Next Article in Journal
Three-Dimensional Scalar Time-Dependent Photorefractive Beam Propagation Model
Next Article in Special Issue
Asymmetric Modulation Physical-Layer Network Coding Based on Power Allocation and Multiple Receive Antennas in an OFDM-UWOC Three-User Relay Network
Previous Article in Journal
Highly Efficient Polarization-Insensitive Grating Couplers on Thin-Film Lithium Niobate with an Integrated Gold Layer
Previous Article in Special Issue
Research on Rate Adaptation of Underwater Optical Communication with Joint Control of Photoelectric Domain
 
 
Font Type:
Arial Georgia Verdana
Font Size:
Aa Aa Aa
Line Spacing:
Column Width:
Background:
Article

An Optical Differential Method for Underwater Wireless Communication in Turbid Environments

1
School of Mechanical Engineering, Hangzhou Dianzi University, Hangzhou 310018, China
2
International Co-Operattion Platform of Intelligent Ocean Equipments Technology of Zhejiang Province, Hangzhou 310018, China
3
Ministry of Education Engineering Research Center of Smart Microsensors and Microsystems, School of Electronics and Information, Hangzhou Dianzi University, Hangzhou 310018, China
*
Author to whom correspondence should be addressed.
Photonics 2025, 12(2), 112; https://doi.org/10.3390/photonics12020112
Submission received: 7 December 2024 / Revised: 14 January 2025 / Accepted: 26 January 2025 / Published: 27 January 2025

Abstract

Underwater optical communication has emerged as an essential tool for exploring oceanography and marine resources for underwater vehicles or robots in recent years. Current techniques mostly rely on the paradigm of intensity modulation and direct detection, resorting to more powerful light sources on the transmitting side and more sensitive detectors on the receiving side, thus causing excess energy consumption and system costs. Here, a novel approach, namely, the optical differential communications method (ODCM), is proposed to extend the distance of underwater wireless optical communications in turbid water. The underlying physical reason is explained in theory and demonstrated in experiments. It is found that the stable propagation distance of ODCM could be further extended without relying on intensive light sources, in contrast to conventional methods, showing potential for longer communication ranges. Tests of underwater optical communications are conducted, and the results show that ODCM can significantly reduce the bit error rate (BER) at the same propagation distance or extend the propagation distance for the same BER level of optical signals. As such, this study provides an avenue for long-distance and stable underwater wireless optical communications in turbid environments.

1. Introduction

As Earth’s terrestrial resources become increasingly depleted, people shift increasing attention toward the oceans. Serving as an intermediator for information exchange in water, underwater wireless communications are one of the indispensable components of ocean equipment. In recent years, optical communication has emerged as a popular research topic for underwater wireless communication due to its high data rate, negligible delay in the signal channel, and compact equipment volume [1]. For instance, He et al. achieved underwater optical communications at a distance of 5 m and a speed of 16.6 Gpbs in tap water [2]. The light source they used was a 450 nm laser diode with a power of 120 mW, resulting in an average power consumption of 24 mW/m. Arvanitakis et al. used a cascaded micro-light-emitting diode (mLED) array combined with orthogonal frequency division multiplexing modulation to achieve transmission rates of 4.92 Gbps, 3.22 Gbps, and 3.4 Gbps at distances of 1.5 m, 3 m, and 4.5 m in clean water, respectively [3]. The total power consumption of mLEDs is about 20 mW. Ayshah S. Alatawi et al. experimented with a white LED with a power of 48 W in water with a turbidity of 6.8 NTU, which is representative of the water quality of the Red Sea. The experimental results show that the system can communicate within a range of 60 cm [4]. The experiments were performed in coastal water, achieving successful communication over a distance of 1.5 m. The results demonstrated that the multiple-input, multiple-output configuration significantly reduced the bit error rate (BER) compared to the single-input, multiple-output configuration. C. T. Geldard et al. utilized polarization division multiplexing and conducted experiments in water with an attenuation coefficient of 0.8 m−1, demonstrating that this method exhibits greater stability in turbid water compared to traditional OOK [5]. Yujian Guo et al. proposed a full-duplex underwater wireless optical communication system based on a 450 nm laser, achieving a communication speed of 250 Mbps in the turbid harbor water. The average power consumption was around 41.7 mW/m [6]. Robertson et al. proposed the application of Ince–Gaussian beams in underwater optical communication. The team conducted communication experiments in water with different attenuation coefficients over a distance of 3 m. The final results demonstrated that Ince–Gaussian beams exhibit more stable propagation and reduced attenuation in turbid environments [7]. Hameed et al. achieved a data rate of 1 Gbps at a distance of 12 m in turbid harbor water using a 532 nm laser with a power of 1 W [8]. Yuxiang Duan et al. employed coherent detection at the receiver to achieve communication over a distance of 0.6 m in water with an attenuation coefficient of 0.4 m−1. This study demonstrated that coherent detection exhibits better sensitivity compared to traditional intensity detection in turbid environments [9]. El-Mottaleb et al. used the technique of optical code division multiple access to achieve a maximum speed of 30 Gbps using a 31.6 mW green laser in pure seawater, clear seawater, coastal seawater, and turbid port seawater [10]. Xiaobing Hei et al. successfully achieved 9 m communication in water with an attenuation coefficient of 0.18 m−1 using orbital angular momentum multiplexing and photon counting, with a power of only 0.5 mW at the transmitter. The use of a photon-counting detector significantly enhanced the detection capability for weak signals, providing a solution for low-power visible light communication in turbid water environments [11]. Ayshah S. Alatawi et al. experimented with a white LED with a power of 48 W in water with a turbidity of 6.8 NTU, which is representative of the water quality of the Red Sea [12]. The experimental results showed that the system could communicate within a range of 60 cm.
In terms of channel simulation, progress has been made in recent years in the study of BER caused by turbulence. Mohammed Elamassie et al. modeled the effect of turbulence changes caused by ocean salinity and temperature on BER [13]. Based on the channel estimation and error correction technique of a multiple-input, multiple-output orthogonal frequency division multiplexer, Priyalakshmi et al. simulated the channel capacity, BER, signal-to-noise ratio, data rate, received power, and mean square error under different water quality conditions, including pure seawater, seawater, nearshore seawater, and turbid water, in the MATLAB environment, and verified the results [14]. Lin et al. investigated the relationship between the scintillation index and ocean depth and anisotropic inclination and showed that the scintillation index is strongly dependent on these two parameters [15].
Despite progressive advancements achieved in terms of, e.g., longer distances, higher signal-to-noise ratios, and lower BERs, in recent years, current underwater optical communications have mostly relied on the techniques of intensity modulation and direct detection, which largely resort to more powerful light sources on the transmitting side and more sensitive detectors on the receiving side. However, increasing the transmission power undoubtedly increases system energy consumption, and increasing receiver sensitivity raises system costs. Also, such a technique almost reaches the system’s physical limits. For example, water on the transmitting side starts boiling if the laser power increases to a critical value (several Ws) [16].
In this study, we propose a new method to further extend the communication distance in turbid underwater environments. Similar to the concept of “differential signals” in electronics, instead of detecting individual intensity, the intensity ratio between different transmitting beams is our target. For this reason, this method is termed an “optical differential communications method” (ODCM). We will introduce the theoretical background and experimental setup and demonstrate the validation of the ODCM in the following sections. For simplicity, the turbulence and communication rate limit will not be considered for the present proof-of-concept demonstrations.

