N-O Ligand Supported Stannylenes: Preparation, Crystal, and Molecular Structures
Abstract
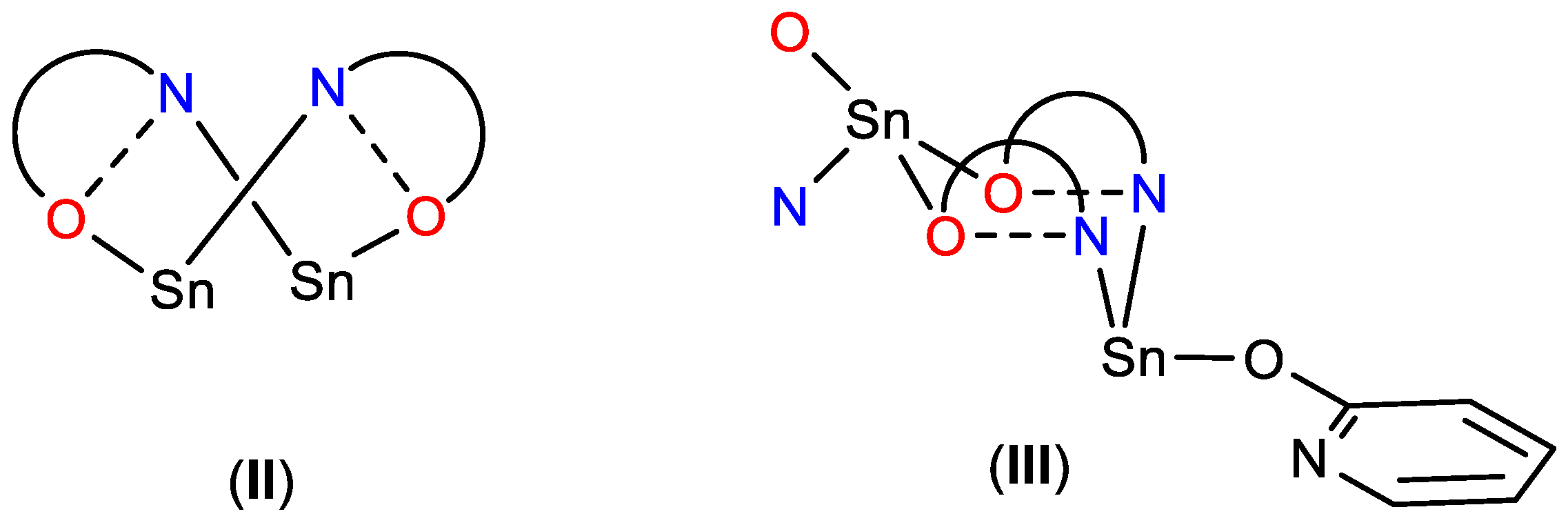
:1. Introduction
2. Synthesis of Tin(II) Complexes
3. Single-Crystal X-ray Diffraction Studies and Molecular Structures of Tin(II) Complexes
4. Experimental Section
5. Conclusions
Supplementary Materials
Author Contributions
Funding
Institutional Review Board Statement
Informed Consent Statement
Data Availability Statement
Acknowledgments
Conflicts of Interest
References
- Lappert, M.; Protchenko, A.; Power, P.; Seeber, A. Subvalent Amides of Silicon and the Group 14 Metals. In Metal Amide Chemistry; John Wiley & Sons Ltd.: Hoboken, NJ, USA, 2008; pp. 263–326. [Google Scholar]
- Mizuhata, Y.; Sasamori, T.; Tokitoh, N. Stable Heavier Carbene Analogues. Chem. Rev. 2009, 109, 3479–3511. [Google Scholar] [CrossRef] [PubMed]
- Lee, V.Y.; Sekiguchi, A. Organometallic Compounds of Low-Coordinate Si, Ge, Sn and Pb: From Phantom Species to Stable Compounds; Wiley: Oxford, UK, 2010. [Google Scholar]
- Dias, H.V.R.; Wang, Z. Germanium-Containing Heterobicyclic 10-π-Electron Ring Systems. Synthesis and Characterization of Neutral and Cationic Germanium(II) Derivatives of Aminotroponiminates. J. Am. Chem. Soc. 1997, 119, 4650–4655. [Google Scholar] [CrossRef]
- Akkari, A.; Byrne, J.J.; Saur, I.; Rima, G.; Gornitzka, H.; Barrau, J. Three coordinate divalent Group 14 element compounds with a β-diketiminate as supporting ligand L2MX [L2=PhNC(Me)CHC(Me)NPh, X = Cl, I; M = Ge, Sn]. J. Organomet. Chem. 2001, 622, 190–198. [Google Scholar] [CrossRef]
- Sen, S.S.; Kritzler-Kosch, M.P.; Nagendran, S.; Roesky, H.W.; Beck, T.; Pal, A.; Herbst-Irmer, R. Synthesis of Monomeric Divalent Tin(II) Compounds with Terminal Chloride, Amide, and Triflate Substituents. Eur. J. Inorg. Chem. 2010, 2010, 5304–5311. [Google Scholar] [CrossRef]
- Zaitsev, K.V.; Cherepakhin, V.S.; Churakov, A.V.; Peregudov, A.S.; Tarasevich, B.N.; Egorov, M.P.; Zaitseva, G.S.; Karlov, S.S. Extending the family of stable heavier carbenes: New tetrylenes based on N,N,O-ligands. Inorg. Chim. Acta 2016, 443, 91–100. [Google Scholar] [CrossRef]
- Ahmet, I.Y.; Hill, M.S.; Raithby, P.R.; Johnson, A.L. Tin guanidinato complexes: Oxidative control of Sn, SnS, SnSe and SnTe thin film deposition. Dalton Trans. 2018, 47, 5031–5048. [Google Scholar] [CrossRef]
- Parish, J.D.; Snook, M.W.; Johnson, A.L.; Kociok-Köhn, G. Synthesis, characterisation and thermal properties of Sn(ii) pyrrolide complexes. Dalton Trans. 2018, 47, 7721–7729. [Google Scholar] [CrossRef]
- Holt, M.S.; Wilson, W.L.; Nelson, J.H. Transition metal-tin chemistry. Chem. Rev. 1989, 89, 11–49. [Google Scholar] [CrossRef]
- Bartolin, J.M.; Kavara, A.; Kampf, J.; Banaszak Holl, M.M. Tin-Mediated CH Activation and Cross-Coupling in a Single Flask. Organometallics 2006, 25, 4738–4740. [Google Scholar] [CrossRef]
- Summerscales, O.T.; Caputo, C.A.; Knapp, C.E.; Fettinger, J.C.; Power, P.P. The Role of Group 14 Element Hydrides in the Activation of C–H Bonds in Cyclic Olefins. J. Am. Chem. Soc. 2012, 134, 14595–14603. [Google Scholar] [CrossRef]
- Lai, T.Y.; Fettinger, J.C.; Power, P.P. Facile C–H Bond Metathesis Mediated by a Stannylene. J. Am. Chem. Soc. 2018, 140, 5674–5677. [Google Scholar] [CrossRef] [PubMed]
- Padělková, Z.; Nechaev, M.S.; Lyčka, A.; Holubová, J.; Zevaco, T.A.; Růžička, A. Reactivity of C,N-Chelated Stannylene with Azobenzene. Eur. J. Inorg. Chem. 2009, 2009, 2058–2061. [Google Scholar] [CrossRef]
