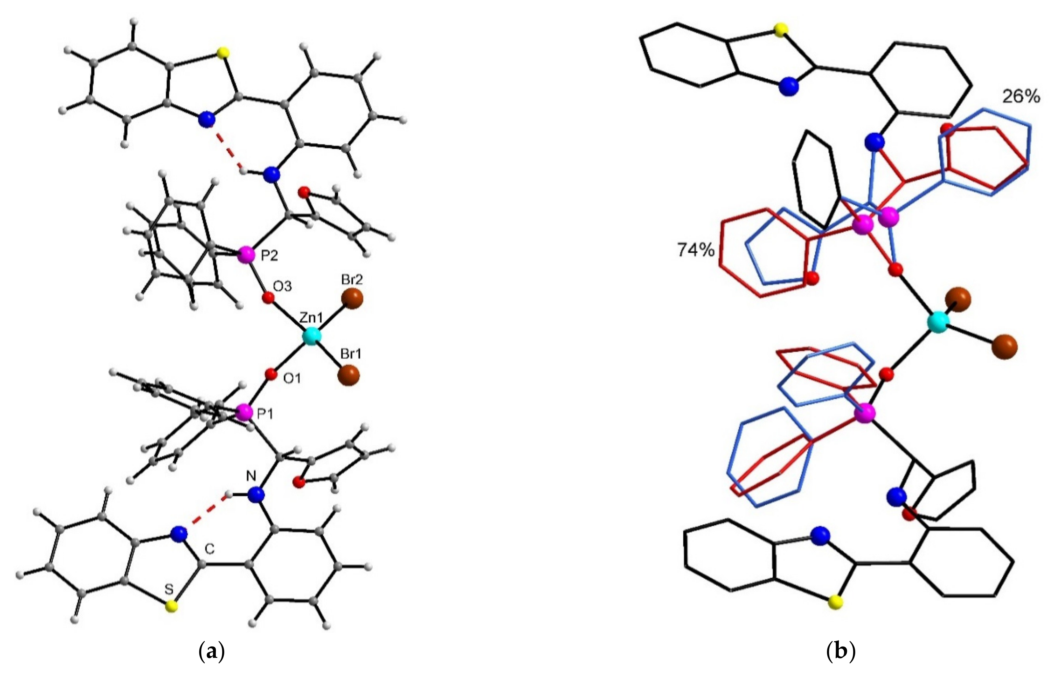
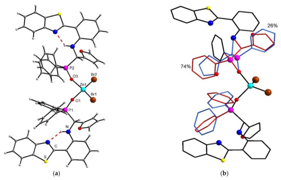
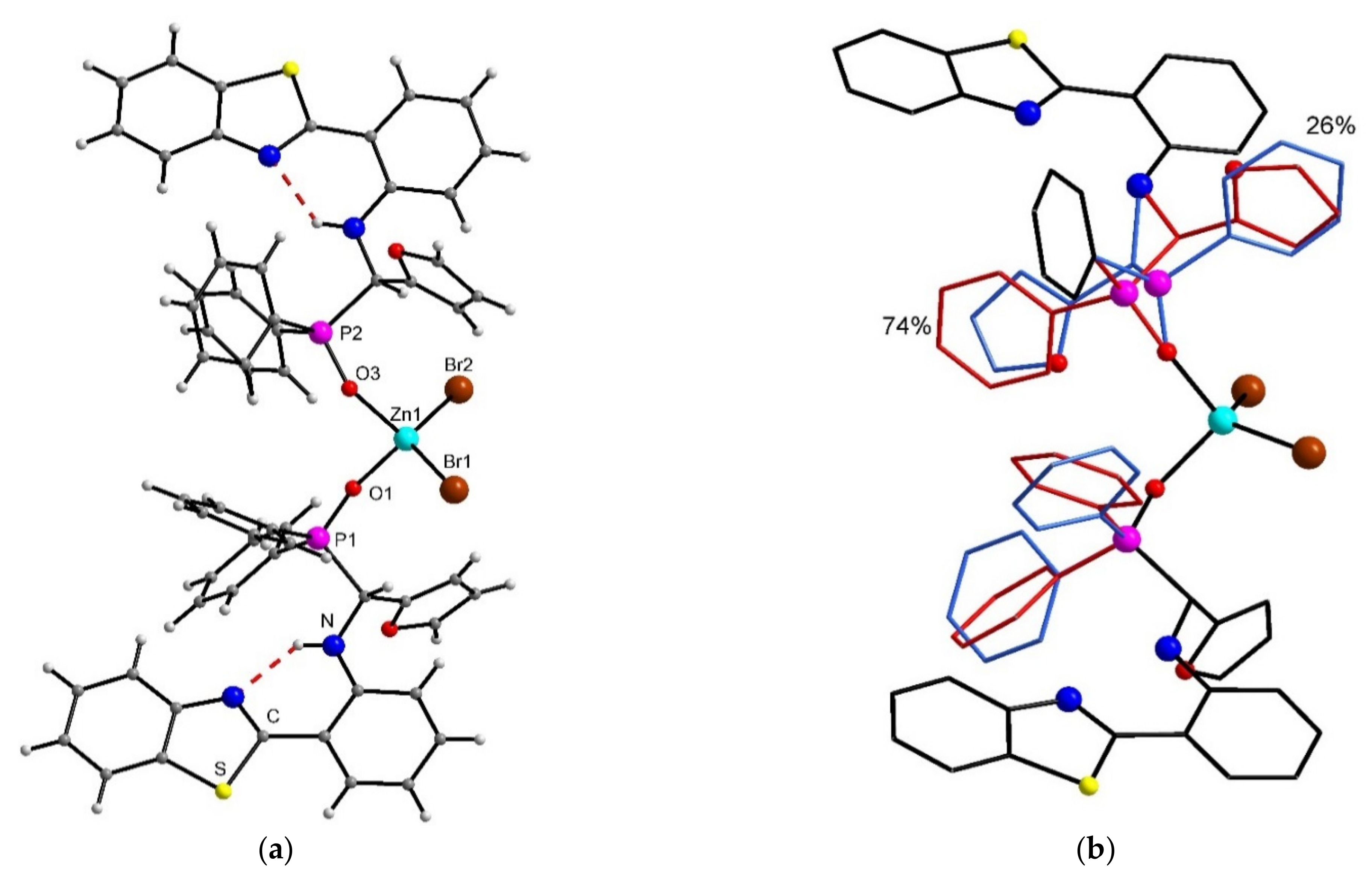
2.1. Syntheses and Crystal Structures
2.2. Photoluminescence Properties
3. Materials and Methods
3.1. General Procedures
3.2. X-ray Data
3.3. Syntheses
3.3.1. Synthesis of PCNH-pbt
3.3.2. Synthesis of [Zn(L)2Hal2] (Hal = Cl, 1; Hal = Br, 2)
3.3.3. Synthesis of [Zn(L’)Hal2] (Hal = Cl, 3; Hal = Br, 4)
4. Conclusions
Supplementary Materials
Author Contributions
Funding
Institutional Review Board Statement
Informed Consent Statement
Data Availability Statement
Acknowledgments
Conflicts of Interest
References
- Kaplunov, M.G.; Krasnikova, S.S.; Nikitenko, S.L.; Yakushchenko, I.K. The Electroluminescence Spectra of Light-Emitting Devices Based on Zinc Complexes of Amino-Substituted Ligands. Mol. Cryst. Liq. Cryst. 2014, 589, 48–55. [Google Scholar] [CrossRef]
- Krasnikova, S.S.; Shestakov, A.F.; Kaplunov, M.G. Experimental and Theoretical Study of Electroluminescence Spectra of the Light-Emitting Devices Based on Zinc Complexes of Amino-Substituted Ligands. Mol. Cryst. Liq. Cryst. 2014, 589, 56–66. [Google Scholar] [CrossRef]
- Bozkurt, S.; Halay, E.; Durmaz, M.; Topkafa, M.; Ceylan, Ö. A novel turn-on fluorometric “reporter-spacer-receptor” chemosensor based on calix [4]arene scaffold for detection of cyanate anion. J. Heterocycl. Chem. 2021, 58, 1079–1088. [Google Scholar] [CrossRef]
- Durmaz, M.; Acikbas, Y.; Bozkurt, S.; Capan, R.; Erdogan, M.; Ozkaya, C. A Novel Calix [4]arene Thiourea Decorated with 2-(2-Aminophenyl)benzothiazole Moiety as Highly Selective Chemical Gas Sensor for Dichloromethane Vapor. ChemistrySelect 2021, 6, 4670–4676. [Google Scholar] [CrossRef]
- Tang, L.; Xia, J.; Zhong, K.; Tang, Y.; Gao, X.; Li, J. A simple AIE-active fluorogen for relay recognition of Cu2+ and pyrophosphate through aggregation-switching strategy. Dye. Pigment. 2020, 178, 108379. [Google Scholar] [CrossRef]
- Pavlov, D.I.; Sukhikh, T.S.; Ryadun, A.A.; Matveevskaya, V.V.; Kovalenko, K.A.; Benassi, E.; Fedin, V.P.; Potapov, A.S. A luminescent 2,1,3-benzoxadiazole-decorated zirconium-organic framework as an exceptionally sensitive turn-on sensor for ammonia and aliphatic amines in water. J. Mater. Chem. C 2022, 10, 5567–5575. [Google Scholar] [CrossRef]
