Second Harmonic Generation in Apodized Chirped Periodically Poled Lithium Niobate Loaded Waveguides Based on Bound States in Continuum
Abstract
1. Introduction
2. Theory and Design
2.1. Design of Waveguide Structure
2.2. Broadband Waveguide BICs
2.3. Apodized Chirped Periodically Poled Design
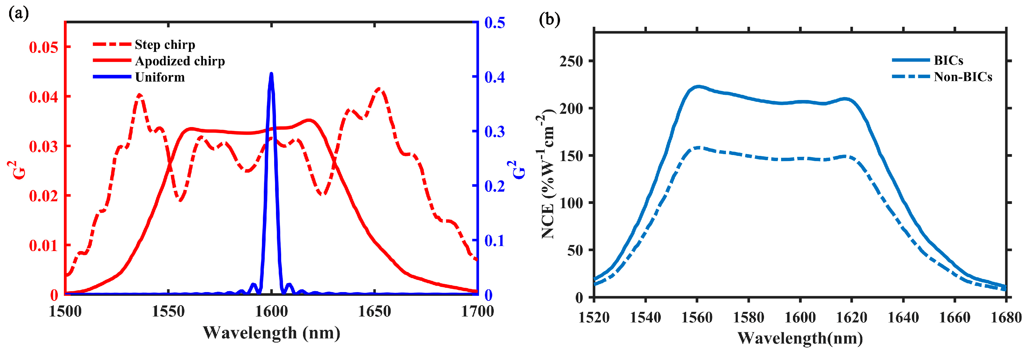
3. Results and Discussion
3.1. Conversion Efficiency
3.2. Fabrication Tolerance
4. Conclusions
Author Contributions
Funding
Institutional Review Board Statement
Informed Consent Statement
Data Availability Statement
Conflicts of Interest
References
- Weis, R.S.; Gaylord, T.K. Lithium niobate: Summary of physical properties and crystal structure. Appl. Phys. A 1985, 37, 191–203. [Google Scholar] [CrossRef]
- Xia, M.J.; Tang, C.; Li, R.K. Rb4Li2TiOGe4O12: A Titanyl Nonlinear Optical Material with the Widest Transparency Range. Angew. Chem. Int. Ed. 2019, 58, 18257–18260. [Google Scholar] [CrossRef]
- Liu, Q.X.; Tang, C.; Wen, Y.Y.; Wang, T.Y.; Wu, Q.; He, C.J.; Xia, M.J. Flux growth of nonlinear optical crystal K3B6O10Br with high optical quality and its electro-optical property. Opt. Mater. 2023, 137, 113605. [Google Scholar] [CrossRef]
- Poberaj, G.; Hu, H.; Sohler, W.; Günter, P. Lithium niobate on insulator (LNOI) for micro-photonic devices. Laser Photonics Rev. 2012, 6, 488–503. [Google Scholar] [CrossRef]
- Boes, A.; Corcoran, B.; Chang, L.; Bowers, J.; Mitchell, A. Status and potential of lithium niobate on insulator (LNOI) for photonic integrated circuits. Laser Photonics Rev. 2018, 12, 1700256. [Google Scholar] [CrossRef]
- Lin, J.T.; Bo, F.; Cheng, Y.; Xu, J.J. Advances in on-chip photonic devices based on lithium niobate on insulator. Photonics Res. 2020, 8, 1910–1936. [Google Scholar] [CrossRef]
- Wang, C.; Langrock, C.; Marandi, A.; Jankowski, M.; Zhang, M.; Desiatov, B.; Fejer, M.M.; Lončar, M. Ultrahigh efficiency wavelength conversion in nanophotonic periodically poled lithium niobate waveguides. Optica 2018, 5, 1438–1441. [Google Scholar] [CrossRef]
- Rao, A.; Abdelsalam, K.; Sjaardema, T.; Honardoost, A.; Camacho-Gonzalez, G.F.; Fathpour, S. Actively-monitored periodic-poling in thin-film lithium niobate photonic waveguides with ultrahigh nonlinear conversion efficiency of 4600%W−1cm−2. Opt. Express 2019, 27, 25920–25930. [Google Scholar] [CrossRef] [PubMed]
- Li, G.; Chen, Y.; Jiang, H.; Chen, X. Broadband sum-frequency generation using d33 in periodically poled LiNbO3 thin film in the telecommunications band. Opt. Lett. 2017, 42, 939–942. [Google Scholar] [CrossRef]
- Hao, Z.; Wang, J.; Ma, S.; Mao, W.; Bo, F.; Gao, F.; Zhang, G.; Xu, J. Sum-frequency generation in on-chip lithium niobate microdisk resonators. Photonics Res. 2017, 5, 623–628. [Google Scholar] [CrossRef]
- Mishra, J.; McKenna, T.P.; Ng, E.; Stokowski, H.S.; Jankowski, M.; Langrock, C.; Heydari, D.; Mabuchi, H.; Fejer, M.M.; Safavi-Naeini, A.H. Mid-infrared nonlinear optics in thin-film lithium niobate on sapphire. Optica 2021, 8, 921–924. [Google Scholar] [CrossRef]
- Roussev, R.V.; Fejer, M.M.; Fujimura, M.; Parameswaran, K.R.; Kurz, J.R.; Route, R.K. Highly efficient second-harmonic generation in buried waveguides formed by annealed and reverse proton exchange in periodically poled lithium niobate. Opt. Lett. 2002, 27, 179–181. [Google Scholar]
