Review of Helical Long-Period Fiber Gratings
Abstract
1. Introduction
2. Methods of HLPG Fabrication
2.1. CO2 Laser Heating Techniques
2.2. Hydrogen–Oxygen Flame Heating Techniques
2.3. Arc Discharge Heating Techniques
3. Applications
3.1. OAM Mode Converters
3.1.1. OAM Mode Converters Based on Helical PCFs
3.1.2. OAM Mode Converters Based on Single-Helix HLPG
3.2. All-Fiber Band-Rejection Filters
3.3. Sensing Applications
3.3.1. Torsion Sensors
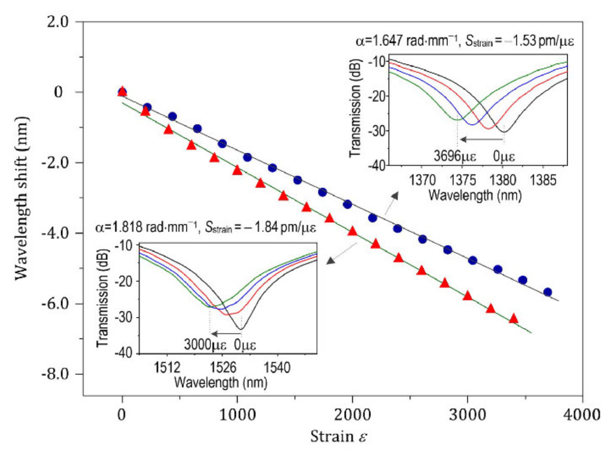
3.3.2. Strain Sensors
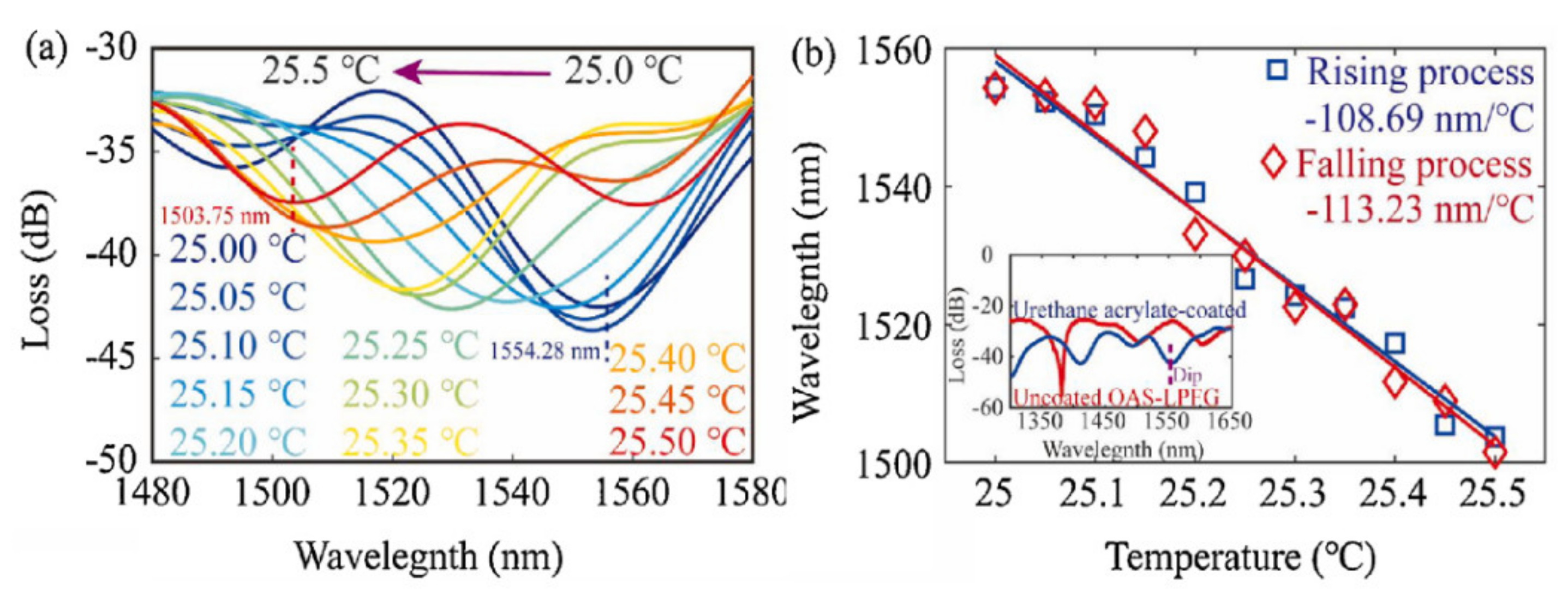
3.3.3. Temperature Sensors
3.3.4. Curvature Sensors
3.3.5. Surrounding Refractive Index (SRI) Sensors
3.4. Near-HLPG Structures
4. Discussions and Conclusions
Author Contributions
Funding
Institutional Review Board Statement
Informed Consent Statement
Data Availability Statement
Conflicts of Interest
References
- Vengsarkar, A.M.; Lemaire, P.J.; Judkins, J.B.; Bhatia, V.; Erdogan, T.; Sipe, J.E. Long-period fiber gratings as band-rejection filters. J. Lightwave Technol. 1996, 14, 58–65. [Google Scholar] [CrossRef]
- Torres-Gomez, I.; Ceballos-Herrera, D.E.; Salas-Alcantara, K.M. Mechanically-induced long-period fiber gratings using laminated plates. Sensors 2020, 20, 2582. [Google Scholar] [CrossRef] [PubMed]
- Heck, M.; Nolte, S.; Tuennermann, A.; Vallee, R.; Bernier, M. Femtosecond-written long-period gratings in fluoride fibers. Opt. Lett. 2018, 43, 1994–1997. [Google Scholar] [CrossRef]
- Singh, R.; Sharma, E.K. Long Period Grating written in 980nm pumped Erbium Doped Fiber. In Proceedings of the 5th International Conference on Photonics, Devices and System, Prague, Czech Republic, 8–11 June 2005. [Google Scholar]
- Min, R.; Marques, C.; Nielsen, K.; Bang, O.; Ortega, B. Fast Inscription of long period gratings in microstructured polymer optical fibers. IEEE Sens. J. 2018, 18, 1919–1923. [Google Scholar] [CrossRef]
- Theodosiou, A.; Min, R.; Leal-Junior, A.G.; Ioannou, A.; Frizera, A.; Pontes, M.J.; Marques, C.; Kalli, K. Long period grating in a multimode cyclic transparent optical polymer fiber inscribed using a femtosecond laser. Opt. Lett. 2019, 44, 5346–5349. [Google Scholar] [CrossRef]
- Xue, P.; Yu, F.; Zheng, J.; IEEE. Fabrication of surface corrugated Long Period Gratings on Plastic Optical Fibers for Refractive Index Sensing. In Proceedings of the 18th International Conference on Optical Communications and Networks, Huangshan, China, 5–8 August 2019. [Google Scholar]
- Erdogan, T. Cladding-mode resonances in short-and long-period fiber grating filters. J. Opt. Soc. Am. A 1997, 14, 1760–1773. [Google Scholar] [CrossRef]
- Wang, Z.; Chiang, K.S.; Liu, Q. Microwave photonic filter based on circulating a cladding mode in a fiber ring resonator. Opt. Lett. 2010, 35, 769–771. [Google Scholar] [CrossRef]
- Zhu, T.; Shi, C.H.; Rao, Y.J.; Shi, L.L.; Chiang, K.S. All-fiber bandwidth-tunable band-rejection filter based on a composite grating induced by CO2 laser pulses. Opt. Express 2009, 17, 16750–16755. [Google Scholar] [CrossRef]
- Han, Y.G.; Lee, S.B.; Kim, C.S.; Jeong, M.Y. Tunable optical add-drop multiplexer based on long-period fiber gratings for coarse wavelength division multiplexing systems. Opt. Lett. 2006, 31, 703–705. [Google Scholar] [CrossRef]
- Liu, Y.; Chiang, K.S.; Rao, Y.J.; Ran, Z.L.; Zhu, T. Light coupling between two parallel CO2-laser written long-period fiber gratings. Opt. Express 2007, 15, 17645–17651. [Google Scholar] [CrossRef]
- Liu, Y.; Liu, Q.; Chiang, K.S. Optical coupling between a long-period fiber grating and a parallel tilted fiber Bragg grating. Opt. Lett. 2009, 34, 1726–1728. [Google Scholar] [CrossRef]
- Ryu, H.S.; Park, Y.; Oh, S.T.; Chung, Y.J.; Kim, D.Y. Effect of asymmetric stress relaxation on the polarization-dependent transmission characteristics of a CO2 laser-written long-period fiber grating. Opt. Lett. 2003, 28, 155–157. [Google Scholar] [CrossRef] [PubMed]
