Tailoring Quantum Dot Shell Thickness and Polyethylenimine Interlayers for Optimization of Inverted Quantum Dot Light-Emitting Diodes
Abstract
1. Introduction
2. Materials and Methods
2.1. Materials
2.2. Quantum Dot Synthesis
2.3. ZnO Nanoparticle Synthesis
2.4. Device Fabrication
2.5. Characterizations
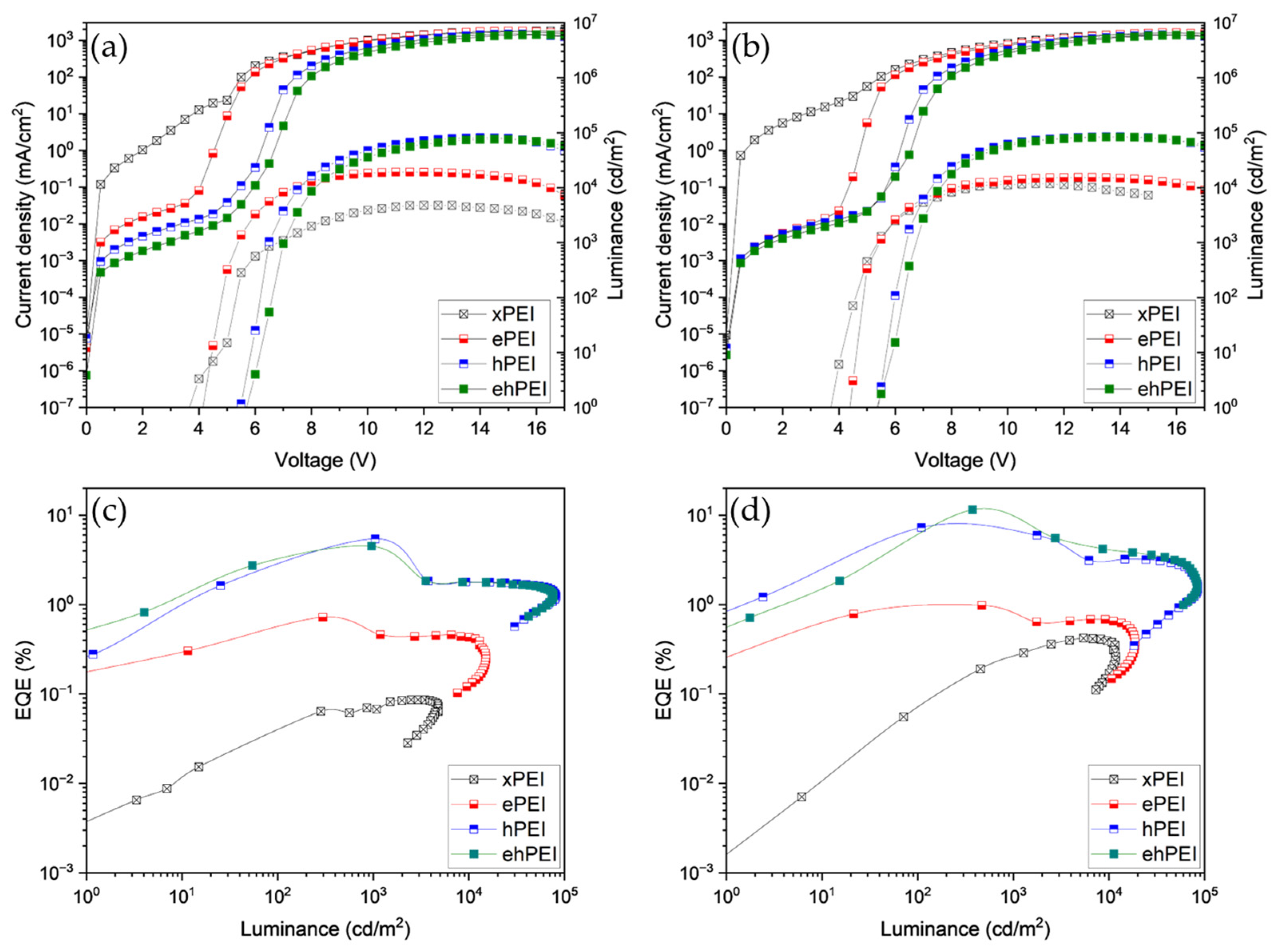
3. Results and Discussion
4. Conclusions
Author Contributions
Funding
Institutional Review Board Statement
Informed Consent Statement
Data Availability Statement
Acknowledgments
Conflicts of Interest
References
- Reed, M.A.; Bate, R.T.; Bradshaw, K.; Duncan, W.M.; Frensley, W.R.; Lee, J.W.; Shih, H.D. Spatial Quantization in GaAs–AlGaAs Multiple Quantum Dots. J. Vac. Sci. Technol. B Microelectron. Process. Phenom. 1986, 4, 358–360. [Google Scholar] [CrossRef]
- Mo, J. Recent Advances of Colloidal Quantum Dots in a Physical Perspective. J. Phys. Conf. Ser. 2023, 2634, 012017. [Google Scholar] [CrossRef]
- Peng, L.; Geng, J.; Ai, L.; Zhang, Y.; Xie, R.; Yang, W. Room Temperature Synthesis of Ultra-Small, near-Unity Single-Sized Lead Halide Perovskite Quantum Dots with Wide Color Emission Tunability, High Color Purity and High Brightness. Nanotechnology 2016, 27, 335604. [Google Scholar] [CrossRef] [PubMed]
- Li, X.; Wu, Y.; Steel, D.; Gammon, D.; Stievater, T.H.; Katzer, D.S.; Park, D.; Piermarocchi, C.; Sham, L.J. An All-Optical Quantum Gate in a Semiconductor Quantum Dot. Science 2003, 301, 809–811. [Google Scholar] [CrossRef] [PubMed]
- Frecker, T.; Bailey, D.; Arzeta-Ferrer, X.; McBride, J.; Rosenthal, S.J. Review—Quantum Dots and Their Application in Lighting, Displays, and Biology. ECS J. Solid State Sci. Technol. 2016, 5, R3019–R3031. [Google Scholar] [CrossRef]
- Han, C.; Qian, R.; Xiang, C.; Qian, L. Materials and Device Engineering to Achieve High-Performance Quantum Dots Light Emitting Diodes for Display Applications. Chin. Phys. B 2023, 32, 128506. [Google Scholar] [CrossRef]
- Al-Hetty, H.R.A.K.; Jalil, A.T.; Al-Tamimi, J.H.Z.; Shakier, H.G.; Kandeel, M.; Saleh, M.M.; Naderifar, M. Engineering and Surface Modification of Carbon Quantum Dots for Cancer Bioimaging. Inorg. Chem. Commun. 2023, 149, 110433. [Google Scholar] [CrossRef]
