Spontaneous Adsorption and Efficient Photodegradation of Indigo Carmine under Visible Light by Bismuth Oxyiodide Nanoparticles Fabricated Entirely at Room Temperature
Abstract
:1. Introduction
2. Experimental
2.1. Materials
2.2. Sonochemical Preparation of BiOI Nanoparticles
2.3. Characterization of BiOI Nanoparticles
2.4. Adsorption of IC by BiOI
2.5. Photodegradation of IC by BiOI
3. Results and Discussion
3.1. Characterization
3.2. Possible Formation Route of BiOI Nanoparticles
3.3. Adsorption of IC on the BiOI
3.4. Adsorption Kinetics
3.5. Adsorption Isotherms
3.6. Thermodynamic
3.7. Photocatalytic Degradation of IC under Visible Light
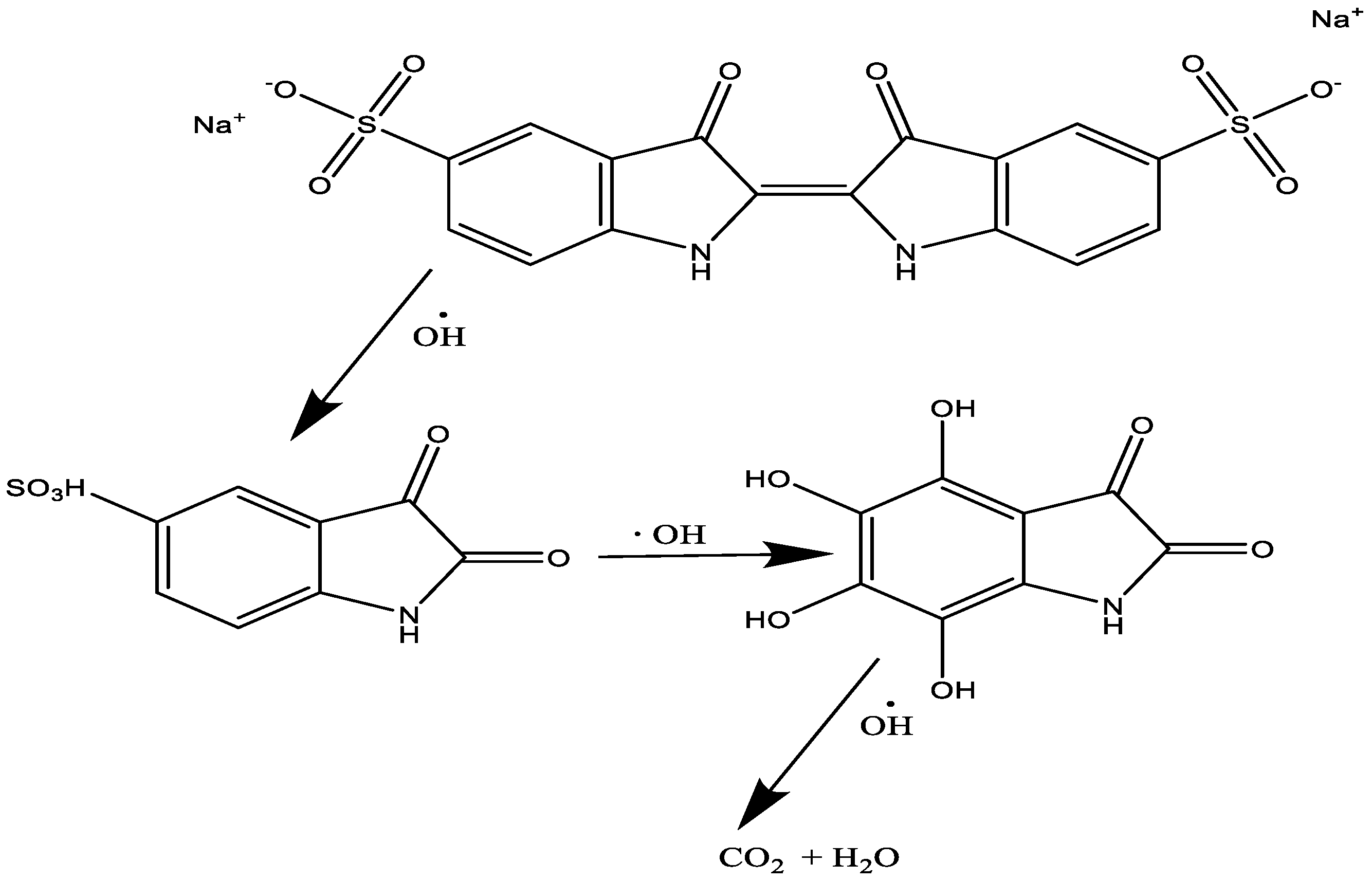
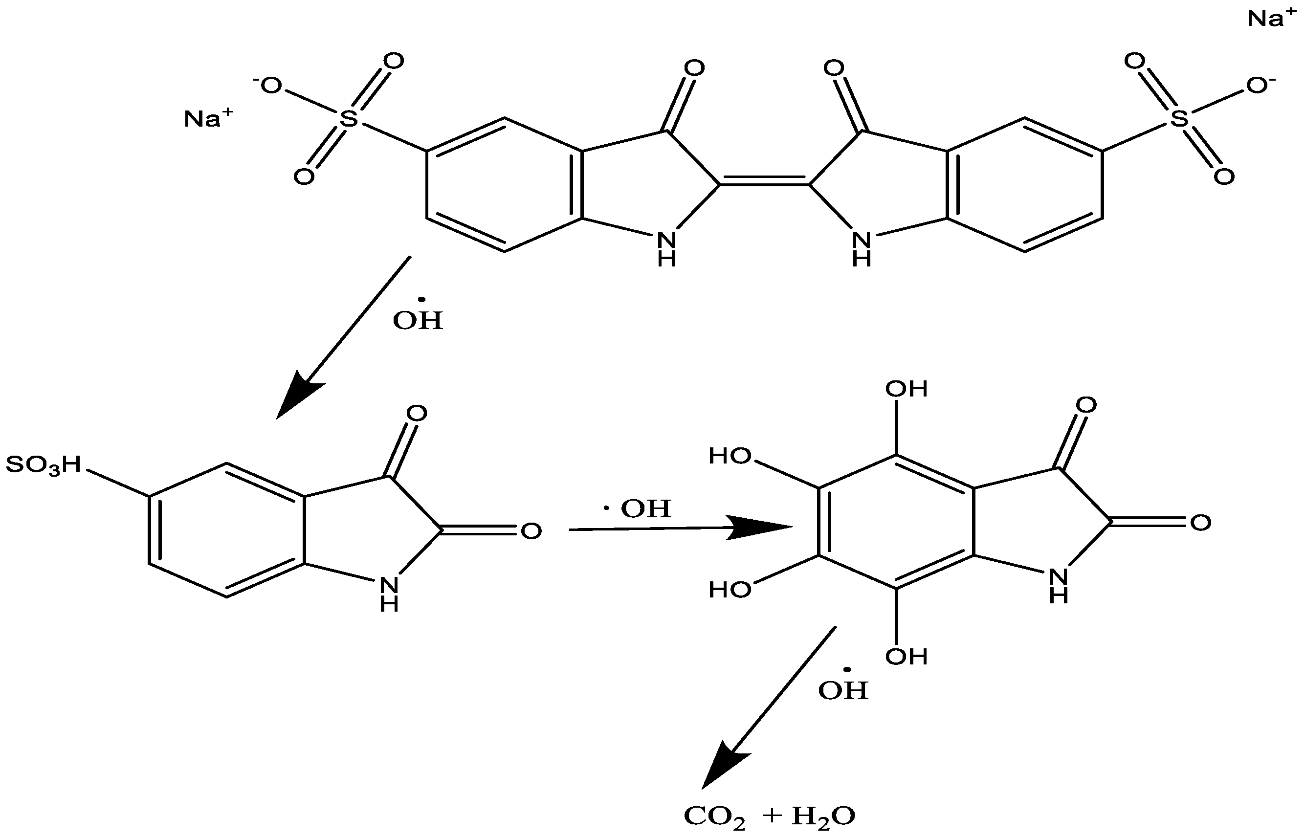
3.8. Mechanism of Photocatalytic Degradation
4. Conclusions
Supplementary Materials
Author Contributions
Funding
Data Availability Statement
Conflicts of Interest
References
- Makowskaa, M.; Sowinskab, A. Characteristics of organic pollutants in wastewater from individual treatment systems. Methods 2020, 8, 12. [Google Scholar] [CrossRef]
- Khader, E.H.; Mohammed, T.J.; Mirghaffari, N.; Salman, A.D.; Juzsakova, T.; Abdullah, T.A. Removal of organic pollutants from produced water by batch adsorption treatment. Clean Technol. Environ. Policy 2022, 24, 713–720. [Google Scholar] [CrossRef]
- Goździejewska, A.M.; Gwoździk, M.; Kulesza, S.; Bramowicz, M.; Koszałka, J. Effects of suspended micro-and nanoscale particles on zooplankton functional diversity of drainage system reservoirs at an open-pit mine. Sci. Rep. 2019, 9, 1–13. [Google Scholar] [CrossRef] [PubMed] [Green Version]
- Ho, S. Removal of Dyes from Wastewater by Adsorption onto Activated Carbon: Mini Review. J. Geosci. Environ. Prot. 2020, 8, 120. [Google Scholar] [CrossRef]
- Saleh, I.A.; Zouari, N.; Al-Ghouti, M. Removal of pesticides from water and wastewater: Chemical, physical and biological treatment approaches. Environ. Technol. Innov. 2020, 19, 101026. [Google Scholar] [CrossRef]
- Abuhasel, K.; Kchaou, M.; Alquraish, M.; Munusamy, Y.; Jeng, Y.T. Oily wastewater treatment: Overview of conventional and modern methods, challenges, and future opportunities. Water 2021, 13, 980. [Google Scholar] [CrossRef]
- Zango, Z.U.; Jumbri, K.; Sambudi, N.S.; Ramli, A.; Abu Bakar, N.H.H.; Saad, B.; Rozaini, M.N.H.; Isiyaka, H.A.; Jagaba, A.H.; Aldaghri, O. A critical review on metal-organic frameworks and their composites as advanced materials for adsorption and photocatalytic degradation of emerging organic pollutants from wastewater. Polymers 2020, 12, 2648. [Google Scholar] [CrossRef]