2. Methodology

The underlying hypothesis of ODCM is that the intensity ratios between different light beams decay much slower than individual intensities themselves. Hereafter, we will reveal the fundamental reasons and quantify the application conditions for this concept.
First, we consider that the light source is composed of two monochromatic beams. Each beam decays along the optical path following Beer–Lambert’s rule as follows [17]:
I i = I 0 i e c i d ,
where i = 1, 2; I0i is the initial intensity; Ii is the intensity after the light propagates a distance d; and ci > 0 is the exponential decay coefficient, also known as extinction coefficient (including the effects of scattering and absorption). Assuming c1 > c2, the intensity ratio decays in the same optical path as follows:
R = I 1 / I 2 = I 01 / I 02 e ( c 1 c 2 ) d ,
Equation (2) indicates that the exponential decay coefficient of intensity ratio is cR = c1c2. It is clear that cR is smaller than c1. The hypothesis is valid; that is, cR < c2 < c1 if the following inequation is satisfied:
c 2 < c 1 < 2 c 2
At first glance, the application condition (3) for ODCM is rather strict. However, for a real turbid underwater environment, for example, in a lake, river, or nearshore water, c1c2 approaches zero in most cases [18], so that the inequation is generally satisfied. The reason is that in turbid water, the scattering effect of seawater plays a major role in light attenuation [19]. The scattering of water bodies is divided into the scattering of particulate matter and the scattering of pure seawater itself. In 1994, Hendrik Buiteveld et al. provided the scattering coefficient of pure seawater for light in different wavelength bands. Pure seawater has obvious scattering for short waves, but for visible light from 380 nm to 780 nm, the scattering coefficient is 0.0065–0.0003 m−1 [20]. Therefore, the scattering effect of turbid water is mainly caused by suspended particulate matter. The size of particles is at a dimension spanning from several micrometers to tens of micrometers [21]. The scattering effect is not so sensitive to incidence light beams because the optical wavelength for underwater communication routinely falls within the visible range, especially the blue-green range, which is far beyond resonant excitation conditions [22].
Since the optical wavelength of the light source falls within the visible range, the intensity ratio between different wavelengths of light is equivalent to another familiar concept: color. Thus, the cardinal principle of ODCM is to measure the chromatic quantities in the turbid water instead of conventional photometric quantities, e.g., light intensity.
As an example, a compound light source that includes two white LEDs with different colors is used in ODCM for underwater wireless communications. The emission spectra are shown in Figure 1a,b. The correlated color temperatures (CCTs) for the two kinds of LEDs are 6000 K (Figure 1a) and 3000 K (Figure 1b). The chromaticity coordinates for the 6000 K LED and 3000 K LED are (0.3198, 0.3315) and (0.4105, 0.3880), respectively. The application condition (3) is verified in theory first. The imaginary parts of the dielectric constant for the water, as well as the particles, are neglected; therefore, light attenuation is mainly caused by the scattering of particles. The refraction index of water and particles are 1.34 and 1.5, respectively [23]. The particles are regarded as spheres and homogeneously distributed in the water. The diameter of particles ranges from 2 μm to 50 μm. An effective extinction coefficient is defined for a particle with the diameter of d and excited by light with the normalized spectrum of I(λ), which is described as follows:
c e x t d = λ = 0.38 0.78 c e x t ( d , λ ) I ( λ ) .
cext(d, λ) is the attenuation coefficient of visible light at different wavelengths for spheres with different particle sizes and is calculated using the Mie scattering model, and I(λ) is the normalized spectrum. Thus, cext(d) is superimposed from cext(d, λ), and the weight is normalized spectrum I(λ). Using Equation (4), we can calculate the effective extinction of different particle sizes for white light.
Figure 1c shows the effective extinction coefficient as a function of sphere diameter. The effective extinction coefficient decreases as the diameter increases, although there are diminishing oscillations. It infinitely approaches a constant value (~2.04) as the diameter. In equation (3) is obviously satisfied for two white lights since c1 = max(cext (d)) = 2.54, and c2 = min(cext (d)) = 2.04, where max(x) and min(x) return the maximum and minimum of x, respectively.
The reliability of the measured signal, φ, is defined as follows:
s = 1 E r = 1 φ 0 φ d φ 0
where φ0 and φd are the measured signals after propagating distances of 0 and d, respectively. For conventional intensity modulation, the signal φ is measured in illuminance (lx), and for chromatimetric modulation, the signal φ is the CIE 1931 color coordinates, so it is unitless. Er represents the relative error of the signal. The measured quantity could be the intensity or chromaticity of the transmission light. It is worth noting that φ could be a vector if the measured quantity is multidimensional; for instance, chromaticity coordinates in the CIE 1931 color diagram are two-dimensional. In such cases, the numerator of Er implies the Euclidean distance between the theoretical and the measured chromaticity. Figure 1d compares theoretical signal reliabilities as a function of propagating distance if the two white LEDs (shown in Figure 1a,b) are used as the light sources (see more details on theoretical derivations in the Supplementary Materials). It can be clearly seen that the light intensity decays much faster than the chromaticity for both kinds of light sources. The exponential decay coefficient of intensity is more than 15 times larger than that of chromaticity, indicating the superiority of chromaticity over conventional intensity in long-distance underwater light communications.

