Single-Polarization Single-Mode Hollow-Core Anti-Resonant Fiber with Low Loss and Wide Bandwidth
Abstract
1. Introduction
2. Fiber Structure and Performance
3. Optimization Process of SPSM
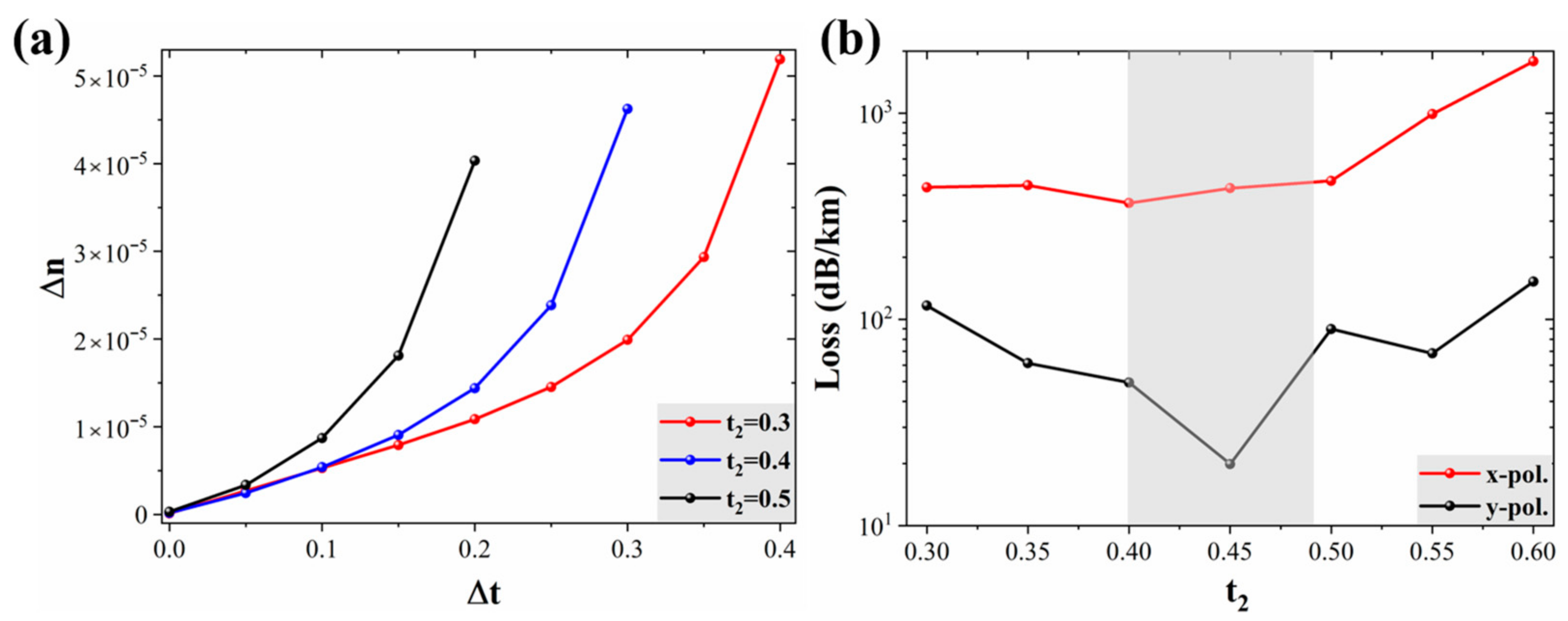
3.1. Optimization Process of Birefringence
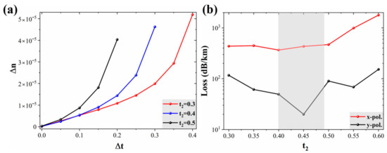
3.2. Optimization Process of Loss
3.3. Optimization Process of HOM
4. Bending Characteristics
5. Discussion
- Performance Comparison of Different SPSM HCF Designs
- B.
- Selection of high refractive materials and Challenges of fiber drawing
- C.