- Webjörn, J.; Laurell, F.; Arvidsson, G. Fabrication of periodically domain-inverted lithium niobate channel waveguides for second harmonic generation. J. Light. Technol. 1989, 7, 1597–1600. [Google Scholar] [CrossRef]
- Chang, L.; Li, Y.; Volet, N.; Wang, L.; Peters, J.; Bowers, J.E. Thin film wavelength converters for photonic integrated circuits. Optica 2016, 3, 531–535. [Google Scholar] [CrossRef]
- Rao, A.; Malinowski, M.; Honardoost, A.; Talukder, J.R.; Rabiei, P.; Delfyett, P.; Fathpour, S. Second-harmonic generation in periodically-poled thin film lithium niobate wafer-bonded on silicon. Opt. Express 2016, 24, 29941–29947. [Google Scholar] [CrossRef] [PubMed]
- Zhao, J.; Rusing, M.; Javid, U.A.; Ling, J.; Li, M.; Lin, Q.; Mookherjea, S. Shallow-etched thin-film lithium niobate waveguides for highly-efficient second-harmonic generation. Opt. Express 2020, 28, 19669–19682. [Google Scholar] [CrossRef]
- Luo, R.; He, Y.; Liang, H.; Li, M.; Lin, Q. Highly tunable efficient second-harmonic generation in a lithium niobate nanophotonic waveguide. Optica 2018, 5, 1006–1011. [Google Scholar] [CrossRef]
- Luo, R.; He, Y.; Liang, H.; Li, M.; Lin, Q. Semi-nonlinear nanophotonic waveguides for highly efficient second-harmonic generation. Laser Photonics Rev. 2019, 13, 1800288. [Google Scholar] [CrossRef]
- Chen, J.-Y.; Ma, Z.-H.; Sua, Y.M.; Li, Z.; Tang, C.; Huang, Y.-P. Ultra-efficient frequency conversion in quasi-phase-matched lithium niobate microrings. Optica 2019, 6, 1244. [Google Scholar] [CrossRef]
- Lu, J.; Surya, J.B.; Liu, X.; Bruch, A.W.; Gong, Z.; Xu, Y.; Tang, H.X. Periodically poled thin film lithium niobate microring resonators with a second-harmonic generation efficiency of 250,000%/W. Optica 2019, 6, 1455–1460. [Google Scholar] [CrossRef]
- Lin, J.; Yao, N.; Hao, Z.; Zhang, J.; Mao, W.; Wang, M.; Chu, W.; Wu, R.; Fang, Z.; Qiao, L.; et al. Broadband Quasi-Phase-Matched Harmonic Generation in an On-Chip Monocrystalline Lithium Niobate Microdisk Resonator. Phys. Rev. Lett. 2019, 122, 173903. [Google Scholar] [CrossRef]
- Hao, Z.; Zhang, L.; Mao, W.; Gao, A.; Gao, X.; Gao, F.; Bo, F.; Zhang, G.; Xu, J. Second-harmonic generation using d33 in periodically poled lithium niobate microdisk resonators. Photonics Res. 2020, 8, 311–317. [Google Scholar] [CrossRef]
- Nguyen, T.G.; Boes, A.; Mitchell, A. Lateral Leakage in Silicon Photonics: Theory, Applications, and Future Directions. IEEE J. Sel. Top. Quantum Electron. 2020, 26, 8200313. [Google Scholar] [CrossRef]
- Boes, A.; Nguyen, T.G.; Chang, L.; Bowers, J.E.; Ren, G.; Mitchell, A. Integrated photonic high extinction short and long pass filters based on lateral leakage. Opt. Express 2021, 29, 18905–18914. [Google Scholar] [CrossRef] [PubMed]
- Boes, A.; Chang, L.; Knoerzer, M.; Nguyen, T.G.; Peters, J.D.; Bowers, J.E.; Mitchell, A. Improved second harmonic performance in periodically poled LNOI waveguides through engineering of lateral leakage. Opt. Express 2019, 27, 23919. [Google Scholar] [CrossRef]
- Wang, X.; Jiao, X.; Wang, B.; Liu, Y.; Xie, X.-P.; Zheng, M.-Y.; Zhang, Q.; Pan, J.-W. Quantum frequency conversion and single-photon detection with lithium niobate nanophotonic chips. NPJ Quantum Inform. 2023, 9, 38. [Google Scholar] [CrossRef]
- Zou, C.-L.; Cui, J.-M.; Sun, F.-W.; Xiong, X.; Zou, X.-B.; Han, Z.-F.; Guo, G.-C. Guiding light through optical bound states in the continuum for ultrahigh-Q microresonators. Laser Photonics Rev. 2015, 9, 114–119. [Google Scholar] [CrossRef]
