Independently Accessible Dual-Band Barrier Infrared Detector Using Type-II Superlattices
Abstract
1. Introduction
2. Materials and Methods
2.1. DBIRD Design
2.2. Material Growth and Device-Processing Technology
2.3. DBIRD Modeling and Simulation
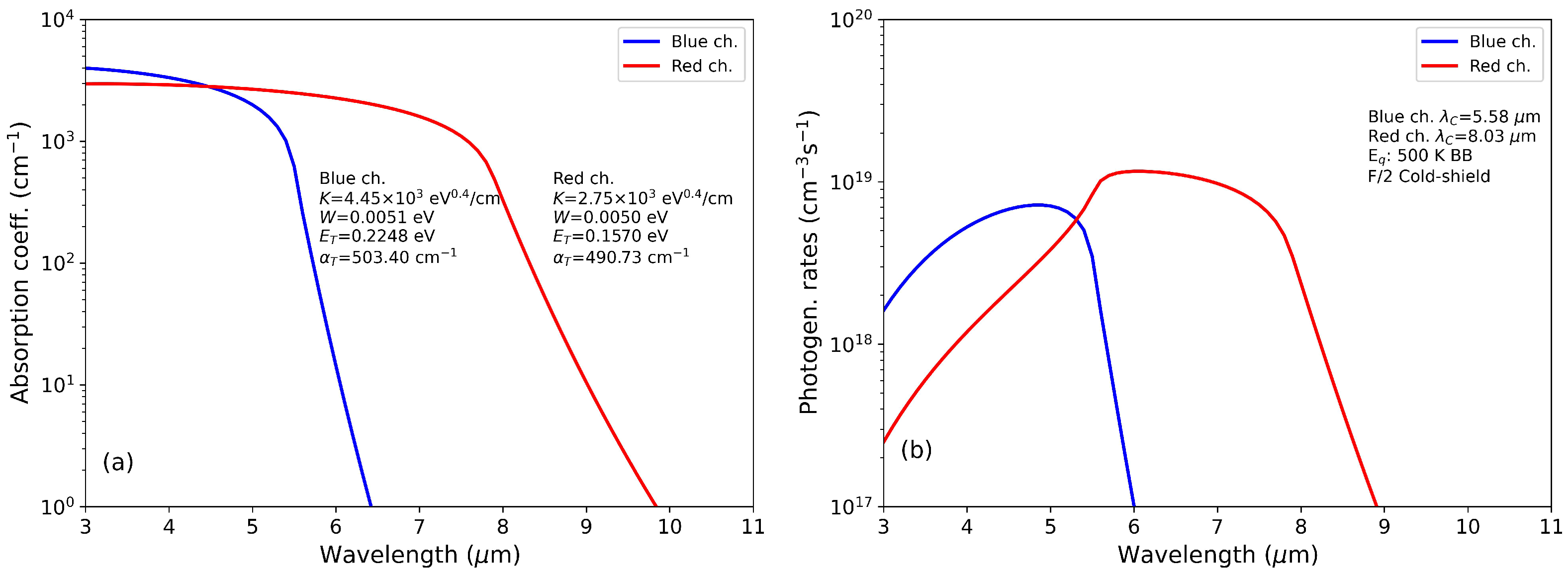
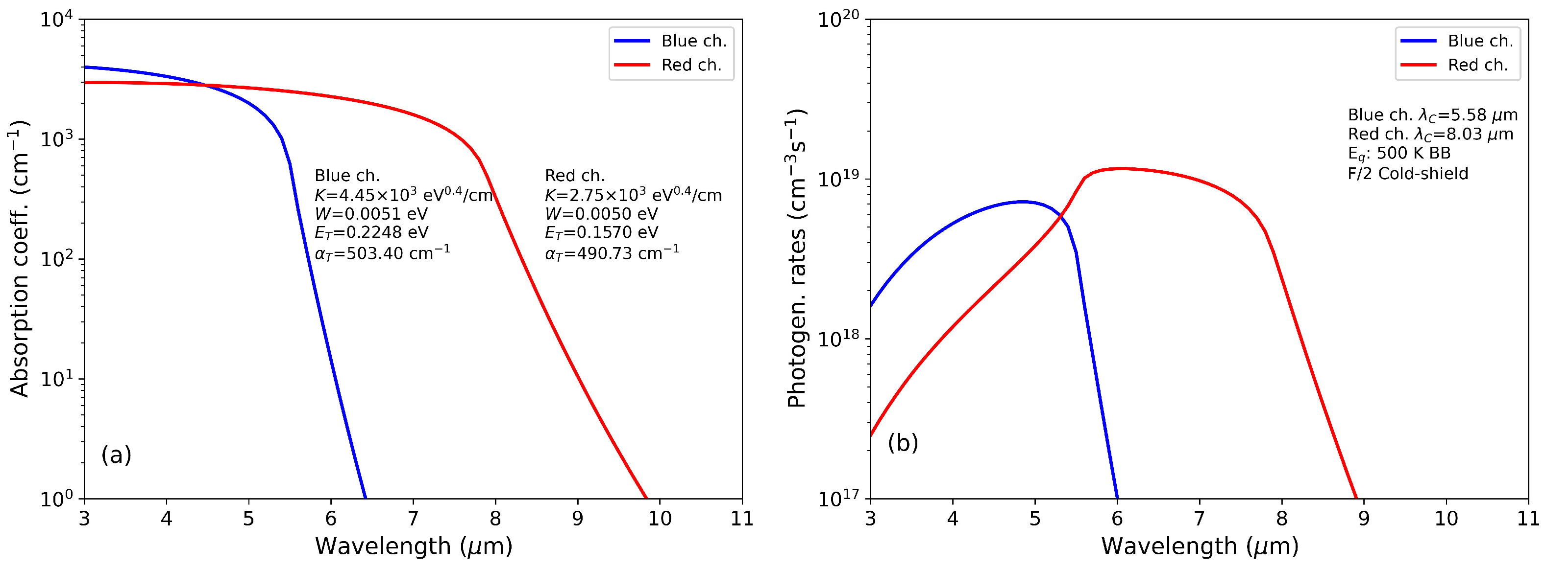
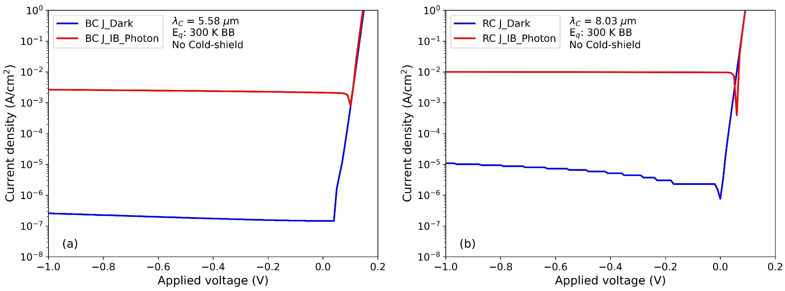
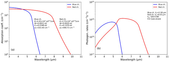
3. Results and Discussion
4. Conclusions
Author Contributions
Funding
Institutional Review Board Statement
Informed Consent Statement
Data Availability Statement
Conflicts of Interest
Abbreviations
| DBIRD | Dual-band Barrier IR Detector |
| T2SLs | Type-II Superlattices |
| BC, RC | Blue, Red Channel |
| HJs | Heterojunctions |
| VBO | Valence Band Offset |
| CBO | Conduction Band Offset |
| MW/LW | Middle and long wavelength |
| BCA | Blue Channel Absorber |
| RCA | Red Channel Absorber |
| EB | Electron Barrier |
| HB | Hole Barrier |
| ECL | Electron Collection Layer |
| HCL | Hole Collection Layer |
| SRH | Shockley–Read–Hall |
| G-R | Generation–Recombination |
| ROIC | Read-Out Integrated Circuit |
| QE | Quantum Efficiency |
| SCT | Spectral Cross-talk |
References
- Haddadi, A.; Dehzangi, A.; Chevallier, R.; Adhikary, S.; Razeghi, M. Bias–selectable nBn dual–band long–/very long–wavelength infrared photodetectors based on InAs/InAs1−xSbx/AlAs1−xSbx type–II superlattices. Sci. Rep. 2017, 7, 3379. [Google Scholar] [CrossRef]
- Ariyawansa, G.; Grupen, M.; Duran, J.M.; Scheihing, J.E.; Nelson, T.R.; Eismann, M.T. Design and modeling of InAs/GaSb type II superlattice based dual-band infrared detectors. J. Appl. Phys. 2012, 111, 073107. [Google Scholar] [CrossRef]
- Plis, E.; Myers, S.; Ramirez, D.; Smith, E.; Rhiger, D.; Chen, C.; Phillips, J.; Krishna, S. Dual color longwave InAs/GaSb type-II strained layer superlattice detectors. Infrared Phys. Technol. 2015, 70, 93–98. [Google Scholar] [CrossRef]
- Razeghi, M.; Dehzangi, A.; Li, J. Multi-band SWIR-MWIR-LWIR Type-II superlattice based infrared photodetector. Results Opt. 2021, 2, 100054. [Google Scholar] [CrossRef]
- Blazejewski, E.R.; Arias, J.M.; Williams, G.M.; McLevige, W.; Zandian, M.; Pasko, J. Bias-switchable dual-band HgCdTe infrared photodetector. J. Vac. Sci. Technol. B Microelectron. Nanometer Struct. Process. Meas. Phenom. 1992, 10, 1626–1632. [Google Scholar] [CrossRef]