- Mandal, S.K.; Roesky, H.W. Group 14 Hydrides with Low Valent Elements for Activation of Small Molecules. Acc. Chem. Res. 2011, 45, 298–307. [Google Scholar] [CrossRef]
- Stewart, C.A.; Dickie, D.A.; Moasser, B.; Kemp, R.A. Reactions of CO2 and related heteroallenes with CF3-substituted aromatic silylamines of tin. Polyhedron 2012, 32, 14–23. [Google Scholar] [CrossRef]
- Padělková, Z.; Švec, P.; Pejchal, V.; Růžička, A. Activation of E–Cl bonds (E = C, Si, Ge and Sn) by a C,N-chelated stannylene. Dalton Trans. 2013, 42, 7660–7671. [Google Scholar] [CrossRef] [PubMed]
- Wildsmith, T.; Hill, M.S.; Johnson, A.L.; Kingsley, A.J.; Molloy, K.C. Exclusive formation of SnO by low temperature single-source AACVD. Chem. Commun. 2013, 49, 8773–8775. [Google Scholar] [CrossRef]
- Chu, T.; Nikonov, G.I. Oxidative Addition and Reductive Elimination at Main-Group Element Centers. Chem. Rev. 2018, 118, 3608–3680. [Google Scholar] [CrossRef]
- Hadlington, T.J.; Driess, M.; Jones, C. Low-valent group 14 element hydride chemistry: Towards catalysis. Chem. Soc. Rev. 2018, 47, 4176–4197. [Google Scholar] [CrossRef]
- Dove, A.P.; Gibson, V.C.; Marshall, E.L.; White, A.J.P.; Williams, D.J. A well defined tin(ii) initiator for the living polymerisation of lactide. Chem. Commun. 2001, 2001, 283–284. [Google Scholar] [CrossRef]
- Kim, S.B.; Sinsermsuksakul, P.; Hock, A.S.; Pike, R.D.; Gordon, R.G. Synthesis of N-Heterocyclic Stannylene (Sn(II)) and Germylene (Ge(II)) and a Sn(II) Amidinate and Their Application as Precursors for Atomic Layer Deposition. Chem. Mater. 2014, 26, 3065–3073. [Google Scholar] [CrossRef]
- Catherall, A.L.; Harris, S.; Hill, M.S.; Johnson, A.L.; Mahon, M.F. Deposition of SnS Thin Films from Sn(II) Thioamidate Precursors. Cryst. Growth Des. 2017, 17, 5544–5551. [Google Scholar] [CrossRef]
- Kim, H.-S.; Jung, E.A.; Han, S.H.; Han, J.H.; Park, B.K.; Kim, C.G.; Chung, T.-M. Germanium Compounds Containing Ge═E Double Bonds (E = S, Se, Te) as Single-Source Precursors for Germanium Chalcogenide Materials. Inorg. Chem. 2017, 56, 4084–4092. [Google Scholar] [CrossRef]
- Ahmet, I.Y.; Thompson, J.R.; Johnson, A.L. Oxidative Addition to Sn(II) Guanidinate Complexes: Precursors to Tin(II) Chalcogenide Nanocrystals. Eur. J. Inorg. Chem. 2018, 2018, 1670–1678. [Google Scholar] [CrossRef]
- Park, J.-H.; Kang, S.G.; Lee, Y.K.; Chung, T.-M.; Park, B.K.; Kim, C.G. Tin(II) Aminothiolate and Tin(IV) Aminothiolate Selenide Compounds as Single-Source Precursors for Tin Chalcogenide Materials. Inorg. Chem. 2020, 59, 3513–3517. [Google Scholar] [CrossRef]
- Foley, S.R.; Yap, G.P.A.; Richeson, D.S. Oxidative addition to M(II) (M = Ge, Sn) amidinate complexes: Routes to group 14 chalcogenolates with hypervalent coordination environments. J. Chem. Soc. Dalton Trans. 2000, 2000, 1663–1668. [Google Scholar] [CrossRef]
- Nimitsiriwat, N.; Gibson, V.C.; Marshall, E.L.; White, A.J.P.; Dale, S.H.; Elsegood, M.R.J. Tert-butylamidinate tin(ii) complexes: High activity, single-site initiators for the controlled production of polylactide. Dalton Trans. 2007, 2007, 4464–4471. [Google Scholar] [CrossRef]
- Chlupatý, T.; Růžičková, Z.; Horáček, M.; Alonso, M.; De Proft, F.; Kampová, H.; Brus, J.; Růžička, A. Oxidative Additions of Homoleptic Tin(II) Amidinate. Organometallics 2015, 34, 606–615. [Google Scholar] [CrossRef]