- Wang, Y.; Xiao, L.; Wang, D.N.; Jin, W. In-fiber polarizer based on a long-period fiber grating written on photonic crystal fiber. Opt. Lett. 2007, 32, 1035–1037. [Google Scholar] [CrossRef]
- Coelho, L.; Viegas, D.; Santos, J.L.; de Almeida, J.M.M.M. Characterization of zinc oxide coated optical fiber long period gratings with improved refractive index sensing properties. Sens. Actuators B 2016, 223, 45–51. [Google Scholar] [CrossRef]
- Trono, C.; Baldini, F.; Brenci, M.; Chiavaioli, F.; Mugnaini, M. Flow cell for strain- and temperature-compensated refractive index measurements by means of cascaded optical fibre long period and Bragg gratings. Meas. Sci. Technol. 2011, 22. [Google Scholar] [CrossRef]
- Poole, C.D.; Townsend, C.; Nelson, K.T. Helical-grating two-mode fiber spatial-mode coupler. J. Lightwave Technol. 1991, 9, 598–604. [Google Scholar] [CrossRef]
- Kopp, V.I.; Genack, A.Z. Double-helix chiral fibers. Opt. Lett. 2003, 28, 1876–1878. [Google Scholar] [CrossRef] [PubMed]
- Kopp, V.I.; Bose, R.; Genack, A.Z. Transmission through chiral twist defects in anisotropic periodic structures. Opt. Lett. 2003, 28, 349–351. [Google Scholar] [CrossRef]
- Kopp, V.I.; Churikov, V.M.; Singer, J.; Chao, N.; Neugroschl, D.; Genack, A.Z. Chiral fiber gratings. Science 2004, 305, 74–75. [Google Scholar] [CrossRef]
- Kopp, V.I.; Churikov, V.M.; Genack, A.Z. Synchronization of optical polarization conversion and scattering in chiral fibers. Opt. Lett. 2006, 31, 571–573. [Google Scholar] [CrossRef] [PubMed]
- Kopp, V.I.; Churikov, V.M.; Zhang, G.; Singer, J.; Draper, C.W.; Chao, N.; Neugroschl, D.; Genack, A.Z. Chiral fiber gratings: Perspectives and challenges for sensing applications. In Proceedings of the Third European Workshop on Optical Fibre Sensors, Naples, Italy, 4–6 July 2007. [Google Scholar]
- Kopp, V.I.; Genack, A.Z. CHIRAL FIBRES Adding twist. Nat. Photonics 2011, 5, 470–472. [Google Scholar] [CrossRef]
- Kopp, V.I.; Zhang, G.; Zhang, S.; Genack, A.Z.; Neugroschl, D. Chiral fiber optical isolator. In Proceedings of the Fiber Lasers Vi: Technology, Systems, and Applications, San Jose, CA, USA, 26–29 January 2009. [Google Scholar]
- Bai, Y.; He, Z.; Bai, J.; Dang, S. Axial strain measurement based on dual-wavelength ratio for helical long-period grating. IEEE Sens. Lett. 2020, 4, 1–3. [Google Scholar] [CrossRef]
- Bai, Y.; He, Z.; Bai, J.; Dang, S. The study of second-order coupling of cladding modes of helical long-period gratings inscribed by commercial welding machine. Appl. Phys. B Lasers Opt. 2021, 127, 1–4. [Google Scholar] [CrossRef]
- Bai, Z.; Wang, Y.; Zhang, Y.; Fu, C.; Liu, S.; Li, M.; Liao, C.; Wang, Y.; He, J. Helical long-period fiber gratings as wavelength-tunable orbital angular momentum mode generators. IEEE Photonics Technol. Lett. 2020, 32, 418–421. [Google Scholar] [CrossRef]
- Cho, Y.; Ahmed, F.; Joe, H.-E.; Yun, H.; Min, B.-K.; Jun, M.B.G. Fabrication of a screw-shaped long-period fiber grating for refractive index sensing. IEEE Photonics Technol. Lett. 2017, 29, 2242–2245. [Google Scholar] [CrossRef]
- Deng, M.; Xu, J.; Zhang, Z.; Bai, Z.; Liu, S.; Wang, Y.; Zhang, Y.; Liao, C.; Jin, W.; Peng, G.; et al. Long period fiber grating based on periodically screw-type distortions for torsion sensing. Opt. Express 2017, 25, 14308–14316. [Google Scholar] [CrossRef]
- Fu, C.; Liu, S.; Bai, Z.; He, J.; Liao, C.; Wang, Y.; Li, Z.; Zhang, Y.; Yang, K.; Yu, B.; et al. Orbital angular momentum mode converter based on helical long period fiber grating inscribed by hydrogen-oxygen flame. J. Lightwave Technol. 2018, 36, 1683–1688. [Google Scholar] [CrossRef]
- Han, Z.; Sun, C.; Jin, X.; Jiang, H.; Yao, C.; Zhang, S.; Liu, W.; Geng, T.; Peng, F.; Sun, W.; et al. A polarization-independent torsion sensor based on the near-helical long period fiber grating. Chin. Opt. Lett. 2018, 16. [Google Scholar] [CrossRef]
- Inoue, G.; Wang, P.; Li, H. Flat-top band-rejection filter based on two successively-cascaded helical fiber gratings. Opt. Express 2016, 24, 5442–5447. [Google Scholar] [CrossRef]