- Mansouri, F.; Chouchene, K.; Roche, N.; Ksibi, M. Removal of Pharmaceuticals from Water by Adsorption and Advanced Oxidation Processes: State of the Art and Trends. Appl. Sci. 2021, 11, 6659. [Google Scholar] [CrossRef]
- Naseem, T.; Durrani, T. The role of some important metal oxide nanoparticles for wastewater and antibacterial applications: A review, Environ. Chem. Ecotoxicol. 2021, 3, 59–75. [Google Scholar] [CrossRef]
- Palani, G.; Arputhalatha, A.; Kannan, K.; Lakkaboyana, S.K.; Hanafiah, M.M.; Kumar, V.; Marella, R. Current trends in the application of nanomaterials for the removal of pollutants from industrial wastewater treatment—A review. Molecules 2021, 26, 2799. [Google Scholar] [CrossRef]
- Li, K.; Liu, Q.; Cheng, H.; Hu, M.; Zhang, S. Classification and carbon structural transformation from anthracite to natural coaly graphite by XRD, Raman spectroscopy, and HRTEM. Spectrochim. Acta Part A Mol. Biomol. Spectrosc. 2021, 249, 119286. [Google Scholar] [CrossRef] [PubMed]
- Yao, L.; Yang, H.; Chen, Z.; Qiu, M.; Hu, B.; Wang, X. Bismuth oxychloride-based materials for the removal of organic pollutants in wastewater. Chemosphere 2021, 273, 128576. [Google Scholar] [CrossRef] [PubMed]
- Arumugam, M.; Choi, M.Y. Recent progress on bismuth oxyiodide (BiOI) photocatalyst for environmental remediation. J. Ind. Eng. Chem. 2020, 81, 237–268. [Google Scholar] [CrossRef]
- Narenuch, T.; Senasu, T.; Chankhanittha, T.; Nanan, S. Sunlight-Active BiOI Photocatalyst as an Efficient Adsorbent for the Removal of Organic Dyes and Antibiotics from Aqueous Solutions. Molecules 2021, 26, 5624. [Google Scholar] [CrossRef]
- Lv, Y.; Li, P.; Che, Y.; Hu, C.; Ran, S.; Shi, P.; Zhang, W. Facile Preparation and Characterization of Nanostructured BiOI microspheres with certain adsorption-photocatalytic properties. Mater. Res. 2018, 21, 1–9. [Google Scholar] [CrossRef] [Green Version]
- Wang, X.; Zhou, C.; Yin, L.; Zhang, R.; Liu, G. Iodine-deficient BiOI nanosheets with lowered valence band maximum to enable visible light photocatalytic activity. ACS Sustain. Chem. Eng. 2019, 7, 7900–7907. [Google Scholar] [CrossRef]
- Hu, J.; Weng, S.; Zheng, Z.; Pei, Z.; Huang, M.; Liu, P. Solvents mediated-synthesis of BiOI photocatalysts with tunable morphologies and their visible-light driven photocatalytic performances in removing of arsenic from water. J. Hazard. Mater. 2014, 264, 293–302. [Google Scholar] [CrossRef]
