Chiral Selectors in Voltammetric Sensors Based on Mixed Phenylalanine/Alanine Cu(II) and Zn(II) Complexes
Abstract
:1. Introduction
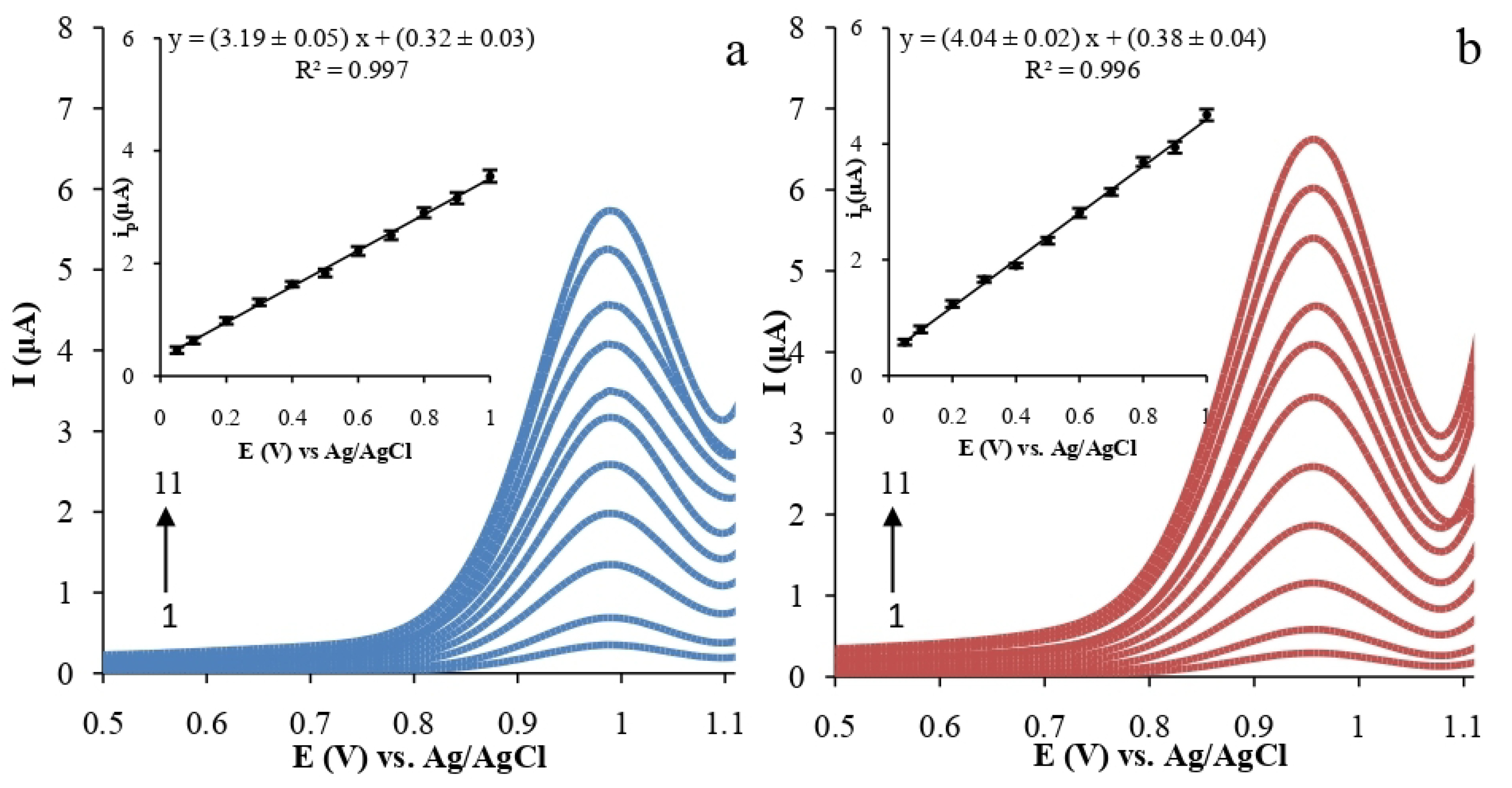
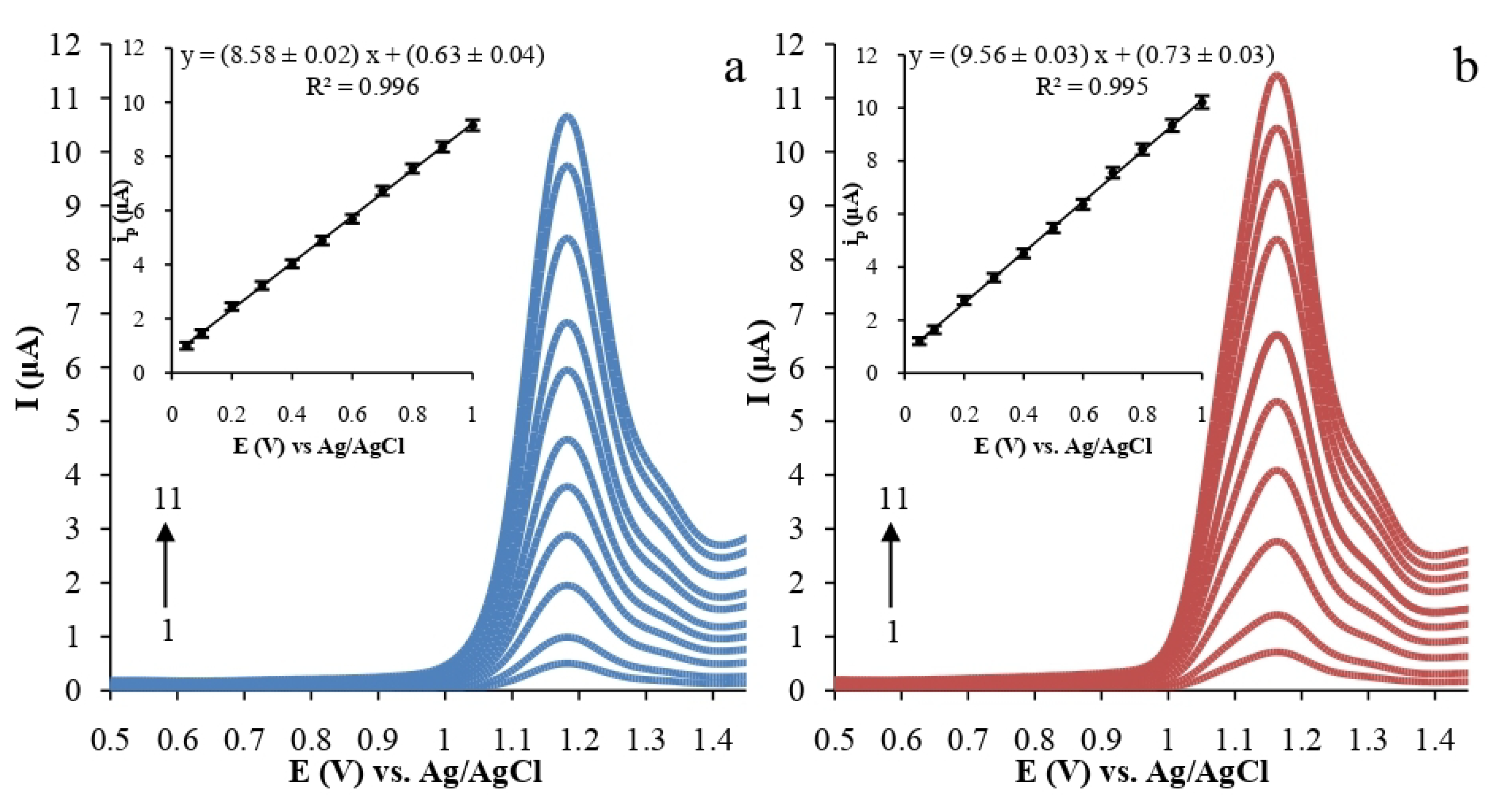
2. Results and Discussion
3. Materials and Methods
4. Conclusions
Supplementary Materials
Author Contributions
Funding
Informed Consent Statement
Conflicts of Interest
References
- Zor, E.; Bingol, H.; Ersoz, M. Chiral sensors. Trends Anal. Chem. 2019, 121, 115662. [Google Scholar] [CrossRef]
- Zhu, G.; Kingsford, O.J.; Yi, Y.; Wong, K.-Y. Review—Recent Advances in Electrochemical Chiral Recognition. J. Electrochem. Soc. 2019, 166, H205–H217. [Google Scholar] [CrossRef]
- Maistrenko, V.N.; Zil’berg, R.A. Enantioselective Voltammetric Sensors on the Basis of Chiral Materials. J. Anal. Chem. 2020, 75, 1514–1526. [Google Scholar] [CrossRef]
- Niu, X.; Yang, X.; Li, H.; Liu, J.; Liu, Z.; Wang, K. Application of chiral materials in electrochemical sensors. Microchim. Acta 2020, 187, 1–18. [Google Scholar] [CrossRef] [PubMed]
- Maistrenko, V.N.; Sidel’nikov, A.V.; Zil’berg, R.A. Enantioselective Voltammetric Sensors: New Solutions. J. Anal. Chem. 2018, 73, 1–9. [Google Scholar] [CrossRef]
- Nguyen, L.A.; He, H.; Pham-Huy, C. Chiral drugs: An overview. Int. J. Biomed. Sci. 2006, 2, 85–100. [Google Scholar]
- Hancu, G.; Modroiu, A. Chiral Switch: Between Therapeutical Benefit and Marketing Strategy. Pharmaceuticals 2022, 15, 240. [Google Scholar] [CrossRef]
- Moein, M.M. Advancements of chiral molecularly imprinted polymers in separation and sensor fields: A review of the last decade. Talanta 2021, 224, 121794. [Google Scholar] [CrossRef]
- BelBruno, J.J. Molecularly imprinted polymers. Chem. Rev. 2019, 119, 94–119. [Google Scholar] [CrossRef]
- Radi, A.-E.; Wahdan, T.; El-Basiony, A. Electrochemical sensors based on molecularly imprinted polymers for pharmaceuticals analysis. Cur. Anal. Chem. 2019, 15, 219–239. [Google Scholar] [CrossRef]
- Assavapanumat, S.; Yutthalekha, T.; Garrigue, P.; Goudeau, B.; Lapeyre, V.; Perro, A.; Sojic, N.; Wattanakit, C.; Kuhn, A. Potential induced fine-tuning the enantioaffinity of chiral metal phases. Angew. Chem. Int. Ed. 2019, 58, 3471–3475. [Google Scholar] [CrossRef] [PubMed]
- Niu, X.; Yang, X.; Mo, Z.; Pan, Z.; Liu, Z.; Shuai, C.; Gao, Q.; Liu, N.; Guo, R. Electrochemical chiral recognition at molecular imprinting Au surfaces. J. Electrochem. Soc. 2019, 166, B1126–B1130. [Google Scholar] [CrossRef]
- Assavapanumat, S.; Ketkaew, M.; Kuhn, A.; Wattanakit, C. Synthesis, characterization, and electrochemical applications of chiral imprinted mesoporous Ni surfaces. J. Am. Chem. Soc. 2019, 141, 18870–18876. [Google Scholar] [CrossRef] [PubMed]