- Wahab, R.; Khan, F.; Alam, M.; Ahmad, J.; Al-Khedhairy, A.A. Aluminum Oxide Quantum Dots (Al2O3): An Immediate Sensing Aptitude for the Detection of Urea. Inorg. Chem. Commun. 2023, 147, 110238. [Google Scholar] [CrossRef]
- Wen, Z.; Zhou, Z.; Liu, H.; Wang, Z.; Li, X.; Fang, F.; Wang, K.; Teo, K.L.; Sun, X.W. Color Revolution: Toward Ultra-Wide Color Gamut Displays. J. Phys. D Appl. Phys. 2021, 54, 213002. [Google Scholar] [CrossRef]
- Yin, Y.; Hu, Z.; Ali, M.U.; Duan, M.; Gao, L.; Liu, M.; Peng, W.; Geng, J.; Pan, S.; Wu, Y.; et al. Full-Color Micro-LED Display with CsPbBr3 Perovskite and CdSe Quantum Dots as Color Conversion Layers. Adv Mater. Technol. 2020, 5, 2000251. [Google Scholar] [CrossRef]
- Triana, M.A.; Restrepo, A.A.; Lanzafame, R.J.; Palomaki, P.; Dong, Y. Quantum Dot Light-Emitting Diodes as Light Sources in Photomedicine: Photodynamic Therapy and Photobiomodulation. J. Phys. Mater. 2020, 3, 032002. [Google Scholar] [CrossRef]
- Zhang, D.; Huang, T.; Duan, L. Emerging Self-Emissive Technologies for Flexible Displays. Adv. Mater. 2020, 32, 1902391. [Google Scholar] [CrossRef]
- Chen, L.; Qin, Z.; Chen, S. Ultrahigh Resolution Pixelated Top-Emitting Quantum-Dot Light-Emitting Diodes Enabled by Color-Converting Cavities. Small Methods 2022, 6, 2101090. [Google Scholar] [CrossRef] [PubMed]
- Shim, G.W.; Hong, W.; Cha, J.; Park, J.H.; Lee, K.J.; Choi, S. TFT Channel Materials for Display Applications: From Amorphous Silicon to Transition Metal Dichalcogenides. Adv. Mater. 2020, 32, 1907166. [Google Scholar] [CrossRef] [PubMed]
- Kwak, J.; Bae, W.K.; Lee, D.; Park, I.; Lim, J.; Park, M.; Cho, H.; Woo, H.; Yoon, D.Y.; Char, K.; et al. Bright and Efficient Full-Color Colloidal Quantum Dot Light-Emitting Diodes Using an Inverted Device Structure. Nano Lett. 2012, 12, 2362–2366. [Google Scholar] [CrossRef] [PubMed]
- Zhong, Z.; Zou, J.; Jiang, C.; Lan, L.; Song, C.; He, Z.; Mu, L.; Wang, L.; Wang, J.; Peng, J.; et al. Improved Color Purity and Efficiency of Blue Quantum Dot Light-Emitting Diodes. Org. Electron. 2018, 58, 245–249. [Google Scholar] [CrossRef]
- Ding, K.; Chen, H.; Fan, L.; Wang, B.; Huang, Z.; Zhuang, S.; Hu, B.; Wang, L. Polyethylenimine Insulativity-Dominant Charge-Injection Balance for Highly Efficient Inverted Quantum Dot Light-Emitting Diodes. ACS Appl. Mater. Interfaces 2017, 9, 20231–20238. [Google Scholar] [CrossRef] [PubMed]