- Ivanov, O.V. Fabrication of long-period fiber gratings by twisting a standard single-mode fiber. Opt. Lett. 2005, 30, 3290–3292. [Google Scholar] [CrossRef]
- Kong, X.; Ren, K.; Ren, L.; Liang, J.; Ju, H. Chiral long-period gratings: Fabrication, highly sensitive torsion sensing, and tunable single-band filtering. Appl. Opt. 2017, 56, 4702–4707. [Google Scholar] [CrossRef] [PubMed]
- Kong, X.; Ren, L.; Liang, J.; Ren, K.; Ju, H.; Xu, Y.; Xu, C. A chiral long-period grating fabrication method based on axis-offset rotating optical fiber. Opt. Quantum Electron. 2019, 51, 1–9. [Google Scholar] [CrossRef]
- Li, Y.; Lu, P.; Zhang, C.; Ni, W.; Liu, D.; Zhang, J. Sensing characterization of helical long period fiber grating fabricated by a double-side CO2 laser in single-mode fiber. IEEE Photonics J. 2019, 11. [Google Scholar] [CrossRef]
- Li, Z.; Liu, S.; Bai, Z.; Fu, C.; Zhang, Y.; Sun, Z.; Liu, X.; Wang, Y. Residual-stress-induced helical long period fiber gratings for sensing applications. Opt. Express 2018, 26, 24113–24122. [Google Scholar] [CrossRef]
- Liu, W.; Sun, C.; Geng, T.; Jin, X.; Chen, X.; Yu, L.; Zhao, C.; Bai, X.; Duan, S.; Du, H.; et al. A new spring-shaped long-period fiber grating with high strain sensitivity. IEEE Photonics Technol. Lett. 2019, 31, 1163–1166. [Google Scholar] [CrossRef]
- Liu, Y.; Deng, H.; Yuan, L. Arc-discharge-induced off-axis spiral long period fiber gratings and their sensing characteristics. Opt. Fiber Technol. 2019, 52. [Google Scholar] [CrossRef]
- Liu, Y.; Yuan, L.B. Ultrasensitive temperature sensor based on a urethane acrylate-coated off-axis spiral long period fiber grating. Optik 2020, 223. [Google Scholar] [CrossRef]
- Mizushima, R.; Detani, T.; Zhu, C.; Wang, P.; Zhao, H.; Li, H. The superimposed multi-channel helical long-period fiber grating and its application to multi-channel OAM mode generator. J. Lightwave Technol. 2021. [Google Scholar] [CrossRef]
- Oh, S.T.; Lee, K.R.; Paek, U.C.; Chung, Y.J. Fabrication of helical long-period fiber gratings by use of a CO2 laser. Opt. Lett. 2004, 29, 1464–1466. [Google Scholar] [CrossRef]
- Ren, K.; Ren, L.; Liang, J.; Kong, X.; Ju, H.; Xu, Y.; Wu, Z. Online fabrication scheme of helical long-period fiber grating for liquid-level sensing. Appl. Opt. 2016, 55, 9675–9679. [Google Scholar] [CrossRef]
- Ren, K.; Ren, L.; Liang, J.; Yang, L.; Xu, J.; Han, D.; Wang, Y.; Liu, J.; Dong, J.; He, H. Excitation of high-quality orbital angular momentum vortex beams in an adiabatically helical-twisted single-mode fiber. Opt. Express 2021, 29, 8441–8450. [Google Scholar] [CrossRef]
- Shin, W.; Yu, B.-A.; Lee, Y.L.; Noh, Y.-C.; Ko, D.-K.; Lee, J. High strength coupling and low polarization-dependent long-period fiber gratings based on the helicoidal structure. Opt. Fiber Technol. 2008, 14, 323–327. [Google Scholar] [CrossRef]
- Shin, W.; Yu, B.-A.; Noh, Y.-C.; Lee, J.; Ko, D.-K.; Oh, K. Bandwidth-tunable band-rejection filter based on helicoidal fiber grating pair of opposite helicities. Opt. Lett. 2007, 32, 1214–1216. [Google Scholar] [CrossRef] [PubMed]
- Sun, B.; Wei, W.; Liao, C.; Zhang, L.; Zhang, Z.; Chen, M.-Y.; Wang, Y. Automatic arc discharge-induced helical long period fiber gratings and its sensing applications. IEEE Photonics Technol. Lett. 2017, 29, 873–876. [Google Scholar] [CrossRef]
- Wang, R.; Ren, Z.; Kong, X.; Kong, D.; Hu, B.; He, Z. Mechanical rotation and bending sensing by chiral long-period grating based on an axis-offset rotating optical fiber. Appl. Phys. Express 2019, 12. [Google Scholar] [CrossRef]
- Wang, X.; Wang, D.; Wang, Q.; Xian, L.; Li, L. Fabrication and characterization of helical long-period fiber gratings in single-mode fibers. Optik 2018, 158, 28–32. [Google Scholar] [CrossRef]
- Xian, L.; Wang, D.; Li, L. Torsion and strain simultaneous measurement using a cascaded helical long-period grating. J. Opt. Soc. Am. B 2020, 37, 1307–1311. [Google Scholar] [CrossRef]