- Zilberg, R.A.; Maistrenko, V.N.; Kabirova, L.R.; Dubrovsky, D.I. Selective voltammetric sensors based on composites of chitosan polyelectrolyte complexes with cyclodextrins for the recognition and determination of atenolol enantiomers. Anal. Methods 2018, 10, 1886–1894. [Google Scholar] [CrossRef]
- Zilberg, R.A.; Sidelnikov, A.V.; Maistrenko, V.N.; Yarkaeva, Y.A.; Khamitov, E.M.; Maksutova, E.I.; Kornilov, V.M. A Voltammetric Sensory System for Recognition of Propranolol Enantiomers Based on Glassy Carbon Electrodes Modified by Polyarylenephthalide Composites of Melamine and Cyanuric Acid. Electroanalysis 2018, 30, 619–625. [Google Scholar] [CrossRef]
- Zil'berg, R.A.; Maistrenko, V.N.; Yarkaeva, Y.A.; Dubrovskii, D.I. An Enantioselective Voltammetric Sensor System Based on Glassy Carbon Electrodes Modified by Polyarylenephthalide Composites with α-, β-, and γ-Cyclodextrins for Recognizing D- and L-Tryptophans. J. Anal. Chem. 2019, 74, 1245–1255. [Google Scholar] [CrossRef]
- Zil'berg, R.A.; Zagitova, L.R.; Vakulin, I.V.; Yarkaeva, Y.A.; Teres, U.B.; Berestova, T.V. Enantioselective Voltammetric Sensors Based on Amino Acid Complexes of Cu(II), Co(III), and Zn(II). J. Anal. Chem. 2021, 76, 1438–1448. [Google Scholar] [CrossRef]
- Yarkaeva, Y.A.; Dubrovskii, D.I.; Zil'berg, R.A.; Maistrenko, V.N.; Kornilov, V.M. A Voltammetric Sensor Based on a 3,4,9,10-Perylenetetracarboxylic Acid Composite for the Recognition and Determination of Tyrosine Enantiomers. J. Anal. Chem. 2020, 75, 1537–1545. [Google Scholar] [CrossRef]
- Du, Y.; Mo, Z.; Wang, J.; Shuai, C.; Pei, H.; Chen, Y.; Yue, R. A novel chiral carbon nanocomposite based on cellulose gum modifying chiral tri-electrode system for the enantiorecognition of tryptophan. J. Electroanal. Chem. 2021, 895, 115390. [Google Scholar] [CrossRef]
- Atta, N.F.; Galal, A.; Ahmed, Y.M. Highly conductive crown ether/ionic liquid crystal-carbon nanotubes composite based electrochemical sensor for chiral recognition of tyrosine enantiomers. J. Electrochem. Soc. 2019, 166, B623–B630. [Google Scholar] [CrossRef]
- Niu, X.; Yang, X.; Li, H.; Shi, Q.; Wang, K. Chiral voltammetric sensor for tryptophan enantiomers by using a self-assembled multiwalled carbon nanotubes/ polyaniline/sodium alginate composite. Chirality 2021, 33, 248–260. [Google Scholar] [CrossRef] [PubMed]
- Zil'berg, R.A.; Maistrenko, V.N.; Zagitova, L.R.; Guskov, V.Y.; Dubrovsky, D.I. Chiral voltammetric sensor for warfarin enantiomers based on carbon black paste electrode modified by 3,4,9,10-perylenetetracarboxylic acid. J. Electroanal. Chem. 2020, 861, 113986. [Google Scholar] [CrossRef]
- Zagitova, L.R.; Maistrenko, V.N.; Yarkaeva, Y.A.; Zil'berg, R.A.; Zagitov, V.V.; Kovyazin, P.V.; Parfenova, L.V. Novel chiral voltammetric sensor for tryptophan enantiomers based on 3-neomenthylindene as recognition element. J. Electroanal. Chem. 2021, 880, 114939. [Google Scholar] [CrossRef]