- Shi, Y.-L.; Liang, F.; Hu, Y.; Zhuo, M.-P.; Wang, X.-D.; Liao, L.-S. High Performance Blue Quantum Dot Light-Emitting Diodes Employing Polyethylenimine Ethoxylated as the Interfacial Modifier. Nanoscale 2017, 9, 14792–14797. [Google Scholar] [CrossRef] [PubMed]
- Yuan, Y.; Xue, X.; Wang, T.; Chi, X.; Wang, R.; Ji, W. Polyethylenimine Modified Sol-Gel ZnO Electron-Transporting Layers for Quantum-Dot Light-Emitting Diodes. Org. Electron. 2022, 100, 106393. [Google Scholar] [CrossRef]
- Cun, Y.; Mai, C.; Luo, Y.; Mu, L.; Li, J.; Cao, L.; Yu, D.; Li, M.; Zhang, B.; Li, H.; et al. All-Solution Processed High Performance Inverted Quantum Dot Light Emitting Diodes. J. Mater. Chem. C 2020, 8, 4264–4270. [Google Scholar] [CrossRef]
- Courtright, B.A.E.; Jenekhe, S.A. Polyethylenimine Interfacial Layers in Inverted Organic Photovoltaic Devices: Effects of Ethoxylation and Molecular Weight on Efficiency and Temporal Stability. ACS Appl. Mater. Interfaces 2015, 7, 26167–26175. [Google Scholar] [CrossRef]
- Lee, T.; Kim, B.J.; Lee, H.; Hahm, D.; Bae, W.K.; Lim, J.; Kwak, J. Bright and Stable Quantum Dot Light-Emitting Diodes. Adv. Mater. 2022, 34, 2106276. [Google Scholar] [CrossRef] [PubMed]
- Lim, J.; Park, Y.-S.; Wu, K.; Yun, H.J.; Klimov, V.I. Droop-Free Colloidal Quantum Dot Light-Emitting Diodes. Nano Lett. 2018, 18, 6645–6653. [Google Scholar] [CrossRef] [PubMed]
- Lee, K.-H.; Lee, J.-H.; Song, W.-S.; Ko, H.; Lee, C.; Lee, J.-H.; Yang, H. Highly Efficient, Color-Pure, Color-Stable Blue Quantum Dot Light-Emitting Devices. ACS Nano 2013, 7, 7295–7302. [Google Scholar] [CrossRef] [PubMed]
- Park, Y.-S.; Bae, W.K.; Padilha, L.A.; Pietryga, J.M.; Klimov, V.I. Effect of the Core/Shell Interface on Auger Recombination Evaluated by Single-Quantum-Dot Spectroscopy. Nano Lett. 2014, 14, 396–402. [Google Scholar] [CrossRef] [PubMed]
- Yang, Y.; Zheng, Y.; Cao, W.; Titov, A.; Hyvonen, J.; Manders, J.R.; Xue, J.; Holloway, P.H.; Qian, L. High-Efficiency Light-Emitting Devices Based on Quantum Dots with Tailored Nanostructures. Nat. Photonics 2015, 9, 259–266. [Google Scholar] [CrossRef]