3. Experiment

In order to verify the theoretical predictions, experiments on underwater optical transmissions and optical communications are conducted in an optical dark room. Figure 2a shows the schematic diagram of the experimental setup. In order to compare the light intensity and color at the same level, a collimated light source is built. The light first passes through a tunable aperture and then enters a water tank. The tank is made of glass, which absorbs almost no light in the visible range. The light in the water is collected by a lens (lens 2) and transferred to an integrating sphere, which is connected to an optical fiber spectrometer (Type: SW2000, Company: EVERUPING Optics, Hangzhou, China). The lens and the integrating sphere are installed into an acrylic box that is waterproof and transparent. The acrylic box is mounted on a translational stage and can be moved along the direction of light propagation.
The inset of Figure 2a shows the detail of the home-built collimated light source. Two chips of white-light LEDs with different colors (6000 K-CCT LED and 3000 K-CCT LED, XPG3535, Company: Cree, Durham, NC, USA) are soldered onto an Al substrate-printed circuit board. The emission spectra are shown in Figure 1a,b. The Al substrate is fixed on a heat radiator, which is made of Al fins so that the heat produced by the LEDs can be efficiently diffused into ambient light. In front of the LEDs, there is an acrylic diffuser to mix the light uniformly. The mixed light becomes a point-like light source after passing through a pinhole and then becomes a collimated light beam after passing through a movable lens (lens 1). Figure 2b shows images of beam spots in the air at different positions of the optical path. If l is defined as the distance between the input boundaries of the water tank and acrylic box, the red and green enclosed images show the beam spots when l equals 10 cm and 60 cm, respectively. As can be seen, the beam diameter expands only 18.18% after traveling a distance of 50 cm, indicating a negligible diverging angle (~0.229°).
The wires of the LEDs are threaded past two holes of cooling fins and connected with an external driving printed circuit board with constant-current modulations. Two colors of LEDs are driven separately by pulsed modulation signals. A so-called digital color-coding method is used, which allows for precise manipulations of light luminosity and chromaticity within the color spaces defined by the Commission Internationale de l’éclairage (CIE) [24,25]. To make a collimated light source, we use optical components, such as diaphragms, light mixing plates, etc., which will lose part of the light intensity (the collimated light source is only made to compare the communication level between light intensity and light chromaticity, and there is no need to use the collimated light source in actual communication). When both duty cycles are set to 100%, the luminous flux is collected by the integrating sphere when the positions of l = 0 are 0.003205 lm and 0.004288 lm for the 6000 K-CCT and 3000 K-CCT LEDs, respectively. The 3000 K and 6000 K LEDs were chosen because of their brighter emission and wider color gamut, and the digital color-coding method is suitable for LEDs of other colors (e.g., red–green–blue LEDs). Figure 2c demonstrates the precise manipulations of chromaticity of the compound light source using the biprimary color mixing technique of the digital color-coding method [24,25]. The luminous flux of compound light source is kept constant at 0.0032 lm. The comparison between the experimental results (red asterisks) and the theoretical predictions (black circles) confirms the precision of the digital color-coding method.

