A Comprehensive Comparison of Simplified Volterra Equalization and Kramers–Kronig Schemes in 200 Gb/s/λ PON Downlink Transmission
Abstract
1. Introduction
2. Structures and Principles of the Schemes
2.1. Overall Scheme Design
2.2. Analysis of Nonlinear Damage in the SSBM-DD Systems
2.3. Principle of the SVLE Scheme
2.4. Principle of the KK Scheme
3. Scheme Simulation and Comparative Analysis
3.1. Simulation Design of the SVLE Scheme
3.2. Simulation Design of the KK Scheme
3.3. The Results and Analysis of Simulation
3.3.1. Feasibility Verification of the Schemes
- Optical Power Spectrum analysis
- The Simplified Volterra Equalization scheme
- The IQ-modulated Kramers–Kronig reception scheme
3.3.2. Identify the Optimal CSPR
3.3.3. Explore the Influence of the Input Optical Power
- The 20 km downlink transmission scenario
- The 30 km downlink transmission scenario
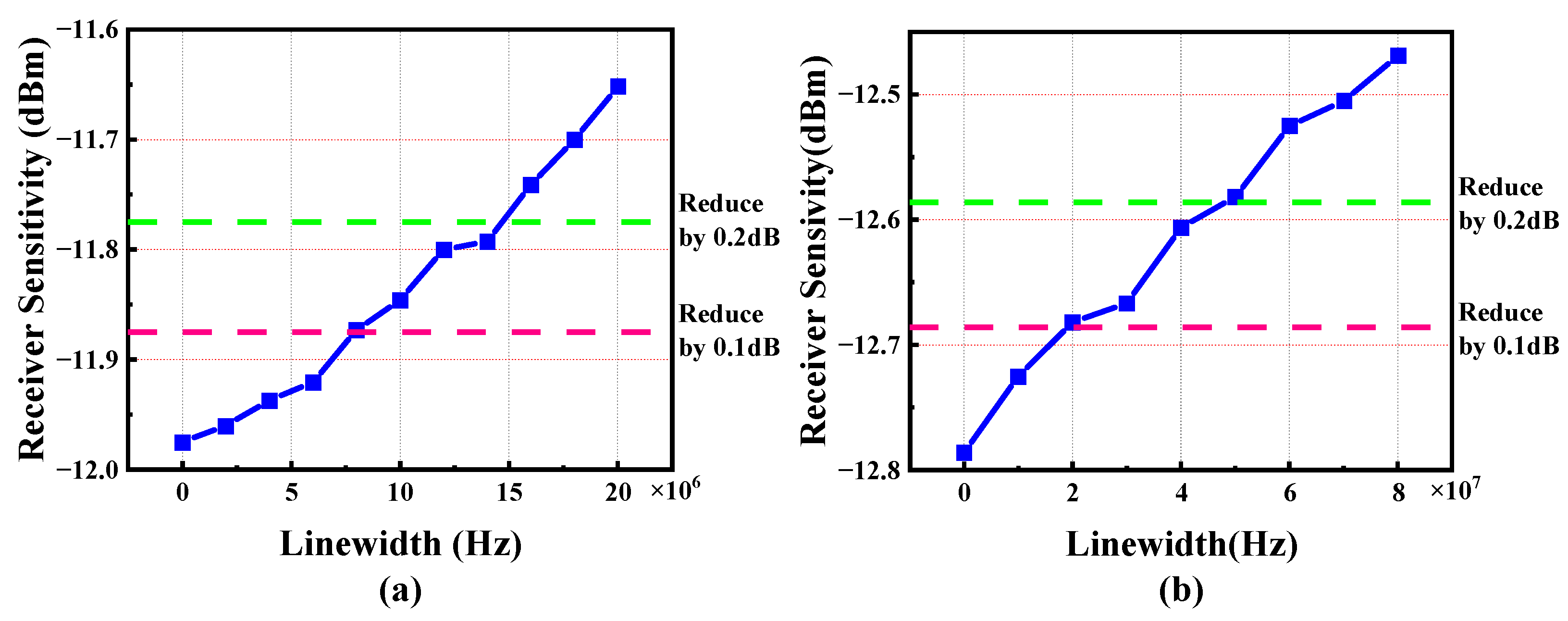
3.3.4. Investigate the Effect of DFB Laser Linewidth
- The 20 km downlink transmission scenario
- The 30 km downlink transmission scenario
3.3.5. Comparison of Algorithmic Complexity Based on DSP
3.3.6. System Cost
4. Conclusions
Author Contributions
Funding
Institutional Review Board Statement
Informed Consent Statement
Data Availability Statement
Acknowledgments
Conflicts of Interest
References
- Zanella, A.; Bui, N.; Castellani, A.; Vangelista, L.; Zorzi, M. Internet of Things for Smart Cities. IEEE Internet Things J. 2014, 1, 22–32. [Google Scholar] [CrossRef]
- Wong, E. Next-Generation BroadBand Access Networks and Technologies. J. Light. Technol. 2012, 30, 597–608. [Google Scholar] [CrossRef]
- Rawshan, F.; Hossen, M.; Islam, M. Multi-OLT PON-based Access Network Supporting 5G Wire-less Transport and FTTH Services. In Proceedings of the 2023 6th International Conference on Electrical Information and Communication Technology (EICT), Khulna, Bangladesh, 7–9 December 2023; pp. 1–5. [Google Scholar]
- Huang, L.; Xu, Y.; Jiang, W.; Xue, L.; Hu, W.; Yi, L. Performance and Complexity Analysis of Conventional and Deep Learning Equalizers for the High-Speed IMDD PON. J. Light. Technol. 2022, 40, 4528–4538. [Google Scholar] [CrossRef]
- Xue, L.; Lin, R.; Van Kerrebrouck, J.; Yi, L.; Chen, J.; Yin, X. 100G PAM-4 PON with 34 dB Power Budget Using Joint Nonlinear Tomlinson-Harashima Precoding and Volterra Equalization. In Proceedings of the 2021 European Conference on Optical Communication (ECOC), Bordeaux, France, 13–16 September 2021; pp. 1–4. [Google Scholar] [CrossRef]
- Xie, C.; Dong, P.; Randel, S.; Pilori, D.; Winzer, P.; Spiga, S.; Kögel, B.; Neumeyr, C.; Amann, M. Single-VCSEL 100-Gb/s short-reach system using discrete multi-tone modulation and direct detection. In Proceedings of the 2015 Optical Fiber Communications Conference and Exhibition (OFC), Los Angeles, CA, USA, 22–26 March 2015; pp. 1–3. [Google Scholar]
- Sun, L.; Du, J.; He, Z. Multiband Three-Dimensional Carrierless Amplitude Phase Modulation for Short Reach Optical Communications. J. Light. Technol. 2016, 34, 3103–3109. [Google Scholar] [CrossRef]
