A Tetranuclear Dysprosium Schiff Base Complex Showing Slow Relaxation of Magnetization
Abstract
:1. Introduction
2. Results and Discussion
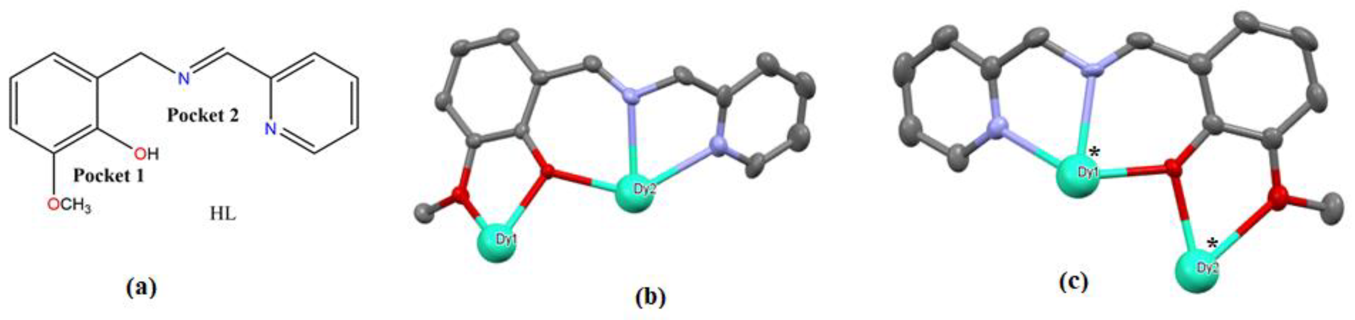
2.1. Structural Description of Tetranuclear Dysprosium Complex 1
2.2. DC Susceptibility
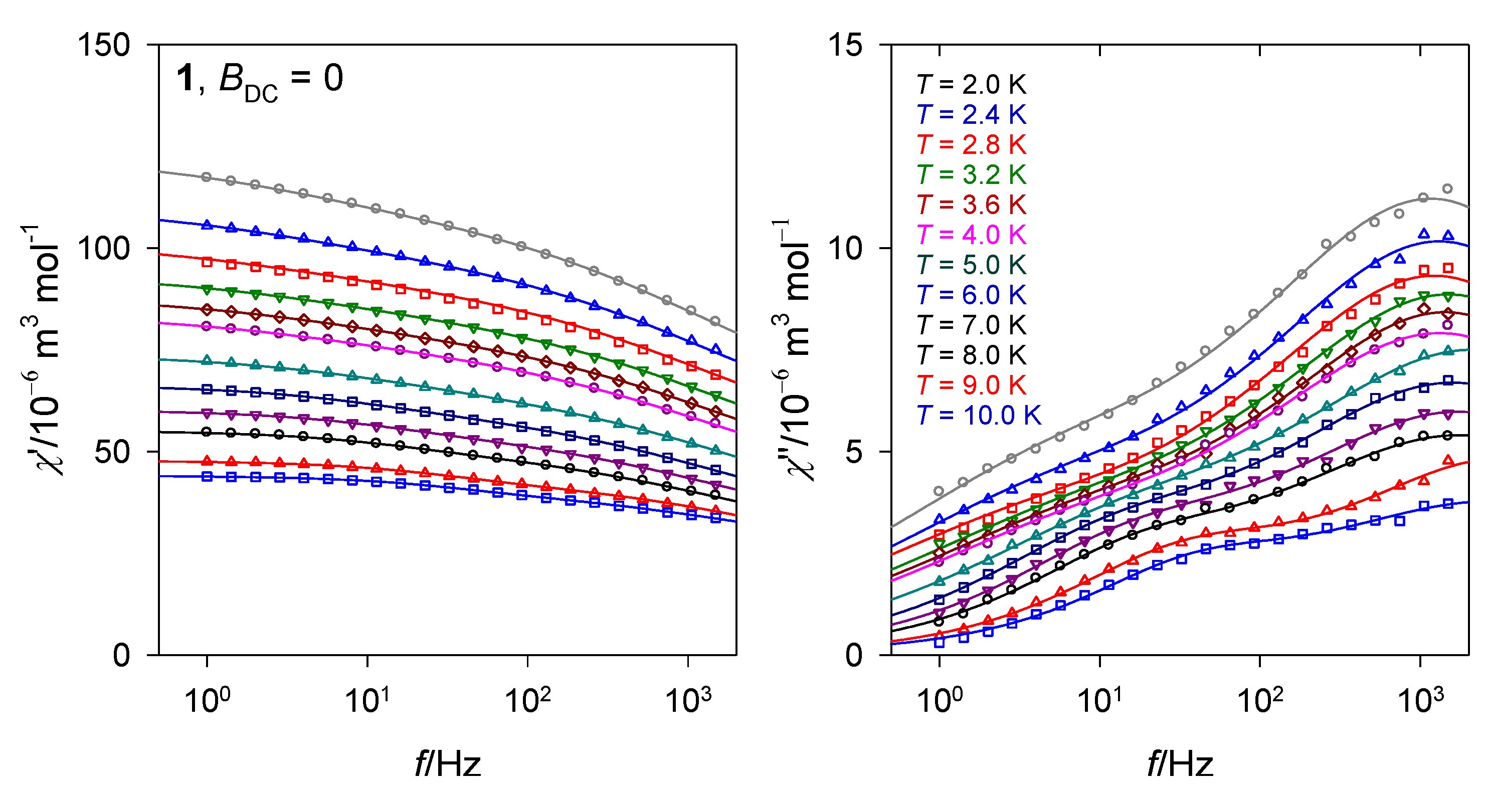
2.3. AC Susceptibility
3. Materials and Methods
3.1. General Procedures
3.2. Synthesis of Tetranuclear Dysprosium Complex (1)
3.3. X-ray Crystallography
4. Conclusions
Supplementary Materials
Author Contributions
Funding
Institutional Review Board Statement
Informed Consent Statement
Data Availability Statement
Acknowledgments
Conflicts of Interest
References
- Gatteschi, D.; Sessoli, R.; Villain, J. Molecular Nanomagnets; Oxford University Press: Oxford, UK, 2006; ISBN 9780191718298. [Google Scholar]
- Ritter, S.K. Single-molecule magnets evolve. Chem. Eng. News 2004, 82, 29–32. [Google Scholar] [CrossRef]
- Layfield, R.A.; Murugesu, M. Lanthanides and Actinides in Molecular Magnetism; John Wiley & Sons: Hoboken, NJ, USA, 2015; ISBN 9781119950837. [Google Scholar]
- Sessoli, R.; Gatteschi, D.; Caneschi, A.; Novak, M.A. Magnetic bistability in a metal-ion cluster. Nature 1993, 365, 141–143. [Google Scholar] [CrossRef]
- Ishikawa, N.; Sugita, M.; Ishikawa, T.; Koshihara, S.; Kaizu, Y. Lanthanide Double-Decker Complexes Functioning as Magnets at the Single-Molecular Level. J. Am. Chem. Soc. 2003, 125, 8694–8695. [Google Scholar] [CrossRef] [PubMed]
- Zhang, P.; Zhang, L.; Tang, J. Lanthanide single molecule magnets: Progress and perspective. Dalt. Trans. 2015, 44, 3923–3929. [Google Scholar] [CrossRef] [PubMed]
- Woodruff, D.N.; Winpenny, R.E.P.; Layfield, R.A. Lanthanide Single-Molecule Magnets. Chem. Rev. 2013, 113, 5110–5148. [Google Scholar] [CrossRef]
- Boča, R.; Stolárová, M.; Falvello, L.R.; Tomás, M.; Titiš, J.; Černák, J. Slow magnetic relaxations in a ladder-type Dy(III) complex and its dinuclear analogue. Dalt. Trans. 2017, 46, 5344–5351. [Google Scholar] [CrossRef] [PubMed] [Green Version]
- Dolai, M.; Ali, M.; Rajnák, C.; Titiš, J.; Boča, R. Slow magnetic relaxation in Cu(ii)-Eu(iii) and Cu(ii)-La(iii) complexes. New J. Chem. 2019, 43, 12698–12701. [Google Scholar] [CrossRef]