4. Results

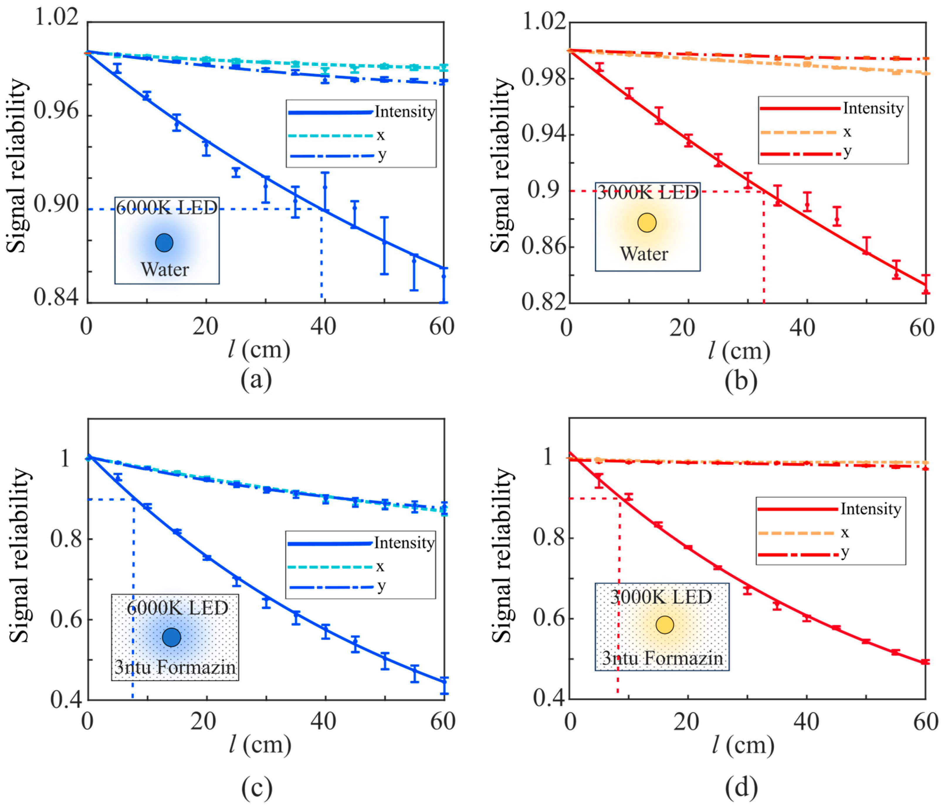
Figure 3 shows optical transmission tests at different light propagating distances in the water (a, b) and Formazin solution (c, d). The error bars stem from three measurements under the same conditions for each case. Figure 3a shows the signal reliability decays in the natural water using only the 6000 K-CCT LED. The measured optical signals include the intensity (luminous flux) and color (chromaticity coordinates). As can be seen, the light intensity decays much faster than the color. The chromaticity coordinate, x, shows a negligible decay in the given propagating distance. The stable propagating distance is defined by the distance l at which the signal reliability decays to a level of 90%. The stable propagating distances for the chromaticity coordinates, x and y, are 643.14 cm and 306.03 cm, respectively, which are 16 and 7.6 times longer than that of light intensity. If the light is switched to the 3000 K-CCT LED, the chromaticity coordinates, x and y, show almost the same decay tendency, as shown in Figure 3b. The stable propagating distance for the chromaticity coordinates is 18.9 times longer than that of light intensity.
In order to simulate a turbid water environment, 3 NTU Formazin solution is prepared for the light transmission tests. The diameter of Formazin particles ranges follows almost a normal distribution, and the diameter at the center of the distribution is approximately 2.7 μm. If the 6000 K-CCT LED is used, the chromaticity coordinates, x and y, show almost the same decay tendency, as shown in Figure 3c. The stable propagating distance for chromaticity coordinates becomes 44.1 cm, which decreases by 93% in comparison with the case in the natural water. However, the stable propagating distance for chromaticity coordinates is 5.5 times longer than that of light intensity. If the 3000 K-CCT LED is used in 3 NTU Formazin solution, the chromaticity coordinates, x and y, show almost the same decay tendency, as shown in Figure 3d. The stable propagating distance for the chromaticity coordinates becomes 342.48 cm, which is 42 times longer than that of light intensity.
The underwater optical communications using ODCM are further demonstrated. For guiding eyes, digital data from a binary image are encoded at the transmitting side and decoded at the receiving side after passing by a water channel. As shown in Figure 4, the binary image depicting a two-way road sign contains 61 × 65 pixels. Each pixel represents a binary bit. In accordance with the theory of digital color-coding method, the intensity and the chromaticity of visible light could be separately manipulated at will by modulating duty cycles of driving pulses [24,25]. The definitions of logic “on” and “off”, as well as the noise level, in optical communication are listed in Table 1. Dc and Dw represent the duty cycles of the 6000 K-CCT and 3000 K-CCT LEDs, respectively. When communicating, we will use two pulse-width modulation pulses with different duty cycles to control the two LEDs separately and mix the two beams of light together. As shown in Table 1, we represent the logical “on” and “off” by adjusting the duty cycle of the two lights. The beam of light is received by an integrating sphere after passing through a body of water, and its color coordinates and light intensity can be determined by analyzing the spectrum. To compare the performance using light intensity and color, the light sources, noise levels, and coding algorithms in both logic states remain the same. The only difference lies in the extraction of light information. For conventional intensity modulations, the photometric quantity, that is, the luminous flux, is extracted from received optical signals, while the chromaticity quantity, that is, the chromaticity coordinates, is extracted for ODCM. After the receiver obtains the luminous flux and color coordinates, the s (signal stability) will be calculated. When the s is greater than 95%, the signal is considered reliable and thus decoded into binary data, and when the s is less than 95%, the signal is regarded as noisy, and the system will randomly generate binary data instead of the signal.
Figure 4 shows decoded images after the light propagates a distance l in water. As can be clearly seen, the decoded image becomes more and more noisy as l increases if light intensity modulations are employed. The BER is 27.78%, 78.68%, and 100% when l is 10 cm, 15 cm, and 20 cm, respectively. In contrast, no bit errors can be found from the first 20 cm of propagating distance if ODCM is used.
Similar tests are conducted in 3 NTU Formazin solution, which simulates optical communications in a strongly scattered water environment. Figure 5 shows decoded images at different propagating distances. If light intensity modulations are used, BER increases to 75.29% when l is only 10 cm. It increases dramatically to almost 100% if l is larger than 15 cm. However, with respect to ODCM, no bit error can be found if l is shorter than 40 cm. When l increases to 40 cm, a small amount of noise appears at the initial stage (the first 80 min), which might result from the precipitation of Formazin particles. If l increases from 40 cm to 50 cm, the BER merely increases by 5%, which is, to a large extent, generated at the beginning stage of optical communication. Even when l is 70 cm, the decoded image can still be identified, the BER of which (70.97%) is very close to that when the level of l is 10 cm in light intensity modulations.
Finally, considering the complexity of natural water bodies, experiments are conducted using the river water collected from the Jing-Hang Grand Canal in Hangzhou to simulate optical communication in natural environments. Instrument measurements show that the turbidity of the collected river water is 4.6 NTU. Figure 6 shows the decoded images at different propagation distances. When optical intensity modulation is adopted, the BER reaches 54.88% when the distance l is 5 cm, which has already exceeded the forward error correction limit. When the distance l increases to 20 cm, the signal cannot be recognized at all. In contrast, when using the ODCM, no bit errors are observed when l is no longer than 30 cm. When l increases to 35 cm and 40 cm, the BER ascends to 4.30% and 68.5%, respectively. The receiving signals cannot be recognized until l exceeds 50 cm. These facts indicate that even in a turbid natural water environment, the ODCM significantly outperforms optical intensity modulation in terms of communication distance and reliability.
To achieve long-distance wireless communication underwater using visible light, most studies may resort to a higher-power light source; however, this would lead to excessive power consumption, which is not conducive to sustainable development. Table 2 compares the power consumption required per meter for the transmission of different underwater optical communication technologies. As can be seen in the results of the referenced studies, these experiments yielded good results, consuming a few tenths of a milliwatt or even a few tenths of a milliwatt per meter of power transmitted. We have succeeded in detecting and restoring weak signals using differential modulation at the transmitter end and color coordinate detection at the receiver end, with a power density of only 0.032 mW/m, which outperformed the other methods.
Notably, this study focuses on the demonstration of ODCM and performance comparisons of conventional methods of intensity modulation. For real implementations, if a long distance is the target, the LED light source can be replaced with lasers. Also, since only two colors of light sources are involved in the color mixing in this study, the binary chromaticity for the light communication can only be selected from the line segment bounded by the chromaticity coordinates of two LEDs. For a broader selection range, that is, the gamut, red–green–blue lasers could be the ideal laser source [24]. The optimal binary chromaticity coordinates could be selected in such a way that they are farthest away from each other and show the minimum chromatic aberration as the propagation distance varies. In addition, a spectrometer is used in this study to obtain chromaticity and intensity at the same time in a single measurement so that the two quantities can be compared at the same level. However, for real applications, the spectrometer could be easily replaced with a colorimeter so that a much higher data rate can be achieved. In this paper, the influence of suspended particulate matter on optical communication in turbid waters is studied, but there are still turbulent bubbles and other factors in actual water bodies. Adding factors such as turbulence to future ODCM research experiments can better simulate real-world environments.