- Yarkaeva, Y.A.; Islamuratova, E.N.; Zagitova, L.R.; Guskov, V.Y.; Zil'berg, R.A.; Maistrenko, V.N. A Sensor for the Recognition and Determination of Tryptophan Enantiomers Based on Carbon-Paste Electrode Modified by Enantiomorphic Crystals of Bromotriphenylmethane. J. Anal. Chem. 2021, 76, 1345–1354. [Google Scholar] [CrossRef]
- Upadhyay, S.S.; Kalambate, P.K.; Srivastava, A.K. Enantioselective biomimetic sensor for discrimination of R and S-Clopidogrel promoted by β-cyclodextrin complexes employing graphene and platinum nanoparticle modified carbon paste electrode. J. Electroanal. Chem. 2019, 840, 305–312. [Google Scholar] [CrossRef]
- Mucoz, A.; Gonzбlez-Campo, M.; Riba-Moliner, M.; Baeza, M.; Mas-Torrent, M. Chiral magnetic-nanobiofluids for rapid electrochemical screening of enantiomers at a magneto nanocomposite graphene-paste electrode. Biosens. Bioelectron. 2018, 105, 95–102. [Google Scholar] [CrossRef]
- Yarkaeva, Y.A.; Maistrenko, V.N.; Zagitova, L.R.; Nazyrov, M.I.; Berestova, T.V. Voltammetric sensor system based on Cu(II) and Zn(II) amino acid complexes for recognition and determination of atenolol enantiomers. J. Electroanal. Chem. 2021, 903, 115839. [Google Scholar] [CrossRef]
- Zilberg, R.A.; Teres, Y.B.; Zagitova, L.R.; Yarkaeva, Y.A.; Berestova, T.V. Voltammetric sensor based on the copper (II) amino acid complex for the determination of tryptophan enantiomers. Anal. Control. 2021, 25, 193–204. [Google Scholar] [CrossRef]
- Dybtsev, D.N.; Samsonenko, D.G.; Fedin, V.P. Porous coordination polymers based on carboxylate complexes of 3d metals. Russ. J. Coord Chem. 2016, 42, 557–573. [Google Scholar] [CrossRef]
- Guk, D.A.; Krasnovskaya, O.O.; Beloglazkina, E.K. Coordination compounds of biogenic metals as cytotoxic agents in cancer therapy. Russ. Chem. Rev. 2021, 90, 1566. [Google Scholar] [CrossRef]
- Berestova, T.V.; Khursan, S.L.; Mustafin, A.G. Experimental and theoretical substantiation of differences of geometric isomers of copper(II) α-amino acid chelates in ATR-FTIR spectra. Spectrochim. Acta A. 2020, 229, 117950. [Google Scholar] [CrossRef]
- Berestova, T.V.; Gizatov, R.R.; Galimov, M.N.; Mustafin, A.G. ATR-FTIR spectroscopic investigation of the cis- and trans-bis-(α-amino acids) copper(II) complexes. J. Mol. Struct. 2021, 1236, 130303. [Google Scholar] [CrossRef]
- Dijkstr, A. The crystal structure of the copper complex of L-alanine. Acta Cryst. 1966, 20, 588–590. [Google Scholar] [CrossRef]
- Helm, V.D.V.; Lawson, M.B.; Enwall, E.L. The Crystal Structure of Bis-(L-phenylalaninato)copper(II). Acta Cryst. 1971, 27, 2411–2418. [Google Scholar] [CrossRef]
- Rombach, M.; Gelinsky, M.; Vahrenkamp, H. Coordination modes of aminoacids to zinc. Inorg. Chim. Acta 2002, 334, 25–33. [Google Scholar] [CrossRef]