- Application-driven requirements
6. Conclusions
Author Contributions
Funding
Institutional Review Board Statement
Informed Consent Statement
Data Availability Statement
Conflicts of Interest
References
- Terrel, M.A.; Digonnet, M.J.F.; Fan, S. Resonant fiber optic gyroscope using an air-core fiber. J. Light. Technol. 2011, 30, 931–937. [Google Scholar] [CrossRef]
- Livi, L.F.; Cappellini, G.; Diem, M.; Franchi, L.; Clivati, C.; Frittelli, M.; Fallani, L. Synthetic dimensions and spin-orbit coupling with an optical clock transition. Phys. Rev. Lett. 2016, 117, 220401. [Google Scholar] [CrossRef] [PubMed]
- Denisov, A.; Soto, M.A.; Thévenaz, L. Going beyond 1000000 resolved points in a Brillouin distributed fiber sensor: Theoretical analysis and experimental demonstration. Light: Sci. Appl. 2016, 5, e16074. [Google Scholar] [CrossRef] [PubMed]
- Zhang, F.; Lit, J.W. Temperature and strain sensitivity measurements of high-birefringent polarization-maintaining fibers. Appl. Opt. 1993, 32, 2213–2218. [Google Scholar]
- Iwatsuki, K.; Hotate, K.; Higashiguchi, M. Kerr effect in an optical passive ring-resonator gyro. J. Light. Technol. 1986, 4, 645–651. [Google Scholar] [CrossRef]
- Sanders, G.A.; Taranta, A.A.; Narayanan, C.; Numkam, F.E.; Abokhamis, M.S.; Strandjord, L.K.; Smiciklas, M.; Bradley, T.D.; Hayes, J.; Jasion, G.T.; et al. Hollow-core resonator fiber optic gyroscope using nodeless anti-resonant fiber. Opt. Lett. 2020, 46, 46–49. [Google Scholar] [CrossRef]
- Ding, M.; Fokoua, E.R.N.; Bradley, T.D.; Poletti, F.; Richardson, D.J.; Slavík, R. Finesse limits in hollow core fiber based Fabry-Perot interferometers. J. Light. Technol. 2021, 39, 4489–4495. [Google Scholar] [CrossRef]
- Chen, Y.; Petrovich, M.N.; Fokoua, E.N.; Adamu, A.I.; Hassan, M.R.A.; Sakr, H.; Slavík, R.; Gorajoobi, S.B.; Alonso, M.; Poletti, F. Hollow core DNANF optical fiber with <0.11 dB/km loss. In Proceedings of the Optical Fiber Communication Conference, San Diego, CA, USA, 24–28 March 2024; Optica Publishing Group: Washington, DC, USA, 2024. [Google Scholar]
- Tamura, Y.; Sakuma, H.; Morita, K.; Suzuki, M.; Yamamoto, Y.; Shimada, K. The first 0.14-dB/km loss optical fiber and its impact on submarine transmission. J. Light. Technol. 2018, 36, 44–49. [Google Scholar]
- Gladyshev, A.V.; Bufetov, I.A. Hollow-core design provides polarization purity. Nat. Photonics 2020, 14, 468–469. [Google Scholar] [CrossRef]
- Taranta, A.; Numkam, F.E.; Abokhamis, M.S.; Hayes, J.R.; Bradley, T.D.; Jasion, G.T.; Poletti, F. Exceptional polarization purity in antiresonant hollow-core optical fibres. Nat. Photonics 2020, 14, 504–510. [Google Scholar]
- Fini, J.M.; Nicholson, J.W.; Windeler, R.S.; Monberg, E.M.; Meng, L.L.; Mangan, B.; Desantolo, A.; DiMarcello, F.V. Low-loss hollow-core fibers with improved single-modedness. Opt. Express 2013, 21, 6233–6242. [Google Scholar]
- Poletti, F. Nested antiresonant nodeless hollow core fiber. Opt. Express 2014, 22, 23807–23828. [Google Scholar]
- Mulvad, H.C.H.; Abokhamis Mousavi, S.; Zuba, V.; Xu, L.; Sakr, H.; Bradley, T.D.; Hayes, J.R.; Jasion, G.T.; Fokoua, E.N.; Taranta, A.; et al. Kilowatt-average-power single-mode laser light transmission over kilometre-scale hollow-core fibre. Nat. Photonics 2022, 16, 448–453. [Google Scholar]
- Michaud-Belleau, V.; Numkam, F.E.; Bradley, T.D.; Hayes, J.R.; Chen, Y.; Poletti, F.; Richardson, D.J.; Genest, J.; Slavík, R. Backscattering in antiresonant hollow-core fibers: Over 40 dB lower than in standard optical fibers. Optica 2021, 8, 216–219. [Google Scholar]