- Chlupatý, T.; Padělková, Z.; DeProft, F.; Willem, R.; Růžička, A. Addition of Lappert’s Stannylenes to Carbodiimides, Providing a New Class of Tin(II) Guanidinates. Organometallics 2012, 31, 2203–2211. [Google Scholar] [CrossRef]
- Barman, M.K.; Baishya, A.; Peddarao, T.; Nembenna, S. Guanidinate stabilized germanium(II) and tin(II) amide complexes and their catalytic activity for aryl isocyanate cyclization. J. Organomet. Chem. 2014, 772–773, 265–270. [Google Scholar] [CrossRef]
- Chlupatý, T.; Růžičková, Z.; Horáček, M.; Merna, J.; Alonso, M.; De Proft, F.; Růžička, A. Reactivity of Tin(II) Guanidinate with 1,2- and 1,3-Diones: Oxidative Cycloaddition or Ligand Substitution? Organometallics 2014, 34, 2202–2211. [Google Scholar] [CrossRef]
- Ungpittagul, T.; Wongmahasirikun, P.; Phomphrai, K. Synthesis and characterization of guanidinate tin(ii) complexes for ring-opening polymerization of cyclic esters. Dalton Trans. 2020, 49, 8460–8471. [Google Scholar] [CrossRef] [PubMed]
- Dove, A.P.; Gibson, V.C.; Marshall, E.L.; Rzepa, H.S.; White, A.J.P.; Williams, D.J. Synthetic, Structural, Mechanistic, and Computational Studies on Single-Site β-Diketiminate Tin(II) Initiators for the Polymerization ofrac-Lactide. J. Am. Chem. Soc. 2006, 128, 9834–9843. [Google Scholar] [CrossRef] [PubMed]
- Jana, A.; Roesky, H.W.; Schulzke, C. Hydrostannylation of Ketones and Alkynes with LSnH [L = HC(CMeNAr)2, Ar = 2,6-iPr2C6H3]. Inorg. Chem. 2009, 48, 9543–9548. [Google Scholar] [CrossRef] [PubMed]
- Jana, A.; Objartel, I.; Roesky, H.W.; Stalke, D. Reaction of β-diketiminate tin(ii) dimethylamide LSnNMe2 [L = HC(CMeNAr)2; Ar = 2,6-iPr2C6H3] with ketones and alkynes. Dalton Trans. 2010, 39, 4647–4650. [Google Scholar] [CrossRef] [PubMed]
- Harris, L.A.M.; Coles, M.P.; Fulton, J.R. Synthesis and reactivity of tin amide complexes. Inorg. Chim. Acta 2011, 369, 97–102. [Google Scholar] [CrossRef]
- Taylor, M.J.; Saunders, A.J.; Coles, M.P.; Fulton, J.R. Low-Coordinate Tin and Lead Cations. Organometallics 2011, 30, 1334–1339. [Google Scholar] [CrossRef]
- Harris, L.A.M.; Tam, E.C.Y.; Coles, M.P.; Fulton, J.R. Lead and tin β-diketiminato amido/anilido complexes: Competitive nucleophilic reactivity at the β-diketiminato γ-carbon. Dalton Trans. 2014, 43, 13803–13814. [Google Scholar] [CrossRef]
- Zemlyansky, N.N.; Borisova, I.V.; Kuznetsova, M.G.; Khrustalev, V.N.; Ustynyuk, Y.A.; Nechaev, M.S.; Lunin, V.V.; Barrau, J.; Rima, G. New stable germylenes, stannylenes, and related compounds. 1. Stable germanium(II) and tin(II) compounds M(OCH2CH2NMe2)(2) (M = Ge, Sn) with intramolecular coordination metal-nitrogen bonds. Synthesis and structure. Organometallics 2003, 22, 1675–1681. [Google Scholar] [CrossRef]
- Khrustalev, V.N.; Portnyagin, I.A.; Zemlyansky, N.N.; Borisova, I.V.; Nechaev, M.S.; Ustynyuk, Y.A.; Antipin, M.Y.; Lunin, V. New stable germylenes, stannylenes, and related compounds 6. Heteroleptic germanium(II) and tin(II) compounds [(SiMe3)(2)N-E-14-OCH(2)CH(2)NMe2](n) (E-14 = Ge, n = 1; Sn, n = 2): Synthesis and structure. J. Organomet. Chem. 2005, 690, 1172–1177. [Google Scholar] [CrossRef]
- Khrustalev, V.N.; Portnyagin, I.A.; Zemlyansky, N.N.; Borisova, I.V.; Ustynyuk, Y.A.; Antipin, M.Y. New stable germylenes, stannylenes, and related compounds. 5. Germanium(II) and tin(II) azides [N-3-E-14-OCH2CH2NMe2](2) (E-14 = Ge, Sn): Synthesis and structure. J. Organomet. Chem. 2005, 690, 1056–1062. [Google Scholar] [CrossRef]