- Xian, L.; Wang, P.; Li, H. Power-interrogated and simultaneous measurement of temperature and torsion using paired helical long-period fiber gratings with opposite helicities. Opt. Express 2014, 22, 20260–20267. [Google Scholar] [CrossRef]
- Xian, L.; Wang, Y.; Wang, D.; Li, L. Influence of molten-state duration time on torsion sensitivity for fiber sensors based on helical long-period gratings: An experimental study. Opt. Fiber Technol. 2018, 46, 226–229. [Google Scholar] [CrossRef]
- Xu, C.; Jiang, C.; Liu, Y. High diffraction order cladding modes of helical long-period gratings inscribed by CO2 laser. Appl. Opt. 2020, 59, 3086–3092. [Google Scholar] [CrossRef]
- Zhang, H.-L.; Zhang, W.-G.; Chen, L.; Xie, Z.-D.; Zhang, Z.; Yan, T.-Y.; Wang, B. Bidirectional torsion sensor based on a pair of helical long-period fiber gratings. IEEE Photonics Technol. Lett. 2016, 28, 1700–1702. [Google Scholar] [CrossRef]
- Zhang, L.; Liu, Y.; Cao, X.; Wang, T. High sensitivity chiral long-period grating sensors written in the twisted fiber. IEEE Sens. J. 2016, 16, 4253–4257. [Google Scholar] [CrossRef]
- Zhu, C.; Ishikami, S.; Wang, P.; Zhao, H.; Li, H. Optimal design and fabrication of multichannel helical long-period fiber gratings based on phase-only sampling method. Opt. Express 2019, 27, 2281–2291. [Google Scholar] [CrossRef]
- Zhu, C.; Wang, P.; Zhao, H.; Mizushima, R.; Ishikami, S.; Li, H. DC-sampled helical fiber grating and its application to multi-channel OAM generator. IEEE Photonics Technol. Lett. 2019, 31, 1445–1448. [Google Scholar] [CrossRef]
- Zhu, C.; Yamakawa, T.; Zhao, H.; Li, H. All-fiber circular polarization filter realized by using helical long-period fiber gratings. IEEE Photonics Technol. Lett. 2018, 30, 1905–1908. [Google Scholar] [CrossRef]
- Liu, W.; Duan, S.; Du, H.; Jiang, H.; Sun, C.; Jin, X.; Zhao, L.; Geng, T.; Tong, C.; Yuan, L. A new ultra long-period fiber grating for measuring torsional characteristics. J. Mod. Opt. 2019, 66, 1215–1218. [Google Scholar] [CrossRef]
- Cao, X.; Liu, Y.; Zhang, L.; Zhao, Y.; Wang, T. Characteristics of chiral long-period fiber gratings written in the twisted two-mode fiber by CO2 laser. Appl. Opt. 2017, 56, 5167–5171. [Google Scholar] [CrossRef] [PubMed]
- Poole, C.; Presby, H.; Meester, J. Two-mode fibre spatial-mode converter using periodic core deformation. Electron. Lett. 1994, 30, 1437–1438. [Google Scholar] [CrossRef]
- Zhang, L.; Liu, Y.; Zhao, Y.; Wang, T. High sensitivity twist sensor based on helical long-period grating written in two-mode fiber. IEEE Photonics Technol. Lett. 2016, 28, 1629–1632. [Google Scholar] [CrossRef]
- Zhao, X.; Liu, Y.; Liu, Z.; Mou, C. All-fiber bandwidth tunable ultra-broadband mode converters based on long- period fiber gratings and helical long-period gratings. Opt. Express 2020, 28, 11990–12000. [Google Scholar] [CrossRef] [PubMed]
- Liu, Z.; Zhu, G.; Li, Y.; Yu, J.; Bai, Z.; Liu, S.; He, J.; Wang, Y. Orthogonal long-period fiber grating for directly exciting the orbital angular momentum. Opt. Express 2020, 28, 27044–27051. [Google Scholar] [CrossRef] [PubMed]
- Wang, P.; Zhao, H.; Detani, T.; Li, H. Simultaneous generation of the first-and second-order OAM using the cascaded HLPGs. IEEE Photonics Technol. Lett. 2020, 32, 685–688. [Google Scholar] [CrossRef]
- Zhao, H.; Wang, P.; Yamakawa, T.; Li, H. All-fiber second-order orbital angular momentum generator based on a single-helix helical fiber grating. Opt. Lett. 2019, 44, 5370–5373. [Google Scholar] [CrossRef] [PubMed]
- Liu, Z.; Liu, Y.; Zhao, X.; Mou, C.; Fu, S.; IEEE. Sensing characteristics of helical long-period grating inscribed in graded index few mode fiber. In Proceedings of the 2019 18th International Conference on Optical Communications and Networks, Huangshan, China, 5–8 August 2019. [Google Scholar]
- Cao, X.; Tian, D.; Liu, Y.; Zhang, L.; Wang, T. Sensing characteristics of helical long-period gratings written in the double-clad fiber by CO2 laser. IEEE Sens. J. 2018, 18, 7481–7485. [Google Scholar] [CrossRef]
