Multi-Channel Vibration Measurements Based on a Self-Mixing Vertical-Cavity Surface-Emitting Laser Array
Abstract
1. Introduction
2. Measurement Principle
2.1. Self-Mixing Interference Based on the VCSEL Array
2.2. VMD-Based Denoising Theory
2.3. Orthogonal Phase Demodulation Algorithm Based on Hilbert Transform
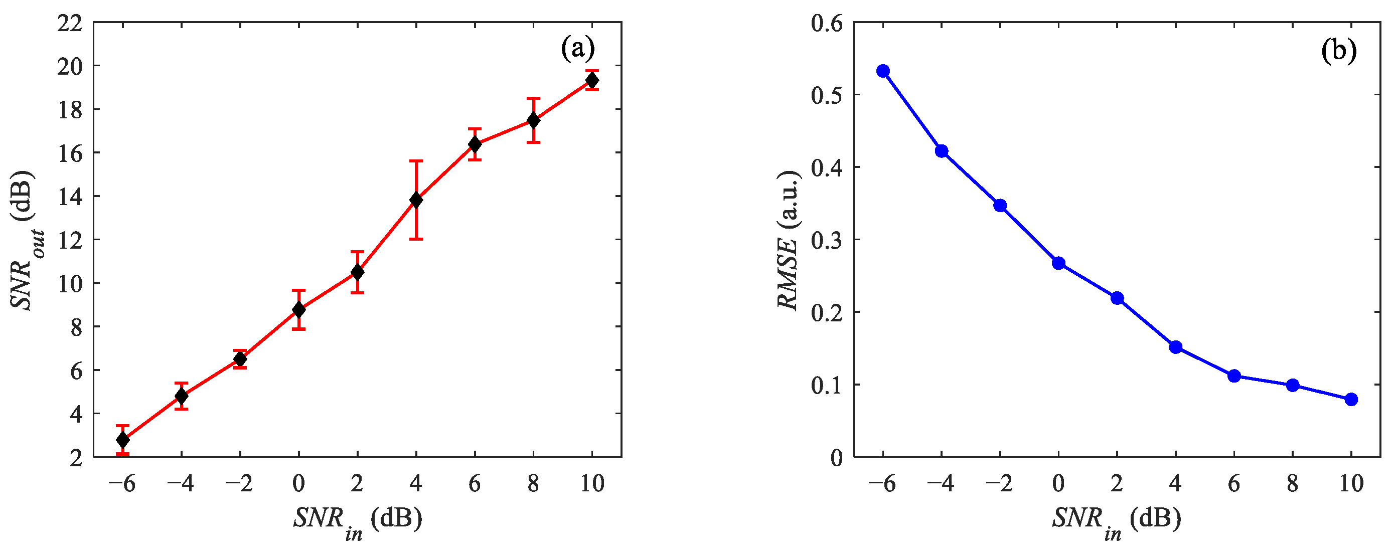
3. Simulation Results
4. Experimental Results
5. Discussion
6. Conclusions
Author Contributions
Funding
Institutional Review Board Statement
Informed Consent Statement
Data Availability Statement
Conflicts of Interest
References
- Wei, Y.C.; Weng, J.C.; Chen, B.; Gao, Z.R.; Miao, H.; Yu, Q.F.; Fu, Y. Interferometric-scale full-field vibration measurement by a combination of digital image correlation and laser vibrometer. Opt. Express 2024, 32, 20742–20761. [Google Scholar] [CrossRef] [PubMed]
- Rothberg, S.J.; Allen, M.S.; Castellini, P.; Di Maio, D.; Dirckx, J.J.J.; Ewins, D.J.; Halkon, B.J.; Muyshondt, P.; Paone, N.; Ryan, T.; et al. An international review of laser Doppler vibrometry: Making light work of vibration measurement. Opt. Lasers Eng. 2017, 99, 11–22. [Google Scholar] [CrossRef]
- Li, P.G.; Fang, Q.; Yu, H.B.; Guo, R.X.; Xia, H.T. Full-field displacement measurements of structural vibrations using a novel two-stage neural network. Measurement 2025, 242, 115884. [Google Scholar] [CrossRef]
- Albert, A.; Donati, S.; Lee, S.-L. Self-Mixing Interferometry on Long Distance: Theory and Experimental Validation. IEEE Trans. Instrum. Meas. 2024, 73, 1–8. [Google Scholar] [CrossRef]
- Hua, Z.Y.; Wang, Y.F.; Wang, Q.; Fu, S.Y.; Tan, Y.D. Rotational Doppler effect of vortex beam with frequency-shifted laser feedback. Opt. Laser Eng. 2024, 178, 108223. [Google Scholar] [CrossRef]
- Taimre, T.; Nikolić, M.; Bertling, K.; Lim, Y.L.; Bosch, T.; Rakić, A.D. Laser feedback interferometry: A tutorial on the self-mixing effect for coherent sensing. Adv. Opt. Photon 2015, 7, 570–631. [Google Scholar] [CrossRef]
- Li, D.Y.; Li, Q.H.; Jin, X.; Xu, B.; Wang, D.; Liu, X.P.; Zhang, T.T.; Zhang, Z.H.; Huang, M.L.; Hu, X.H.; et al. Quadrature phase detection based on a laser self-mixing interferometer with a wedge for displacement measurement. Measurement 2022, 202, 111888. [Google Scholar] [CrossRef]
- Zhang, P.; Tan, Y.D.; Liu, N.; Wu, Y.; Zhang, S.L. Phase difference in modulated signals of two orthogonally polarized outputs of a Nd:YAG microchip laser with anisotropic optical feedback. Opt. Lett. 2013, 38, 4296–4299. [Google Scholar] [CrossRef]