- Algethami, F.K.; Elamin, M.R.; Abdulkhair, B.Y.; Al-Zharani, M.; Qarah, N.A.; Alghamdi, M.A. Fast fabrication of bismuth oxyiodide/carbon-nanofibers composites for efficient anti-proliferation of liver and breast cancer cells. Z. Für Anorg. Und Allg. Chem. 2021, 647, 1921–1929. [Google Scholar] [CrossRef]
- Di, J.; Xia, J.; Ge, Y.; Xu, L.; Xu, H.; He, M.; Zhang, Q.; Li, H. Reactable ionic liquid-assisted rapid synthesis of BiOI hollow microspheres at room temperature with enhanced photocatalytic activity. J. Mater. Chem. A 2014, 2, 15864–15874. [Google Scholar] [CrossRef]
- Long, Y.; Wang, Y.; Zhang, D.; Ju, P.; Sun, Y. Facile synthesis of BiOI in hierarchical nanostructure preparation and its photocatalytic application to organic dye removal and biocidal effect of bacteria. J. Colloid Interface Sci. 2016, 481, 47–56. [Google Scholar] [CrossRef]
- Wang, X.; Zhang, Y.; Zhou, C.; Huo, D.; Zhang, R.; Wang, L. Hydroxyl-regulated BiOI nanosheets with a highly positive valence band maximum for improved visible-light photocatalytic performance. Appl. Catal. B Environ. 2020, 268, 118390. [Google Scholar] [CrossRef]
- Lee, W.W.; Lu, C.-S.; Chuang, C.-W.; Chen, Y.-J.; Fu, J.-Y.; Siao, C.-W.; Chen, C.-C. Synthesis of bismuth oxyiodides and their composites: Characterization, photocatalytic activity, and degradation mechanisms. RSC Adv. 2015, 5, 23450–23463. [Google Scholar] [CrossRef]
- Deng, Z.; Chen, D.; Peng, B.; Tang, F. From bulk metal Bi to two-dimensional well-crystallized BiOX (X = Cl, Br) micro-and nanostructures: Synthesis and characterization. Cryst. Growth Des. 2008, 8, 2995–3003. [Google Scholar] [CrossRef]
- Chou, S.-Y.; Chen, C.-C.; Dai, Y.-M.; Lin, J.-H.; Lee, W.W. Novel synthesis of bismuth oxyiodide/graphitic carbon nitride nanocomposites with enhanced visible-light photocatalytic activity. RSC Adv. 2016, 6, 33478–33491. [Google Scholar] [CrossRef]
- Chen, C.-C.; Fu, J.-Y.; Chang, J.-L.; Huang, S.-T.; Yeh, T.-W.; Hung, J.-T.; Huang, P.-H.; Liu, F.-Y.; Chen, L.-W. Bismuth oxyfluoride/bismuth oxyiodide nanocomposites enhance visible-light-driven photocatalytic activity. J. Colloid Interface Sci. 2018, 532, 375–386. [Google Scholar] [CrossRef]
- Sun, X.; Wu, J.; Liu, Q.; Tian, F. Mechanism insights into the enhanced activity and stability of hierarchical bismuth oxyiodide microspheres with selectively exposed (0 0 1) or (1 1 0) facets for photocatalytic oxidation of gaseous mercury. Appl. Surf. Sci. 2018, 455, 864–875. [Google Scholar] [CrossRef]