- Poggiolini, P.; Poletti, F. Opportunities and challenges for long-distance transmission in hollow-core fibres. J. Light. Technol. 2022, 40, 1605–1616. [Google Scholar]
- Habib, M.S.; Antonio-Lopez, J.E.; Markos, C.; Schülzgen, A.; Amezcua-Correa, R. Single-mode, low loss hollow-core anti-resonant fiber designs. Opt. Express 2019, 27, 3824–3836. [Google Scholar] [CrossRef]
- You, Y.; Guo, H.; Hao, Y.; Wang, Z.; Liu, Y.G. Wideband, large mode field and single vector mode transmission in a 37-cell hollow-core photonic bandgap fiber. Opt. Express 2021, 29, 24226–24236. [Google Scholar] [CrossRef]
- Yan, S.; Lou, S.; Zhang, W.; Lian, Z. Single-polarization single-mode double-ring hollow-core anti-resonant fiber. Opt. Express 2018, 26, 31160–31171. [Google Scholar]
- Yan, S.; Lian, Z.; Lou, S.; Wang, X.; Zhang, W.; Tang, Z. A new method to achieve single-polarization guidance in hollow-core negative-curvature fibers. IEEE Access 2020, 8, 53419–53426. [Google Scholar]
- Hong, Y.F.; Jia, A.Q.; Gao, S.F.; Sheng, Y.L.; Lu, Z.L.; Zhang, Z.; Ding, W.; Wang, Y.Y. Birefringent, low loss, and broadband semi-tube anti-resonant hollow-core fiber. Opt. Lett. 2022, 48, 163–166. [Google Scholar]
- Wang, Y.; Zhang, X.; Chen, W.; Zhang, Q.; Yang, Y.; Li, M.C.; Yan, M.; Wang, T.Y. Highly birefringent anti-resonant hollow-core fiber with meniscoid nested structure. Opt. Express 2024, 32, 25292–25303. [Google Scholar] [CrossRef]
- Zhao, X.; Xiang, J.; Wu, X.; Li, Z.W. High birefringence, single-polarization, low loss hollow-core anti-resonant fibers. Opt. Express 2021, 29, 36273–36286. [Google Scholar] [CrossRef]
- Chen, J.; Peng, L.; Shi, Y.; Wu, Y.H.; Zhao, N.; Li, J.M.; Zhou, G.Y.; Zhang, Q.M. Nested hollow-core anti-resonant fiber with elliptical cladding for 2 µm laser transmission. Opt. Express 2024, 32, 28148–28159. [Google Scholar] [CrossRef]
- Du, Z.; Zhou, Y.; Luo, S.; Zhang, Y.S.; Shao, J.; Guan, Z.G.; Yang, H.N.; Chen, D.R. Highly birefringent hollow-core anti-resonant terahertz fiber with a thin strut microstructure. Opt. Express 2022, 30, 3783–3792. [Google Scholar] [CrossRef]
- Mu, Q.; Zhu, Y.; Kong, D.; He, Z.; Liu, H.; Wang, L. Design, Simulation, and Characterization of a Partial Negative Curvature Antiresonant Hollow-Core Fiber for Low Loss Terahertz Wave Transmission. IEEE Trans. Terahertz Sci. Technol. 2024, 14, 510–518. [Google Scholar] [CrossRef]
- White, T.P.; Kuhlmey, B.T.; McPhedran, R.C.; Maystre, D.; Renversez, G.; De Sterke, C.M.; Botten, L.C. Multipole method for microstructured optical fibers. I. Formulation. J. Opt. Soc. Am. B 2002, 19, 2322–2330. [Google Scholar] [CrossRef]
- Zhu, Y.; Song, N.; Gao, F.; Xu, X. Single-polarization single-mode hollow-core photonic-bandgap fiber with thin slab waveguide. Opt. Express 2021, 29, 30371–30383. [Google Scholar] [CrossRef]
- Yan, S.; Lou, S.; Wang, X.; Zhao, T. Single-mode large-mode-area double-ring hollow-core anti-resonant fiber for high power delivery in mid-infrared region. Opt. Fiber Technol. 2018, 46, 118–124. [Google Scholar] [CrossRef]
- Habib, M.S.; Adamu, A.I.; Markos, C.; Amezcua-Correa, R. Enhanced birefringence in conventional and hybrid anti-resonant hollow-core fibers. Opt. Express 2021, 29, 12516–12530. [Google Scholar]
- Li, H.H. Refractive index of silicon and germanium and its wavelength and temperature derivatives. J. Phys. Chem. Ref. Data 1980, 9, 561–658. [Google Scholar] [CrossRef]
- Ballato, J.; Hawkins, T.; Foy, P.; Stolen, R.; Kokuoz, B.; Ellison, M.; McMillen, C.; Reppert, J.; Rao, A.M.; Daw, M.; et al. Silicon optical fiber. Opt. Express 2008, 16, 18675–18683. [Google Scholar] [CrossRef] [PubMed]