- Hazra, S.; Titiš, J.; Valigura, D.; Boča, R.; Mohanta, S. Bis-phenoxido and bis-acetato bridged heteronuclear {CoIIIDyIII} single molecule magnets with two slow relaxation branches. Dalt. Trans. 2016, 45, 7510–7520. [Google Scholar] [CrossRef]
- Luzon, J.; Sessoli, R. Lanthanides in molecular magnetism: So fascinating, so challenging. Dalt. Trans. 2012, 41, 13556–13567. [Google Scholar] [CrossRef]
- Sorace, L.; Benelli, C.; Gatteschi, D. Lanthanides in molecular magnetism: Old tools in a new field. Chem. Soc. Rev. 2011, 40, 3092–3104. [Google Scholar] [CrossRef]
- Liddle, S.T.; Slageren, J. van Improving f-element single molecule magnets. Chem. Soc. Rev. 2015, 44, 6655–6669. [Google Scholar] [CrossRef] [PubMed] [Green Version]
- Habib, F.; Murugesu, M. Lessons learned from dinuclear lanthanide nano-magnets. Chem. Soc. Rev. 2013, 42, 3278–3288. [Google Scholar] [CrossRef] [Green Version]
- Pinkowicz, D.; Southerland, H.I.; Avendan, C.; Prosvirin, A.; Sanders, C.; Wernsdorfer, W.; Pedersen, K.S.; Dreiser, J.; Cle, R.; Nehrkorn, J.; et al. Cyanide Single-Molecule Magnets Exhibiting Solvent Dependent Reversible “On” and “Off ” Exchange Bias Behavior. J. Am. Chem. Soc. 2015, 45, 14406–14422. [Google Scholar] [CrossRef] [PubMed]
- Dreiser, J. Molecular lanthanide single-ion magnets: From bulk to submonolayers. J. Phys. Condens. Matter 2015, 27, 183203. [Google Scholar] [CrossRef] [PubMed]
- Lin, S.Y.; Tang, J. Versatile tetranuclear dysprosium single-molecule magnets. Polyhedron 2014, 83, 185–196. [Google Scholar] [CrossRef]
- Vráblová, A.; Tomás, M.; Falvello, L.R.; Dlháň, Ľ.; Titiš, J.; Černák, J.; Boča, R. Slow magnetic relaxation in Ni-Ln (Ln = Ce, Gd, Dy) dinuclear complexes. Dalt. Trans. 2019, 48, 13943–13952. [Google Scholar] [CrossRef] [Green Version]
- Moreno-Pineda, E.; Godfrin, C.; Balestro, F.; Wernsdorfer, W.; Ruben, M. Molecular spin qudits for quantum algorithms. Chem. Soc. Rev. 2018, 47, 501–513. [Google Scholar] [CrossRef] [Green Version]