- Dalosto, S.D.; Ferreyra, M.G.; Calvo, R.; Piro, O.E.; Castellano, E.E. Structure of bis(l-alaninato)zinc(II) and single crystal EPR spectra of Cu(II) impurities. J. Inorg. Biochem. 1999, 73, 151–155. [Google Scholar] [CrossRef]
- Markovic, M.; Judas, N. Sabolovic, Combined experimental and computational study of cis-trans isomerism in bis(L-valinato)copper(II). J. Inorg. Chem. 2011, 50, 3632–3644. [Google Scholar] [CrossRef]
- Berestova, T.V.; Nosenko, K.N.; Lusina, O.V.; Kuzina, L.G.; Kulish, E.I.; Mustafin, A.G. Estimating the stability of metal-ligand bonding in carboxyl-containing polymer complexes by IR spectroscopy. J. Struct. Chem. 2020, 61, 1876–1887. [Google Scholar] [CrossRef]
- Zhao, Y.; Truhlar, D.G. The M06 suite of density functionals for main group thermochemistry, thermochemical kinetics, noncovalent interactions, excited states, and transition elements: Two new functionals and systematic testing of four M06-class functionals and 12 other functional. J. Theor. Chem. Acc. 2008, 120, 215–241. [Google Scholar] [CrossRef]
- Montes, R.H.O.; Stefano, J.S.; Richter, E.M.; Munoz, R.A.A. Exploring Multiwalled Carbon Nanotubes for Naproxen Detection. Electroanalysis 2014, 26, 1449–1453. [Google Scholar] [CrossRef]
- Chunzhi, X.; Qiao, X.; Juanjuan, Q.; Qinghong, W.; Xia, L.; Yingzi, F. A biosensing interface based on Au@BSA nanocomposite for chiral recognition of propranolol. Anal. Methods 2016, 8, 3564–3569. [Google Scholar] [CrossRef]
- Ebrahimi, S.; Afkhami, A.; Madrakian, T. Target -responsive host–guest binding-driven dual-sensing readout for enhanced electrochemical chiral analysis. Analyst. 2021, 146, 4865–4872. [Google Scholar] [CrossRef] [PubMed]
- Jafari, M.; Tashkhourian, J.; Absalan, G. Electrochemical Sensor for Enantioselective Recognition of Naproxen Using LCysteine/Reduced Graphene Oxide Modified Glassy Carbon Electrode. Anal. Bioanal. Chem. Res. 2020, 7, 1–15. [Google Scholar]
- Afkhami, A.; Kafrashi, F.; Ahmadi, M.; Madrakian, T. A new chiral electrochemical sensor for the enantioselective recognition of naproxen enantiomers using l-cysteine self-assembled over gold nanoparticles on a gold electrode. RSC Adv. 2015, 5, 58609–58615. [Google Scholar] [CrossRef]
- Guo, L.; Huang, Y.; Zhang, Q.; Chen, C.; Guo, D.; Chen, Y.; Fu, Y. Electrochemical Sensing for Naproxen Enantiomers Using Biofunctionalized Reduced Graphene Oxide Nanosheets. J. Electrochem. Soc. 2014, 161, B70–B74. [Google Scholar] [CrossRef]
- Santos, S.X.; Cavalheiro, E.T.G.; Brett, C.M.A. Analytical Potentialities of Carbon Nanotube/Silicone Rubber Composite Electrodes: Determination of Propranolol. Electroanalysis 2010, 22, 2776–2783. [Google Scholar] [CrossRef]