- Hollingsworth, N.; Horley, G.A.; Mazhar, M.; Mahon, M.F.; Molloy, K.C.; Haycock, P.W.; Myers, C.P.; Critchlow, G.W. Tin(II) aminoalkoxides and heterobimetallic derivatives: The structures of Sn6(O)4(dmae)4, Sn6(O)4(OEt)4 and [Sn(dmae)2Cd(acac)2]2. Appl. Organomet. Chem. 2006, 20, 687–695. [Google Scholar] [CrossRef]
- Khrustalev, V.N.; Glukhov, I.V.; Borisova, I.V.; Zemlyansky, N.N. New stable germylenes, stannylenes, and related compounds. 8. Amidogermanium(II) and -tin(II) chlorides R2N-E-14-Cl (E-14 = Ge, R = Et; E-14 = Sn, R = Me) revealing new structural motifs. Appl. Organomet. Chem. 2007, 21, 551–556. [Google Scholar] [CrossRef]
- Khrustalev, V.N.; Zemlyansky, N.N.; Borisova, I.V.; Kuznetsova, M.G.; Krut’ko, E.B.; Antipin, M.Y. New stable germylenes, stannylenes, and related compounds 7.* Synthesis and structures of compounds. Russ. Chem. Bull. 2007, 56, 267–270. [Google Scholar] [CrossRef]
- Aysin, R.R.; Leites, L.A.; Bukalov, S.S.; Khrustalev, V.N.; Borisova, I.V.; Zemlyanskii, N.N.; Smirnov, A.Y.; Nechaev, M.S. Vibrational spectra and structural features of carbene analogs El(II)(OCH2CH2NMe2)(2) and ClEl(II)OCH(2)CH(2)NMe(2) (El(II) = Ge, Sn, Pb). Russ. Chem. Bull. 2011, 60, 69–80. [Google Scholar] [CrossRef]
- Han, J.H.; Chung, Y.J.; Park, B.K.; Kim, S.K.; Kim, H.-S.; Kim, C.G.; Chung, T.-M. Growth of p-Type Tin(II) Monoxide Thin Films by Atomic Layer Deposition from Bis(1-dimethylamino-2-methyl-2propoxy)tin and H2O. Chem. Mater. 2014, 26, 6088–6091. [Google Scholar] [CrossRef]
- Han, S.H.; Jung, E.A.; Lee, J.H.; Kim, D.H.; Lee, G.Y.; Park, B.K.; Kim, C.G.; Son, S.U.; Chung, T.M. Synthesis and Structure of Novel Tin Complexes Containing Aminoalkoxide Ligands. ChemistrySelect 2018, 3, 7836–7839. [Google Scholar] [CrossRef]
- Wang, L.; Kefalidis, C.E.; Roisnel, T.; Sinbandhit, S.; Maron, L.; Carpentier, J.-F.; Sarazin, Y. Structure vs. 119Sn NMR Chemical Shift in Three-Coordinated Tin(II) Complexes: Experimental Data and Predictive DFT Computations. Organometallics 2014, 34, 2139–2150. [Google Scholar] [CrossRef]
- Alvarez-Rodriguez, L.; Cabeza, J.A.; Garcia-Alvarez, P.; Polo, D. Organic Amides as Suitable Precursors to Stabilize Stannylenes. Organometallics 2013, 32, 3557–3561. [Google Scholar] [CrossRef]
- Nimitsiriwat, N.; Gibson, V.C.; Marshall, E.L.; Elsegood, M.R.J. The Reversible Amination of Tin(II)-Ligated Imines: Latent Initiators for the Polymerization ofrac-Lactide. Inorg. Chem. 2008, 47, 5417–5424. [Google Scholar] [CrossRef]
- Nimitsiriwat, N.; Gibson, V.C.; Marshall, E.L.; Elsegood, M.R.J. Bidentate salicylaldiminato tin(ii) complexes and their use as lactide polymerisation initiators. Dalton Trans. 2009, 2009, 3710–3715. [Google Scholar] [CrossRef]
- Piromjitpong, P.; Ratanapanee, P.; Thumrongpatanaraks, W.; Kongsaeree, P.; Phomphrai, K. Synthesis of cyclic polylactide catalysed by bis(salicylaldiminato)tin(ii) complexes. Dalton Trans. 2012, 41, 12704–12710. [Google Scholar] [CrossRef] [PubMed]
- Kao, H.-M.; Ho, S.-M.; Chen, I.C.; Kuo, P.-C.; Lin, C.-Y.; Tu, C.-Y.; Hu, C.-H.; Huang, J.-H.; Lee, G.-H. Synthesis and structures of three, four, and six-coordinate monomeric tin(II) and tin(IV) compounds containing η2-ketiminate ligands. Inorg. Chim. Acta 2008, 361, 2792–2798. [Google Scholar] [CrossRef]