- Xiao, Y.; Wu, J.; Jia, T.; Li, T.; Wang, Z.; Qi, Y.; Liu, Q.; Qi, X.; He, P. Fabrication of BiOI nanosheets with exposed (001) and (110) facets with different methods for photocatalytic oxidation elemental mercury. Colloids Interface Sci. Commun. 2021, 40, 100357. [Google Scholar] [CrossRef]
- Gao, F.; Zeng, D.; Huang, Q.; Tian, S.; Xie, C. Chemically bonded graphene/BiOCl nanocomposites as high-performance photocatalysts. Phys. Chem. Chem. Phys. 2012, 14, 10572–10578. [Google Scholar] [CrossRef]
- Song, J.-M.; Mao, C.-J.; Niu, H.-L.; Shen, Y.-H.; Zhang, S.-Y. Hierarchical structured bismuth oxychlorides: Self-assembly from nanoplates to nanoflowers via a solvothermal route and their photocatalytic properties. CrystEngComm 2010, 12, 3875–3881. [Google Scholar] [CrossRef]
- Sun, S.; Liang, F.; Tang, L.; Wu, J.; Ma, C. Microstructural investigation of gas shale in Longmaxi formation, Lower Silurian, NE Sichuan basin, China. Energy Explor. Exploit. 2017, 35, 406–429. [Google Scholar] [CrossRef]
- Thommes, M.; Kaneko, K.; Neimark, A.V.; Olivier, J.P.; Rodriguez-Reinoso, F.; Rouquerol, J.; Sing, K.S.W. Physisorption of gases, with special reference to the evaluation of surface area and pore size distribution (IUPAC Technical Report). Pure Appl. Chem. 2015, 87, 1051–1069. [Google Scholar] [CrossRef] [Green Version]
- Yang, Z.; Zhang, J.; Zhang, X.; Wang, L.; Chao, L. Preparation and Properties of BiOI with High Sorption Capacity. J. Wuhan Univ. Technol. Sci. Ed. 2020, 35, 620–628. [Google Scholar] [CrossRef]
- Yang, J.; Su, H.; Wu, Y.; Li, D.; Zhang, D.; Sun, H.; Yin, S. Facile Synthesis of Kermesinus BiOI with Oxygen Vacancy for Efficient Hydrogen Generation. Chem. Eng. J. 2020, 420, 127607. [Google Scholar] [CrossRef]
- Wang, X.; Guo, Z.; Zhang, C.; Zhu, S.; Li, L.; Gu, Z.; Zhao, Y. Ultrasmall BiOI quantum dots with efficient renal clearance for enhanced radiotherapy of cancer. Adv. Sci. 2020, 7, 1902561. [Google Scholar] [CrossRef] [PubMed] [Green Version]
- Zhang, H.; Yang, J.; Guo, L.; Wang, R.; Peng, S.; Wang, J.; Wan, J.; Xu, J. Microwave-Aided Synthesis of BiOI/g-C3N4 Composites and Their Enhanced Catalytic Activities for Cr (VI) Removal. Chem. Phys. Lett. 2020, 762, 138143. [Google Scholar] [CrossRef]
- Bargozideh, S.; Tasviri, M.; Ghabraei, M. Effect of carbon nanotubes loading on the photocatalytic activity of BiSI/BiOI as a novel photocatalyst. Environ. Sci. Pollut. Res. 2020, 27, 36754–36764. [Google Scholar] [CrossRef]