- Jiang, C.; Liu, Y.; Huang, L.; Mou, C. Double cladding fiber chiral long-period grating-based directional torsion sensor. IEEE Photonics Technol. Lett. 2019, 31, 1522–1525. [Google Scholar] [CrossRef]
- Fu, C.; Liu, S.; Wang, Y.; Bai, Z.; He, J.; Liao, C.; Zhang, Y.; Zhang, F.; Yu, B.; Gao, S.; et al. High-order orbital angular momentum mode generator based on twisted photonic crystal fiber. Opt. Lett. 2018, 43, 1786–1789. [Google Scholar] [CrossRef] [PubMed]
- Fu, C.; Wang, Y.; Bai, Z.; Liu, S.; Zhang, Y.; Li, Z. Twist-direction-dependent orbital angular momentum generator based on inflation-assisted helical photonic crystal fiber. Opt. Lett. 2019, 44, 459–462. [Google Scholar] [CrossRef] [PubMed]
- Fu, C.; Wang, Y.; Liu, S.; Bai, Z.; Tang, J.; Shao, L.; Liu, X. Transverse-load, strain, temperature, and torsion sensors based on a helical photonic crystal fiber. Opt. Lett. 2019, 44, 1984–1987. [Google Scholar] [CrossRef] [PubMed]
- Li, J.; Fan, P.; Sun, L.-P.; Wu, C.; Guan, B.-O. Few-period helically twisted all-solid photonic bandgap fibers. Opt. Lett. 2018, 43, 655–658. [Google Scholar] [CrossRef]
- Shin, W.; Lee, Y.L.; Yu, B.-A.; Noh, Y.-C.; Oh, K. Spectral characterization of helicoidal long-period fiber gratings in photonic crystal fibers. Opt. Commun. 2009, 282, 3456–3459. [Google Scholar] [CrossRef]
- Wong, G.K.L.; Kang, M.S.; Lee, H.W.; Biancalana, F.; Conti, C.; Weiss, T.; Russell, P.S.J. Excitation of orbital angular momentum resonances in helically twisted photonic crystal fiber. Science 2012, 337, 446–449. [Google Scholar] [CrossRef]
- Xi, X.; Wong, G.K.L.; Weiss, T.; Russell, P.S.J. Measuring mechanical strain and twist using helical photonic crystal fiber. Opt. Lett. 2013, 38, 5401–5404. [Google Scholar] [CrossRef]
- Xi, X.M.; Wong, G.K.L.; Frosz, M.H.; Babic, F.; Ahmed, G.; Jiang, X.; Euser, T.G.; Russell, P.S.J. Orbital-angular-momentum-preserving helical Bloch modes in twisted photonic crystal fiber. Optica 2014, 1, 165–169. [Google Scholar] [CrossRef]
- Zhang, H.; Wu, Z.; Shum, P.P.; Shao, X.; Wang, R.; Seow, Y.M.; Dinh, X.Q.; Fu, S.; Tong, W.; Tang, M.; et al. Highly Sensitive Strain Sensor Based on Helical Structure in Multicore Fiber. In Proceedings of the 2016 Conference on Lasers and Electro-Optics, San Jose, CA, USA, 5–10 June 2016. [Google Scholar]
- Zhang, H.; Wu, Z.; Shum, P.P.; Shao, X.; Xuan Quyen, D.; Wang, R.; Fu, S.; Tong, W.; Tang, M.; IEEE. Helical Long Period Grating in Multicore Fiber for Simultaneous Measurement of Torsion and Temperature. In Proceedings of the 2017 Conference on Lasers and Electro-Optics Pacific Rim, Singapore, Singapore, 31 July–4 August 2017. [Google Scholar]
- Shen, X.; Hu, X.; Yang, L.; Dai, N.; Wu, J.; Zhang, F.; Peng, J.; Li, H.; Li, J. Helical long-period grating manufactured with a CO2 laser on multicore fiber. Opt. Express 2017, 25, 10405–10412. [Google Scholar] [CrossRef]
- Jiang, C.; Liu, Y.; Zhao, Y.; Mou, C.; Wang, T. Helical long-period gratings inscribed in polarization-maintaining fibers by CO2 Laser. J. Lightwave Technol. 2019, 37, 889–896. [Google Scholar] [CrossRef]
- Liu, Z.; Liu, C.; Zhang, Y.; Zhang, Y.; Yang, X.; Zhang, J.; Yang, J.; Yuan, L. Fiber-based helical channels refractive index sensor available for microfluidic chip. IEEE Photonics Technol. Lett. 2017, 29, 2087–2090. [Google Scholar] [CrossRef]
- Fu, C.; Wang, Y.; Liu, S.; Bai, Z.; Liao, C.; He, J.; Wang, Y. Recent progress in fabrications and applications of heating-induced long period fiber gratings. Sensors 2019, 19, 4473. [Google Scholar] [CrossRef] [PubMed]
- Zhang, H.; Mao, B.; Han, Y.; Wang, Z.; Yue, Y.; Liu, Y. Generation of orbital angular momentum modes using fiber systems. Appl. Sci. 2019, 9, 1033. [Google Scholar] [CrossRef]
- Zhao, H.; Li, H. Advances on mode-coupling theories, fabrication techniques, and applications of the helical long-period fiber gratings: A review. Photonics 2021, 8, 106. [Google Scholar] [CrossRef]
- Davis, D.; Gaylord, T.; Glytsis, E.; Kosinski, S.; Mettler, S.; Vengsarkar, A. Long-period fibre grating fabrication with focused CO/sub 2/laser pulses. Electron. Lett. 1998, 34, 302–303. [Google Scholar] [CrossRef]