- Morrison, J.S.; Haendler, H.M. Some reactions of tin(II) chloride in nonaqueous solution. J. Inorg. Nucl. Chem. 1967, 29, 393–400. [Google Scholar] [CrossRef]
- Sister, M.A.D.; Brother, C.C. Moessbauer and infrared spectra of some tin(II) complexes. Inorg. Chim. Acta 1969, 3, 169–173. [Google Scholar] [CrossRef]
- Bhide, S.N.; Umapathy, P.; Sen, D.N. Oxidative addition reactions of tin(II) oxinates. J. Indian Chem. Soc. 1977, 54, 851–856. [Google Scholar]
- Bhide, S.N.; Umapathy, P.; Gupta, M.P.; Sen, D.N. Tin-119 Moessbauer spectral studies in organotin(IV) and tin(II) substituted oxinates. J. Inorg. Nucl. Chem. 1978, 40, 1003–1007. [Google Scholar] [CrossRef]
- Umapathy, P.; Badrinarayanan, S.; Sinha, A.P.B. An ESCA study of tin(IV) and tin(II) chelates with substituted 8-quinolinols. J. Electron Spectrosc. Relat. Phenom. 1983, 28, 261–266. [Google Scholar] [CrossRef]
- Uddin, M.J.; Islam, S.; Islam, M.A.; Begum, F.; Haider, S.Z. Synthesis, characterization and antimicrobial properties of some heavy metal oxinates. J. Bangladesh Chem. Soc. 1995, 8, 7–16. [Google Scholar]
- Kitamura, C.; Maeda, N.; Kamada, N.; Ouchi, M.; Yoneda, A. Synthesis of 2-(substituted methyl)quinolin-8-ols and their complexation with Sn(II). J. Chem. Soc. Perkin Trans. 1 2000, 2000, 781–785. [Google Scholar] [CrossRef]
- El-Sonbati, A.Z.; El-Bindary, A.A. Stereochemistry of new nitrogen containing aldehydes. V. Novel synthesis and spectroscopic studies of some quinoline Schiff bases complexes. Pol. J. Chem. 2000, 74, 621–630. [Google Scholar]
- Yoneda, A.; Ohfuchi, S.; Hoshimoto, A.; Kitamura, C. Synthesis and characterization of 2-vinylene-8-quinolinols using the Witting reaction. Kenkyu Hokoku Himeji Kogyo Daigaku Kogakubu 2002, 54, 60–67. [Google Scholar]
- Kitamura, C.; Yoneda, A.; Sugiura, K.; Sakata, Y. Bis(2-methyl-8-quinolinolato-N,O)tin(II). Acta Crystallogr. Sect. C Cryst. Struct. Commun. 1999, 55, 876–878. [Google Scholar] [CrossRef]
- Rawson, J.M.; Winpenny, R.E.P. The coordination chemistry of 2-pyridone and its derivatives. Coord. Chem. Rev. 1995, 139, 313–374. [Google Scholar] [CrossRef]
- Parsons, S.; Winpenny, R.E.P. Structural Chemistry of Pyridonate Complexes of Late 3d-Metals. Acc. Chem. Res. 1997, 30, 89–95. [Google Scholar] [CrossRef]
- Albrecht, M.; Fiege, M.; Osetska, O. 8-Hydroxyquinolines in metallosupramolecular chemistry. Coord. Chem. Rev. 2008, 252, 812–824. [Google Scholar] [CrossRef]
- Dolomanov, O.V.; Bourhis, L.J.; Gildea, R.J.; Howard, J.A.K.; Puschmann, H. OLEX2: A complete structure solution, refinement and analysis program. J. Appl. Crystallogr. 2009, 42, 339–341. [Google Scholar] [CrossRef]
- Drover, M.W.; Love, J.A.; Schafer, L.L. 1,3-N,O-Complexes of late transition metals. Ligands with flexible bonding modes and reaction profiles. Chem. Soc. Rev. 2017, 46, 2913–2940. [Google Scholar] [CrossRef]
- Francis, J.A.; Bott, S.G.; Barron, A.R. Aluminium compounds containing bidentate ligands: Chelate ring size and rigid conformation effects. J. Chem. Soc. Dalton Trans. 1998, 19, 3305–3310. [Google Scholar] [CrossRef]
- Bashall, A.; Beswick, M.A.; Feeder, N.; Hopkins, A.D.; Kidd, S.J.; McPartlin, M.; Raithby, P.R.; Wright, D.S. Reactions of the spiro monoanion [{(Me2N)Sb(μ-NCy)2}2Sb]− with alcohols and thiols (REH; E = O or S); syntheses of nido-[Sb3(μ-NCy)3(μ3-NCy)(ER)2] anions and the unique antimony(III) imido cubane [(2-NC5H4O)Sb(μ3-NCy)]4 (Cy = cyclohexyl). J. Chem. Soc. Dalton Trans. 2000, 12, 1841–1847. [Google Scholar] [CrossRef]