- Peacock, A.C.; Campling, J.; Runge, A.F.J.; Ren, H.; Shen, L.; Aktas, O.; Horak, P.; Healy, N.; Gibson, U.J.; Ballato, J. Wavelength conversion and supercontinuum generation in silicon optical fibers. IEEE J. Sel. Top. Quantum Electron. 2017, 24, 5100309. [Google Scholar]
- Sazio, P.J.A.; Amezcua-Correa, A.; Finlayson, C.E.; Hayes, J.R.; Scheidemantel, T.J.; Baril, N.F.; Jackson, B.R.; Won, D.J.; Zhang, F.; Margine, E.R.; et al. Microstructured optical fibers as high-pressure microfluidic reactors. Science 2006, 311, 1583–1586. [Google Scholar] [CrossRef]
- He, R.; Sazio, P.J.A.; Peacock, A.C.; Healy, N.; Sparks, J.R.; Krishnamurthi, M.; Venkatraman, G.; Badding, J.V. Integration of gigahertz-bandwidth semiconductor devices inside microstructured optical fibres. Nat. Photonics 2012, 6, 174–179. [Google Scholar] [CrossRef]
- Li, M.; Sun, Y.; Gao, S.; Zhao, X.; Hui, F.; Luo, W.; Hu, Q.B.; Chen, H.; Wu, H.L.; Wang, Y.Y.; et al. Navigation-grade interferometric air-core antiresonant fibre optic gyroscope with enhanced thermal stability. Nat. Commun. 2025, 16, 3449. [Google Scholar] [CrossRef]
- Mousavi, S.A.; Sandoghchi, S.R.; Richardson, D.J.; Poletti, F. Broadband high birefringence and polarizing hollow core antiresonant fibers. Opt. Express 2016, 24, 22943–22958. [Google Scholar] [CrossRef]
- Yerolatsitis, S.; Shurvinton, R.; Song, P.; Zhang, Y.; Francis-Jones, R.J.; Rusimova, K.R. Birefringent anti-resonant hollow-core fiber. J. Light. Technol. 2020, 38, 5157–5162. [Google Scholar] [CrossRef]








| Ref. | Wavelength (nm) | Birefringence | Bandwidth (nm) | Loss (dB/km) | PER | Bend Loss (dB/km) |
|---|---|---|---|---|---|---|
| [18] a | 1786~1840 | - | 50 | <0.5 | >105 | 1.6 @ 1 cm |
| [28] a | 1440~1560 | >1.8 × 10−4 | 120 | <43 | >104 | 42 @ 9 mm |
| [29] b | 1545~1553 | ≈10−4 | ≈13 | ≈40 | >104 | 110 @ 8 cm |
| 1591~1596 | ||||||
| [30] b | 1053~1094 | ≈10−4 | 41 | ≈50 | >300 | ≈ 60 @ 5 cm |
| [23] b | 1547~1552 | >6 × 10−5 | ≈5 | <1 | ≈104 | ≈ 4 @ 5.8 cm |
| This work b | 1000~1650 | >1.7 × 10−5 | 1000 | ≈9.3 | ≈160 | ≈ 22 @ 15 cm |
| 1750~2100 | ≈23.3 |
Disclaimer/Publisher’s Note: The statements, opinions and data contained in all publications are solely those of the individual author(s) and contributor(s) and not of MDPI and/or the editor(s). MDPI and/or the editor(s) disclaim responsibility for any injury to people or property resulting from any ideas, methods, instructions or products referred to in the content. |
© 2025 by the authors. Licensee MDPI, Basel, Switzerland. This article is an open access article distributed under the terms and conditions of the Creative Commons Attribution (CC BY) license (https://creativecommons.org/licenses/by/4.0/).
Share and Cite
You, Y.; Liu, W.; Zhang, S.; Wu, J.; Li, Y.; Shi, H.; Yang, H. Single-Polarization Single-Mode Hollow-Core Anti-Resonant Fiber with Low Loss and Wide Bandwidth. Photonics 2025, 12, 686. https://doi.org/10.3390/photonics12070686
You Y, Liu W, Zhang S, Wu J, Li Y, Shi H, Yang H. Single-Polarization Single-Mode Hollow-Core Anti-Resonant Fiber with Low Loss and Wide Bandwidth. Photonics. 2025; 12(7):686. https://doi.org/10.3390/photonics12070686
Chicago/Turabian StyleYou, Yong, Wei Liu, Shuo Zhang, Jianxiong Wu, Yuanjiang Li, Huimin Shi, and Haokun Yang. 2025. "Single-Polarization Single-Mode Hollow-Core Anti-Resonant Fiber with Low Loss and Wide Bandwidth" Photonics 12, no. 7: 686. https://doi.org/10.3390/photonics12070686
APA StyleYou, Y., Liu, W., Zhang, S., Wu, J., Li, Y., Shi, H., & Yang, H. (2025). Single-Polarization Single-Mode Hollow-Core Anti-Resonant Fiber with Low Loss and Wide Bandwidth. Photonics, 12(7), 686. https://doi.org/10.3390/photonics12070686