5. Conclusions

In this study, a novel method, namely, ODCM, is proposed to extend the distance of underwater wireless optical communications in turbid water. The underlying physical reason is explained in theory and demonstrated in experiments. It is found that the extinction coefficient of ODCM is much lower in comparison with that of conventional methods relying on intensity modulations. The stable propagation distance of ODCM could be further extended without relying on intensive light sources, which contrasts with conventional methods, showing a potential for longer communication ranges. To demonstrate superior performance, tests of optical communication in natural water, 3 NTU Formazin solution, and a real river are used to compare the ODCM and intensity modulations. The results show that ODCM can significantly reduce the BER at the same propagation distance or extend the propagation distance for the same BER level of optical signals. As such, this study provides a route to long-distance and stable underwater wireless optical communications.
This article primarily examines the performance of ODCM under strong scattering effects. However, in practical underwater environments, many other factors need to be considered, such as turbulence, absorption, and water temperature. It is also worth noting that the detection rate of present commercial color sensors is relatively low. Considering the high-speed detection requirements of underwater optical communication, improving the communication rate of ODCM will require the development of faster color sensors. These would be interesting research topics for our future work.

Supplementary Materials

The following supporting information can be downloaded at: https://www.mdpi.com/article/10.3390/photonics12020112/s1. Refs. [31,32,33] are citied in Supplementary Materials file.