- Diele, A.G.A.; Pradela-Filho, L.A.; Santos, A.L.R.; Faria, A.M.; Takeuchi, R.M.; Karimi-Malehc, H.; Santos, A.L. Uncured Polydimethylsiloxane as Binder Agent for Carbon Paste Electrodes: Application to the Quantification of Propranolol. J. Braz. Chem. Soc. 2019, 30, 1988–1998. [Google Scholar] [CrossRef]
- Zilberg, R.A.; Yarkaeva, Y.A.; Provorova, Y.R.; Gus’kov, V.Y.; Maistrenko, V.N. Voltammetric determination of propranolol enantiomers in the model solutions of pharmaceutical forms and biological fluids. Anal. Control. 2018, 22, 292–302. [Google Scholar] [CrossRef]
- Bin, L.; Huiting, L.; Lu, C.; Xiaofeng, W.; Xiangying, S. Differential potential ratiometric sensing platform for enantiorecognition of chiral drugs. Anal. Biochem. 2019, 574, 39–45. [Google Scholar] [CrossRef]
- Wong, A.; Santos, A.M.; Silva, T.A.; Fatibello-Filho, O. Simultaneous determination of isoproterenol, acetaminophen, folic acid, propranolol and caffeine using a sensor platform based on carbon black, graphene oxide, copper nanoparticles and PEDOT:PSS. Talanta 2018, 183, 329–338. [Google Scholar] [CrossRef]
- Santos, A.M.; Wong, A.; Fatibello-Filho, O. Simultaneous determination of salbutamol and propranolol in biological fluid samples using an electrochemical sensor based on functionalized-graphene, ionic liquid and silver nanoparticles. J. Electroanal. Chem. 2018, 824, 1–8. [Google Scholar] [CrossRef]
- Zhang, Q.; Guo, L.; Huang, Y.; Chen, Y.; Guo, D.; Chen, C.; Fu, Y. An electrochemical chiral sensing platform for propranolol enantiomers based on size-controlled gold nanocomposite. Sensor. Actuator. B. 2014, 199, 239–246. [Google Scholar] [CrossRef]
- McLean, A.D.; Chandler, G.S. Contracted Gaussian-basis sets for molecular calculations. 1.2nd row atoms, Z=11-18. J. Chem. Phys. 1980, 72, 5639–5648. [Google Scholar] [CrossRef]
- Raghavachari, K.; Binkley, J.S.; Seeger, R.; Pople, J.A. Self-Consistent Molecular Orbital Methods. 20. Basis set for correlated wave-functions. J. Chem. Phys. 1980, 72, 650–654. [Google Scholar] [CrossRef]
- Wachters, A.J.H. Gaussian basis set for molecular wavefunctions containing third-row atoms. J. Chem. Phys. 1970, 52, 1033–1036. [Google Scholar] [CrossRef]
- Hay, P.J. Gaussian basis sets for molecular calculations—Representation of 3D orbitals in transition-metal atoms. J. Chem. Phys. 1977, 66, 4377–4384. [Google Scholar] [CrossRef]
- Raghavachari, K.; Trucks, G.W. Highly correlated systems: Excitation energies of first row transition metals Sc-Cu. J. Chem. Phys. 1989, 91, 1062–1065. [Google Scholar] [CrossRef]
- Frisch, M.J.; Trucks, G.W.; Schlegel, H.B.; Scuseria, G.E.; Robb, M.A.; Cheeseman, J.R.; Scalmani, G.; Barone, V. Gaussian 09; Revision D.01; Gaussian, Inc.: Wallingford, CT, USA; Available online: https://gaussian.com/g09citation (accessed on 1 June 2022).
