Characterization of Orbital Angular Momentum Beams by Polar Mapping and Fourier Transform
Abstract
1. Introduction
2. Principle of Fixed Circle and Scanning Circle Fourier Transform Methods
- (i)
- The FCFT method determines the angular frequency spectrum of interference patterns of interest along concentric circles around their center of gravity (COG) and calculates the Fourier transform of this discrete dataset. The COG is typically identical to the position of the singularity. For an optimum performance, the radius of the circle has to be varied until the number of intensity lobes and the corresponding frequency peaks (modes) converge. Thus, the main free parameter is the circle radius r.
- (ii)
- The SCFT method extends the FCFT method by additionally scanning the signal map by shifting the centers of the circles and re-calculating the Fourier transform along circles as conducted in FCFT. The variable parameters are the coordinates (x,y) for the centers of circles and circle radii r.
3. Experimental Techniques
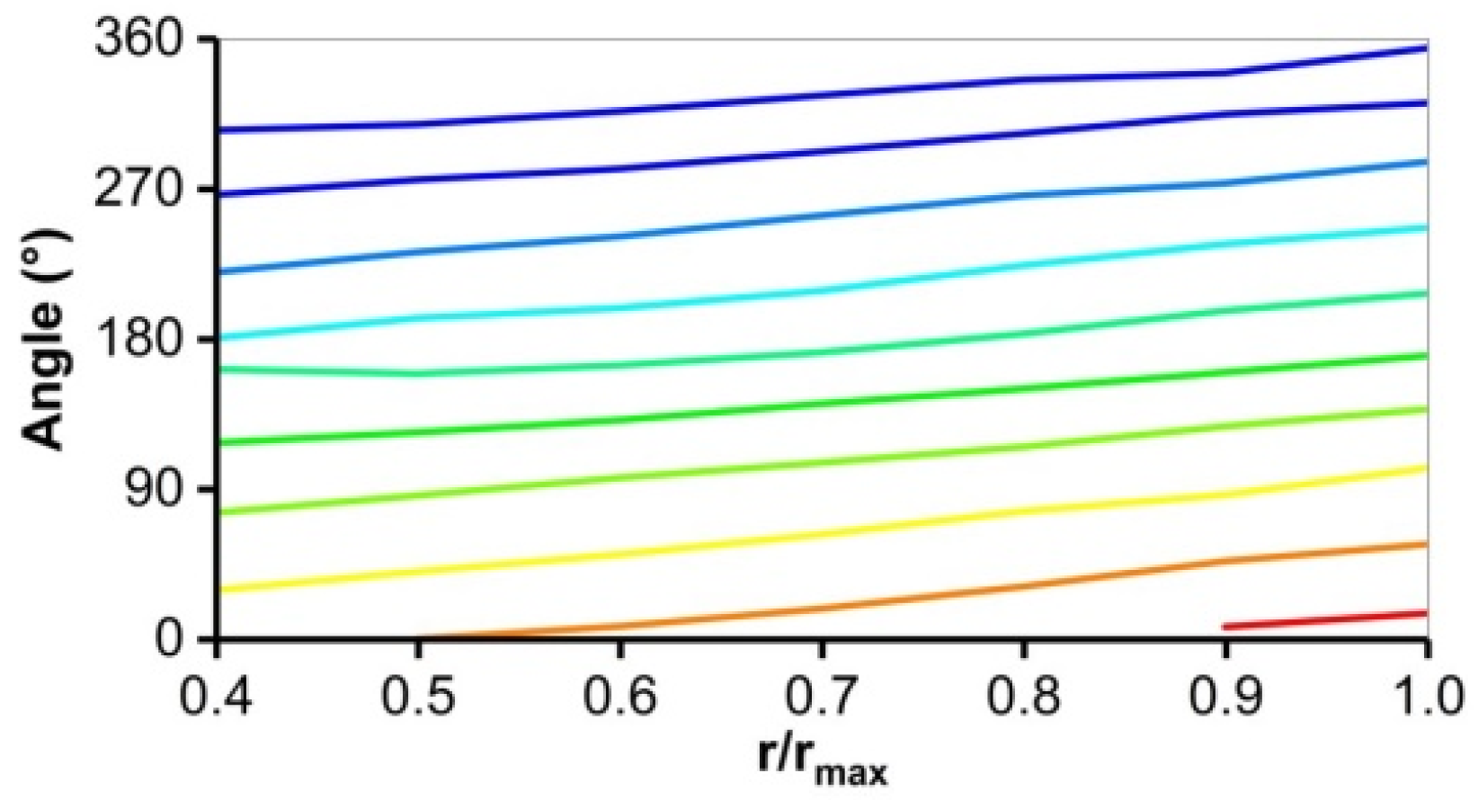
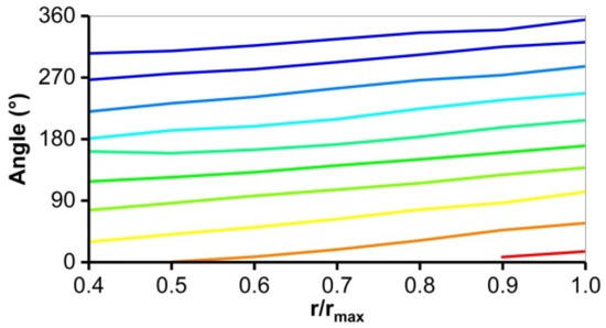
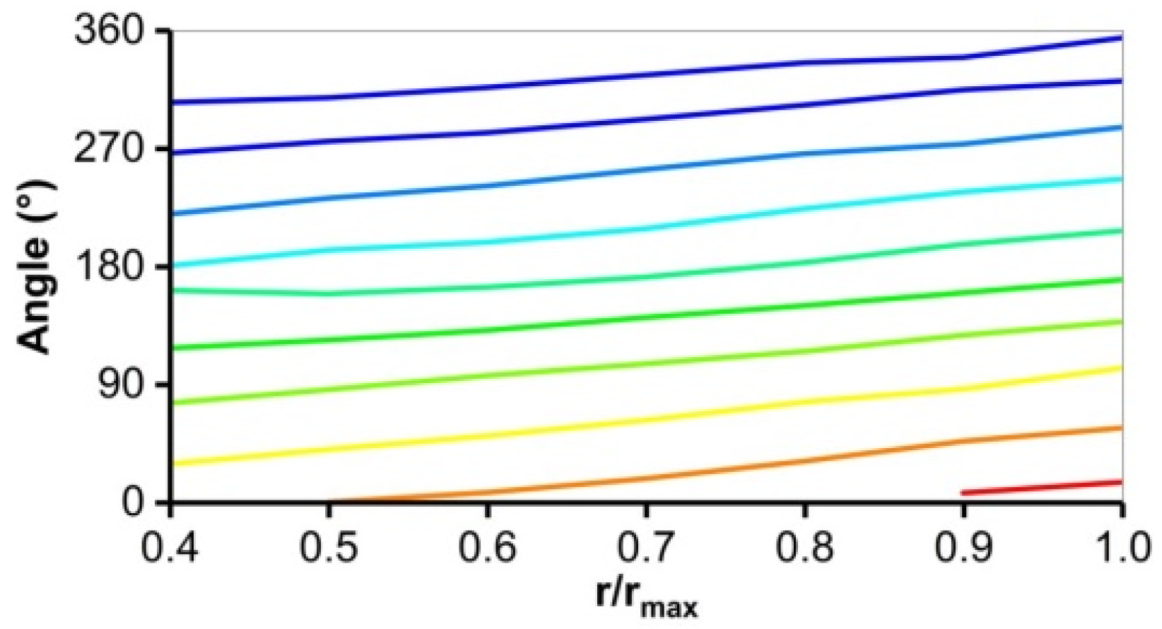
4. Results and Discussion
4.1. Fixed Circle Fourier Transform
4.2. Scanning Circle Fourier Transform
5. Conclusions
Author Contributions
Funding
Institutional Review Board Statement
Informed Consent Statement
Data Availability Statement
Acknowledgments
Conflicts of Interest
References
- Hubble, E.P. The Realm of Nebulae, Mrs. Hepsa Ely Silliman Memorial Lectures, 25; Yale University Press: New Haven, CT, USA, 1936; pp. 124–151. [Google Scholar]
- Kang, J.; Chae, J.; Nakariakov, V.M.; Cho, K.; Kwak, H.; Lee, K. The physical nature of spiral wave patterns in sunspots. Astrophys. J. Lett. 2019, 877, L9. [Google Scholar] [CrossRef]
- Montgomery, M.T.; Kallenbach, R.J. A theory for vortex Rossby-waves and its application to spiral bands and intensity changes in hurricanes, Q.J.R. Meteorol. Soc. 1997, 123, 435–465. [Google Scholar] [CrossRef]
- Clark, J.V.; Aldridge, A.E.; Reolid, M.; Endo, K.; Pérez-Huerta, A. Application of shell spiral deviation methodology to fossil brachiopods: Implications for obtaining specimen ontogenetic ages. Palaeontol. Electron. 2015, 18, 1–39. [Google Scholar] [CrossRef]
- Epstein, I.R. Spiral waves in chemistry and biology. Science 1991, 252, 67. [Google Scholar] [CrossRef]