Author Contributions

Conceptualization, X.T. and J.W.; methodology, X.T. and J.W.; software, X.T. and F.J.; validation, X.T. and J.W.; formal analysis, X.T., F.J. and J.W.; investigation, X.T., F.J., H.Y. and H.X.; resources, X.T. and J.W.; data curation, X.T., F.J. and J.W.; writing—original draft preparation, X.T. and F.J.; writing—review and editing, X.T., F.J., H.Y., H.X. and J.W.; visualization, X.T. and F.J.; supervision, J.W.; project administration, X.T. and J.W.; funding acquisition, X.T. and J.W. All authors have read and agreed to the published version of the manuscript.

Funding

J.W. gratefully acknowledges the General Program of Natural Science Foundation of China (62475065) and the Scientific Research Starting Fund from Hangzhou Dianzi University (KYS045623025, GK239909299001-408). X.T. acknowledges the Fundamental Research Funds for the Provincial Universities of Zhejiang (No. GK229909299001-007).

Institutional Review Board Statement

Not applicable.

Informed Consent Statement

Not applicable.

Data Availability Statement

Data underlying the results presented in this paper are not publicly available at this time but may be obtained from the authors upon reasonable request.

Acknowledgments

The authors thank Jiandong Yu from Everuping Optics Co., Ltd. for the technical support during the secondary development of the spectrometers.

Conflicts of Interest

The authors declare no conflicts of interest.