- Ying, H.; Zhu, M.; Zhang, J.; Yi, X.; Qiu, K. Sparse volterra model based on single side-band optical NPAM-4 direct-detection system. In Proceedings of the 2017 Conference on Lasers and Electro-Optics Pacific Rim (CLEO-PR), Singapore, 31 July–4 August 2017; pp. 1–4. [Google Scholar]
- Wang, F.; Wang, J. Performance of Few-mode Kramers-Kronig Reception for Free-Space Optical Communication. In Proceedings of the 2022 Asia Communications and Photonics Conference (ACP), Shenzhen, China, 5–8 November 2022; pp. 817–819. [Google Scholar]
- Koh, T.; Powers, E. Second-order Volterra filtering and its application to nonlinear system identification. IEEE Trans. Acoust. 1985, 33, 1445–1455. [Google Scholar]
- Sun, C.; Che, D.; Ji, H.; Shieh, W. Study of Chromatic Dispersion Impacts on Kramers–Kronig and SSBI Iterative Cancellation Receiver. IEEE Photonics Technol. Lett. 2019, 31, 303–306. [Google Scholar] [CrossRef]
- Chongjin, X.; Po, D.; Sebastian, R.; Dario, P.; Peter, W.; Silvia, S.; Benjamin, K.; Christian, N.; Markus-Christian, A. Quadrature Signaling for Intensity Modulated and Direct Detection Visible Light Communications Based on Kramers-Kronig Relation. In Proceedings of the 2022 IEEE Int. Conf. Commun. Workshops (ICC Workshops), Seoul, Republic of Korea, 16–20 May 2022; pp. 433–438. [Google Scholar]
- Kudo, R.; Kobayashi, T.; Ishihara, K.; Takatori, Y.; Sano, A.; Miyamoto, Y. Coherent optical single carrier transmission using overlap frequency domain equalization for long-haul optical systems. J. Light. Technol. 2009, 27, 3721–3728. [Google Scholar] [CrossRef]
- Xu, B.; Qiu, K. Wavelength tunable coherent burst-mode receiver design under transient frequency offset. Opt. Express 2013, 21, 19498–19509. [Google Scholar] [CrossRef] [PubMed]
- Bo, T.; Deng, R.; He, J.; Kim, H. On the Hardware Complexity of Kramers-Kronig Receiver. In Proceedings of the 2018 Conference on Lasers and Electro-Optics Pacific Rim (CLEO-PR), Hong Kong, China, 29 July–3 August 2018; pp. 1–2. [Google Scholar]
- Zhang, Y.; Bai, S.; Lü, G.; Wu, X. Kernel estimation of truncated volterra filter model based on dfp technique and its application to chaotic time series prediction. Chin. J. Electron. 2019, 28, 127–135. [Google Scholar] [CrossRef]
- Lu, D.; Zhou, X.; Huo, J.; Gao, J.; Yang, Y.; He, K.; Yuan, J.; Long, K.; Yu, C.; TaoLau, A.; et al. Theoretical CSPR Analysis and Performance Comparison for Four Single-Sideband Modulation Schemes with Kramers-Kronig Receiver. IEEE Access 2019, 7, 166257–166267. [Google Scholar] [CrossRef]
- Su, Z.; Zheng, Z.; Gao, X.; Ma, J.; Yang, J.; Huang, S. Improved Post-compensation SSBI Mitigation Method for Single-sideband Signals. In Proceedings of the 2022 Asia Communications and Photonics Conference (ACP), Shenzhen, China, 5–8 November 2022; pp. 453–456. [Google Scholar]