- Peng, J.B.; Kong, X.J.; Zhang, Q.C.; Orendáč, M.; Prokleška, J.; Ren, Y.P.; Long, L.S.; Zheng, Z.; Zheng, L.S. Beauty, symmetry, and magnetocaloric effect-four-shell keplerates with 104 lanthanide atoms. J. Am. Chem. Soc. 2014, 136, 17938–17941. [Google Scholar] [CrossRef]
- Vincent, R.; Klyatskaya, S.; Ruben, M.; Wernsdorfer, W.; Balestro, F. Electronic read-out of a single nuclear spin using a molecular spin transistor. Nature 2012, 488, 357–360. [Google Scholar] [CrossRef]
- Gebrezgiabher, M.; Bayeh, Y.; Gebretsadik, T.; Gebreslassie, G.; Elemo, F.; Thomas, M.; Linert, W. Lanthanide-based single-molecule magnets derived from schiff base ligands of salicylaldehyde derivatives. Inorganics 2020, 8, 66. [Google Scholar] [CrossRef]
- Senthil Kumar, K.; Bayeh, Y.; Gebretsadik, T.; Elemo, F.; Gebrezgiabher, M.; Thomas, M.; Ruben, M. Spin-crossover in iron(ii)-Schiff base complexes. Dalt. Trans. 2019, 48, 15321–15337. [Google Scholar] [CrossRef] [PubMed]
- Khan, A.; Akhtar, M.N.; Lan, Y.; Anson, C.E.; Powell, A.K. Linear shaped hetero-metallic [Zn2Ln4] clusters with Schiff base ligand: Synthesis, characterization and magnetic properties. Inorg. Chim. Acta 2021, 524, 5–10. [Google Scholar] [CrossRef]
- Khan, A.; Fuhr, O.; Akhtar, M.N.; Lan, Y.; Thomas, M.; Powell, A.K. Synthesis, characterization and magnetic studies of dinuclear lanthanide complexes constructed with a Schiff base ligand. J. Coord. Chem. 2020, 73, 1045–1054. [Google Scholar] [CrossRef]
- Wang, H.L.; Peng, J.M.; Zhu, Z.H.; Mo, K.Q.; Ma, X.F.; Li, B.; Zou, H.H.; Liang, F.P. Step-by-Step and Competitive Assembly of Two Dy(III) Single-Molecule Magnets with Their Performance Tuned by Schiff Base Ligands. Cryst. Growth Des. 2019, 19, 5369–5375. [Google Scholar] [CrossRef]
- Maxim, C.; Pasatoiu, T.D.; Kravtsov, V.C.; Shova, S.; Muryn, C.A.; Winpenny, R.E.P.; Tuna, F.; Andruh, M. Copper(II) and zinc(II) complexes with Schiff-base ligands derived from salicylaldehyde and 3-methoxysalicylaldehyde: Synthesis, crystal structures, magnetic and luminescence properties. Inorg. Chim. Acta 2008, 361, 3903–3911. [Google Scholar] [CrossRef]
