Decoherence of Higher Order Orbital Angular Momentum Entangled State in Non-Kolmogorov Turbulence
Abstract
1. Introduction
2. Numerical Procedure
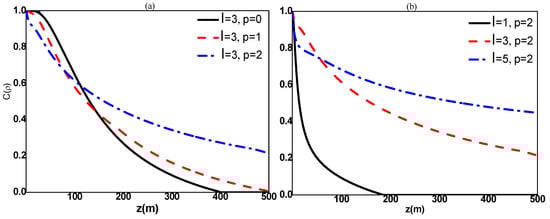
3. Numerical Results and Analysis
4. Discussion and Conclusions
Author Contributions
Funding
Institutional Review Board Statement
Informed Consent Statement
Conflicts of Interest
References
- Ren, Y.; Wang, Z.; Liao, P.; Li, L.; Xie, G.; Huang, H.; Zhao, Z.; Yan, Y.; Ahmed, N.; Willner, A.; et al. Experimental characterization of a 400 Gbit/s orbital angular momentum multiplexed free-space optical link over 120 m. Opt. Lett. 2016, 41, 622. [Google Scholar] [CrossRef] [PubMed]
- Leach, J.; Bolduc, E.; Gauthier, D.J.; Boyd, R.W. Secure information capacity of photons entangled in many dimensions. Phys. Rev. A 2012, 85, 060304. [Google Scholar] [CrossRef]
- Wang, A.; Zhu, L.; Wang, L.; Ai, J.; Chen, S.; Wang, J. Directly using 8.8-km conventional multi-mode fiber for 6-mode orbital angular momentum multiplexing transmission. Opt. Express 2018, 26, 10038. [Google Scholar] [CrossRef] [PubMed]
- Trichili, A.; Salem, A.B.; Dudley, A.; Zghal, M.; Forbes, A. Encoding information using Laguerre Gaussian modes over free space turbulence media. Opt. Lett. 2016, 41, 3086. [Google Scholar] [PubMed]
- Zhu, L.; Liu, J.; Mo, Q.; Du, C.; Wang, J. Encoding/decoding using superpositions of spatial modes for image transfer in km-scale few-mode fiber. Opt. Express 2016, 24, 16934. [Google Scholar] [CrossRef]
- Groblacher, S.; Jennewein, T.; Vaziri, A.; Weihs, G.; Zeilinger, A. Experimental quantum cryptography with qutrits. New J. Phys. 2006, 8, 75. [Google Scholar] [CrossRef]
- Jeong, H.; Kim, M.S. Efficient quantum computation using coherent states. Phys. Rev. A 2002, 65, 042305. [Google Scholar] [CrossRef]
- Ralph, T.C.; Gilchrist, A.; Milburn, G.J. Quantum computation with optical coherent states. Phys. Rev. A 2003, 68, 042319. [Google Scholar]
- Smith, B.J.; Raymer, M.G. Two-photon wave mechanics. Phys. Rev. A 2006, 74, 062104. [Google Scholar] [CrossRef]
- Jha, A.K.; Tyler, G.A.; Boyd, R.W. Effects of atmospheric turbulence on the entanglement of spatial two-qubit states. Phys. Rev. A 2010, 81, 1532. [Google Scholar]
- Roux, F.S. Infinitesimal-propagation equation for decoherence of an orbital-angular-momentum-entangled biphoton state in atmospheric turbulence. Phys. Rev. A 2011, 83, 053822. [Google Scholar] [CrossRef]
- Sheng, X.; Zhang, Y.; Zhao, F.; Zhang, L.; Zhu, Y. Effects of low-order atmosphere-turbulence aberrations on the entangled orbital angular momentum state. Opt. Lett. 2012, 37, 2607. [Google Scholar] [CrossRef] [PubMed]
- Gonzalez Alonso, J.R.; Brun, T.A. Protecting orbital-angular momentum photons from decoherence in turbulent atmosphere. Phys. Rev. A 2013, 88, 022326. [Google Scholar] [CrossRef]
- Leonhard, N.D.; Shatokhin, V.N.; Buchleitner, A. Universal entanglement decay of photonic-orbital-angular-momentum qubit states in atmospheric turbulence. Phys. Rev. A 2015, 91, 012345. [Google Scholar] [CrossRef]
- Ibrahim, A.H.; Roux, F.S.; McLaren, M.; Konrad, T.; Forbes, A. Orbital-angular-momentum entanglement in turbulence. Phys. Rev. A 2013, 88, 012312. [Google Scholar] [CrossRef]
- Ibrahim, A.H.; Roux, F.S.; Konrad, T. Parameter dependence in the atmospheric decoherence of modally entangled photon pairs. Phys. Rev. A 2014, 90, 052115. [Google Scholar] [CrossRef]
- Yan, X.; Zhang, P.F.; Zhang, J.H.; Qiao, C.H.; Fan, C.Y. Decoherence of orbital angular momentum photons tangled in non-Kolmogorov turbulence. J. Opt. Soc. Am. A 2016, 33, 1831. [Google Scholar] [CrossRef]
- Yan, X.; Zhang, P.F.; Zhang, J.H.; Feng, X.X.; Qiao, C.H.; Fan, C.Y. Effect of atmospheric turbulence on entangled orbital angular momentum three-qubit state. Chin. Phys. B 2017, 26, 064202. [Google Scholar] [CrossRef]
- Zhang, L.; Zhu, Y. The influence of non-Kolmogorov turbulence on the entanglement of spatial two-qubit states in a slant channel. Optik 2014, 125, 1259–1263. [Google Scholar] [CrossRef]
- Brunner, T.; Roux, F.S. Robust entangled qutrit states in atmospheric turbulence. New J. Phys. 2013, 15, 063005. [Google Scholar] [CrossRef]
- Zhang, Y.W.; Prabhakar, S.; Ibrahim, A.H.; Roux, F.S.; Forbes, A.; Konrad, T. Experimentally observed decay of high-dimensional entanglement through turbulence. Phys. Rev. A 2016, 94, 032310. [Google Scholar] [CrossRef]