- Yao, Z.-J.; Jin, Y.-X.; Deng, W.; Liu, Z.-J. Synthesis and Optoelectronic Properties of Cationic Iridium(III) Complexes with o-Carborane-Based 2-Phenyl Benzothiazole Ligands. Inorg. Chem. 2021, 60, 2756–2763. [Google Scholar] [CrossRef] [PubMed]
- Tanaka, E.; Mikhailov, M.S.; Gudim, N.S.; Knyazeva, E.A.; Mikhalchenko, L.V.; Robertson, N.; Rakitin, O.A. Structural features of indoline donors in D–A-π-A type organic sensitizers for dye-sensitized solar cells. Mol. Syst. Des. Eng. 2021, 6, 730–738. [Google Scholar] [CrossRef]
- Li, M.-J.; Su, Y.-C.; Liu, G.-L.; Ko, B.-T. Dinuclear Nickel Complexes Using Hexadentate Benzothiazole-Based Diamine-Bisphenolate Ligands: Highly Active Catalysts for Copolymerization of Carbon Dioxide with Epoxides. Inorg. Chem. 2022, 61, 12835–12846. [Google Scholar] [CrossRef]
- Xiong, P.; Hemming, M.; Ivlev, S.I.; Meggers, E. Electrochemical Enantioselective Nucleophilic α-C(sp3)–H Alkenylation of 2-Acyl Imidazoles. J. Am. Chem. Soc. 2022, 144, 6964–6971. [Google Scholar] [CrossRef]
- Sedgwick, A.C.; Wu, L.; Han, H.-H.; Bull, S.D.; He, X.-P.; James, T.D.; Sessler, J.L.; Tang, B.Z.; Tian, H.; Yoon, J. Excited-state intramolecular proton-transfer (ESIPT) based fluorescence sensors and imaging agents. Chem. Soc. Rev. 2018, 47, 8842–8880. [Google Scholar] [CrossRef] [PubMed]
- Durko-Maciag, M.; Jacquemin, D.; Ulrich, G.; Massue, J.; Mysliwiec, J. Color-Tunable Multifunctional Excited-State Intramolecular Proton Transfer Emitter: Stimulated Emission of a Single Dye. Chem. Eur. J. 2022, 28, e202201327. [Google Scholar] [CrossRef]
- Ji, S.; Ding, Z.; Zhao, J.; Zheng, D. Substituent control of dynamical process for excited state intramolecular proton transfer of benzothiazole derivatives. Chem. Phys. 2022, 560, 111568. [Google Scholar] [CrossRef]
- Liu, Z.-Y.; Wei, Y.-C.; Chou, P.-T. Correlation between Kinetics and Thermodynamics for Excited-State Intramolecular Proton Transfer Reactions. J. Phys. Chem. A 2021, 125, 6611–6620. [Google Scholar] [CrossRef] [PubMed]