- Yu, Z.; Xi, X.; Ma, J.; Tsang, H.K.; Zou, C.-L.; Sun, X. Photonic integrated circuits with bound states in the continuum. Optica 2019, 6, 1342. [Google Scholar] [CrossRef]
- Ye, F.; Yu, Y.; Xi, X.; Sun, X. Second-Harmonic Generation in Etchless Lithium Niobate Nanophotonic Waveguides with Bound States in the Continuum. Laser Photonics Rev. 2022, 16, 2100429. [Google Scholar] [CrossRef]
- Li, X.; Ma, J.; Liu, S.; Huang, P.; Chen, B.; Wei, D.; Liu, J. Efficient second harmonic generation by harnessing bound states in the continuum in semi-nonlinear etchless lithium niobate waveguides. Light Sci. Appl. 2022, 11, 137. [Google Scholar] [CrossRef]
- Meloni, G.; Vercesi, V.; Scaffardi, M.; Bogoni, A.; Poti, L. Spectral-efficient flexible optical multicasting in a periodically poled lithium niobate waveguide. J. Light. Technol. 2015, 33, 4731–4737. [Google Scholar] [CrossRef]
- Fisher, P.; Villa, M.; Lenzini, F.; Lobino, M. Integrated optical device for frequency conversion across the full telecom c-band spectrum. Phys. Rev. Appl. 2020, 13, 024017. [Google Scholar] [CrossRef]
- Kong, D.; Liu, Y.; Ren, Z.; Jung, Y.; Kim, C.; Chen, Y.; Wheeler, N.V.; Petrovich, M.N.; Pu, M.; Yvind, K.; et al. Super-broadband on-chip continuous spectral translation unlocking coherent optical communications beyond conventional telecom bands. Nat. Commun. 2022, 13, 4139. [Google Scholar] [CrossRef] [PubMed]
- Liu, T.; Djordjevic, I.B.; Song, Z.; Chen, Y.; Zhang, R.; Zhang, K.; Zhao, W.; Li, B. Broadband wavelength converters with flattop responses based on cascaded second-harmonic generation and difference frequency generation in Bessel-chirped gratings. Opt. Express 2016, 24, 10946–10955. [Google Scholar] [CrossRef]
- Lu, G.W.; Shinada, S.; Furukawa, H.; Wada, N.; Miyazaki, T.; Ito, H. 160-Gb/s all-optical phase-transparent wavelength conversion through cascaded SFG-DFG in a broadband linear-chirped PPLN waveguide. Opt. Express 2010, 18, 6064–6070. [Google Scholar] [CrossRef]
- Chen, H.; Huang, H.; Cheng, J.; Zhang, X.; Feng, X.; Cheng, X.; Ma, L.; Gu, K.; Liang, W.; Lin, W. Broadband yellow-orange light generation based on a step-chirped ppmgln ridge waveguide. Opt. Express 2022, 30, 32110–32118. [Google Scholar] [CrossRef]
- Jankowski, M.; Langrock, C.; Desiatov, B.; Marandi, A.; Wang, C.; Zhang, M.; Phillips, C.R.; Lončar, M.; Fejer, M.M. Ultrabroadband nonlinear optics in nanophotonic periodically poled lithium niobate waveguides. Optica 2020, 7, 40–46. [Google Scholar] [CrossRef]
- Boes, A.; Chang, L.; Nguyen, T.; Ren, G.; Bowers, J.; Mitchell, A. Efficient second harmonic generation in lithium niobate on insulator waveguides and its pitfalls. JPhys Photonics 2021, 3, 012008. [Google Scholar] [CrossRef]
- Wu, X.; Zhang, L.; Hao, Z.; Zhang, R.; Ma, R.; Bo, F.; Zhang, G.; Xu, J. Broadband second-harmonic generation in step-chirped periodically poled lithium niobate waveguides. Opt. Lett. 2022, 47, 1574–1577. [Google Scholar] [CrossRef]
- Tehranchi, A.; Kashyap, R. Design of novel unapodized and apodized step-chirped quasi-phase matched gratings for broadband frequency converters based on second-harmonic generation. J. Light. Technol. 2008, 26, 343–349. [Google Scholar] [CrossRef]
