Quantum Tomography of Two-Qutrit Werner States
Abstract
1. Introduction
2. Materials and Methods
2.1. Two-Qutrit Werner State
2.2. Measurements
2.3. Quantum-State Estimation with Gaussian Noise
3. Numerical Results and Analysis
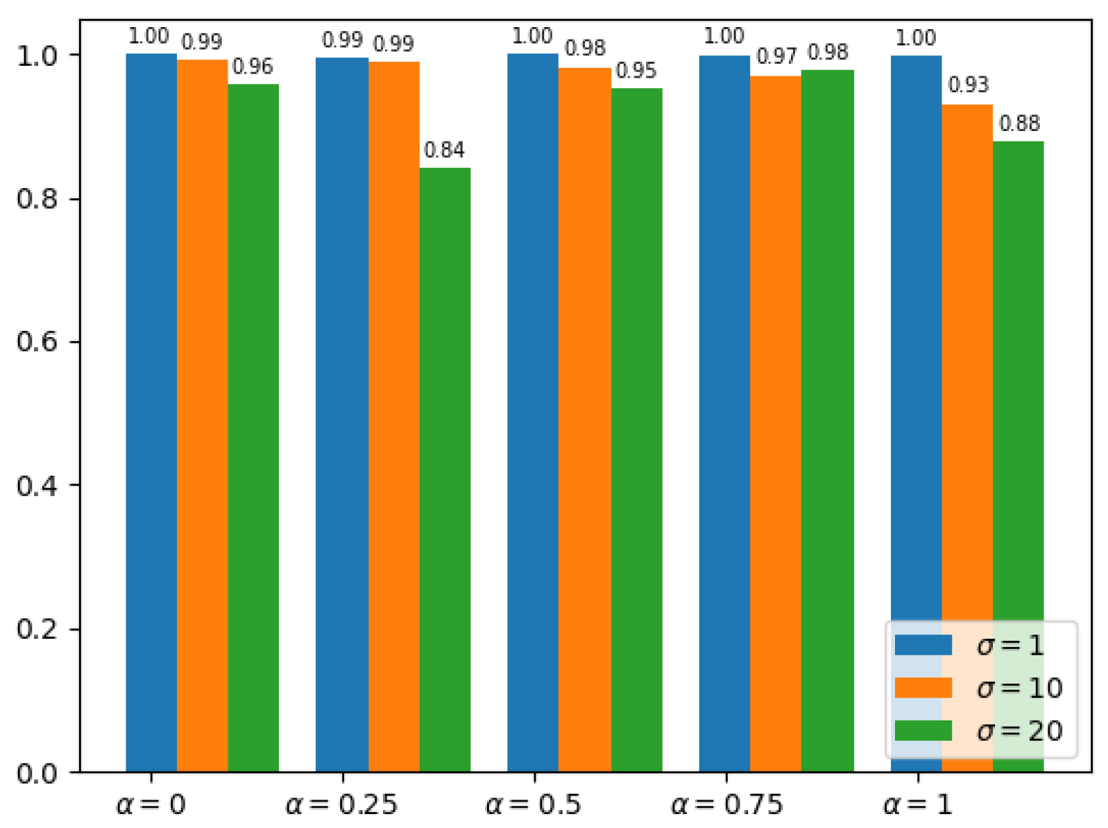
3.1. Fidelity
3.2. Purity
3.3. Entanglement
3.4. Coherence
4. Discussion
5. Conclusions
Author Contributions
Funding
Institutional Review Board Statement
Informed Consent Statement
Data Availability Statement
Conflicts of Interest
References
- Paris, M.G.A.; Řeháček, J. (Eds.) Quantum-State Estimation (Lecture Notes in Physics); Springer: Berlin/Heidelberg, Germany, 2004. [Google Scholar]
- D’Ariano, G.M.; Paris, M.G.A.; Sacchi, M.F. Quantum Tomography. Adv. Imaging Electron Phys. 2003, 128, 205–308. [Google Scholar]
- Hradil, Z. Quantum-state estimation. Phys. Rev. A 1997, 55R, 1561. [Google Scholar] [CrossRef]
- Czerwinski, A. Quantifying entanglement of two-qubit Werner states. Commun. Theor. Phys. 2021, 73, 085101. [Google Scholar] [CrossRef]
- Czerwinski, A. Entanglement Characterization by Single-Photon Counting with Random Noise. Quantum Inf. Comput 2021, 22, 1–16. [Google Scholar] [CrossRef]
- Czerwinski, A. Hamiltonian tomography by the quantum quench protocol with random noise. Phys. Rev. A 2021, 104, 052431. [Google Scholar] [CrossRef]
- Nielsen, M.A.; Chuang, I.L. Quantum Computation and Quantum Information; Cambridge University Press: London, UK, 2000. [Google Scholar]
- Busch, P. Informationally complete sets of physical quantities. Int. J. Theor. Phys. 1991, 30, 1217–1227. [Google Scholar] [CrossRef]
- Jack, B.; Leach, J.; Ritsch, H.; Barnett, S.M.; Padgett, M.J.; Franke-Arnold, S. Precise quantum tomography of photon pairs with entangled orbital angular momentum. New J. Phys. 2009, 11, 103024. [Google Scholar] [CrossRef]
- Werner, R.F. Quantum states with Einstein-Podolsky-Rosen correlations admitting a hidden-variable model. Phys. Rev. A 1989, 40, 4277–4281. [Google Scholar] [CrossRef]
- Bennett, C.H.; Brassard, G.; Popescu, S.; Schumacher, B.; Smolin, J.A.; Wootters, W.K. Purification of Noisy Entanglement and Faithful Teleportation via Noisy Channels. Phys. Rev. Lett. 1996, 76, 722. [Google Scholar] [CrossRef]