- Booysen, I.N.; Gerber, T.I.A.; Mayer, P. Reactions of the fac-[Re(CO)3]+ and [ReO]3+ moieties with substituted benzothiazoles. Inorg. Chim. Acta 2010, 363, 1292–1296. [Google Scholar] [CrossRef]
- Machura, B.; Wolff, M.; Gryca, I.; Palion, A.; Michalik, K. Novel Re(I) tricarbonyl complexes of chelating ligands with aromatic N-heterocycle ring and aliphatic amine donor–Synthesis, spectroscopic characterization, X-ray structure and DFT calculations. Polyhedron 2011, 30, 2275–2285. [Google Scholar] [CrossRef]
- Aleksanyan, D.V.; Churusova, S.G.; Brunova, V.V.; Peregudov, A.S.; Shakhov, A.M.; Rybalkina, E.Y.; Klemenkova, Z.S.; Kononova, E.G.; Denisov, G.L.; Kozlov, V.A. Mechanochemistry for the synthesis of non-classical N-metalated palladium(ii) pincer complexes. Dalton Trans. 2021, 50, 16726–16738. [Google Scholar] [CrossRef]
- Machura, B.; Wolff, M.; Gryca, I.; Kruszynski, R. Syntheses, structures, spectroscopic properties and DFT calculations of Re(V)-benzothiazole and 2-(2-aminophenyl)benzothiazole complexes. Polyhedron 2012, 40, 93–104. [Google Scholar] [CrossRef]
- Nikitenko, S.L.; Kaplunov, M.G.; Yakushchenko, I.K.; Echmaev, S.B. Electroluminescence and photovoltaic properties of bis{N-[2-(benzothiazol-2-yl)phenyl]-N-(4-methylphenylsulfonyl)amido}zinc. Russ. Chem. Bull. 2017, 66, 980–985. [Google Scholar] [CrossRef]
- Fang-Lu, F.; Jin-Qiu, J.; Xue-Mei, C. Synthesis, Crystal Structure and Fluorescent Properties of a Novel Benzothiazole-Derived Fluorescent Probe for Zn2+. J. Chem. Res. 2015, 39, 661–664. [Google Scholar] [CrossRef]
- Janakipriya, S.; Tamilmani, S.; Thennarasu, S. A novel 2-(2′-aminophenyl)benzothiazole derivative displays ESIPT and permits selective detection of Zn2+ ions: Experimental and theoretical studies. RSC Adv. 2016, 6, 71496–71500. [Google Scholar] [CrossRef]
- Sukhikh, T.; Kolybalov, D.; Khisamov, R.; Konchenko, S. α-Aminophosphines bearing phenyl-2-benzothiazole: Synthesis, crystal structure and photophysical properties. J. Struct. Chem. 2022, 63, 9, in press. [Google Scholar] [CrossRef]