- Patil, S.A.; Weng, C.M.; Huang, P.C.; Hong, F.E. Convenient and efficient Suzuki-Miyaura cross-coupling reactions catalyzed by palladium complexes containing N,N,O-tridentate ligands. Tetrahedron 2009, 65, 2889–2897. [Google Scholar] [CrossRef]
- Llunell, S.A.M.; Casanova, D.; Cirera, J.; Alemany, P.; Alvarez, S. SHAPE-Program for the Stereochemical Analysis of Molecular Fragments by Means of Continuous Shape Measures and Associated Tools Version 2.1; Universitat de Barcelona: Barcelona, Spain, 2013. [Google Scholar]
- Zheng, Y.Z.; Lan, Y.; Anson, C.E.; Powell, A.K. Anion-perturbed magnetic slow relaxation in planar {Dy4} clusters. Inorg. Chem. 2008, 47, 10813–10815. [Google Scholar] [CrossRef]
- Langley, S.K.; Chilton, N.F.; Gass, I.A.; Moubaraki, B.; Murray, K.S. Planar tetranuclear lanthanide clusters with the Dy4 analogue displaying slow magnetic relaxation. Dalt. Trans. 2011, 40, 12656–12659. [Google Scholar] [CrossRef]
- Abbas, G.; Lan, Y.; Kostakis, G.E.; Wernsdorfer, W.; Anson, C.E.; Powell, A.K. Series of isostructural planar lanthanide complexes [LnIII4(μ3-OH)2(mdeaH)2(piv) 8] with single molecule magnet behavior for the Dy4 analogue. Inorg. Chem. 2010, 49, 8067–8072. [Google Scholar] [CrossRef]
- Jami, A.K.; Ali, J.; Mondal, S.; Homs-Esquius, J.; Sañudo, E.C.; Baskar, V. Dy2 and Dy4 hydroxo clusters assembled using o-vanillin based Schiff bases as ligands and β-diketone co-ligands: Dy4 cluster exhibits slow magnetic relaxation. Polyhedron 2018, 151, 90–99. [Google Scholar] [CrossRef]
- Lin, P.H.; Burchell, T.J.; Ungur, L.; Chibotaru, L.F.; Wernsdorfer, W.; Murugesu, M. A polinuclear lanthanide single-molecule magnet with a record anisotropic barrier. Angew. Chemie-Int. Ed. 2009, 48, 9489–9492. [Google Scholar] [CrossRef] [PubMed]
- Kuang, W.W.; Zhu, L.L.; Xu, Y.; Yang, P.P. A tetranuclear holmium compound exhibiting single molecule magnet behavior. Inorg. Chem. Commun. 2015, 61, 169–172. [Google Scholar] [CrossRef]
- Yan, P.F.; Lin, P.H.; Habib, F.; Aharen, T.; Murugesu, M.; Deng, Z.P.; Li, G.M.; Sun, W. Bin Planar tetranuclear dy(III) single-molecule magnet and its Sm(III), Gd(III), and Tb(III) analogues encapsulated by salen-type and β-diketonate ligands. Inorg. Chem. 2011, 50, 7059–7065. [Google Scholar] [CrossRef] [PubMed]