- Jun, S.; Jang, E. Bright and Stable Alloy Core/Multishell Quantum Dots. Angew. Chem. Int. Ed. 2013, 52, 679–682. [Google Scholar] [CrossRef] [PubMed]
- Shen, H.; Wang, S.; Wang, H.; Niu, J.; Qian, L.; Yang, Y.; Titov, A.; Hyvonen, J.; Zheng, Y.; Li, L.S. Highly Efficient Blue–Green Quantum Dot Light-Emitting Diodes Using Stable Low-Cadmium Quaternary-Alloy ZnCdSSe/ZnS Core/Shell Nanocrystals. ACS Appl. Mater. Interfaces 2013, 5, 4260–4265. [Google Scholar] [CrossRef]
- Bae, W.K.; Char, K.; Hur, H.; Lee, S. Single-Step Synthesis of Quantum Dots with Chemical Composition Gradients. Chem. Mater. 2008, 20, 531–539. [Google Scholar] [CrossRef]
- Lee, K.-H.; Lee, J.-H.; Kang, H.-D.; Park, B.; Kwon, Y.; Ko, H.; Lee, C.; Lee, J.; Yang, H. Over 40 Cd/A Efficient Green Quantum Dot Electroluminescent Device Comprising Uniquely Large-Sized Quantum Dots. ACS Nano 2014, 8, 4893–4901. [Google Scholar] [CrossRef]
- Vela, J.; Htoon, H.; Chen, Y.; Park, Y.; Ghosh, Y.; Goodwin, P.M.; Werner, J.H.; Wells, N.P.; Casson, J.L.; Hollingsworth, J.A. Effect of Shell Thickness and Composition on Blinking Suppression and the Blinking Mechanism in ‘Giant’ CdSe/CdS Nanocrystal Quantum Dots. J. Biophotonics 2010, 3, 706–717. [Google Scholar] [CrossRef] [PubMed]
- Omogo, B.; Gao, F.; Bajwa, P.; Kaneko, M.; Heyes, C.D. Reducing Blinking in Small Core–Multishell Quantum Dots by Carefully Balancing Confinement Potential and Induced Lattice Strain: The “Goldilocks” Effect. ACS Nano 2016, 10, 4072–4082. [Google Scholar] [CrossRef] [PubMed]
- Yang, H.; Zhang, L.; Tang, Y.; Xiang, W.; Wang, X.; Xiao, M.; Cui, Y.; Zhang, J. Enhanced Multiexciton Emission Property in Gradient Alloy Core/Shell CdZnSeS/ZnS Quantum Dots: Balance between Surface Passivation and Strain-Induced Lattice Defect. J. Phys. Chem. C 2021, 125, 10759–10767. [Google Scholar] [CrossRef]
- Roy, D.; De, C.K.; Ghosh, S.; Mukherjee, S.; Mandal, S.; Mandal, P.K. Ultrafast Dynamics and Ultrasensitive Single Particle Spectroscopy of Optically Robust Core/Alloy Shell Semiconductor Quantum Dots. Phys. Chem. Chem. Phys. 2022, 24, 8578–8590. [Google Scholar] [CrossRef] [PubMed]
- Fu, Y.; Kim, D.; Jiang, W.; Yin, W.; Ahn, T.K.; Chae, H. Excellent Stability of Thicker Shell CdSe@ZnS/ZnS Quantum Dots. RSC Adv. 2017, 7, 40866–40872. [Google Scholar] [CrossRef]