- Bickley, J.F.; Bond, A.D.; García, F.; Jantos, K.; Lawson, G.T.; McPartlin, M.; Steiner, A.; Wright, D.S. Syntheses and structures of the cubanes [PhOSb(µ3-NCy)]4and [pyOBi(µ3-NCy)]4(Cy = cyclohexyl, py = 2-pyridyl). J. Chem. Soc. Dalton Trans. 2002, 24, 4629–4633. [Google Scholar] [CrossRef]
- She, J.-B.; Zhang, G.-F.; Zhao, F.-Q.; Lei, Z.-L.; Fan, X.-Z. The first two structurally characterized energetic catalysts derived from dinitropyridone. Struct. Chem. 2007, 18, 373–378. [Google Scholar] [CrossRef]
- Sunderland, T.L.; Berry, J.F. The first bismuth(II)–rhodium(II) oxypyridinate paddlewheel complexes: Synthesis and structural characterization. J. Coord. Chem. 2016, 69, 1949–1956. [Google Scholar] [CrossRef]
- Brewster, T.P.; Nguyen, T.H.; Li, Z.; Eckenhoff, W.T.; Schley, N.D.; DeYonker, N.J. Synthesis and Characterization of Heterobimetallic Iridium–Aluminum and Rhodium–Aluminum Complexes. Inorg. Chem. 2018, 57, 1148–1157. [Google Scholar] [CrossRef] [PubMed]
- Neufeld, R.; Stalke, D. Accurate molecular weight determination of small molecules via DOSY-NMR by using external calibration curves with normalized diffusion coefficients. Chem. Sci. 2015, 6, 3354–3364. [Google Scholar] [CrossRef] [PubMed] [Green Version]
- Bachmann, S.; Gernert, B.; Stalke, D. Solution structures of alkali metal cyclopentadienides in THF estimated by ECC-DOSY NMR-spectroscopy (incl. software). Chem. Commun. 2016, 52, 12861–12864. [Google Scholar] [CrossRef]
- Kreyenschmidt, A.-K.; Bachmann, S.; Niklas, T.; Stalke, D. Molecular Weight Estimation of Molecules Incorporating Heavier Elements from van-der-Waals Corrected ECC-DOSY. ChemistrySelect 2017, 2, 6957–6960. [Google Scholar] [CrossRef]
- Chisholm, M.H.; Clark, D.L.; Hampden-Smith, M.J. Hexaisopropoxyditungsten and dodecaisopropoxytetratungsten: W2(O-i-Pr)6 and W4(O-i-Pr)12. 2. Studies of cluster dynamics and the equilibrium between the 12-electron cluster and two metal-metal triple bonds. A symmetry-allowed [.pi.s2 + .pi.s2] cycloaddition reaction and comparisons with the chemistry of cyclobutadiene. J. Am. Chem. Soc. 2002, 111, 574–586. [Google Scholar] [CrossRef]
- Boyle, T.J.; Alam, T.M.; Rodriguez, M.A.; Zechmann, C.A. Hydrolysis of Tin(II) Neo-pentoxide: Syntheses, Characterization, and X-ray Structures of [Sn(ONep)2]∞, Sn5(μ3-O)2(μ-ONep)6, and Sn6(μ3-O)4(μ-ONep)4 Where ONep = OCH2CMe3. Inorg. Chem. 2002, 41, 2574–2582. [Google Scholar] [CrossRef]
- Wang, L.; Kefalidis, C.E.; Sinbandhit, S.; Dorcet, V.; Carpentier, J.-F.; Maron, L.; Sarazin, Y. Heteroleptic Tin(II) Initiators for the Ring-Opening (Co)Polymerization of Lactide and Trimethylene Carbonate: Mechanistic Insights from Experiments and Computations. Chem.—A Eur. J. 2013, 19, 13463–13478. [Google Scholar] [CrossRef]
- Wiederkehr, J.; Wölper, C.; Schulz, S. Synthesis, solid-state structures and reduction reactions of heteroleptic Ge(II) and Sn(II) β-ketoiminate complexes. Z. Für Nat. B 2017, 72, 813–820. [Google Scholar] [CrossRef]
- Hitchcock, P.B.; Lappert, M.F.; Lawless, G.A.; de Lima, G.M.; Pierssens, L.J.M. Synthesis and structural characterisation of bis(trimethylsilyl)amidotin(II) triflate [{Sn(NR2)-(mu-eta(2)-OTf)(2)}](infinity) (R = SiMe3, -OTf = -OSO2CF3). J. Organomet. Chem. 2000, 601, 142–146. [Google Scholar] [CrossRef]
