Three-Dimensional Exploding Light Wave Packets
Abstract
1. Introduction
2. Methods
2.1. Propagation of Spatio-temporal Symmetric Wave Packets in Dispersive Media
2.2. Ideal Exploding Wave Packets
2.3. Real Exploding Wave Packets
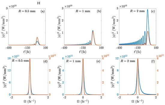
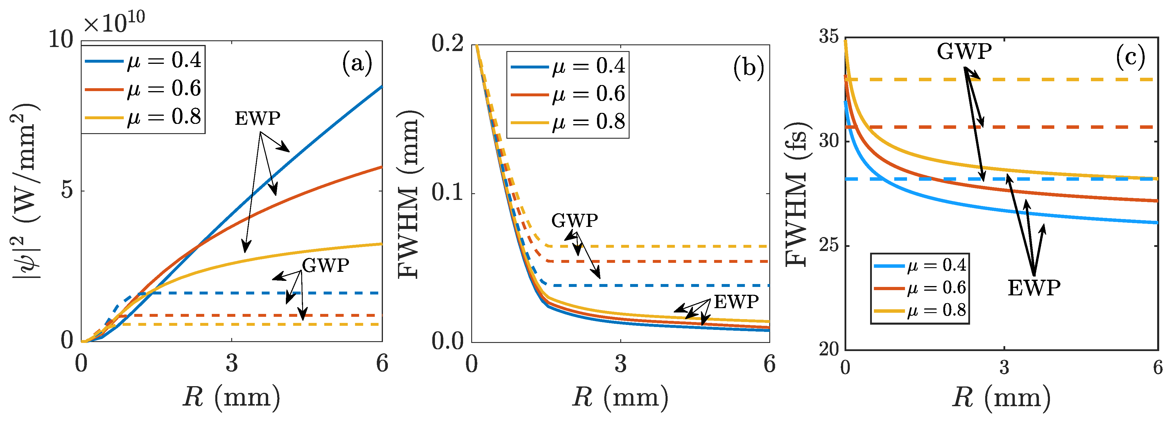
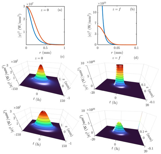
3. Results
4. Discussion
5. Conclusions
Author Contributions
Funding
Data Availability Statement
Acknowledgments
Conflicts of Interest
References
- Efron, U. Spatial Light Modulator Technology: Materials, Devices, and Applications; CRC Press: Boca Raton, FL, USA, 1994; Volume 47. [Google Scholar]
- Hu, X.B.; Rosales-Guzmán, C. Generation and characterization of complex vector modes with digital micromirror devices: A tutorial. J. Opt. 2022, 24, 034001. [Google Scholar] [CrossRef]
- Brener, I.; Liu, S.; Staude, I.; Valentine, J.; Holloway, C. Dielectric Metamaterials: Fundamentals, Designs and Applications; Woodhead Publishing: Sawston, UK, 2019. [Google Scholar]
- Saleh, B.E.; Teich, M.C. Fundamentals of Photonics; John Wiley & Sons: Hoboken, NJ, USA, 2019. [Google Scholar]
- Siviloglou, G.; Broky, J.; Dogariu, A.; Christodoulides, D. Observation of accelerating airy beams. Phys. Rev. Lett. 2007, 99, 213901. [Google Scholar] [CrossRef]
- Bandres, M.A.; Gutiérrez-Vega, J.C. Ince–gaussian beams. Opt. Lett. 2004, 29, 144–146. [Google Scholar] [CrossRef]
- Zhan, Q. Cylindrical vector beams: From mathematical concepts to applications. Adv. Opt. Photonics 2009, 1, 1–57. [Google Scholar] [CrossRef]
- Beckley, A.M.; Brown, T.G.; Alonso, M.A. Full poincaré beams. Opt. Express 2010, 18, 10777–10785. [Google Scholar] [CrossRef] [PubMed]
- Shen, Y.; Zhang, Q.; Shi, P.; Du, L.; Yuan, X.; Zayats, A.V. Optical skyrmions and other topological quasiparticles of light. Nat. Photonics 2024, 18, 15–25. [Google Scholar] [CrossRef]
- Shen, Y.; Zhan, Q.; Wright, L.G.; Christodoulides, D.N.; Wise, F.W.; Willner, A.E.; Zou, K.h.; Zhao, Z.; Porras, M.A.; Chong, A.; et al. Roadmap on spatiotemporal light fields. J. Opt. 2023, 25, 093001. [Google Scholar] [CrossRef]
- Papasimakis, N.; Fedotov, V.; Savinov, V.; Raybould, T.; Zheludev, N. Electromagnetic toroidal excitations in matter and free space. Nat. Mater. 2016, 15, 263–271. [Google Scholar] [CrossRef] [PubMed]
- Zdagkas, A.; McDonnell, C.; Deng, J.; Shen, Y.; Li, G.; Ellenbogen, T.; Papasimakis, N.; Zheludev, N.I. Observation of toroidal pulses of light. Nat. Photonics 2022, 16, 523–528. [Google Scholar] [CrossRef]
- Wan, C.; Chong, A.; Zhan, Q. Optical spatiotemporal vortices. eLight 2023, 3, 11. [Google Scholar] [CrossRef]
- Martín-Hernández, R.; Gui, G.; Plaja, L.; Kapteyn, H.K.; Murnane, M.M.; Porras, M.A.; Liao, C.T.; Hernández-García, C. Generation of high-order harmonic spatiotemporal optical vortices. In Proceedings of the High Intensity Lasers and High Field Phenomena, Optica Publishing Group, Vienna, Austria, 12–14 March 2024; p. HW5A–6. [Google Scholar]
- Wan, C.; Shen, Y.; Chong, A.; Zhan, Q. Scalar optical hopfions. eLight 2022, 2, 22. [Google Scholar] [CrossRef]
- Aiello, A. Spontaneous generation of singularities in paraxial optical fields. Opt. Lett. 2016, 41, 1668–1671. [Google Scholar] [CrossRef] [PubMed]
- Aiello, A.; Paúr, M.; Stoklasa, B.; Hradil, Z.; Řeháček, J.; Sánchez-Soto, L.L. Observation of concentrating paraxial beams. OSA Contin. 2020, 3, 2387–2394. [Google Scholar] [CrossRef]
- Porras, M.A. Exploding paraxial beams, vortex beams, and cylindrical beams of light with finite power in linear media, and their enhanced longitudinal field. Phys. Rev. A 2021, 103, 033506. [Google Scholar] [CrossRef]