- Wang, O.; Wang, L.; Li, Z.; Xu, Q.; Lin, Q.; Wang, H.; Du, Z.; Shen, H.; Li, L.S. High-Efficiency, Deep Blue ZnCdS/CdxZn1−xS/ZnS Quantum-Dot-Light-Emitting Devices with an EQE Exceeding 18%. Nanoscale 2018, 10, 5650–5657. [Google Scholar] [CrossRef] [PubMed]
- Linkov, P.; Samokhvalov, P.; Vokhmintsev, K.; Zvaigzne, M.; Krivenkov, V.A.; Nabiev, I. Optical Properties of Quantum Dots with a Core–Multishell Structure. JETP Lett. 2019, 109, 112–115. [Google Scholar] [CrossRef]
- Gray, V.; Xia, P.; Huang, Z.; Moses, E.; Fast, A.; Fishman, D.A.; Vullev, V.I.; Abrahamsson, M.; Moth-Poulsen, K.; Lee Tang, M. CdS/ZnS Core–Shell Nanocrystal Photosensitizers for Visible to UV Upconversion. Chem. Sci. 2017, 8, 5488–5496. [Google Scholar] [CrossRef] [PubMed]
- Kurochkin, N.S.; Vashchenko, A.A.; Vitukhnovsky, A.G.; Tananaev, P.N. Effect of the Length of Ligands Passivating Quantum Dots on the Electrooptical Characteristics of Organic Light-Emitting Diodes. Semiconductors 2015, 49, 953–958. [Google Scholar] [CrossRef]
- Anatolyevich, E.M.; Mikhailov, I.I.; Tarasov, S.A.; Lamkin, I.A.; Tadtaev, P.O.; Degterev, A.E. Creation and Investigation of OLED-Structures with Inclusion of Colloidal Quantum Dots. J. Phys. Conf. Ser. 2018, 1038, 012103. [Google Scholar] [CrossRef]
- Shi, Y.-L.; Liang, F.; Hu, Y.; Wang, X.-D.; Wang, Z.-K.; Liao, L.-S. High-Efficiency Quantum Dot Light-Emitting Diodes Employing Lithium Salt Doped Poly(9-Vinlycarbazole) as a Hole-Transporting Layer. J. Mater. Chem. C 2017, 5, 5372–5377. [Google Scholar] [CrossRef]
- Xu, C.; Yang, S.; Tian, L.; Guo, T.; Ding, G.; Zhao, J.; Sun, J.; Lu, J.; Wang, Z. Fabrication of Centimeter-Scale Light-Emitting Diode with Improved Performance Based on Graphene Quantum Dots. Appl. Phys. Express 2017, 10, 032102. [Google Scholar] [CrossRef][Green Version]
- Kim, D.; Fu, Y.; Kim, S.; Lee, W.; Lee, K.-H.; Chung, H.K.; Lee, H.-J.; Yang, H.; Chae, H. Polyethylenimine Ethoxylated-Mediated All-Solution-Processed High-Performance Flexible Inverted Quantum Dot-Light-Emitting Device. ACS Nano 2017, 11, 1982–1990. [Google Scholar] [CrossRef] [PubMed]
- Davidson-Hall, T.; Aziz, H. The Role of Polyethylenimine in Enhancing the Efficiency of Quantum Dot Light-Emitting Devices. Nanoscale 2018, 10, 2623–2631. [Google Scholar] [CrossRef] [PubMed]