- Tehranchi, A.; Kashyap, R. Engineered gratings for flat broadening of second-harmonic phase-matching bandwidth in MgO-doped lithium niobate waveguides. Opt. Express 2008, 16, 18970–18975. [Google Scholar] [CrossRef] [PubMed]
- Umeki, T.; Asobe, M.; Yanagawa, T.; Tadanaga, O.; Nishida, Y.; Magari, K.; Suzuki, H. Broadband wavelength conversion based on apodized χ(2) grating. J. Opt. Soc. Am. B 2009, 26, 2315–2322. [Google Scholar] [CrossRef]
- Bortz, M.L.; Field, S.J.; Fejer, M.M.; Nam, D.W.; Waarts, R.G.; Welch, D.F. Noncritical quasi-phase-matched second harmonic generation in an annealed proton-exchanged LiNbO3 waveguide. IEEE J. Quantum Electron. 1994, 30, 2953–2960. [Google Scholar] [CrossRef]
- Ge, L.; Chen, Y.; Jiang, H.; Li, G.; Zhu, B.; Liu, Y.; Chen, X. Broadband quasi-phase matching in a MgO:PPLN thin film. Photonics Res. 2018, 6, 954–958. [Google Scholar] [CrossRef]
- Wang, C.; Zhong, H.; Ning, M.; Fang, B.; Li, L.; Cheng, Y. Broadband Second Harmonic Generation in a z-Cut Lithium Niobate on Insulator Waveguide Based on Type-I Modal Phase Matching. Photonics 2023, 10, 80. [Google Scholar] [CrossRef]
- Feng, X.; Chen, H.; Huang, H.; Zhang, X.; Cheng, X.; Chen, J.; Ma, L.; Liu, H.; Liang, W.; Lin, W. A bond-free PPLN thin film ridge waveguide. Opt. Laser Technol. 2023, 162, 109298. [Google Scholar] [CrossRef]








| Waveguide Type | Bandwidth (nm) | NCE (%W−1cm−2) | Method | |
|---|---|---|---|---|
| Simulated Value | Experimental Value | |||
| Etched [39] | 110 (rippled) | 300 | 9.6 | Step chirped |
| Wafer bonding [44] | 15 (rippled) | 20.6 | 0.825 | Dispersion engineered |
| Etched [45] | 50 (rippled) | 72.1 | - | Dispersion engineered |
| Etched [45] | 100 (flat) | 44.8 | - | Dispersion engineered |
| Diced [46] | 22 (rippled) | 15 | 10 | Dispersion engineered |
| This work (Loaded) | 100 (flat) | 222 | - | Apodized chirped |
Disclaimer/Publisher’s Note: The statements, opinions and data contained in all publications are solely those of the individual author(s) and contributor(s) and not of MDPI and/or the editor(s). MDPI and/or the editor(s) disclaim responsibility for any injury to people or property resulting from any ideas, methods, instructions or products referred to in the content. |
© 2024 by the authors. Licensee MDPI, Basel, Switzerland. This article is an open access article distributed under the terms and conditions of the Creative Commons Attribution (CC BY) license (https://creativecommons.org/licenses/by/4.0/).
Share and Cite
He, J.; Lin, M.; Ma, F. Second Harmonic Generation in Apodized Chirped Periodically Poled Lithium Niobate Loaded Waveguides Based on Bound States in Continuum. Photonics 2024, 11, 769. https://doi.org/10.3390/photonics11080769
He J, Lin M, Ma F. Second Harmonic Generation in Apodized Chirped Periodically Poled Lithium Niobate Loaded Waveguides Based on Bound States in Continuum. Photonics. 2024; 11(8):769. https://doi.org/10.3390/photonics11080769
Chicago/Turabian StyleHe, Junjie, Mianjie Lin, and Fei Ma. 2024. "Second Harmonic Generation in Apodized Chirped Periodically Poled Lithium Niobate Loaded Waveguides Based on Bound States in Continuum" Photonics 11, no. 8: 769. https://doi.org/10.3390/photonics11080769
APA StyleHe, J., Lin, M., & Ma, F. (2024). Second Harmonic Generation in Apodized Chirped Periodically Poled Lithium Niobate Loaded Waveguides Based on Bound States in Continuum. Photonics, 11(8), 769. https://doi.org/10.3390/photonics11080769