References

  1. Schirripa Spagnolo, G.; Cozzella, L.; Leccese, F. Underwater Optical Wireless Communications: Overview. Sensors 2020, 20, 2261. [Google Scholar] [CrossRef]
  2. Fei, C.; Hong, X.; Zhang, G.; Du, J.; Gong, Y.; Evans, J.; He, S. 16.6 Gbps Data Rate for Underwater Wireless Optical Transmission with Single Laser Diode Achieved with Discrete Multi-Tone and Post Nonlinear Equalization. Opt. Express 2018, 26, 34060–34069. [Google Scholar] [CrossRef]
  3. Arvanitakis, G.N.; Bian, R.; McKendry, J.J.D.; Cheng, C.; Xie, E.; He, X.; Yang, G.; Islim, M.S.; Purwita, A.A.; Gu, E.; et al. Gb/s Underwater Wireless Optical Communications Using Series-Connected GaN Micro-LED Arrays. IEEE Photonics J. 2020, 12, 7901210. [Google Scholar] [CrossRef]
  4. Hema, R.; Sudha, S.; Aarthi, K. Performance Studies of MIMO Based DCO-OFDM in Underwater Wireless Optical Communication Systems. J. Mar. Sci. Technol. 2021, 26, 97–107. [Google Scholar] [CrossRef]
  5. Geldard, C.T.; Butler, I.M.E.; Popoola, W.O. Beyond 10 Gbps in Hostile Underwater Optical Wireless Communication Channel Conditions Using Polarisation Division Multiplexing. J. Lightwave Technol. 2024, 42, 4444–4453. [Google Scholar] [CrossRef]
  6. Guo, Y.; Kong, M.; Sait, M.; Marie, S.; Alkhazragi, O.; Ng, T.K.; Ooi, B.S. Compact Scintillating-Fiber/450-Nm-Laser Transceiver for Full-Duplex Underwater Wireless Optical Communication System under Turbulence. Opt. Express 2022, 30, 53–69. [Google Scholar] [CrossRef] [PubMed]
  7. Robertson, E.; Pires, D.G.; Dai, K.; Free, J.; Kimmel, K.; Litchinitser, N.; Miller, J.K.; Johnson, E.G. Constant-Envelope Modulation of Ince-Gaussian Beams for High Bandwidth Underwater Wireless Optical Communications. J. Lightwave Technol. 2023, 41, 5209–5216. [Google Scholar] [CrossRef]
  8. Hameed, S.M.; Sabri, A.A.; Abdulsatar, S.M. Filtered OFDM for Underwater Wireless Optical Communication. Opt. Quant. Electron. 2023, 55, 77. [Google Scholar] [CrossRef]
  9. Duan, Y.; Zhou, H.; Jiang, Z.; Ramakrishnan, M.; Su, X.; Ko, W.; Zuo, Y.; Lian, H.; Zeng, R.; Wang, Y.; et al. Demonstration of an 8-Gbit/s Quadrature-Phase-Shift-Keying Coherent Underwater Wireless Optical Communication Link Using Coherent Heterodyne Detection under Scattering Conditions. Opt. Lett. 2024, 49, 4397–4400. [Google Scholar] [CrossRef] [PubMed]
  10. El-Mottaleb, S.A.A.; Singh, M.; Atieh, A.; Aly, M.H. Performance Analysis of 3 × 10 Gb/s UOWC Transmission System Based on OCDMA Using a DPS Code. Opt. Quant. Electron. 2024, 56, 217. [Google Scholar] [CrossRef]
  11. Hei, X.; Zhu, Q.; Gai, L.; Chen, X.; Liu, C.; Gu, Y.; Li, W. Photon-Counting-Based Underwater Wireless Optical Communication Employing Orbital Angular Momentum Multiplexing. Opt. Express 2023, 31, 19990–20004. [Google Scholar] [CrossRef] [PubMed]
  12. Alatawi, A.S. A Testbed for Investigating the Effect of Salinity and Turbidity in the Red Sea on White-LED-Based Underwater Wireless Communication. Appl. Sci. 2022, 12, 9266. [Google Scholar] [CrossRef]
  13. Elamassie, M.; Uysal, M. Vertical Underwater Visible Light Communication Links: Channel Modeling and Performance Analysis. IEEE Trans. Wirel. Commun. 2020, 19, 6948–6959. [Google Scholar] [CrossRef]
  14. Priyalakshmi, B.; Mahalakshmi, K. Channel estimation and error correction for UWOC system with vertical non-line-of-sight channel. Wirel. Netw. 2020, 26, 4985–4997. [Google Scholar] [CrossRef]
  15. Lin, Z.; Xu, G.; Wang, W.; Zhang, Q.; Song, Z. Scintillation index for the optical wave in the vertical oceanic link with anisotropic tilt angle. Opt. Express 2022, 30, 38804–38820. [Google Scholar] [CrossRef]
  16. Jin, R.; Huai, X.; Liu, D. Study of rapid transient explosive boiling under short-pulsed laser heating. Prog. Nat. Sci. 2004, 14, 700–704. [Google Scholar] [CrossRef]
  17. Ata, Y.; Korotkova, O. Absorption, scattering, and optical turbulence in natural waters. Appl. Opt. 2022, 61, 4404–4411. [Google Scholar] [CrossRef]
  18. Smith, R.; Baker, K. Optical properties of the clearest natural waters (200–800 nm). Appl Opt. 1981, 20, 177–184. [Google Scholar] [CrossRef] [PubMed]
  19. Hanson, F.; Radic, S. High Bandwidth Underwater Optical Communication. Appl. Opt. 2008, 47, 277–283. [Google Scholar] [CrossRef] [PubMed]
  20. Buiteveld, H.; Hakvoort, J.H.M.; Donze, M. Optical properties of pure water. In Ocean Optics XII; SPIE: Bellingham, WA, USA, 1994; Volume 2258, pp. 174–183. [Google Scholar] [CrossRef]
  21. Reynolds, R.A.; Stramski, D.; Wright, V.M.; Woźniak, S.B. Measurements and Characterization of Particle Size Distributions in Coastal Waters. J. Geophys. Res. 2010, 115, 2009JC005930. [Google Scholar] [CrossRef]
  22. Hulst, H.C.; van de Hulst, H.C. Light scattering by Small Particles; Courier Corporation: North Chelmsford, MA, USA, 1981. [Google Scholar]
  23. Jonasz, M.; Fournier, G.R. Light Scattering by Particles in Water; Elsevier: Amsterdam, The Netherlands, 2007; pp. 246–445. [Google Scholar]
  24. Tang, N.; Wang, J.; Qiu, M. Nonlinear color space coded by additive digital pulses. Optica 2021, 8, 977–983. [Google Scholar] [CrossRef]
  25. Tang, N.; Wang, J.; Qiu, M. Chromatic effects of supplemental light on the fruit quality of strawberries. Horticulturae 2023, 9, 1333. [Google Scholar] [CrossRef]
  26. Lyu, W.; Li, X.; Zhang, Y.; Guan, X.; Zhang, Z.; Xu, J. Experimental demonstration of underwater wireless optical OFDM communication system with a single SPAD receiver. Opt. Commun. 2022, 508, 127767. [Google Scholar] [CrossRef]
  27. Zhang, L.; Tang, X.; Sun, C.; Chen, Z.; Li, Z.; Wang, H.; Jiang, R.; Shi, W.; Zhang, A. Over 10 attenuation length gigabits per second underwater wireless optical communication using a silicon photomultiplier (SiPM) based receiver. Opt. Express 2020, 28, 24968–24980. [Google Scholar] [CrossRef]
  28. Fei, C.; Wang, Y.; Du, J.; Chen, R.; Lv, N.; Zhang, G.; Tian, J.; Hong, X.; He, S. 100-m/3-Gbps underwater wireless optical transmission using a wideband photomultiplier tube (PMT). Opt. Express 2022, 30, 2326–2337. [Google Scholar] [CrossRef]
  29. Du, Z.; Ge, W.; Cai, C.; Wang, H.; Song, G.; Xiong, J.; Li, Y.; Zhang, Z.; Xu, J. 90-m/660-Mbps Underwater Wireless Optical Communication Enabled by Interleaved Single-Carrier FDM Scheme Combined with Sparse Weight-Initiated DNN Equalizer. J. Light. Technol. 2023, 41, 5310–5320. [Google Scholar] [CrossRef]