- Lim, J.; Jeong, B.G.; Park, M.; Kim, J.K.; Pietryga, J.M.; Park, Y.; Klimov, V.I.; Lee, C.; Lee, D.C.; Bae, W.K. Influence of Shell Thickness on the Performance of Light-Emitting Devices Based on CdSe/Zn1-XCdXS Core/Shell Heterostructured Quantum Dots. Adv. Mater. 2014, 26, 8034–8040. [Google Scholar] [CrossRef] [PubMed]
- Kurochkin, N.S.; Katsaba, A.V.; Ambrozevich, S.A.; Vitukhnovsky, A.G.; Vashchenko, A.A.; Tananaev, P.N. Energy Transfer from TPD to CdSe/CdS/ZnS Colloidal Nanocrystals. Semiconductors 2017, 51, 628–631. [Google Scholar] [CrossRef]
- Kim, Y.; Han, T.; Cho, H.; Min, S.; Lee, C.; Lee, T. Polyethylene Imine as an Ideal Interlayer for Highly Efficient Inverted Polymer Light-Emitting Diodes. Adv. Funct. Mater. 2014, 24, 3808–3814. [Google Scholar] [CrossRef]







| QD Type | Device Structure | Turn on * (V) | Peak EQE (%) | Peak Luminance (cd/m2) | Peak ηcurrent † (cd/A) | Peak ηpower ‡ (lm/W) |
|---|---|---|---|---|---|---|
| Thin-shelled | x-PEI | 3.65 | 0.09 | 4777 | 0.39 | 0.16 |
| e-PEI | 4.15 | 0.72 | 15,065 | 3.27 | 2.06 | |
| h-PEI | 5.44 | 5.42 | 81,322 | 24.67 | 11.92 | |
| eh-PEI | 5.69 | 4.49 | 76,372 | 20.4 | 9.15 | |
| Thick-shelled | x-PEI | 3.71 | 0.42 | 11,780 | 1.82 | 0.84 |
| e-PEI | 4.39 | 0.98 | 18,747 | 4.22 | 2.65 | |
| h-PEI | 5.34 | 7.28 | 84,627 | 30.79 | 16.12 | |
| eh-PEI | 5.41 | 11.48 | 83,447 | 48.89 | 23.63 |
| A1 | τ1 (ns) | A2 | τ2 (ns) | A3 | τ3 (ns) | τavg. (ns) * | ||
|---|---|---|---|---|---|---|---|---|
| Thin-shelled | In solution | 4550.9 ± 75 | 13.344 ± 0.147 | 5172 ± 201 | 4.215 ± 0.172 | 8.488 | ||
| x-PEI | 2870 ± 118 | 1.946 ± 0.073 | 5244 ± 517 | 0.224 ± 0.028 | 779.0 ± 31.2 | 7.267 ± 0.191 | 1.397 | |
| e-PEI | 4756.7 ± 71.7 | 5.832 ± 0.062 | 4959 ± 184 | 1.874 ± 0.074 | 89.1 ± 10.4 | 22.23 ± 1.54 | 3.979 | |
| h-PEI | 3012.8 ± 64.5 | 6.588 ± 0.088 | 7068 ± 136 | 3.089 ± 0.055 | 15.57 ± 2.37 | 62.65 ± 7.86 | 4.225 | |
| eh-PEI | 2886.9 ± 63.5 | 6.834 ± 0.094 | 7209 ± 130 | 3.329 ± 0.054 | 18.02 ± 2.68 | 61.97 ± 8.17 | 4.434 | |
| Thick-shelled | In solution | 9648.8 ± 95.7 | 13.498 ± 0.1 | 13.498 | ||||