- Paterson, C. Atmospheric Turbulence and Orbital Angular Momentum of Single Photons for Optical Communication. Phys. Rev. Lett. 2005, 94, 153901. [Google Scholar] [CrossRef] [PubMed]
- Sorelli, G.; Shatokhin, V.N.; Roux, F.S.; Buchleitner, A. Entanglement of truncated quantum states. Quantum Sci. Technol. 2020, 5, 035012. [Google Scholar] [CrossRef]
- Yan, X.; Zhang, P.F.; Fan, C.Y.; Zhang, J.H. Effect of atmospheric turbulence on orbital angular momentum entangled state. Commun. Theor. Phys. 2022, 74, 025102. [Google Scholar] [CrossRef]
- Wootters, W.K. Entanglement of formation of an arbitrary state of two qubits. Phys. Rev. Lett. 1998, 80, 2245–2248. [Google Scholar] [CrossRef]
- Allen, L.; Beijersbergen, M.W.; Spreeuw RJ, C.; Woerdman, J.P. Orbital angular momentum of light and the transformation of Laguerre-Gaussian laser modes. Phys. Rev. A 1992, 45, 8185–8189. [Google Scholar] [CrossRef]
- Beijersbergen, M.W.; Allen, L.; Van Der Veen, H.E.L.O.; Woerdman, J.P. Astigmatic laser mode converters and transfer of orbital angular momentum. Opt. Commun. 1993, 96, 123–132. [Google Scholar] [CrossRef]
- Zeng, J.; Liu, X.L.; Zhao, C.L.; Wang, F.; Gbur, G.; Cai, Y.J. Spiral spectrum of a Laguerre-Gaussian beam propagating in anisotropic non-Kolmogorov turbulent atmosphere along horizontal path. Opt. Express 2019, 27, 25342. [Google Scholar] [CrossRef]
- Toselli, I.; Andrews, L.C.; Phillips, R.L.; Ferrero, V. Free-space optical system performance for laser beam propagation through non-kolmogorov turbulence. Opt. Eng. 2007, 47, 026003. [Google Scholar]
- Stribling, B.E.; Welsh, B.M.; Roggemann, M.C. Optical propagation in non-Kolmogorov atmospheric turbulence. In Proceedings of the SPIE’s 1995 Symposium on OE/Aerospace Sensing and Dual Use Photonics, Orlando, FL, USA, 15 June 1995; Volume 2471, pp. 181–196. [Google Scholar]
- Zhao, L.; Xu, Y.; Yang, S. Statistical properties of partially coherent vector beams propagating through anisotropic atmospheric turbulence. Optik 2021, 227, 166115. [Google Scholar] [CrossRef]
- Xu, H.F.; Cui, Z.F.; Qu, J. Propagation of elegant Laguerre-Gaussian beam in non-Kolmogorov turbulence. Opt. Express 2011, 19, 211. [Google Scholar] [CrossRef] [PubMed]
- Shirai, T.; Dogariu, A.; Wolf, E. Directionality of Gaussian Schell-model beams propagating in atmospheric turbulence. Opt. Lett. 2003, 28, 610. [Google Scholar] [CrossRef] [PubMed]
- Shchepakina, E.; Korotkova, O. Second-order statistics of stochastic electromagnetic beams propagating through non-Kolmogorov turbulence. Opt. Express 2010, 18, 10650. [Google Scholar] [CrossRef] [PubMed]
- Zhou, P.; Ma, Y.; Wang, X. Average spreading of a Gaussian beam array in non-Kolmogorov turbulence. Opt. Lett. 2010, 35, 1043. [Google Scholar] [CrossRef] [PubMed]
- Bachmann, D.; Shatokhin, V.N.; Buchleitner, A. Universal entanglement decay of photonic orbital angular momentum qubit states in atmospheric turbulence: An analytical treatment. J. Phys. A Math. Theor. 2019, 52, 405303. [Google Scholar] [CrossRef]







Publisher’s Note: MDPI stays neutral with regard to jurisdictional claims in published maps and institutional affiliations. |
© 2022 by the authors. Licensee MDPI, Basel, Switzerland. This article is an open access article distributed under the terms and conditions of the Creative Commons Attribution (CC BY) license (https://creativecommons.org/licenses/by/4.0/).
Share and Cite
Yan, X.; Zhang, P.; Wu, B.; Zhang, J. Decoherence of Higher Order Orbital Angular Momentum Entangled State in Non-Kolmogorov Turbulence. Photonics 2022, 9, 808. https://doi.org/10.3390/photonics9110808
Yan X, Zhang P, Wu B, Zhang J. Decoherence of Higher Order Orbital Angular Momentum Entangled State in Non-Kolmogorov Turbulence. Photonics. 2022; 9(11):808. https://doi.org/10.3390/photonics9110808
Chicago/Turabian StyleYan, Xiang, Pengfei Zhang, Boying Wu, and Jinghui Zhang. 2022. "Decoherence of Higher Order Orbital Angular Momentum Entangled State in Non-Kolmogorov Turbulence" Photonics 9, no. 11: 808. https://doi.org/10.3390/photonics9110808
APA StyleYan, X., Zhang, P., Wu, B., & Zhang, J. (2022). Decoherence of Higher Order Orbital Angular Momentum Entangled State in Non-Kolmogorov Turbulence. Photonics, 9(11), 808. https://doi.org/10.3390/photonics9110808