- Davis, D.; Gaylord, T.; Glytsis, E.; Mettler, S. CO/sub 2/laser-induced long-period fibre gratings: Spectral characteristics, cladding modes and polarisation independence. Electron. Lett. 1998, 34, 1416–1417. [Google Scholar] [CrossRef]
- Yang, L.; Xue, L.; Su, J.; Qian, J. Coupled-mode analysis for single-helix chiral fiber gratings with small core-offset. Chin. Opt. Lett. 2011, 9. [Google Scholar] [CrossRef]
- Shvets, G.; Trendafilov, S.; Kopp, V.I.; Neugroschl, D.; Genack, A.Z. Polarization properties of chiral fiber gratings. J. Opt. A Pure Appl. Opt. 2009, 11. [Google Scholar] [CrossRef]
- Wang, P.; Li, H. Helical long-period grating formed in a thinned fiber and its application to a refractometric sensor. Appl. Opt. 2016, 55, 1430–1434. [Google Scholar] [CrossRef]
- Zhao, Y.; Liu, S.; Luo, J.; Chen, Y.; Fu, C.; Xiong, C.; Wang, Y.; Jing, S.; Bai, Z.; Liao, C.; et al. Torsion, refractive index, and temperature sensors based on an improved helical long period fiber grating. J. Lightwave Technol. 2020, 38, 2504–2510. [Google Scholar] [CrossRef]
- Rego, G. Arc-induced long period fiber gratings. J. Sens. 2016, 2016. [Google Scholar] [CrossRef]
- Tan, S.-Y.; Yong, Y.-T.; Lee, S.-C.; Abd Rahman, F. Review on an arc-induced long-period fiber grating and its sensor applications. J. Electromagn. Wave 2015, 29, 703–726. [Google Scholar] [CrossRef]
- Zhu, Y.-Q.; Yu, Y.-S.; Zhao, Y.; Guo, Q.; Ming, X.-Y.; Lei, C.-X.; Sun, H.-B. Highly sensitive directional torsion sensor based on a helical panda fiber taper. IEEE Photonics Technol. Lett. 2019, 31, 1009–1012. [Google Scholar] [CrossRef]
- Allen, L.; Beijersbergen, M.W.; Spreeuw, R.J.C.; Woerdman, J.P. Orbital angular momentum of light and the transformation of Laguerre-Gaussian laser modes. Phys. Rev. A At. Mol. Opt. Phys. 1992, 45, 8185–8189. [Google Scholar] [CrossRef] [PubMed]
- Leach, J.; Jack, B.; Romero, J.; Jha, A.K.; Yao, A.M.; Franke-Arnold, S.; Ireland, D.G.; Boyd, R.W.; Barnett, S.M.; Padgett, M.J. Quantum correlations in optical angle-orbital angular momentum variables. Science 2010, 329, 662–665. [Google Scholar] [CrossRef] [PubMed]
- Padgett, M.; Bowman, R. Tweezers with a twist. Nat. Photonics 2011, 5, 343–348. [Google Scholar] [CrossRef]
- Yan, Y.; Yue, Y.; Huang, H.; Yang, J.-Y.; Chitgarha, M.R.; Ahmed, N.; Tur, M.; Dolinar, S.J.; Willner, A.E. Efficient generation and multiplexing of optical orbital angular momentum modes in a ring fiber by using multiple coherent inputs. Opt. Lett. 2012, 37, 3645–3647. [Google Scholar] [CrossRef] [PubMed]
- Cai, X.; Wang, J.; Strain, M.J.; Johnson-Morris, B.; Zhu, J.; Sorel, M.; O’Brien, J.L.; Thompson, M.G.; Yu, S. Integrated compact optical vortex beam emitters. Science 2012, 338, 363–366. [Google Scholar] [CrossRef]
- Naidoo, D.; Roux, F.S.; Dudley, A.; Litvin, I.; Piccirillo, B.; Marrucci, L.; Forbes, A. Controlled generation of higher-order Poincare sphere beams from a laser. Nat. Photonics 2016, 10, 327–332. [Google Scholar] [CrossRef]
- Wu, H.; Gao, S.; Huang, B.; Feng, Y.; Huang, X.; Liu, W.; Lui, Z. All-fiber second-order optical vortex generation based on strong modulated long-period grating in a four-mode fiber. Opt. Lett. 2017, 42, 5210–5213. [Google Scholar] [CrossRef]
- Zhang, W.; Huang, L.; Wei, K.; Li, P.; Jiang, B.; Mao, D.; Gao, F.; Mei, T.; Zhang, G.; Zhao, J. High-order optical vortex generation in a few-mode fiber via cascaded acoustically driven vector mode conversion. Opt. Lett. 2016, 41, 5082–5085. [Google Scholar] [CrossRef]
- Zhao, Y.; Liu, Y.; Zhang, C.; Zhang, L.; Zheng, G.; Mou, C.; Wen, J.; Wang, T. All-fiber mode converter based on long-period fiber gratings written in few-mode fiber. Opt. Lett. 2017, 42, 4708–4711. [Google Scholar] [CrossRef] [PubMed]
- Li, S.; Mo, Q.; Hu, X.; Du, C.; Wang, J. Controllable all-fiber orbital angular momentum mode converter. Opt. Lett. 2015, 40, 4376–4379. [Google Scholar] [CrossRef]