- Adrienko, G.A. Chemcraft—Graphical Software for Visualization of Quantum Chemistry Computations. Available online: https://www.chemcraftprog.com (accessed on 15 June 2022).









| Analyte | Electrooxidation Scheme | Reference |
|---|---|---|
| Nap | ![]() | [40] |
| Prp | ![]() | [41] |
| Sensor | Analyte * | ΔEp, mV | ipS/ipR |
|---|---|---|---|
| GCE | Nap | 0 | 1.00 |
| GCE/PEC | 0 | 1.06 | |
| GCE/PEC–(S-AlaH) | 5 | 1.22 | |
| GCE/PEC–(S-PheH) | 15 | 1.09 | |
| GCE/PEC–[Cu(S-PheH)2] | 0 | 1.12 | |
| GCE/PEC–[Zn(S-Phe)2(H2O)] | 0 | 1.10 | |
| GCE/PEC–[Cu(S-AlaH)2] | 10 | 1.09 | |
| GCE/PEC–[Zn(S-AlaH)2(H2O)] | 0 | 1.09 | |
| GCE/PEC GCE/PEC–[Cu(S-Ala)2]–[Cu(S-Phe)2] | 30 | 1.27 | |
| GCE/PEC–[Zn(S-Ala)2(H2O)]–[Zn(S-Phe)2(H2O)] | 20 | 1.12 | |
| GCE | Prp | 0 | 1.00 |
| GCE/PEC | 5 | 1.02 | |
| GCE/PEC–(S-AlaH) | 10 | 1.04 | |
| GCE/PEC–(S-PheH) | 10 | 1.17 | |
| GCE/PEC–[Cu(S-PheH)2] | 15 | 1.11 | |
| GCE/PEC–[Zn(S-Phe)2(H2O)] | 15 | 1.08 | |
| GCE/PEC–[Cu(S-AlaH)2] | 10 | 1.05 | |
| GCE/PEC–[Zn(S-AlaH)2(H2O)] | 5 | 1.04 | |
| GCE/PEC–[Cu(S-Ala)2]–[Cu(S-Phe)2] | 20 | 1.37 | |
| GCE/PEC–[Zn(S-Ala)2(H2O)]–[Zn(S-Phe)2(H2O)] | 20 | 1.12 |
| Sensor | Electro-Chemical Technique | Linear Range, Mol L−1 | LOD, µmol L−1 | Reference |
|---|---|---|---|---|
| Nap enantiomers | ||||
| GCE/PEC–[Cu(S-Ala)2]–[Cu(S-Phe)2] | DPV | 2.5 × 10−5–1.0 × 10−3 | 0.30 for S-Nap 0.38 for R-Nap | this work |
| GCE/PEC–[Zn(S-Ala)2(H2O)]–[Zn(S-Phe)2(H2O)] | DPV | 5.0 × 10−5–1.0 × 10−3 | 0.38 for S-Nap 0.42 for R-Nap | this work |
| Au@BSA | DPV | 1.0 × 10−5–5.0 × 10−3 | 3.3 | [41] |
| β-CD/EG/GCEMB@β-CD/EG/GCE | DPV | 4.0 × 10−7–6.0 × 10−6 | 0.07 | [42] |
| L-Cys/RGO/GCE | CV | 5.0 × 10−6–1.3 × 10−4 | 0.35 for S-Nap 2.5 for R-Nap | [43] |
| L-CYS/AuNPs/Au | CV | 2.0 × 10−6–2.0 × 10−5 | 0.67 | [44] |
| BSA/TBO@rGO/GCE | CV | 5.0 × 10−4–5.0 × 10−3 | 0.33 | [45] |
| Prp enantiomers | ||||
| GCE/PEC–[Cu(S-Ala)2]–[Cu(S-Phe)2] | DPV | 2.5 × 10−5–1.0 × 10−3 | 0.90 for S-Prp 1.24 for R-Prp | this work |
| GCE/PEC–[Zn(S-Ala)2(H2O)]–[Zn(S-Phe)2(H2O)] | DPV | 5.0 × 10−5–1.0 × 10−3 | 0.78 for S-Prp 0.87 for R-Prp | this work |
| CNT–silicone–rubber–CPE | DPV | 5.0 × 10−7–7.0 × 10−6 | 0.12 | [46] |
| PDMS-CPE | DPV | 1.0 × 10−5–6.0 × 10−5 | 3 | [47] |
| GCE/PAP/α-CD GCE/PAP/β-CD GCE/PAP/MAGCE/PAP/CA | DPV | 2.1 × 10−5–6.75 × 10−4 | 5.46 ÷ 8.37 | [48] |
| MIP/rGO/GCE | DPV | 5.0 × 10−5–1.0 × 10−3 | - | [49] |