- Reine, M.; Norton, P.; Starr, R.; Weiler, M.H.; Kestigian, M.; Musicant, B.L.; Mitra, P.; Schimert, T.; Case, F.C.; Bhat, L.; et al. Independently accessed back-to-back HgCdTe hotodiodes: A new dual-band infrared detector. J. Electron. Mater. 1995, 24, 669–679. [Google Scholar] [CrossRef]
- Kopytko, M.; Gawron, W.; Kębłowski, A.; Stępień, D.; Martyniuk, P.; Jóźwikowski, K. Numerical analysis of HgCdTe dual-band infrared detector. Opt. Quantum Electron. 2019, 51, 62. [Google Scholar] [CrossRef]
- Klipstein, P.C.; Livneh, Y.; Glozman, A.; Grossman, S.; Klin, O.; Snapi, N.; Weiss, E. Modeling InAs/GaSb and InAs/InAsSb Superlattice Infrared Detectors. J. Electron. Mater. 2014, 43, 2984–2990. [Google Scholar] [CrossRef]
- Gautam, N.; Myers, S.; Barve, A.V.; Klein, B.; Smith, E.P.; Rhiger, D.R.; Kim, H.S.; Tian, Z.B.; Krishna, S. Barrier Engineered Infrared Photodetectors Based on Type-II InAs/GaSb Strained Layer Superlattices. IEEE J. Quantum Electron. 2013, 49, 211–217. [Google Scholar] [CrossRef]
- Ariyawansa, G.; Perera, A.G.U.; Huang, G.; Bhattacharya, P. Wavelength agile superlattice quantum dot infrared photodetector. Appl. Phys. Lett. 2009, 94, 131109. [Google Scholar] [CrossRef]
- Maimon, S.; Wicks, G.W. nBn detector, an infrared detector with reduced dark current and higher operating temperature. Appl. Phys. Lett. 2006, 89, 151109. [Google Scholar] [CrossRef]
- Ting, D.Z.Y.; Hill, C.J.; Soibel, A.; Keo, S.A.; Mumolo, J.M.; Nguyen, J.; Gunapala, S.D. A high-performance long wavelength superlattice complementary barrier infrared detector. Appl. Phys. Lett. 2009, 95, 023508. [Google Scholar] [CrossRef]
- Martyniuk, P.; Kopytko, M.; Rogalski, A. Barrier infrared detectors. Opto-Electron. Rev. 2014, 22, 127–146. [Google Scholar] [CrossRef]
- Wróbel, J.; Martyniuk, P.; Plis, E.; Madejczyk, P.; Gawron, W.; Krishna, S.; Rogalski, A. Dark current modeling of MWIR type-II superlattice detectors. In Proceedings of the Infrared Technology and Applications XXXVIII, Baltimore, MD, USA, 23–27 April 2012; Volume 8353, p. 835316. [Google Scholar] [CrossRef]
- Wróbel, J.; Plis, E.; Gawron, W.; Motyka, M.; Martyniuk, P.; Madejczyk, P.; Kowalewski, A.; Dyksik, M.; Misiewicz, J.; Krishna, S.; et al. Analysis of temperature dependence of dark current mechanisms in mid-wavelength infrared pin type-II superlattice photodiodes. Sens. Mater. 2014, 26, 235–244. [Google Scholar]