- Bhusari, S.N.; Deshmukh, V.U.; Jagdale, S.S. Analysis of Self-Phase Modulation and Four-Wave Mixing in fiber optic communication. In Proceedings of the 2016 International Conference on Automatic Control and Dynamic Optimization Techniques (ICACDOT), Pune, India, 9–10 September 2016; pp. 798–803. [Google Scholar]
- Rosales, R.; Bluemm, C.; Atra, K.; Lin, Y.; Huang, R.; Talli, G.; Chen, X.; Wang, H.; Pate, M.; Aivaliotis, P. Dispersion tolerant 200 Gb/s dual-wavelength IM/DD transmission with 33dB link budget for next generation PON. In Proceedings of the 49th European Conference on Op-tical Communications (ECOC 2023), Glasgow, Scotland, 1–5 October 2023; pp. 1091–1094. [Google Scholar]
- Stojanovic, N.; Karinou, F.; Qiang, Z.; Prodaniuc, C. Volterra and Wiener Equalizers for Short-Reach 100G PAM-4 Applications. J. Light. Technol. 2017, 35, 4583–4594. [Google Scholar] [CrossRef]
















| Scenario | Real Number Multiplication | Real Number Addition | ||||
|---|---|---|---|---|---|---|
| General Formula | Calculation Result | General Formula | Calculation Result | |||
| SVLE | 20 km | 37 | 25 | |||
| 30 km | 53 | 37 | ||||
| KK | 20 km | 4358 | 6202 | |||
| 30 km | 9926 | 13,498 | ||||
Disclaimer/Publisher’s Note: The statements, opinions and data contained in all publications are solely those of the individual author(s) and contributor(s) and not of MDPI and/or the editor(s). MDPI and/or the editor(s) disclaim responsibility for any injury to people or property resulting from any ideas, methods, instructions or products referred to in the content. |
© 2024 by the authors. Licensee MDPI, Basel, Switzerland. This article is an open access article distributed under the terms and conditions of the Creative Commons Attribution (CC BY) license (https://creativecommons.org/licenses/by/4.0/).
Share and Cite
Yang, H.; Su, H.; Yang, T.; Wang, G.; Xie, Y.; Yi, L.; Huang, X.; Ma, Z.; Zhong, Y.; Huang, X.; et al. A Comprehensive Comparison of Simplified Volterra Equalization and Kramers–Kronig Schemes in 200 Gb/s/λ PON Downlink Transmission. Photonics 2024, 11, 629. https://doi.org/10.3390/photonics11070629
Yang H, Su H, Yang T, Wang G, Xie Y, Yi L, Huang X, Ma Z, Zhong Y, Huang X, et al. A Comprehensive Comparison of Simplified Volterra Equalization and Kramers–Kronig Schemes in 200 Gb/s/λ PON Downlink Transmission. Photonics. 2024; 11(7):629. https://doi.org/10.3390/photonics11070629
Chicago/Turabian StyleYang, Hao, Huanran Su, Tao Yang, Guan Wang, Yun Xie, Liuke Yi, Xingang Huang, Zhuang Ma, Yiming Zhong, Xiatao Huang, and et al. 2024. "A Comprehensive Comparison of Simplified Volterra Equalization and Kramers–Kronig Schemes in 200 Gb/s/λ PON Downlink Transmission" Photonics 11, no. 7: 629. https://doi.org/10.3390/photonics11070629
APA StyleYang, H., Su, H., Yang, T., Wang, G., Xie, Y., Yi, L., Huang, X., Ma, Z., Zhong, Y., Huang, X., & Liu, B. (2024). A Comprehensive Comparison of Simplified Volterra Equalization and Kramers–Kronig Schemes in 200 Gb/s/λ PON Downlink Transmission. Photonics, 11(7), 629. https://doi.org/10.3390/photonics11070629