  30. Zhao, Y.; Yu, S.; Chi, N. Transfer Learning-Based Artificial Neural Networks Post-Equalizers for Underwater Visible Light Communication. Front. Commun. Netw. 2021, 2, 658330. [Google Scholar] [CrossRef]
  31. Liu, S.; Shen, Y.; Gao, Z. Spectrometric characterization of suspension liquid and light extinction model update. Spectrochim. Acta Part A Mol. Biomol. Spectrosc. 2023, 296, 1386–1425. [Google Scholar] [CrossRef] [PubMed]
  32. Li, M.; Wu, B.; Lu, Z. Studies on Mie Scattering by Formazine Polymer Particles. Opt. Tech. 1998, 01, 15–19. (In Chinese) [Google Scholar]
  33. Ohta, N.; Robertson, A. Colorimetry: Fundamentals and Applications; Wiley: Hoboken, NJ, USA, 2006; pp. 68–74. [Google Scholar]
Figure 1. Principle of ODCM. (a,b) Emission spectra of two consisting light sources. (c) Effective extinction coefficients as functions of the diameter of particles excited by the two consisting light sources. (d) Signal stability of functions of light propagating distance.
Figure 1. Principle of ODCM. (a,b) Emission spectra of two consisting light sources. (c) Effective extinction coefficients as functions of the diameter of particles excited by the two consisting light sources. (d) Signal stability of functions of light propagating distance.
Photonics 12 00112 g001
Figure 2. Experimental setup and light source modulation method. (a) Experimental setup. The insets show the details of a home-built light source with precise manipulations of chromaticity and luminosity. (b) Images of light spots at two positions on the optical path. (c) Experimental demonstration of precise color manipulations of the light source using a digital color-coding method.
Figure 2. Experimental setup and light source modulation method. (a) Experimental setup. The insets show the details of a home-built light source with precise manipulations of chromaticity and luminosity. (b) Images of light spots at two positions on the optical path. (c) Experimental demonstration of precise color manipulations of the light source using a digital color-coding method.
Photonics 12 00112 g002
Figure 3. Spatial optical transmissions in the water and Formazin solution by using lights with different colors. (a) The signal reliability decays as the light of the 6000 K LED propagates in the natural water. (b) The signal reliability decays as the light of the 3000 K LED propagates in the natural water. (c) The signal reliability decays as the light of the 6000 K LED propagates in the 3 NTU Formazin solution. (d) The signal reliability decays as the light of the 3000 K LED propagates in the 3 NTU Formazin solution. The error bars result from three measurements under the same conditions for each case.
Figure 3. Spatial optical transmissions in the water and Formazin solution by using lights with different colors. (a) The signal reliability decays as the light of the 6000 K LED propagates in the natural water. (b) The signal reliability decays as the light of the 3000 K LED propagates in the natural water. (c) The signal reliability decays as the light of the 6000 K LED propagates in the 3 NTU Formazin solution. (d) The signal reliability decays as the light of the 3000 K LED propagates in the 3 NTU Formazin solution. The error bars result from three measurements under the same conditions for each case.
Photonics 12 00112 g003
Figure 4. Images collected at the receiving end of underwater optical communication in natural water using light chromaticity and intensity.
Figure 4. Images collected at the receiving end of underwater optical communication in natural water using light chromaticity and intensity.
Photonics 12 00112 g004
Figure 5. Images collected at the receiving end of underwater optical communications in the 3 NTU Formazin solution using light chromaticity and intensity.
Figure 5. Images collected at the receiving end of underwater optical communications in the 3 NTU Formazin solution using light chromaticity and intensity.
Photonics 12 00112 g005
Figure 6. Images collected at the receiving end of underwater optical communication in river water collected from Jing-Hang Grand Canal in Hangzhou using light chromaticity and intensity.
Figure 6. Images collected at the receiving end of underwater optical communication in river water collected from Jing-Hang Grand Canal in Hangzhou using light chromaticity and intensity.
Photonics 12 00112 g006
Table 1. Signal definitions in optical communications.
Table 1. Signal definitions in optical communications.
“on” State“off” StateNoise
Dc = 49%
Dw = 98%
Dc = 24%
Dw = 12%
s < 95%
Table 2. Comparison between present work and previous works.
Table 2. Comparison between present work and previous works.
Light SourceModulationPower per MeterReference
450 nm LDBit-power loading DMT and NE24 mW/m[2]
450 nm LEDOFDM4.44 mW/m[3]
527 nm LEDOFDM1.6 W/m[4]
450 nm LDOFDM0.07 mW/m[26]
450 nm LDOOK0.14 mW/m[27]
520 nm LDOOK0.25 mW/m[28]
532 nm LDConstant-Envelope0.33 mW/m[7]
450 nm LDI-SC-FDM2.09 mW/m[29]
488 nm LD2PPM0.055 mW/m[11]
450 nm LED64-QAM83.3 mW/m[30]
White LEDOOK0.032 mW/mThis work
Disclaimer/Publisher’s Note: The statements, opinions and data contained in all publications are solely those of the individual author(s) and contributor(s) and not of MDPI and/or the editor(s). MDPI and/or the editor(s) disclaim responsibility for any injury to people or property resulting from any ideas, methods, instructions or products referred to in the content.

Share and Cite

MDPI and ACS Style

Tian, X.; Jiang, F.; Yu, H.; Xu, H.; Wang, J. An Optical Differential Method for Underwater Wireless Communication in Turbid Environments. Photonics 2025, 12, 112. https://doi.org/10.3390/photonics12020112

AMA Style

Tian X, Jiang F, Yu H, Xu H, Wang J. An Optical Differential Method for Underwater Wireless Communication in Turbid Environments. Photonics. 2025; 12(2):112. https://doi.org/10.3390/photonics12020112

Chicago/Turabian Style

Tian, Xiaoqing, Feng Jiang, Hongfei Yu, Hang Xu, and Jiyong Wang. 2025. "An Optical Differential Method for Underwater Wireless Communication in Turbid Environments" Photonics 12, no. 2: 112. https://doi.org/10.3390/photonics12020112

APA Style

Tian, X., Jiang, F., Yu, H., Xu, H., & Wang, J. (2025). An Optical Differential Method for Underwater Wireless Communication in Turbid Environments. Photonics, 12(2), 112. https://doi.org/10.3390/photonics12020112

Note that from the first issue of 2016, this journal uses article numbers instead of page numbers. See further details here.

Article Metrics

Back to TopTop