- Bernstein, J.; Davis, R.E.; Shimoni, L.; Chang, N.-L. Patterns in Hydrogen Bonding: Functionality and Graph Set Analysis in Crystals. Angew. Chem. Int. Ed. Engl. 1995, 34, 1555–1573. [Google Scholar] [CrossRef]
- Khisamov, R.M.; Ryadun, A.A.; Sukhikh, T.S.; Konchenko, S.N. Excitation wavelength-dependent room-temperature phosphorescence: Unusual properties of novel phosphinoamines. Mol. Syst. Des. Eng. 2021, 6, 1056–1065. [Google Scholar] [CrossRef]
- Venkatachalam, T.K.; Pierens, G.K.; Bernhardt, P.V.; Reutens, D.C. Heteronuclear NMR spectroscopic investigations of hydrogen bonding in 2-(benzo[d]thiazole-2′-yl)-N-alkylanilines. Magn. Reson. Chem. 2015, 53, 448–453. [Google Scholar] [CrossRef] [PubMed]
- Padalkar, V.S.; Seki, S. Excited-state intramolecular proton-transfer (ESIPT)-inspired solid state emitters. Chem. Soc. Rev. 2016, 45, 169–202. [Google Scholar] [CrossRef] [PubMed]
- Suzuki, S.; Sasaki, S.; Sairi, A.S.; Iwai, R.; Tang, B.Z.; Konishi, G.-I. Principles of Aggregation-Induced Emission: Design of Deactivation Pathways for Advanced AIEgens and Applications. Angew. Chem. Int. Ed. 2020, 59, 9856–9867. [Google Scholar] [CrossRef]
- Tseng, H.-W.; Liu, J.-Q.; Chen, Y.-A.; Chao, C.-M.; Liu, K.-M.; Chen, C.-L.; Lin, T.-C.; Hung, C.-H.; Chou, Y.-L.; Lin, T.-C.; et al. Harnessing Excited-State Intramolecular Proton-Transfer Reaction via a Series of Amino-Type Hydrogen-Bonding Molecules. J. Phys. Chem. Lett. 2015, 6, 1477–1486. [Google Scholar] [CrossRef]
- Sheldrick, G. SHELXT-Integrated space-group and crystal-structure determination. Acta Crystallogr. Sect. A 2015, 71, 3–8. [Google Scholar] [CrossRef]
- Sheldrick, G.M. Crystal structure refinement with SHELXL. Acta Crystallogr. 2015, C71, 3–8. [Google Scholar] [CrossRef]
- Dolomanov, O.V.; Bourhis, L.J.; Gildea, R.J.; Howard, J.A.K.; Puschmann, H. OLEX2: A complete structure solution, refinement and analysis program. J. Appl. Crystallogr. 2009, 42, 339–341. [Google Scholar] [CrossRef]
- Palanisamy, S.; Lee, W.-Z.; Wang, Y.-M. CCDC 1483661: Experimental Crystal Structure Determination. 2017. Available online: https://doi.org/10.5517/ccdc.csd.cc1lsw19 (accessed on 23 August 2022).