| CuNPs- GO-CB-PEDOT:PSS/GCE | SWV | 5.0 × 10−7–2.9 × 10−6 | 0.18 | [50] |
| AgNP-IL-FG/GCE | SWV | 1.0 × 10−7–2.9 × 10−6 | 0.017 | [51] |
| ctDNA/nanoAu–MB–MWNTs/GCE | CV | 1.0 × 10−5–5.0 × 10−3 | 3.3 | [52] |
| Sensor | Added, μM | Found, μM | Recovery, % | RSD, % | ||||
|---|---|---|---|---|---|---|---|---|
| R | S | R | S | R | S | R | S | |
| Solutions of Nap enantiomers | ||||||||
| GCE/PEC–[Cu(S-Ala)2]–[Cu(S-Phe)2] | 75 | 75 | 74 ± 2 | 75 ± 2 | 98.7 | 100.0 | 1.8 | 2.1 |
| 250 | 250 | 249 ± 7 | 249 ± 6 | 99.6 | 99.6 | 2.2 | 2.1 | |
| 750 | 750 | 747 ± 9 | 752 ± 8 | 99.6 | 100.3 | 1.0 | 0.9 | |
| GCE/PEC–[Zn(S-Ala)2(H2O)]–[Zn(S-Phe)2(H2O)] | 75 | 75 | 74 ± 2 | 75 ± 3 | 98.7 | 100.0 | 1.9 | 1.8 |
| 250 | 250 | 249 ± 3 | 251 ± 3 | 99.6 | 100.4 | 1.9 | 1.6 | |
| 750 | 750 | 751 ± 6 | 751 ± 5 | 100.1 | 100.1 | 1.1 | 0.9 | |
| Nap enantiomers in human blood plasma | ||||||||
| GCE/PEC–[Cu(S-Ala)2]–[Cu(S-Phe)2] | 75 | 75 | 72 ± 3 | 73 ± 3 | 96.0 | 97.3 | 3.8 | 2.9 |
| 250 | 250 | 245 ± 9 | 245 ± 8 | 98.0 | 98.0 | 3.0 | 2.6 | |
| 750 | 750 | 745 ± 9 | 749 ± 7 | 99.3 | 99.9 | 2.9 | 2.4 | |
| GCE/PEC–[Zn(S-Ala)2(H2O)]–[Zn(S-Phe)2(H2O)] | 75 | 75 | 72 ± 4 | 72 ± 4 | 96.0 | 96.0 | 4.7 | 4.5 |
| 250 | 250 | 245 ± 5 | 248 ± 7 | 98.0 | 99.2 | 2.6 | 2.2 | |
| 750 | 750 | 747 ± 8 | 747 ± 5 | 99.6 | 99.6 | 2.9 | 2.5 | |
| Nap enantiomers in urine | ||||||||
| GCE/PEC–[Cu(S-Ala)2]–[Cu(S-Phe)2] | 75 | 75 | 73 ± 5 | 74 ± 4 | 97.3 | 98.7 | 3.8 | 3.6 |
| 250 | 250 | 246 ± 8 | 248 ± 7 | 98.4 | 99.2 | 2.9 | 2.5 | |
| 750 | 750 | 746 ± 4 | 751 ± 9 | 99.5 | 100.1 | 2.7 | 2.3 | |
| GCE/PEC–[Zn(S-Ala)2(H2O)]–[Zn(S-Phe)2(H2O)] | 75 | 75 | 72 ± 3 | 73 ± 3 | 96.0 | 97.3 | 3.0 | 3.1 |
| 250 | 250 | 247 ± 4 | 249 ± 8 | 98.8 | 99.6 | 2.7 | 2.3 | |
| 750 | 750 | 749 ± 6 | 749 ± 4 | 99.9 | 99.9 | 2.4 | 2.0 | |
| Solutions of Prp enantiomers | ||||||||
| GCE/PEC–[Cu(S-Ala)2]–[Cu(S-Phe)2] | 75 | 75 | 74 ± 2 | 75 ± 2 | 98.7 | 100.0 | 1.9 | 1.8 |
| 250 | 250 | 248 ± 5 | 251 ± 4 | 99.2 | 99.2 | 1.6 | 1.3 | |
| 750 | 750 | 747 ± 5 | 752 ± 4 | 99.6 | 100.3 | 0.9 | 0.7 | |
| GCE/PEC–[Zn(S-Ala)2(H2O)]–[Zn(S-Phe)2(H2O)] | 75 | 75 | 74 ± 2 | 76 ± 2 | 98.7 | 101.3 | 1.8 | 1.7 |
| 250 | 250 | 248 ± 3 | 248 ± 4 | 99.2 | 99.2 | 0.9 | 1.2 | |
| 750 | 750 | 745 ± 7 | 751 ± 5 | 99.3 | 100.1 | 0.7 | 0.5 | |
| Prp enantiomers in human blood plasma | ||||||||