- Rehm, R.; Walther, M.; Rutz, F.; Schmitz, J.; Wörl, A.; Masur, J.M.; Scheibner, R.; Wendler, J.; Ziegler, J. Dual-Color InAs/GaSb Superlattice Focal-Plane Array Technology. J. Electron. Mater. 2011, 40, 1738–1743. [Google Scholar] [CrossRef]
- Rehm, R.; Walther, M.; Schmitz, J.; Wauro, M.; Luppold, W.; Niemasz, J.; Rutz, F.; Wörl, A.; Masur, J.M.; Kirste, L.; et al. Substrate removal of dual-colour InAs/GaSb superlattice focal plane arrays. Phys. Status Solidi C 2012, 9, 318–321. [Google Scholar] [CrossRef]
- Rehm, R.; Masur, M.; Schmitz, J.; Daumer, V.; Niemasz, J.; Vandervelde, T.; DeMeo, D.; Luppold, W.; Wauro, M.; Wörl, A.; et al. InAs/GaSb superlattice infrared detectors. Infrared Phys. Technol. 2013, 59, 6–11. [Google Scholar] [CrossRef]
- Hoang, A.M.; Chen, G.; Haddadi, A.; Razeghi, M. Demonstration of high performance bias-selectable dual-band short-/mid-wavelength infrared photodetectors based on type-II InAs/GaSb/AlSb superlattices. Appl. Phys. Lett. 2013, 102, 011108. [Google Scholar] [CrossRef]
- Martyniuk, P.; Wróbel, J.; Plis, E.; Madejczyk, P.; Kowalewski, A.; Gawron, W.; Krishna, S.; Rogalski, A. Performance modeling of MWIR InAs/GaSb/B–Al0.2Ga0.8Sb type-II superlattice nBn detector. Semicond. Sci. Technol. 2012, 27, 055002. [Google Scholar] [CrossRef]
- Delmas, M.; Rodriguez, J.B.; Christol, P. Electrical modeling of InAs/GaSb superlattice mid-wavelength infrared pin photodiode to analyze experimental dark current characteristics. J. Appl. Phys. 2014, 116, 113101. [Google Scholar] [CrossRef]
- Taghipour, Z.; Lee, S.; Myers, S.; Steenbergen, E.; Morath, C.; Cowan, V.; Mathews, S.; Balakrishnan, G.; Krishna, S. Temperature-Dependent Minority-Carrier Mobility in p-Type InAs/GaSb Type-II-Superlattice Photodetectors. Phys. Rev. Appl. 2019, 11, 024047. [Google Scholar] [CrossRef]
- Xu, Z.; Chen, J.; Wang, F.; Zhou, Y.; Bai, Z.; Xu, J.; Xu, Q.; Jin, C.; He, L. MBE growth and characterization of type-II InAs/GaSb superlattices LWIR materials and photodetectors with barrier structures. J. Cryst. Growth 2017, 477, 277–282. [Google Scholar] [CrossRef]
- Jasik, A.; Sankowska, I.; Regiński, K.; Machowska-Podsiadło, E.; Wawro, A.; Wzorek, M.; Kruszka, R.; Jakieła, R.; Kubacka-Traczyk, J.; Motyka, M.; et al. MBE growth of type II InAs/GaSb superlattices on GaSb buffer. In Crystal Growth: Theory, Mechanisms and Morphology; Nova Science Publishers, Inc.: Hauppauge, NY, USA, 2012. [Google Scholar]