- Yao, Z.-F.; Wang, J.-Y.; Pei, J. Control of π–π Stacking via Crystal Engineering in Organic Conjugated Small Molecule Crystals. Cryst. Growth Des. 2017, 18, 7–15. [Google Scholar] [CrossRef]
- Cheng, Y.F.; Emge, T.J.; Brennan, J.G. Pyridineselenolate complexes of tin and lead: Sn(2-SeNC5H4)(2), Sn(2-SeNC5H4)(4), Pb(2-SeNC5H4)(2), and Pb(3-Me(3)Si-2-SeNC5H3)(2). Volatile CVD precursors to group IV group VI semiconductors. Inorg. Chem. 1996, 35, 342–346. [Google Scholar] [CrossRef] [PubMed]
- Dickie, D.A.; Lee, P.T.K.; Labeodan, O.A.; Schatte, G.; Weinberg, N.; Lewis, A.R.; Bernard, G.M.; Wasylishen, R.E.; Clyburne, J.A.C. Flexible coordination of the carboxylate ligand in tin(ii) amides and a 1,3-diaza-2,4-distannacyclobutanediyl. Dalton Trans. 2007, 27, 2862–2869. [Google Scholar] [CrossRef] [PubMed]
- Wächtler, E.; Gericke, R.; Kutter, S.; Brendler, E.; Wagler, J. Molecular structures of pyridinethiolato complexes of Sn(II), Sn(IV), Ge(IV), and Si(IV). Main Group Metal. Chem. 2013, 36, 181–191. [Google Scholar] [CrossRef]
- Barbul, I.; Johnson, A.L.; Kociok-Köhn, G.; Molloy, K.C.; Silvestru, C.; Sudlow, A.L. The Reaction and Materials Chemistry of [Sn6(O)4(OSiMe3)4]: Chemical Vapour Deposition of Tin Oxide. ChemPlusChem 2013, 78, 866–874. [Google Scholar] [CrossRef]
- Schiemenz, B.; Ettel, F.; Huttner, G.; Zsolnai, L. Metallorganische schutzgruppen für den aufbau ungewöhnlicher zinn-chalkogen-käfigverbindungen: Thiostannat(II) Sn3S42− und “Zinnoxidhydrat” Sn6(μ3-OH)4(μ3-O)4 als Liganden in RCp(CO)2Mn-Komplexen. J. Organomet. Chem. 1993, 458, 159–166. [Google Scholar] [CrossRef]
- Sita, L.R.; Xi, R.; Yap, G.P.A.; Liable-Sands, L.M.; Rheingold, A.L. High Yield Synthesis and Characterization of Sn6(μ3-O)4(μ3-OSiMe3)4: A Novel Main Group Cluster for the Support of Multiple Transition Metal Centers. J. Am. Chem. Soc. 1997, 119, 756–760. [Google Scholar] [CrossRef]
- Kircher, P.; Huttner, G.; Zsolnai, L.; Driess, A. Partially Oxidized Zintl Ions? The Characterization of [(μ3-OH)(μ3-O)3(OEt)3{(CO)5W}7Sn7]2−. Angew. Chem. Int. Ed. 1998, 37, 1666–1668. [Google Scholar] [CrossRef]
- Mertens, L.; Leonhardt, C.; Rüffer, T.; Toma, A.; Silvestru, C.; Mehring, M. Heterobimetallic tin(II) oxido clusters of the type [{Sn 6 (μ 3 -O) 4 (μ 3 -OCH 2 R) 4 } {W(CO) 5} 4] and [{Sn 5 (μ 3 -O) 2 (μ-OCH 2 R) 4 (μ 3 -OCH 2 R) 2}{Fe(CO) 4} 2]. J. Organomet. Chem. 2016, 821, 206–213. [Google Scholar] [CrossRef]
- Freidzon, A.Y.; Safonov, A.A.; Bagaturyants, A.A. Theoretical Study of the Spectral and Charge-Transport Parameters of an Electron-Transporting Material Bis(10-hydroxybenzo[h]qinolinato)beryllium (Bebq2). J. Phys. Chem. C 2015, 119, 26817–26827. [Google Scholar] [CrossRef]
- Wu, X.S.; Sun, H.S.; Pan, Y.; Chen, H.B.; Sun, X.Z. The reaction of metal trialkyls with benzo[H]quinolin-10-ol. Chin. Chem. Lett. 1999, 10, 875–878. [Google Scholar]
- Fjeldberg, T.; Hope, H.k.; Lappert, M.F.; Power, P.P.; Thorne, A.J. Molecular structures of the main group 4 metal(II) bis(trimethylsilyl)-amides M[N(SiMe3)2]2 in the crystal (X-ray) and vapour (gas-phase electron diffraction). J. Chem. Soc. Chem. Commun. 1983, 11, 639–641. [Google Scholar] [CrossRef]














| Temp (K) | D (m2s−1) | RHyd-cal (Å) | Vcal (Å3) |
|---|---|---|---|
| 298 | 7.974 × 10−10 | 4.93 | 503 |
| 308 | 9.416 × 10−10 | 4.85 | 477 |
| 318 | 1.116 × 10−9 | 4.70 | 436 |
| 328 | 1.310 × 10−9 | 4.57 | 400 |
| 338 | 1.538 × 10−9 | 4.41 | 360 |
| 348 | 1.750 × 10−9 | 4.37 | 350 |