- Mata-Cervera, N.; Sharma, D.K.; Maruthiyodan Veetil, R.; Mass, T.W.; Porras, M.A.; Paniagua-Dominguez, R. Observation of Exploding Vortex Beams Generated by Amplitude and Phase All-Dielectric Metasurfaces. ACS Photonics 2024. [Google Scholar] [CrossRef]
- Yang, Y.; Ren, Y.X.; Chen, M.; Arita, Y.; Rosales-Guzmán, C. Optical trapping with structured light: A review. Adv. Photonics 2021, 3, 034001. [Google Scholar] [CrossRef]
- Laskin, A.; Kaiser, P.; Laskin, V.; Ostrun, A. Laser beam shaping for biomedical microscopy techniques. In Proceedings of the Biophotonics: Photonic Solutions for Better Health Care V. SPIE, Brussels, Belgium, 4–7 April 2016; Volume 9887, pp. 251–260. [Google Scholar]
- Dunsky, C.M. Beam shaping applications in laser micromachining for the microelectronics industry. In Proceedings of the Laser Beam Shaping II. SPIE, San Diego, CA, USA, 2–3 August 2001; Volume 4443, pp. 135–149. [Google Scholar]
- Dickey, F.M.; Lizotte, T. Laser Beam Shaping Applications; CRC Press: Boca Raton, FL, USA, 2017; Volume 1. [Google Scholar]
- Wang, H.; Shi, L.; Lukyanchuk, B.; Sheppard, C.; Chong, C.T. Creation of a needle of longitudinally polarized light in vacuum using binary optics. Nat. Photonics 2008, 2, 501–505. [Google Scholar] [CrossRef]
- Rivy, H.M.; Aljunid, S.A.; Lassalle, E.; Zheludev, N.I.; Wilkowski, D. Single atom in a superoscillatory optical trap. Commun. Phys. 2023, 6, 155. [Google Scholar] [CrossRef]
- Strickland, D.; Mourou, G. Compression of amplified chirped optical pulses. Opt. Commun. 1985, 55, 447–449. [Google Scholar] [CrossRef]
- Maine, P.; Strickland, D.; Bado, P.; Pessot, M.; Mourou, G. Generation of ultrahigh peak power pulses by chirped pulse amplification. IEEE J. Quantum Electron. 1988, 24, 398–403. [Google Scholar] [CrossRef]
- Yoon, J.W.; Kim, Y.G.; Choi, I.W.; Sung, J.H.; Lee, H.W.; Lee, S.K.; Nam, C.H. Realization of laser intensity over 1023 W/cm2. Optica 2021, 8, 630–635. [Google Scholar] [CrossRef]
- Gradshteyn, I.S.; Ryzhik, I.M. Table of Integrals, Series, and Products; Academic Press: Cambridge, MA, USA, 1994. [Google Scholar]





Disclaimer/Publisher’s Note: The statements, opinions and data contained in all publications are solely those of the individual author(s) and contributor(s) and not of MDPI and/or the editor(s). MDPI and/or the editor(s) disclaim responsibility for any injury to people or property resulting from any ideas, methods, instructions or products referred to in the content. |
© 2024 by the authors. Licensee MDPI, Basel, Switzerland. This article is an open access article distributed under the terms and conditions of the Creative Commons Attribution (CC BY) license (https://creativecommons.org/licenses/by/4.0/).
Share and Cite
Barriopedro, M.G.; Holguín, M.; de Lara-Montoya, P.; Mata-Cervera, N.; Porras, M.A. Three-Dimensional Exploding Light Wave Packets. Photonics 2024, 11, 652. https://doi.org/10.3390/photonics11070652
Barriopedro MG, Holguín M, de Lara-Montoya P, Mata-Cervera N, Porras MA. Three-Dimensional Exploding Light Wave Packets. Photonics. 2024; 11(7):652. https://doi.org/10.3390/photonics11070652
Chicago/Turabian StyleBarriopedro, Marcos G., Manuel Holguín, Pablo de Lara-Montoya, Nilo Mata-Cervera, and Miguel A. Porras. 2024. "Three-Dimensional Exploding Light Wave Packets" Photonics 11, no. 7: 652. https://doi.org/10.3390/photonics11070652
APA StyleBarriopedro, M. G., Holguín, M., de Lara-Montoya, P., Mata-Cervera, N., & Porras, M. A. (2024). Three-Dimensional Exploding Light Wave Packets. Photonics, 11(7), 652. https://doi.org/10.3390/photonics11070652