- Liu, J.; Huang, L.; Li, Y.; Yang, L.; Wang, C.; Liu, J.; Song, Y.; Tian, Q.; Li, H. Fabrication oxygen defect-mediated double Z-scheme BiOI/BiO2-x/BiOBr photocatalyst for pollutions degradation and bacteria inactivation. J. Environ. Chem. Eng. 2021, 10, 106668. [Google Scholar] [CrossRef]
- Amiri, O.; Beshkar, F.; Ahmed, S.S.; Mahmood, P.H.; Dezaye, A.A. Hierarchical p-BiOI/n-BiPO4 heterojunction nanocomposite with enhanced visible-light photocatalytic desulfurization of thiophene under mild conditions. Int. J. Hydrog. Energy 2021, 46, 6547–6560. [Google Scholar] [CrossRef]
- Guan, Y.; Wu, J.; Man, X.; Liu, Q.; Qi, Y.; He, P.; Qi, X. Rational fabrication of flower-like BiOI1-x photocatalyst by modulating efficient iodine vacancies for mercury removal and DFT study. Chem. Eng. J. 2020, 396, 125234. [Google Scholar] [CrossRef]
- Mehrali-Afjani, M.; Nezamzadeh-Ejhieh, A.; Aghaei, H. A brief study on the kinetic aspect of the photodegradation and mineralization of BiOI-Ag3PO4 towards sodium diclofenac. Chem. Phys. Lett. 2020, 759, 137873. [Google Scholar] [CrossRef]
- Jeevanantham, N.; Balasundaram, O.N. High-performance visible light photocatalytic activity of cobalt (Co) doped CdS nanoparticles by wet chemical route. J. Iran. Chem. Soc. 2019, 16, 243–251. [Google Scholar] [CrossRef]
- Sabonian, M.; Mahanpoor, K. Preparation of ZnO nanocatalyst supported on todorokite and photocatalytic efficiency in the reduction of chromium (VI) pollutant from aqueous solution. Iran. J. Catal. 2019, 9, 201–211. [Google Scholar]
- Zeng, L.; Zhe, F.; Wang, Y.; Zhang, Q.; Zhao, X.; Hu, X.; Wu, Y.; He, Y. Preparation of interstitial carbon doped BiOI for enhanced performance in photocatalytic nitrogen fixation and methyl orange degradation. J. Colloid Interface Sci. 2019, 539, 563–574. [Google Scholar] [CrossRef] [PubMed]
- Cheng, H.; Huang, B.; Dai, Y.; Qin, X.; Zhang, X. One-step synthesis of the nanostructured AgI/BiOI composites with highly enhanced visible-light photocatalytic performances. Langmuir 2010, 26, 6618–6624. [Google Scholar] [CrossRef]
- Darryle, C.M.; Acayanka, E.; Takam, B.; Line, L.N.; Kamgang, G.Y.; Laminsi, S.; Sellaoui, L.; Bonilla-Petriciolet, A. Influence of plasma-based surface functionalization of palm fibers on the adsorption of diclofenac from water: Experiments, thermodynamics and removal mechanism. J. Water Process Eng. 2021, 43, 102254. [Google Scholar] [CrossRef]
- Elamin, M.R.; Abdulkhair, B.Y.; Elzupir, A.O. Insight to aspirin sorption behavior on carbon nanotubes from aqueous solution: Thermodynamics, kinetics, influence of functionalization and solution parameters. Sci. Rep. 2019, 9, 1–10. [Google Scholar] [CrossRef] [PubMed] [Green Version]