- Li, B.; Zhou, G.; Liu, J.; Xia, C.; Hou, Z. Orbital-angular-momentum-amplifying helical vector modes in Yb3+-doped three-core twisted microstructure fiber. Opt. Express 2020, 28, 21110–21120. [Google Scholar] [CrossRef]
- Alexeyev, C.N.; Yavorsky, M.A. Generation and conversion of optical vortices in long-period helical core optical fibers. Phys. Rev. A 2008, 78. [Google Scholar] [CrossRef]
- Xu, H.; Yang, L. Conversion of orbital angular momentum of light in chiral fiber gratings. Opt. Lett. 2013, 38, 1978–1980. [Google Scholar] [CrossRef]
- Zhang, Y.; Bai, Z.; Fu, C.; Liu, S.; Tang, J.; Yu, J.; Liao, C.; Wang, Y.; He, J.; Wang, Y. Polarization-independent orbital angular momentum generator based on a chiral fiber grating. Opt. Lett. 2019, 44, 61–64. [Google Scholar] [CrossRef]
- Zhu, C.; Zhao, H.; Wang, P.; Subramanian, R.; Li, H. Enhanced Flat-top band-rejection filter based on reflective helical long-period fiber gratings. IEEE Photonics Technol. Lett. 2017, 29, 964–966. [Google Scholar] [CrossRef]
- Zhu, C.; Zhao, H.; Li, H. Mode-couplings in two cascaded helical long-period fibre gratings and their application to polarization-insensitive band-rejection filter. Opt. Commun. 2018, 423, 81–85. [Google Scholar] [CrossRef]
- Ren, K.; Cheng, M.; Ren, L.; Jiang, Y.; Han, D.; Wang, Y.; Dong, J.; Liu, J.; Yang, L.; Xi, Z. Ultra-broadband conversion of OAM mode near the dispersion turning point in helical fiber gratings. Osa Continuum 2020, 3, 77–87. [Google Scholar] [CrossRef]
- Frazao, O.; Viegas, J.; Caldas, P.; Santos, J.L.; Araujo, F.M.; Ferreira, L.A.; Farahi, F. All-fiber Mach-Zehnder curvature sensor based on multimode interference combined with a long-period grating. Opt. Lett. 2007, 32, 3074–3076. [Google Scholar] [CrossRef]
- Li, J.; Zhang, W.; Gao, S.; Geng, P.; Xue, X.; Bai, Z.; Liang, H. Long-period fiber grating cascaded to an s fiber taper for simultaneous measurement of temperature and refractive index. IEEE Photonics Technol. Lett. 2013, 25, 888–891. [Google Scholar] [CrossRef]
- Wang, L.; Zhang, W.; Chen, L.; Bai, Z.; Liu, F.; Yan, T. Torsion sensor based on two cascaded long period fiber gratings fabricated by CO2 laser pulse irradiation and HF etching technique respectively. J. Mod. Opt. 2017, 64, 541–545. [Google Scholar] [CrossRef]
- Zhou, Q.; Zhang, W.; Chen, L.; Bai, Z.; Zhang, L.; Wang, L.; Wang, B.; Yan, T. Bending vector sensor based on a sector-shaped long-period grating. IEEE Photonics Technol. Lett. 2015, 27, 713–716. [Google Scholar] [CrossRef]
- Rao, Y.J.; Zhu, T.; Mo, Q.J. Highly sensitive fiber-optic torsion sensor based on an ultra-long-period fiber grating. Opt. Commun. 2006, 266, 187–190. [Google Scholar] [CrossRef]
- Subramanian, R.; Zhu, C.; Zhao, H.; Li, H. Torsion, strain, and temperature sensor based on helical long-period fiber gratings. IEEE Photonics Technol. Lett. 2018, 30, 327–330. [Google Scholar] [CrossRef]
- Cusano, A.; Iadicicco, A.; Pilla, P.; Contessa, L.; Campopiano, S.; Cutolo, A.; Giordano, M.; Guerra, G. Coated long-period fiber gratings as high-sensitivity optochemical sensors. J. Lightwave Technol. 2006, 24, 1776–1786. [Google Scholar] [CrossRef]
- Cusano, A.; Pilla, P.; Contessa, L.; Iadicicco, A.; Campopiano, S.; Cutolo, A.; Giordano, M.; Guerra, G. High-sensitivity optical chemosensor based on coated long-period gratings for sub-ppm chemical detection in water. Appl. Phys. Lett. 2005, 87. [Google Scholar] [CrossRef]
- Pilla, P.; Iadicicco, A.; Contessa, L.; Campopiano, S.; Cutolo, A.; Giordano, M.; Guerra, G.; Cusano, A. Optical chemo-sensor based on long period gratings coated with delta form syndiotactic polystyrene. IEEE Photonics Technol. Lett. 2005, 17, 1713–1715. [Google Scholar] [CrossRef]
- Esposito, F.; Ranjan, R.; Campopiano, S.; Iadicicco, A. Experimental Study of the Refractive Index Sensitivity in Arc-induced Long Period Gratings. IEEE Photonics J. 2017, 9. [Google Scholar] [CrossRef]