- Everschor-Sitte, K.; Masell, J.; Reeve, R.M.; Kläui, M. Perspective: Magnetic skyrmions–overview of recent progress in an active research field. J. Appl. Phys. 2018, 124, 240901. [Google Scholar] [CrossRef]
- Allen, L.; Beijersbergen, M.W.; Spreeuw, R.J.C.; Woerdman, J.P. Orbital angular-momentum of light and the transformation of Laguerre-Gaussian laser modes. Phys. Rev. A 1992, 45, 8185–8189. [Google Scholar] [CrossRef]
- Yao, A.M.; Padgett, M.J. Orbital angular momentum: Origins, behavior and applications. Adv. Opt. Photon. 2011, 3, 161–204. [Google Scholar] [CrossRef]
- Padgett, M.; Courtial, J.; Allen, L. Advances in optical angular momentum. Phys. Today 2004, 57, 35–40. [Google Scholar] [CrossRef]
- Willner, A.E.; Huang, H.; Yan, Y.; Ren, Y.; Ahmed, N.; Xie, G.; Bao, C.; Li, L.; Cao, Y.; Zhao, Z.; et al. Optical communications using orbital angular momentum beams. Adv. Opt. Photonics 2015, 7, 66–106. [Google Scholar] [CrossRef]
- Wang, J.; Liu, J.; Zhao, Y.; Du, J.; Long, Z. Orbital angular momentum and beyond in free-space optical communications. Nanophotonics 2022, 11, 645–680. [Google Scholar] [CrossRef]
- Yue, Y.; Yan, Y.; Ahmed, N.; Yang, J.Y.; Zhang, L.; Ren, Y.; Huang, H.; Birnbaum, K.M.; Erkmen, B.I.; Dolinar, S.; et al. Mode properties and propagation effects of optical orbital angular momentum (OAM) modes in a ring fiber. IEEE Photonics J. 2012, 4, 535–543. [Google Scholar]
- Ma, M.; Lian, Y.; Lu, Z. Generation, Transmission and Application of orbital angular momentum in optical fiber: A review. Front. Phys. 2021, 9, 773505. [Google Scholar] [CrossRef]
- Zeng, J.; Liu, X.; Zhao, C.; Wang, F.; Gbur, G.; Cai, Y. Spiral spectrum of a Laguerre-Gaussian beam propagating in anisotropic non-Kolmogorov turbulent atmosphere along horizontal path. Opt. Express 2019, 27, 25342–25355. [Google Scholar] [CrossRef]
- Harm, W.; Bernet, S.; Ritsch-Marte, M.; Harder, I.; Lindlein, N. Adjustable diffractive spiral phase plates. Opt. Express 2015, 23, 413–421. [Google Scholar] [CrossRef] [PubMed]
- Vickers, J.; Burch, M.; Vyas, R.; Singh, S. Phase and interference properties of optical vortex beams. J. Opt. Soc. Am. A 2008, 25, 823–827. [Google Scholar] [CrossRef] [PubMed]
- Grunwald, R.; Jurke, M.; Liebmann, M.; Bock, M. Orbital angular momentum encoded beam tracking and wavefront sensing. IEEE J. Light. Technol. 2023, 41, 2017–2024. [Google Scholar] [CrossRef]