- Ge, L.; Yang, N.; Wang, J.; Li, Y.Y.; Chu, W.D.; Duan, S.Q.; Xie, Y. Properties of self-mixing interference in terahertz distributed feedback quantum cascade lasers. Appl. Phys. Lett. 2019, 115, 261105. [Google Scholar] [CrossRef]
- Xie, Z.W.; Zhang, M.; Li, J.; Xia, W.; Guo, D.M. All-Fiber Laser Feedback Interferometry for Sequential Sensing of In-Plane and Out-of-Plane Displacements. Photonics 2023, 10, 480. [Google Scholar] [CrossRef]
- Deleau, C.; Seat, H.C.; Surre, F.; Zabit, U.; Jayat, F.; Bosch, T.; Bernal, O. Optical Feedback FM-to-AM Conversion with Photonic Integrated Circuits for Displacement Sensing Applications. J. Light. Technol. 2024, 42, 3446–3453. [Google Scholar] [CrossRef]
- Wang, X.; Yang, H.; Hu, L.; Li, Z.; Chen, H.; Huang, W. Single Channel Instrument for Simultaneous Rotation Speed and Vibration Measurement Based on Self-Mixing Speckle Interference. IEEE Photonics J. 2022, 14, 6802405. [Google Scholar] [CrossRef]
- Zhao, Y.; Xiang, R.; Huang, Z.; Chen, J.; Zhai, L.; Wang, X.; Ma, Y.; Yu, B.; Lu, L. Research on the multi-longitudinal mode laser self-mixing static angle-measurement system using a right-angle prism. Measurement 2020, 162, 107906. [Google Scholar] [CrossRef]
- Liao, J.-R.; Cheng, J.-M.; Hsiao, V.K.S. Enhanced vibration measurement through frequency modulated laser diode self-mixing interferometry. Appl. Phys. B-Lasers Opt. 2024, 130, 173. [Google Scholar] [CrossRef]
- Donati, S. Vibration Measurements by Self-Mixing Interferometry: An Overview of Configurations and Benchmark Performances. Vibration 2023, 6, 625–644. [Google Scholar] [CrossRef]
- Contreras, V.; Toivonen, J.; Martinez, H. Enhanced self-mixing interferometry based on volume Bragg gratings and laser diodes emitting at 405-nm wavelengths. Opt. Lett. 2017, 42, 2221–2223. [Google Scholar] [CrossRef]
- Contreras, V.; Lonnqvist, J.; Toivonen, J. Edge filter enhanced self-mixing interferometry. Opt. Lett. 2015, 40, 2814–2817. [Google Scholar] [CrossRef] [PubMed]
- Norgia, M.; Melchionni, D.; Donati, S. Exploiting the FM-Signal in a Laser-Diode SMI by Means of a Mach–Zehnder Filter. IEEE Photon-Technol. Lett. 2017, 29, 1552–1555. [Google Scholar] [CrossRef]
- Tucker, J.R.; Mowla, A.; Herbert, J.; Fuentes, M.A.; Freakley, C.S.; Bertling, K.; Lim, Y.L.; Matharu, R.S.; Perchoux, J.; Taimre, T.; et al. Self-mixing sensing system based on Uncooled vertical-cavity surface-emitting laser array: Linking multichannel operation and enhanced performance. Opt. Lett. 2014, 39, 394–397. [Google Scholar] [CrossRef]