- Checinska, A.; Wodkiewicz, K. Separability of entangled qutrits in noisy channels. Phys. Rev. A 2007, 76, 052306. [Google Scholar] [CrossRef]
- Chen, K.; Albeverio, S.; Fei, S.-M. Concurrence-Based Entanglement Measure For Werner States. Rep. Math. Phys. 2006, 58, 325–334. [Google Scholar] [CrossRef]
- Řeháček, J.; Englert, B.G.; Kaszlikowski, D. Minimal qubit tomography. Phys. Rev. A 2004, 70, 052321. [Google Scholar]
- DeBrota, J.B.; Fuchs, C.A.; Stacy, B.C. The varieties of minimal tomographically complete measurements. Int.J.Quantum Inf. 2021, 19, 2040005. [Google Scholar] [CrossRef]
- James, D.F.V.; Kwiat, P.G.; Munro, W.J.; White, A.G. Measurement of qubits. Phys. Rev. A 2001, 64, 052312. [Google Scholar] [CrossRef]
- Yuan, H.; Zhou, Z.-W.; Guo, G.-C. Quantum state tomography via mutually unbiased measurements in driven cavity QED systems. New J. Phys. 2016, 18, 043013. [Google Scholar] [CrossRef]
- Hill, S.; Wootters, W.K. Entanglement of a Pair of Quantum Bits. Phys. Rev. Lett. 1997, 78, 5022–5025. [Google Scholar] [CrossRef]
- Wootters, W.K. Entanglement of Formation of an Arbitrary State of Two Qubits. Phys. Rev. Lett. 1998, 80, 2245–2248. [Google Scholar] [CrossRef]
- Walborn, S.P.; Souto Ribeiro, P.H.; Davidovich, L.; Mintert, F.; Buchleitner, A. Experimental determination of entanglement with a single measurement. Nature 2006, 440, 1022–1024. [Google Scholar] [CrossRef]
- Buchleitner, A.; Carvalho, A.R.R.; Mintert, F. Entanglement in Open Quantum Systems. Acta Phys. Pol. A 2007, 112, 575–588. [Google Scholar] [CrossRef]
- Neves, L.; Lima, G.; Fonseca, E.J.S.; Davidovich, L.; Padua, S. Characterizing entanglement in qubits created with spatially correlated twin photons. Phys. Rev. A 2007, 76, 032314. [Google Scholar] [CrossRef]
- Bergschneider, A.; Klinkhamer, V.M.; Becher, J.H.; Klemt, R.; Palm, L.; Zurn, G.; Jochim, S.; Preiss, P.M. Experimental characterization of two-particle entanglement through position and momentum correlations. Nat. Phys. 2019, 15, 640–644. [Google Scholar] [CrossRef]
- Bennett, C.H.; DiVincenzo, D.P.; Smolin, J.A.; Wootters, W.K. Mixed-state entanglement and quantum error correction. Phys. Rev. A 1996, 54, 3824–3851. [Google Scholar] [CrossRef] [PubMed]