- Huang, H.; Ren, Y.; Yan, Y.; Ahmed, N.; Yue, Y.; Bozovich, A.; Erkmen, B.I.; Birnbaum, K.; Dolinar, S.; Tur, M.; et al. Phase-shift interference-based wavefront characterization for orbital angular momentum modes. Opt. Lett. 2013, 38, 2348–2350. [Google Scholar] [CrossRef]
- Bhatia, H.; Norgard, G.; Pascucci, V.; Bremener, P.-T. The Helmholtz-Hodge decomposition—A survey. IEEE Transact. Visual. Comp. Graph. 2013, 19, 1386–1404. [Google Scholar] [CrossRef]
- Haufe, D.; Gürtler, J.; Schulz, A.; Bake, F.; Enghardt, L.; Czarske, J. Aeroacoustic analysis using natural Helmholtz-Hodge decomposition. J. Sens. Sens. Syst. 2018, 7, 113–122. [Google Scholar] [CrossRef]
- Finn, L.I.; Boghosian, B.M.; Kottke, C.N. Vortex core identification in viscous hydrodynamics. Philos. Trans. A Math. Phys. Eng. Sci. 2005, 363, 1937–1948. [Google Scholar] [CrossRef]
- Lindner, G.; Devaux, Y.; Miskovic, S. VortexFitting: A post-processing fluid mechanics tool for vortex identification. SoftwareX 2020, 12, 100604. [Google Scholar] [CrossRef]
- Silva, P.; Cao, L.T.; Hayes, W.B. SpArcFiRe: Enhancing spiral galaxy recognition using arm analysis and random forests. Galaxies 2018, 695, 95. [Google Scholar] [CrossRef]
- Puerari, I.; Dottori, H.A. Fourier analysis of structure in spiral galaxies. Astron. Astrophys. Suppl. Ser. 1992, 93, 469–493. [Google Scholar]
- Puerari, I.; Dottori, H.A. A morphological method to determine corotation radii in spiral galaxies. Astrophys. J. 1997, 476, L73–L75. [Google Scholar] [CrossRef]
- Davis, B.L.; Berrier, J.C.; Shields, D.W.; Kennefick, J.; Kennefick, D.; Seigar, M.S.; Lacy, C.H.S.; Puerari, I. Measurement of galactic logarithmic spiral arm pitch angle using two-dimensional Fast Fourier Transform decomposition. Astrophys. J. Suppl. Ser. 2012, 199, 33. [Google Scholar] [CrossRef]
- Xudong, F.; Bursill, L.A.; Lin, P.J. Fourier transforms and structural analysis of spiral lattices. Int. J. Mod. Phys. B 1988, 2, 131–146. [Google Scholar]
- Wei, D.; Ma, J.; Wang, T.; Xu, C.; Zhu, S.; Xiao, M.; Zhang, Y. Laguerre-Gaussian transform for rotating image processing. Opt. Express 2020, 28, 26898–26907. [Google Scholar] [CrossRef] [PubMed]
- Szatkowski, M.; Burnecka, E.; Dyła, H.; Masajada, J. Optical vortex tracking algorithm based on the Laguerre-Gaussian transform. Opt. Express 2022, 10, 17451–17464. [Google Scholar] [CrossRef] [PubMed]
- Wen, Y.; Chremmos, I.; Chen, Y.; Zhu, J.; Zhang, J.; Zhang, Y.; Yu, S. Spiral transformation for high-resolution and efficient sorting of optical vortex modes. Phys. Rev. Lett. 2018, 120, 193904. [Google Scholar] [CrossRef] [PubMed]