| x-PEI | 3174 ± 128 | 2.156 ± 0.082 | 5173 ± 472 | 0.305 ± 0.035 | 1530.3 ± 41.6 | 6.920 ± 0.122 | 1.925 | |
| e-PEI | 4041 ± 244 | 1.118 ± 0.079 | 4311.6 ± 89.8 | 4.413 ± 0.075 | 1487.5 ± 43.6 | 8.486 ± 0.148 | 3.676 | |
| h-PEI | 5037.1 ± 75 | 6.406 ± 0.062 | 4715 ± 138 | 3.281 ± 0.092 | 4.895 | |||
| eh-PEI | 2292.8 ± 65.8 | 7.923 ± 0.139 | 7989 ± 110 | 4.842 ± 0.055 | 5.529 |
Disclaimer/Publisher’s Note: The statements, opinions and data contained in all publications are solely those of the individual author(s) and contributor(s) and not of MDPI and/or the editor(s). MDPI and/or the editor(s) disclaim responsibility for any injury to people or property resulting from any ideas, methods, instructions or products referred to in the content. |
© 2024 by the authors. Licensee MDPI, Basel, Switzerland. This article is an open access article distributed under the terms and conditions of the Creative Commons Attribution (CC BY) license (https://creativecommons.org/licenses/by/4.0/).
Share and Cite
Yazici, A.F.; Ocal, S.K.; Bicer, A.; Serin, R.B.; Kacar, R.; Ucar, E.; Ulku, A.; Erdem, T.; Mutlugun, E. Tailoring Quantum Dot Shell Thickness and Polyethylenimine Interlayers for Optimization of Inverted Quantum Dot Light-Emitting Diodes. Photonics 2024, 11, 651. https://doi.org/10.3390/photonics11070651
Yazici AF, Ocal SK, Bicer A, Serin RB, Kacar R, Ucar E, Ulku A, Erdem T, Mutlugun E. Tailoring Quantum Dot Shell Thickness and Polyethylenimine Interlayers for Optimization of Inverted Quantum Dot Light-Emitting Diodes. Photonics. 2024; 11(7):651. https://doi.org/10.3390/photonics11070651
Chicago/Turabian StyleYazici, Ahmet F., Sema Karabel Ocal, Aysenur Bicer, Ramis B. Serin, Rifat Kacar, Esin Ucar, Alper Ulku, Talha Erdem, and Evren Mutlugun. 2024. "Tailoring Quantum Dot Shell Thickness and Polyethylenimine Interlayers for Optimization of Inverted Quantum Dot Light-Emitting Diodes" Photonics 11, no. 7: 651. https://doi.org/10.3390/photonics11070651
APA StyleYazici, A. F., Ocal, S. K., Bicer, A., Serin, R. B., Kacar, R., Ucar, E., Ulku, A., Erdem, T., & Mutlugun, E. (2024). Tailoring Quantum Dot Shell Thickness and Polyethylenimine Interlayers for Optimization of Inverted Quantum Dot Light-Emitting Diodes. Photonics, 11(7), 651. https://doi.org/10.3390/photonics11070651