- Alchaar, R.; Rodriguez, J.B.; Höglund, L.; Naureen, S.; Christol, P. Characterization of an InAs/GaSb type-II superlattice barrier photodetector operating in the LWIR domain. AIP Adv. 2019, 9, 055012. [Google Scholar] [CrossRef]
- Chaghi, R.; Cervera, C.; Aït-Kaci, H.; Grech, P.; Rodriguez, J.B.; Christol, P. Wet etching and chemical polishing of InAs/GaSb superlattice photodiodes. Semicond. Sci. Technol. 2009, 24, 065010. [Google Scholar] [CrossRef]
- Bouschet, M.; Zavala-Moran, U.; Arounassalame, V.; Alchaar, R.; Bataillon, C.; Ribet-Mohamed, I.; de Anda-Salazar, F.; Perez, J.P.; Péré-Laperne, N.; Christol, P. Influence of Pixel Etching on Electrical and Electro-Optical Performances of a Ga-Free InAs/InAsSb T2SL Barrier Photodetector for Mid-Wave Infrared Imaging. Photonics 2021, 8, 194. [Google Scholar] [CrossRef]
- Lee, H.J.; Eom, J.H.; Jung, H.C.; Kang, K.K.; Ryu, S.M.; Jang, A.; Kim, J.G.; Kim, Y.H.; Jung, H.; Kim, S.H.; et al. Design and performance of dual-band MWIR/LWIR focal plane arrays based on a type-II superlattice nBn structure. Opto-Electron. Rev. 2023, 31, e144560. [Google Scholar] [CrossRef]
- Dente, G.C.; Tilton, M.L. Comparing pseudopotential predictions for InAs/GaSb superlattices. Phys. Rev. B 2002, 66, 165307. [Google Scholar] [CrossRef]
- Moazzami, K.; Phillips, J.; Lee, D.; Krishnamurthy, S.; Benoit, G.; Fink, Y.; Tiwald, T. Detailed study of above bandgap optical absorption in HgCdTe. J. Electron. Mater. 2005, 34, 773–778. [Google Scholar] [CrossRef]
- Asplund, C.; Marcks von Würtemberg, R.; Höglund, L. Modeling tools for design of type-II superlattice photodetectors. Infrared Phys. Technol. 2017, 84, 21–27. [Google Scholar] [CrossRef]
- Rogalski, A.; Kopytko, M.; Martyniuk, P. Antimonide-Based Infrared Detectors: A New Perspective; SPIE Press: Boston, MA, USA, 2018; pp. 166–179. [Google Scholar] [CrossRef]
- Li, Y.; Xiao, W.; Wu, L.; Xie, X.; Lu, P.; Wang, S. Dark Current Characteristic of p-i-n and nBn MWIR InAs/GaSb Superlattice Infrared Detectors. In Proceedings of the 2019 IEEE 4th Optoelectronics Global Conference (OGC), Shenzhen, China, 3–6 September 2019; pp. 70–75. [Google Scholar] [CrossRef]








| Name | Material | MLs 1 | Thickness 2 | ND/NA 3 | etc |