- Berkhout, C.G.; Lavery, M.P.J.; Courtial, J.; Beijersbergen, M.W.; Padgett, M.W. Efficient Sorting of Orbital Angular Momentum States of Light. Phys. Rev. Lett. 2010, 105, 153601. [Google Scholar] [CrossRef]
- Torrente, M.-L.; Biasotti, S.; Falcidien, B. Recognition of feature curves on 3D shapes using an algebraic approach to Hough transforms. Pattern Recognit. 2018, 73, 111–130. [Google Scholar] [CrossRef]
- Zhou, H.-L.; Fu, D.-Z.; Dong, J.-J.; Zhang, P.; Chen, D.-X.; Cai, X.-L.; Li, F.-L.; Zhang, X.-L. Orbital angular momentum complex spectrum analyzer for vortex light based on the rotational Doppler effect. Light Sci. Appl. 2017, 6, e16251. [Google Scholar] [CrossRef] [PubMed]
- Flamm, D.; Schulze, C.; Naidoo, D.; Schröter, S.; Forbes, A.; Duparré, M. All-digital holographic tool for mode excitation and analysis in optical fibers. J. Lightwave Technol. 2013, 31, 1023–2032. [Google Scholar] [CrossRef]
- Andersen, J.M.; Alperin, S.N.; Voitiv, A.A.; Holtzmann, W.G.; Gopinath, J.T.; Siemens, M.E. Characterizing vortex beams from a spatial light modulator with collinear phase-shifting holography. Appl. Opt. 2019, 58, 404–409. [Google Scholar] [CrossRef] [PubMed]
- Pinnell, J.; Nape, I.; Sephton, B.; Cox, M.A.; Rodríguez-Fajardo, V.; Forbes, A. Modal analysis of structured light with spatial light modulators: A practical tutorial. J. Opt. Soc. Am. A 2020, 37, C146–C160. [Google Scholar] [CrossRef] [PubMed]
- Leach, J.; Keen, S.; Padgett, M.J.; Saunter, C.; Love, G.D. Direct measurement of the skew angle of the Poynting vector in a helically phased beam. Opt. Express 2006, 14, 11919–11924. [Google Scholar] [CrossRef] [PubMed]
- Bowman, R.W.; Wright, A.J.; Padgett, M.J. An SLM-based Shack–Hartmann wavefront sensor for aberration correction in optical tweezers. J. Opt. 2010, 12, 124004. [Google Scholar] [CrossRef]
- Grunwald, R.; Elsaesser, T.; Bock, M. Spatio-temporal coherence mapping of few-cycle vortex pulses. Sci. Rep. 2014, 4, 07148. [Google Scholar] [CrossRef] [PubMed]
- Zhu, J.; Wu, Y.; Zhou, H.; Zhao, S. Measuring the orbital momentum complex spectrum of light with the Fast Fourier Transform. Phys. Rev. Appl. 2023, 20, 014010. [Google Scholar] [CrossRef]
- D’Errico, A.; D’Amelio, R.; Piccirillo, B.; Cardano, F.; Marrucci, L. Measuring the complex orbital angular momentum spectrum and spatial mode decomposition of structured light beams. Optica 2017, 4, 1350–1357. [Google Scholar] [CrossRef]