- Lim, Y.L.; Nikolic, M.; Bertling, K.; Kliese, R.; Rakić, A.D. Self-mixing imaging sensor using a monolithic VCSEL array with parallel readout. Opt. Express 2009, 17, 5517–5525. [Google Scholar] [CrossRef]
- Lim, Y.L.; Kliese, R.; Bertling, K.; Tanimizu, K.; Jacobs, P.A.; Rakić, A.D. Self-mixing flow sensor using a monolithic VCSEL array with parallel readout. Opt. Express 2010, 18, 11720–11727. [Google Scholar] [CrossRef] [PubMed]
- Dragomiretskiy, K.; Zosso, D. Variational Mode Decomposition. IEEE Trans. Signal Proces. 2014, 62, 531–544. [Google Scholar] [CrossRef]
- Ren, M.J.; Zhang, H.W.; Jiang, P.B.; Zhao, Y.; Xue, L.F.; Ren, G.J.; Shi, W.; Yao, J.Q. All-fiber hybrid displacement-sensing system based on self-mixing interference and intracavity spectroscopy. Opt. Commun. 2022, 505, 127578. [Google Scholar] [CrossRef]
- Zhang, Z.H.; Li, C.W.; Huang, Z. Vibration measurement based on multiple Hilbert transform for self-mixing interferometry. Opt. Commun. 2019, 436, 192–196. [Google Scholar] [CrossRef]











Disclaimer/Publisher’s Note: The statements, opinions and data contained in all publications are solely those of the individual author(s) and contributor(s) and not of MDPI and/or the editor(s). MDPI and/or the editor(s) disclaim responsibility for any injury to people or property resulting from any ideas, methods, instructions or products referred to in the content. |
© 2025 by the authors. Licensee MDPI, Basel, Switzerland. This article is an open access article distributed under the terms and conditions of the Creative Commons Attribution (CC BY) license (https://creativecommons.org/licenses/by/4.0/).
Share and Cite
Xia, W.; Yu, J.; Shao, S.; Qian, Z.; Hao, H.; Wang, M.; Guo, D. Multi-Channel Vibration Measurements Based on a Self-Mixing Vertical-Cavity Surface-Emitting Laser Array. Photonics 2025, 12, 178. https://doi.org/10.3390/photonics12030178
Xia W, Yu J, Shao S, Qian Z, Hao H, Wang M, Guo D. Multi-Channel Vibration Measurements Based on a Self-Mixing Vertical-Cavity Surface-Emitting Laser Array. Photonics. 2025; 12(3):178. https://doi.org/10.3390/photonics12030178
Chicago/Turabian StyleXia, Wei, Jingyu Yu, Sunan Shao, Zhengyu Qian, Hui Hao, Ming Wang, and Dongmei Guo. 2025. "Multi-Channel Vibration Measurements Based on a Self-Mixing Vertical-Cavity Surface-Emitting Laser Array" Photonics 12, no. 3: 178. https://doi.org/10.3390/photonics12030178
APA StyleXia, W., Yu, J., Shao, S., Qian, Z., Hao, H., Wang, M., & Guo, D. (2025). Multi-Channel Vibration Measurements Based on a Self-Mixing Vertical-Cavity Surface-Emitting Laser Array. Photonics, 12(3), 178. https://doi.org/10.3390/photonics12030178