| Identification Code | 2 | 3 | 4 |
|---|---|---|---|
| Empirical formula | C60H46Br2N4O4P2S2Zn | C13H10Cl2N2SZn | C13H10Br2N2SZn |
| Formula weight | 1238.26 | 362.56 | 451.48 |
| Space group | P–1 | P–1 | C2/c |
| a/Å | 11.6873(8) | 7.4267(4) | 22.6928(14) |
| b/Å | 16.2088(11) | 8.8927(4) | 11.1268(7) |
| c/Å | 16.5818(9) | 10.7954(6) | 13.1721(7) |
| α/° | 71.095(2) | 73.608(2) | 90 |
| β/° | 69.613(2) | 82.785(2) | 121.735(2) |
| γ/° | 73.595(2) | 87.943(2) | 90 |
| Volume/Å3 | 2734.2(3) | 678.57(6) | 2828.7(3) |
| Z | 2 | 2 | 8 |
| ρcalc g/cm3 | 1.504 | 1.774 | 2.120 |
| μ/mm−1 | 2.097 | 2.341 | 7.519 |
| F(000) | 1256.0 | 364.0 | 1744.0 |
| 2Θ range for data collection/° | 3.312–54.254 | 4.774–61.22 | 4.22–61.034 |
| Index ranges | −14 ≤ h ≤ 14, −20 ≤ k ≤ 20, −21 ≤ l ≤ 20 | −10 ≤ h ≤ 10, −12 ≤ k ≤ 12, −15 ≤ l ≤ 15 | −32 ≤ h ≤ 32, −15 ≤ k ≤ 15, −18 ≤ l ≤ 18 |
| Reflections collected | 33348 | 8165 | 35468 |
| Independent reflections | 11968 [Rint = 0.0440, Rsigma = 0.0542] | 4129 [Rint = 0.0414, Rsigma = 0.0589] | 4317 [Rint = 0.0459, Rsigma = 0.0267] |
| Data/restraints/parameters | 11968/180/828 | 4129/2/178 | 4317/2/178 |
| Goodness-of-fit on F2 | 1.073 | 1.060 | 1.049 |
| Final R indexes [I >= 2σ (I)] | R1 = 0.0511, wR2 = 0.1063 | R1 = 0.0306, wR2 = 0.0675 | R1 = 0.0234, wR2 = 0.0475 |
| Final R indexes [all data] | R1 = 0.0693, wR2 = 0.1127 | R1 = 0.0398, wR2 = 0.0739 | R1 = 0.0310, wR2 = 0.0506 |
| Largest diff. peak/hole/e Å−3 | 0.90/−0.57 | 0.40/−0.43 | 0.57/−0.47 |
Publisher’s Note: MDPI stays neutral with regard to jurisdictional claims in published maps and institutional affiliations. |
© 2022 by the authors. Licensee MDPI, Basel, Switzerland. This article is an open access article distributed under the terms and conditions of the Creative Commons Attribution (CC BY) license (https://creativecommons.org/licenses/by/4.0/).
Share and Cite
Sukhikh, T.S.; Kolybalov, D.S.; Pylova, E.K.; Konchenko, S.N. Luminescent Zn Halide Complexes with 2-(2-Aminophenyl)benzothiazole Derivatives. Inorganics 2022, 10, 138. https://doi.org/10.3390/inorganics10090138
Sukhikh TS, Kolybalov DS, Pylova EK, Konchenko SN. Luminescent Zn Halide Complexes with 2-(2-Aminophenyl)benzothiazole Derivatives. Inorganics. 2022; 10(9):138. https://doi.org/10.3390/inorganics10090138
Chicago/Turabian StyleSukhikh, Taisiya S., Dmitry S. Kolybalov, Ekaterina K. Pylova, and Sergey N. Konchenko. 2022. "Luminescent Zn Halide Complexes with 2-(2-Aminophenyl)benzothiazole Derivatives" Inorganics 10, no. 9: 138. https://doi.org/10.3390/inorganics10090138
APA StyleSukhikh, T. S., Kolybalov, D. S., Pylova, E. K., & Konchenko, S. N. (2022). Luminescent Zn Halide Complexes with 2-(2-Aminophenyl)benzothiazole Derivatives. Inorganics, 10(9), 138. https://doi.org/10.3390/inorganics10090138