| GCE/PEC–[Cu(S-Ala)2]–[Cu(S-Phe)2] | 75 | 75 | 72 ± 4 | 73 ± 2 | 96.0 | 97.3 | 3.6 | 2.2 |
| 250 | 250 | 245 ± 9 | 245 ± 8 | 98.0 | 98.0 | 3.0 | 2.7 | |
| 750 | 750 | 745 ± 9 | 748 ± 7 | 99.3 | 99.7 | 2.5 | 2.4 | |
| GCE/PEC–[Zn(S-Ala)2(H2O)]–[Zn(S-Phe)2(H2O)] | 75 | 75 | 72 ± 4 | 73 ± 4 | 96.0 | 97.3 | 3.7 | 3.5 |
| 250 | 250 | 247 ± 7 | 247 ± 7 | 98.8 | 98.8 | 2.1 | 2.3 | |
| 750 | 750 | 746 ± 6 | 748 ± 4 | 99.5 | 99.7 | 2.0 | 2.1 | |
| Prp enantiomers in urine | ||||||||
| GCE/PEC–[Cu(S-Ala)2]–[Cu(S-Phe)2] | 75 | 75 | 73 ± 2 | 74 ± 2 | 97.3 | 98.7 | 2.3 | 2.2 |
| 250 | 250 | 246 ± 8 | 247 ± 4 | 98.4 | 98.8 | 2.6 | 2.4 | |
| 750 | 750 | 746 ± 5 | 752 ± 7 | 99.5 | 100.3 | 2.1 | 2.0 | |
| GCE/PEC–[Zn(S-Ala)2(H2O)]–[Zn(S-Phe)2(H2O)] | 75 | 75 | 73 ± 3 | 74 ± 1 | 97.3 | 98.7 | 3.0 | 2.5 |
| 250 | 250 | 248 ± 5 | 249 ± 2 | 99.2 | 99.6 | 2.2 | 2.0 | |
| 750 | 750 | 749 ± 8 | 749 ± 5 | 99.9 | 99.9 | 2.0 | 1.9 | |
Publisher’s Note: MDPI stays neutral with regard to jurisdictional claims in published maps and institutional affiliations. |
© 2022 by the authors. Licensee MDPI, Basel, Switzerland. This article is an open access article distributed under the terms and conditions of the Creative Commons Attribution (CC BY) license (https://creativecommons.org/licenses/by/4.0/).
Share and Cite
Zilberg, R.A.; Berestova, T.V.; Gizatov, R.R.; Teres, Y.B.; Galimov, M.N.; Bulysheva, E.O. Chiral Selectors in Voltammetric Sensors Based on Mixed Phenylalanine/Alanine Cu(II) and Zn(II) Complexes. Inorganics 2022, 10, 117. https://doi.org/10.3390/inorganics10080117
Zilberg RA, Berestova TV, Gizatov RR, Teres YB, Galimov MN, Bulysheva EO. Chiral Selectors in Voltammetric Sensors Based on Mixed Phenylalanine/Alanine Cu(II) and Zn(II) Complexes. Inorganics. 2022; 10(8):117. https://doi.org/10.3390/inorganics10080117
Chicago/Turabian StyleZilberg, Rufina A., Tatyana V. Berestova, Ruslan R. Gizatov, Yulia B. Teres, Miras N. Galimov, and Elena O. Bulysheva. 2022. "Chiral Selectors in Voltammetric Sensors Based on Mixed Phenylalanine/Alanine Cu(II) and Zn(II) Complexes" Inorganics 10, no. 8: 117. https://doi.org/10.3390/inorganics10080117
APA StyleZilberg, R. A., Berestova, T. V., Gizatov, R. R., Teres, Y. B., Galimov, M. N., & Bulysheva, E. O. (2022). Chiral Selectors in Voltammetric Sensors Based on Mixed Phenylalanine/Alanine Cu(II) and Zn(II) Complexes. Inorganics, 10(8), 117. https://doi.org/10.3390/inorganics10080117