- Lin, Z.; Hu, J.; Chen, Y.; Brès, C.-S.; Yu, S. Single-shot Kramers–Kronig complex orbital angular momentum spectrum retrieval. Adv. Photonics 2023, 5, 036006. [Google Scholar] [CrossRef]
- Bazhenov, V.Y.; Soskin, M.S.; Vasnetsov, M.V. Screw Dislocations in Light wavefronts. J. Mod. Opt. 1992, 39, 985–990. [Google Scholar] [CrossRef]
- Soskin, M.S.; Gorshkov, V.N.; Vasnetsov, M.V.; Malos, J.T.; Heckenberg, N.R. Topological charge and angular momentum of light beams carrying optical vortices. Phys. Rev. A 1997, 56, 4064–40075. [Google Scholar] [CrossRef]
- Emile, O.; Emile, J.; Brousseau, C. Detection of the orbital angular momentum in optics. HAL Open Sci. 2019, hal-02162140. [Google Scholar]
- Senthilkumaran, P.; Masajada, J.; Sato, S. Interferometry with vortices. Int. J. Opt. 2011, 2012, 517591. [Google Scholar] [CrossRef]
- Liebmann, M.; Treffer, A.; Bock, M.; Seiler, T.; Jahns, J.; Elsaesser, T.; Grunwald, R. Spectral meta-moments reveal hidden signatures of vortex pulses. In EPJ Web of Conferences 205, 01005 (2019), Proceedings of the XXI International Conference on Ultrafast Phenomena 2018 (UP 2018), Hamburg, Germany, 15–20 July 2018; EDP Sciences: Les Ulis, France, 2019. [Google Scholar] [CrossRef]
- Bryngdahl, O. Geometrical transformations in optics. J. Opt. Soc. Am. 1974, 64, 1092–1099. [Google Scholar] [CrossRef]
- Grunwald, R.; Bock, M. Needle beams: A review. Adv. Phys. X 2020, 5, 1736950. [Google Scholar] [CrossRef]
- Otte, E.; Bobkova, V.; Trinschek, S.; Rosales-Guzmán, C.; Denz, C. Single-shot all-digital approach for measuring the orbital angular momentum spectrum of light. APL Photonics 2022, 7, 086105. [Google Scholar] [CrossRef]
- Yu, H.; Chen, C.; Hu, X.; Yang, H. An efficient recognition method for orbital angular momentum via adaptive deep ELM. Sensors 2023, 23, 8737. [Google Scholar] [CrossRef] [PubMed]
- Fan, W.-Q.; Gao, F.-L.; Xue, F.-C.; Guo, J.-J.; Xiao, Y.; Gu, Y.-J. Experimental recognition of vortex beams in oceanic turbulence combining the Gerchberg–Saxton algorithm and convolutional neural network. Appl. Opt. 2024, 63, 982–989. [Google Scholar] [CrossRef]
- Li, W.; Liu, Y.; Chen, Y.; Cai, Y.; Korotkova, O.; Wang, F. Fast measurement of coherence–orbital angular momentum matrices of random light beams using off-axis holography and coordinate transformation. Opt. Lett. 2024, 49, 1173–1176. [Google Scholar] [CrossRef] [PubMed]