| Selected Bond Lengths (Å) | Selected Bond Angles (°) | ||
|---|---|---|---|
| Sn(1)-N(1) | 2.1009(16) | N(1)-Sn(1)-N(2)# | 90.30(7) |
| Sn(2)-N(3) | 2.1064(16) | N(1)-Sn(1)-O(1) | 93.36(6) |
| O(1)-Sn(1)-N(2)# | 90.72(6) | ||
| Sn(1)-O(1) | 2.1491(14) | ||
| Sn(2)-O(2) | 2.1434(15) | N(3)-Sn(2)-N(4)# | 90.08(7) |
| N(3)-Sn(2)-O(2) | 92.91(6) | ||
| Sn(1)-N(2) | 2.2751(19) | O(2)-Sn(2)-N(4)# | 92.46(6) |
| Sn(2)-N(4) | 2.2590(19) | ||
| C(1)-O(1) | 1.302(3) | O(1)-C(1)-N(2) | 116.7(2) |
| C(1)-N(2) | 1.355(3) | O(2)-C(21)-N(4) | 116.6(2) |
| C(21)-O(2) | 1.302(3) | ||
| C(21)-N(4) | 1.351(3) | O(1)-C(1)-N(2)-Sn(1)# | 3.2(2) |
| O(2)-C(21)-N(4)-Sn(2)# | 3.0(2) | ||
| Selected Bond Lengths (Å) | Selected Bond Angles (°) | ||
|---|---|---|---|
| Sn(1)-O(1) | 2.135(3) | N(2)-Sn(1)-N(3) | 86.64(13) |
| Sn(1)-N(2) | 2.239(4) | O(1)-Sn(1)-N(2) | 87.04(14) |
| Sn(1)-N(3) | 2.337(4) | O(1)-Sn(1)-N(3) | 79.58(13) |
| Sn(2)-O(2) | 2.370(3) | O(2)-Sn(2)-O(4) | 157.89(13) |
| Sn(2)-O(3) | 2.142(3) | O(3)-Sn(2)-N(4)# | 83.40(14) |
| Sn(2)-O(4) | 2.263(3) | O(2)-Sn(2)-O(3) | 78.57(12) |
| Sn(2)-N(4)# | 2.230(4) | O(2)-Sn(2)-N(4)# | 78.58(13) |
| O(3)-Sn(2)-O(4) | 86.85(12) | ||
| O(1)-C(1) | 1.322(5) | O(4)-Sn(2)-N(4)# | 83.35(12) |
| C(1)-N(1) | 1.333(6) | O(1)-C(1)-N(1) | 116.5(4) |
| O(2)-C(21) | 1.289(6) | O(2)-C(21)-N(2) | 116.1(4) |
| C(21)-N(2) | 1.357(6) | O(3)-C(31)-N(3) | 116.6(4) |
| O(3)-C(31) | 1.310(6) | O(4)-C(41)-N(4) | 116.4(4) |
| C(31)-N(3) | 1.347(6) | Sn(1)-O(1)-C(1)-N(1) | 6.8(5) |
| O(4)-C(41) | 1.297(6) | Sn(1)-N(2)-C(21)-O(2) | 0.6(5) |
| C(41)-N(4) | 1.348(6) | Sn(1)-N(3)-C(31)-O(3) | 2.3(5) |
| Sn(2)#-N(4)-C(41)-O(4) | 0.4(4) | ||
| 4 | 5 | ||
|---|---|---|---|
| Selected Bond Lengths (Å) | |||
| Sn(1)-O(1) | 2.0985(17) | Sn(1)-O(1) Sn(1)-O(2) | 2.0824(15) 2.0779(17) |
| Sn(1)-N(1) | 2.4014(19) | Sn(1)-N(1) Sn(1)-N(2) | 2.4140(19) 2.4289(19) |
| O(1)-C(1) | 1.326(3) | O(1)-C(1) O(2)-C(21) | 1.328(3) 1.326(3) |
| Selected bond angles (°) 1 | |||
| N(1)-Sn(1)-N(1)# | 138.54(9) | N(1)-Sn(1)-N(2) | 141.52(7) |
| O(1)-Sn(1)-O(1)# | 98.23(10) | O(1)-Sn(1)-O(2) | 97.33(7) |
Publisher’s Note: MDPI stays neutral with regard to jurisdictional claims in published maps and institutional affiliations. |
© 2022 by the authors. Licensee MDPI, Basel, Switzerland. This article is an open access article distributed under the terms and conditions of the Creative Commons Attribution (CC BY) license (https://creativecommons.org/licenses/by/4.0/).
Share and Cite
Sullivan, H.S.I.; Straiton, A.J.; Kociok-Köhn, G.; Johnson, A.L. N-O Ligand Supported Stannylenes: Preparation, Crystal, and Molecular Structures. Inorganics 2022, 10, 129. https://doi.org/10.3390/inorganics10090129
Sullivan HSI, Straiton AJ, Kociok-Köhn G, Johnson AL. N-O Ligand Supported Stannylenes: Preparation, Crystal, and Molecular Structures. Inorganics. 2022; 10(9):129. https://doi.org/10.3390/inorganics10090129
Chicago/Turabian StyleSullivan, Hannah S. I., Andrew J. Straiton, Gabriele Kociok-Köhn, and Andrew L. Johnson. 2022. "N-O Ligand Supported Stannylenes: Preparation, Crystal, and Molecular Structures" Inorganics 10, no. 9: 129. https://doi.org/10.3390/inorganics10090129
APA StyleSullivan, H. S. I., Straiton, A. J., Kociok-Köhn, G., & Johnson, A. L. (2022). N-O Ligand Supported Stannylenes: Preparation, Crystal, and Molecular Structures. Inorganics, 10(9), 129. https://doi.org/10.3390/inorganics10090129