- Horodecki, M. Entanglement measures. Quantum Inf. Comput. 2001, 1, 3–26. [Google Scholar] [CrossRef]
- Baumgratz, T.; Cramer, M.; Plenio, M.B. Quantifying Coherence. Phys. Rev. Lett. 2014, 113, 140401. [Google Scholar] [CrossRef] [PubMed]
- Hillery, M. Coherence as a resource in decision problems: The Deutsch-Jozsa algorithm and a variation. Phys. Rev. A 2016, 93, 012111. [Google Scholar] [CrossRef]
- Shi, H.-L.; Liu, S.-Y.; Wang, X.-H.; Yang, W.-L.; Yang, Z.-Y.; Fan, H. Coherence depletion in the Grover quantum search algorithm. Phys. Rev. A 2017, 95, 032307. [Google Scholar] [CrossRef]
- Cheng, S.; Hall, M.J.W. Complementarity relations for quantum coherence. Phys. Rev. A 2015, 92, 042101. [Google Scholar] [CrossRef]
- Bera, M.N.; Qureshi, T.; Siddiqui, M.A.; Pati, A.K. Duality of quantum coherence and path distinguishability. Phys. Rev. A 2015, 92, 012118. [Google Scholar] [CrossRef]
- Bu, K.; Kumar, A.; Zhang, L.; Wu, J. Cohering power of quantum operations. Phys. Lett. A 2017, 381, 1670. [Google Scholar] [CrossRef]
- Piani, M.; Cianciaruso, M.; Bromley, T.R.; Napoli, C.; Johnston, N.; Adesso, G. Robustness of asymmetry and coherence of quantum states. Phys. Rev. A 2016, 93, 042107. [Google Scholar] [CrossRef]














Publisher’s Note: MDPI stays neutral with regard to jurisdictional claims in published maps and institutional affiliations. |
© 2022 by the authors. Licensee MDPI, Basel, Switzerland. This article is an open access article distributed under the terms and conditions of the Creative Commons Attribution (CC BY) license (https://creativecommons.org/licenses/by/4.0/).
Share and Cite
Wang, H.; He, K. Quantum Tomography of Two-Qutrit Werner States. Photonics 2022, 9, 741. https://doi.org/10.3390/photonics9100741
Wang H, He K. Quantum Tomography of Two-Qutrit Werner States. Photonics. 2022; 9(10):741. https://doi.org/10.3390/photonics9100741
Chicago/Turabian StyleWang, Haigang, and Kan He. 2022. "Quantum Tomography of Two-Qutrit Werner States" Photonics 9, no. 10: 741. https://doi.org/10.3390/photonics9100741
APA StyleWang, H., & He, K. (2022). Quantum Tomography of Two-Qutrit Werner States. Photonics, 9(10), 741. https://doi.org/10.3390/photonics9100741