- Acharya, J.; Sahu, J.; Mohanty, C.; Meikap, B. Removal of lead (II) from wastewater by activated carbon developed from Tamarind wood by zinc chloride activation. Chem. Eng. J. 2009, 149, 249–262. [Google Scholar] [CrossRef]
- Kyzas, G.Z.; Deliyanni, E.A. Modified activated carbons from potato peels as green environmental-friendly adsorbents for the treatment of pharmaceutical effluents. Chem. Eng. Res. Des. 2015, 97, 135–144. [Google Scholar] [CrossRef]
- An, B.J.P. Cu (II) and As (V) adsorption kinetic characteristic of the multifunctional amino groups in chitosan. Processes 2020, 8, 1194. [Google Scholar] [CrossRef]
- Hamdaoui, O.; Naffrechoux, E. Modeling of adsorption isotherms of phenol and chlorophenols onto granular activated carbon: Part I. Two-parameter models and equations allowing determination of thermodynamic parameters. J. Hazard. Mater. 2007, 147, 381–394. [Google Scholar] [CrossRef]
- Kumar, P.S.; Ramalingam, S.; Senthamarai, C.; Niranjanaa, M.; Vijayalakshmi, P.; Sivanesan, S. Adsorption of dye from aqueous solution by cashew nut shell: Studies on equilibrium isotherm, kinetics and thermodynamics of interactions. Desalination 2010, 261, 52–60. [Google Scholar] [CrossRef]
- Aljeboree, A.M.; Alshirifi, A.N.; Alkaim, A.F. Kinetics and equilibrium study for the adsorption of textile dyes on coconut shell activated carbon. Arab. J. Chem. 2017, 10, S3381–S3393. [Google Scholar] [CrossRef] [Green Version]
- Jain, S.N.; Shaikh, Z.; Mane, V.S.; Vishnoi, S.; Mawal, V.N.; Patel, O.R.; Bhandari, P.S.; Gaikwad, M. Nonlinear regression approach for acid dye remediation using activated adsorbent: Kinetic, isotherm, thermodynamic and reusability studies. Microchem. J. 2019, 148, 605–615. [Google Scholar] [CrossRef]
- Do, D.D. Adsorption Analysis: Equilibria and Kinetics; Imperial College Press: London, UK, 1998; Volume 2. [Google Scholar]
- Letshwenyo, M.W.; Mokgosi, S. Investigation of water treatment sludge from drinking water treated with Zetafloc 553I coagulant for phosphorus removal from wastewater. J. Environ. Manag. 2021, 282, 111909. [Google Scholar] [CrossRef] [PubMed]
- Demirbas, O.; Calimli, M.H.; Kuyuldar, E.; Alma, M.H.; Nas, M.S.; Sen, F. Equilibrium, kinetics, and thermodynamic of adsorption of enzymes on diatomite clay materials. BioNanoScience 2019, 9, 474–482. [Google Scholar] [CrossRef]
- Aarab, N.; Hsini, A.; Essekri, A.; Laabd, M.; Lakhmiri, R.; Albourine, A. Removal of an emerging pharmaceutical pollutant (metronidazole) using PPY-PANi copolymer: Kinetics, equilibrium and DFT identification of adsorption mechanism. Groundw. Sustain. Dev. 2020, 11, 100416. [Google Scholar] [CrossRef]