- Wang, J.; Yang, J.Y.; Fazal, I.M.; Ahmed, N.; Yan, Y.; Huang, H.; Ren, Y.; Yue, Y.; Dolinar, S.; Tur, M.; et al. Terabit free-space data transmission employing orbital angular momentum multiplexing. Nat. Photonics 2012, 6, 488–496. [Google Scholar] [CrossRef]
- Torres, J. Multiplexing twisted light. Nat. Photonics 2012, 6, 420–422. [Google Scholar] [CrossRef]
- Santana-Carrillo, R.; Velázquez Peto, J.M.; Sun, G.-H.; Dong, S.-H. Quantum information entropy for a hyperbolic double well potential in the fractional Schrödinger equation. Entropy 2023, 25, 988. [Google Scholar] [CrossRef] [PubMed]
- Solaimani, M.; Dong, S.-H. Quantum information entropies of multiple quantum well systems in fractional Schrödinger equations. Int. J. Quant. Chem. 2020, 120, e26113. [Google Scholar] [CrossRef]
- Solyanik-Gorgone, M.; Ye, J.; Miscuglio, M.; Afanasev, A.; Willner, A.E.; Sorger, V.J. Quantifying information via Shannon entropy in spatially structured optical beams. Research 2021, 1, 9780760. [Google Scholar] [CrossRef] [PubMed]














Disclaimer/Publisher’s Note: The statements, opinions and data contained in all publications are solely those of the individual author(s) and contributor(s) and not of MDPI and/or the editor(s). MDPI and/or the editor(s) disclaim responsibility for any injury to people or property resulting from any ideas, methods, instructions or products referred to in the content. |
© 2024 by the authors. Licensee MDPI, Basel, Switzerland. This article is an open access article distributed under the terms and conditions of the Creative Commons Attribution (CC BY) license (https://creativecommons.org/licenses/by/4.0/).
Share and Cite
Grunwald, R.; Bock, M. Characterization of Orbital Angular Momentum Beams by Polar Mapping and Fourier Transform. Photonics 2024, 11, 296. https://doi.org/10.3390/photonics11040296
Grunwald R, Bock M. Characterization of Orbital Angular Momentum Beams by Polar Mapping and Fourier Transform. Photonics. 2024; 11(4):296. https://doi.org/10.3390/photonics11040296
Chicago/Turabian StyleGrunwald, Ruediger, and Martin Bock. 2024. "Characterization of Orbital Angular Momentum Beams by Polar Mapping and Fourier Transform" Photonics 11, no. 4: 296. https://doi.org/10.3390/photonics11040296
APA StyleGrunwald, R., & Bock, M. (2024). Characterization of Orbital Angular Momentum Beams by Polar Mapping and Fourier Transform. Photonics, 11(4), 296. https://doi.org/10.3390/photonics11040296