|---|---|---|---|---|---|
| ECL | InAs/AlSb | 16/4 | 200 | ND/3 × 1018 | C3 |
| HB | InAs/AlSb | 16/4 | 200 | NA/5 × 1015 | |
| RCA | InAs/GaSb | 14/7 | 3000 | NA/1 × 1016 | |
| HCL | InAs/GaSb | 14/7 | 200 | NA/1 × 1018 | C2 |
| EB | InAs/GaSb | 4/9 | 200 | ND/5 × 1015 | |
| BCA | InAs/GaSb | 10/10 | 5000 | ND/1 × 1016 | |
| BCL | InAs/GaSb | 10/10 | 200 | ND/3 × 1018 | C1 |
| Sub. | GaSb:Te |
| Name | Material | MLs | |||||
|---|---|---|---|---|---|---|---|
| ECL | InAs/AlSb | 16/4 | 0.514 | 14.52 | 4.785 | 0.054 | 0.506 |
| HB | InAs/AlSb | 16/4 | 0.514 | 14.52 | 4.785 | 0.054 | 0.506 |
| RCA | InAs/GaSb | 14/7 | 0.154 | 15.33 | 4.775 | 0.027 | 0.202 |
| HCL | InAs/GaSb | 14/7 | 0.154 | 15.33 | 4.775 | 0.027 | 0.202 |
| EB | InAs/GaSb | 4/9 | 0.488 | 15.53 | 4.393 | 0.036 | 0.182 |
| BCA | InAs/GaSb | 10/10 | 0.222 | 15.42 | 4.654 | 0.035 | 0.206 |
| BCL | InAs/GaSb | 10/10 | 0.222 | 15.42 | 4.654 | 0.035 | 0.206 |
| Sub. | GaSb:Te |
Disclaimer/Publisher’s Note: The statements, opinions and data contained in all publications are solely those of the individual author(s) and contributor(s) and not of MDPI and/or the editor(s). MDPI and/or the editor(s) disclaim responsibility for any injury to people or property resulting from any ideas, methods, instructions or products referred to in the content. |
© 2024 by the authors. Licensee MDPI, Basel, Switzerland. This article is an open access article distributed under the terms and conditions of the Creative Commons Attribution (CC BY) license (https://creativecommons.org/licenses/by/4.0/).
Share and Cite
Park, S.-m.; Grein, C.H. Independently Accessible Dual-Band Barrier Infrared Detector Using Type-II Superlattices. Photonics 2024, 11, 531. https://doi.org/10.3390/photonics11060531
Park S-m, Grein CH. Independently Accessible Dual-Band Barrier Infrared Detector Using Type-II Superlattices. Photonics. 2024; 11(6):531. https://doi.org/10.3390/photonics11060531
Chicago/Turabian StylePark, Seung-man, and Christoph H. Grein. 2024. "Independently Accessible Dual-Band Barrier Infrared Detector Using Type-II Superlattices" Photonics 11, no. 6: 531. https://doi.org/10.3390/photonics11060531
APA StylePark, S.-m., & Grein, C. H. (2024). Independently Accessible Dual-Band Barrier Infrared Detector Using Type-II Superlattices. Photonics, 11(6), 531. https://doi.org/10.3390/photonics11060531