- Esposito, F.; Sansone, L.; Taddei, C.; Campopiano, S.; Giordano, M.; Iadicicco, A. Ultrasensitive biosensor based on long period grating coated with polycarbonate-graphene oxide multilayer. Sens. Actuators B 2018, 274, 517–526. [Google Scholar] [CrossRef]
- Khaliq, S.; James, S.W.; Tatam, R.P. Fiber-optic liquid-level sensor using a long-period grating. Opt. Lett. 2001, 26, 1224–1226. [Google Scholar] [CrossRef]

















| Fabrication | Mechanism | Description |
|---|---|---|
| CO2 laser | Stress relaxation | Features: flexible, high quality Shortcomings: expensive |
| Fiber structure change | ||
| Hydrogen–oxygen flame | Fiber structure change | Features: wide heating area, uniform heating temperature Shortcomings: difficult to fabricate gratings with a short period |
| Arc discharge | Stress relaxation | Features: much simpler, low cost Shortcomings: lack of reproducibility and duplicability |
| Fiber structure change |
| Fabrication | Fiber | Sensitivity | Range | Ref. |
|---|---|---|---|---|
| CO2 laser | PCF | — | −540° to 540° | [75] |
| CO2 laser | SMF | 115 nm/(rad/mm) | −5π/2 to 5π/2 (rad/m) | [55] |
| CO2 laser | TMF | 470 nm/(rad/mm) | −30 to 30 (rad/m) | [63] |
| Arc discharge | SMF | −46.46 nm/(rad/mm) | −100 to 100 (rad/m) | [48] |
| CO2 laser | SMF | 307 nm/(rad/mm) | −80 to 80 (rad/m) | [35] |
| Hydrogen–oxygen flame | SMF | −942.77 nm/(rad/mm) | −40 to 40 (rad/m) | [92] |
| Fabrication | Fiber | Sensitivity | Range | Ref. |
|---|---|---|---|---|
| CO2 laser | PCF | 1.18 pm/με | 0 to 1700 με | [77] |
| Hydrogen–oxygen flame | PCF | 3.2 pm/με | 0 to 2100 με | [73] |
| Arc discharge | PCF | −1.84 pm/με | 0 to 3696 με | [74] |
| CO2 laser | SMF | 6.4 pm/με | 0 to 450 με | [37] |
| CO2 laser | SMF | 0.420 nm/mε | 0 to 1744 με | [51] |
| CO2 laser | MCF | −61.13 pm/με | 0 to 250 με | [79] |
| Fabrication | Fiber | Sensitivity | Range | Ref. |
|---|---|---|---|---|
| CO2 laser | SMF | 49.2 pm/°C | 20 to 120 °C | [50] |
| CO2 laser | SMF | 58.8 pm/°C | 20 to 100 °C | [118] |
| Hydrogen–oxygen flame | SMF | 132.8 pm/°C | 25 to 900 °C | [38] |
| Arc discharge | SMF | 113.23 nm/°C | 25 to 25.5 °C | [41] |
| CO2 laser | SMF | 41 pm/°C | 20 to 150 °C | [52] |
| CO2 laser | MCF | 54 pm/°C | 25 to 95 °C | [80] |
| Arc discharge | SMF | 72 pm/°C | 60 to 120 °C | [27] |
| Fabrication | Fiber | Sensitivity | Range | Ref. |
|---|---|---|---|---|
| Arc discharge | SMF | −6.765 nm/m−1 | 1.22 to 5.49 m−1 | [40] |
| CO2 laser | SMF | −9.25 nm/m−1 | 1.96 to 5.19 m−1 | [49] |
| CO2 laser | SMF | 12.62 nm/m−1 | 2.1 to 6.0 m−1 | [56] |
| CO2 laser | TMF | 12.409 nm/m−1 | 0 to 5.0 m−1 | [61] |
| CO2 laser | DCF | 18.122 nm/m−1 | 4.0 to 6.0 m−1 | [69] |
| Fabrication | Fiber | Sensitivity | Range | Ref. |
|---|---|---|---|---|
| Femtosecond laser | SMF | 51 nm/RIU | 0% to 70% | [29] |
| CO2 laser | SMF | 29.34 nm/RIU | 1.333 to 1.379 | [91] |
| CO2 laser | MCF | 816 nm/RIU | 1.400 to 1.440 | [81] |
| CO2 laser | SMF | 2493 nm/RIU | 1.445 to 1.460 | [54] |
| CO2 laser | PMF | −7248.6 nm/RIU | 1.447 to 1.460 | [82] |
| Hydrogen–oxygen flame | DEF | 1108.8 nm/RIU | 1.385 to 1.405 | [83] |
Publisher’s Note: MDPI stays neutral with regard to jurisdictional claims in published maps and institutional affiliations. |
© 2021 by the authors. Licensee MDPI, Basel, Switzerland. This article is an open access article distributed under the terms and conditions of the Creative Commons Attribution (CC BY) license (https://creativecommons.org/licenses/by/4.0/).
Share and Cite
Ma, C.; Wang, J.; Yuan, L. Review of Helical Long-Period Fiber Gratings. Photonics 2021, 8, 193. https://doi.org/10.3390/photonics8060193
Ma C, Wang J, Yuan L. Review of Helical Long-Period Fiber Gratings. Photonics. 2021; 8(6):193. https://doi.org/10.3390/photonics8060193
Chicago/Turabian StyleMa, Chao, Jian Wang, and Libo Yuan. 2021. "Review of Helical Long-Period Fiber Gratings" Photonics 8, no. 6: 193. https://doi.org/10.3390/photonics8060193
APA StyleMa, C., Wang, J., & Yuan, L. (2021). Review of Helical Long-Period Fiber Gratings. Photonics, 8(6), 193. https://doi.org/10.3390/photonics8060193