- Vasudevan, S.; Lakshmi, J. Studies relating to an electrochemically assisted coagulation for the removal of chromium from water using zinc anode. Water Supply 2011, 11, 142–150. [Google Scholar] [CrossRef]
- Inglezakis, V.J.; Zorpas, A.A. Heat of adsorption, adsorption energy and activation energy in adsorption and ion exchange systems. Desalination Water Treat. 2012, 39, 149–157. [Google Scholar] [CrossRef]
- Wen, J.; Xie, J.; Chen, X.; Li, X. A review on g-C3N4-based photocatalysts. Appl. Surf. Sci. 2017, 391, 72–123. [Google Scholar] [CrossRef]
- Wang, C.; Zhang, X.; Liu, Y. Promotion of multi-electron transfer for enhanced photocatalysis: A review focused on oxygen reduction reaction. Appl. Surf. Sci. 2015, 358, 28–45. [Google Scholar] [CrossRef]
- Jiang, D.; Chen, L.; Zhu, J.; Chen, M.; Shi, W.; Xie, J. Novel p–n heterojunction photocatalyst constructed by porous graphite-like C 3 N 4 and nanostructured BiOI: Facile synthesis and enhanced photocatalytic activity. Dalton Trans. 2013, 42, 15726–15734. [Google Scholar] [CrossRef] [PubMed]
- Dai, D.; Qiu, J.; Li, M.; Xu, J.; Zhang, L.; Yao, J. Construction of two-dimensional BiOI on carboxyl-rich MIL-121 for visible-light photocatalytic degradation of tetracycline. J. Alloy. Compd. 2021, 872, 159711. [Google Scholar] [CrossRef]
- Qiu, H.; Zhang, R.; Yu, Y.; Shen, R.; Gao, H. BiOI-on-SiO2 microspheres: A floating photocatalyst for degradation of diesel oil and dye wastewater. Sci. Total Environ. 2020, 706, 136043. [Google Scholar] [CrossRef] [PubMed]
- Intaphong, P.; Phuruangrat, A.; Thongtem, S.; Thongtem, T. Sonochemical synthesis and characterization of BiOI nanoplates for using as visible-light-driven photocatalyst. Mater. Lett. 2018, 213, 88–91. [Google Scholar] [CrossRef]
- Dayana, P.N.; Abel, M.J.; Inbaraj, P.; Sivaranjani, S.; Thiruneelakandan, R.; Prince, J.J. Zirconium Doped Copper Ferrite (CuFe2O4) Nanoparticles for the Enhancement of Visible Light-Responsive Photocatalytic Degradation of Rose Bengal and Indigo Carmine Dyes. J. Clust. Sci. 2021, 1–11. [Google Scholar] [CrossRef]
- Ray, S.K.; Dhakal, D.; Lee, S.W. Visible light driven Ni–BaMo3O10 photocatalyst for indigo carmine degradation: Mechanism and pathways. Mater. Sci. Semicond. Process. 2020, 105, 104697. [Google Scholar] [CrossRef]