- Boča, R. A Handbook of Magnetochemical Formulae; Elsevier: Amsterdam, The Netherlands, 2012; ISBN 978-0-12-416014-9. [Google Scholar]
- Agilent, CrysAlisPro Data Collection and Processing Software for Agilent X-ray Diffractometers; Technol. UK Ltd.: Oxford, UK, 2014; Volume 44, pp. 1–53.
- Sheldrick, G.M. A short history of SHELX. Acta Crystallogr. Sect. A Found. Crystallogr. 2008, 64, 112–122. [Google Scholar] [CrossRef] [Green Version]










| Dy/Dy* | Dy1 | Dy2 | Dy1* | Dy2* |
|---|---|---|---|---|
| Dy1 | - | J1, 107, 112 | J2, 109 | J3, 100, 99, 80(Cl) |
| Dy2 | - | J3, 100, 99, 80(Cl) | 0 | |
| Dy1* | - | J1, 107, 112 | ||
| Dy2* | - |
Publisher’s Note: MDPI stays neutral with regard to jurisdictional claims in published maps and institutional affiliations. |
© 2022 by the authors. Licensee MDPI, Basel, Switzerland. This article is an open access article distributed under the terms and conditions of the Creative Commons Attribution (CC BY) license (https://creativecommons.org/licenses/by/4.0/).
Share and Cite
Gebrezgiabher, M.; Schlittenhardt, S.; Rajnák, C.; Sergawie, A.; Ruben, M.; Thomas, M.; Boča, R. A Tetranuclear Dysprosium Schiff Base Complex Showing Slow Relaxation of Magnetization. Inorganics 2022, 10, 66. https://doi.org/10.3390/inorganics10050066
Gebrezgiabher M, Schlittenhardt S, Rajnák C, Sergawie A, Ruben M, Thomas M, Boča R. A Tetranuclear Dysprosium Schiff Base Complex Showing Slow Relaxation of Magnetization. Inorganics. 2022; 10(5):66. https://doi.org/10.3390/inorganics10050066
Chicago/Turabian StyleGebrezgiabher, Mamo, Sören Schlittenhardt, Cyril Rajnák, Assefa Sergawie, Mario Ruben, Madhu Thomas, and Roman Boča. 2022. "A Tetranuclear Dysprosium Schiff Base Complex Showing Slow Relaxation of Magnetization" Inorganics 10, no. 5: 66. https://doi.org/10.3390/inorganics10050066
APA StyleGebrezgiabher, M., Schlittenhardt, S., Rajnák, C., Sergawie, A., Ruben, M., Thomas, M., & Boča, R. (2022). A Tetranuclear Dysprosium Schiff Base Complex Showing Slow Relaxation of Magnetization. Inorganics, 10(5), 66. https://doi.org/10.3390/inorganics10050066