- Ramos, R.O.; Albuquerque, M.V.; Lopes, W.S.; Sousa, J.T.; Leite, V.D. Degradation of indigo carmine by photo-Fenton, Fenton, H2O2/UV-C and direct UV-C: Comparison of pathways, products and kinetics. J. Water Process Eng. 2020, 37, 101535. [Google Scholar] [CrossRef]










| Nanomaterial | Pollutant | Photodegradation Percentage/Time | Reference |
|---|---|---|---|
| BiOI | Indigo carmine | 93% within 180 min | This study |
| BiOI | Rhodamine B | 81% within 180 min | [65] |
| BiOI | Methyl orange | 40% within 180 min | [44] |
| BiOI | Phenol | 87% in 180 min | [21] |
| BiOI | Tetracyclene | 33% within 120 min | [63] |
| CuFe2O4 | Indigo carmine | 35% within 120 min | [66] |
| CuFe2O4-1% Zr | Indigo carmine | 46% within 120 min | [66] |
| CuFe2O4-3% Zr | Indigo carmine | 55% within 120 min | [66] |
| CuFe2O4-5% Zr | Indigo carmine | 71% within 120 min | [66] |
Publisher’s Note: MDPI stays neutral with regard to jurisdictional claims in published maps and institutional affiliations. |
© 2022 by the authors. Licensee MDPI, Basel, Switzerland. This article is an open access article distributed under the terms and conditions of the Creative Commons Attribution (CC BY) license (https://creativecommons.org/licenses/by/4.0/).
Share and Cite
Elamin, M.R.; Ibnaouf, K.H.; Elamin, N.Y.; Adam, F.A.; Alolayan, A.H.; Abdulkhair, B.Y. Spontaneous Adsorption and Efficient Photodegradation of Indigo Carmine under Visible Light by Bismuth Oxyiodide Nanoparticles Fabricated Entirely at Room Temperature. Inorganics 2022, 10, 65. https://doi.org/10.3390/inorganics10050065
Elamin MR, Ibnaouf KH, Elamin NY, Adam FA, Alolayan AH, Abdulkhair BY. Spontaneous Adsorption and Efficient Photodegradation of Indigo Carmine under Visible Light by Bismuth Oxyiodide Nanoparticles Fabricated Entirely at Room Temperature. Inorganics. 2022; 10(5):65. https://doi.org/10.3390/inorganics10050065
Chicago/Turabian StyleElamin, Mohamed R., Khalid H. Ibnaouf, Nuha Y. Elamin, Fatima A. Adam, Abdulrahman H. Alolayan, and Babiker Y. Abdulkhair. 2022. "Spontaneous Adsorption and Efficient Photodegradation of Indigo Carmine under Visible Light by Bismuth Oxyiodide Nanoparticles Fabricated Entirely at Room Temperature" Inorganics 10, no. 5: 65. https://doi.org/10.3390/inorganics10050065
APA StyleElamin, M. R., Ibnaouf, K. H., Elamin, N. Y., Adam, F. A., Alolayan, A. H., & Abdulkhair, B. Y. (2022). Spontaneous Adsorption and Efficient Photodegradation of Indigo Carmine under Visible Light by Bismuth Oxyiodide Nanoparticles Fabricated Entirely at Room Temperature. Inorganics, 10(5), 65. https://doi.org/10.3390/inorganics10050065

