Temperature-Dependent Raman Scattering and Correlative Investigation of AlN Crystals Prepared Using a Physical Vapor Transport (PVT) Method
Abstract
1. Introduction
2. Materials and Methods
3. Results and Discussion
3.1. Atomic Force Microscopy (AFM) Evaluation
3.2. Variable Angle Spectroscopic Ellipsometry (VASE) Analyses
3.3. RT Visible (457 nm) and UV (325 nm) Raman Spectral Analyses
3.4. Temperature Dependent Raman Spectral Analyses
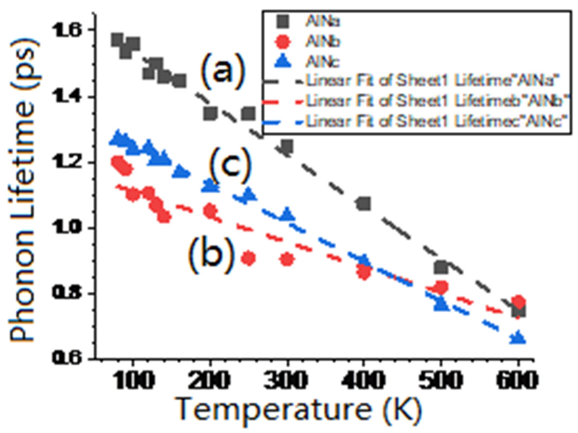
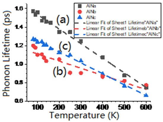
3.5. Temperature Dependent Carrier Concentrations of c- and m-Face AlN Crystals
4. Conclusions
Author Contributions
Funding
Institutional Review Board Statement
Informed Consent Statement
Data Availability Statement
Acknowledgments
Conflicts of Interest
References
- Xie, L.; Zhang, H.; Xie, X.; Wang, E.; Lin, X.; Song, Y.; Liu, G.; Chen, G. Structure and Optical Properties of AlN Crystals Grown by Metal Nitride Vapor Phase Epitaxy with Different V/III Ratios. ACS Omega 2022, 7, 23497–23502. [Google Scholar] [CrossRef] [PubMed]
- Tao, Z.; Song, Y.; Zhang, L.; Xu, Z. Raman investigation of lattice anharmonicity and substrate-induced effects in AlN heteroepilayers. Ceram. Int. 2023, 49, 14190–14201. [Google Scholar] [CrossRef]
- Yan, X.; Sun, M.; Ji, J.; He, Z.; Zhang, J.; Sun, W. Epitaxy of (11–22) AlN Films on a Sputtered Buffer Layer with Different Annealing Temperatures via Hydride Vapour Phase Epitaxy. Materials 2024, 17, 327. [Google Scholar] [CrossRef] [PubMed]
- Chen, L.; Skromme, B.J.; Dalmau, R.F.; Schlesser, R.; Sitar, Z.; Chen, C.; Sun, W.; Yang, J.; Khan, M.A.; Nakarmi, M.L.; et al. Band-edge exciton states in AlN single crystals and epitaxial layers. Appl. Phys. Lett. 2004, 85, 4334–4336. [Google Scholar] [CrossRef]
- Bickermann, M.; Epelbaum, B.M.; Heimann, P.; Herro, Z.G.; Winnacker, A. Orientation-dependent phonon observation in single-crystalline aluminum nitride. Appl. Phys. Lett. 2005, 86, 131904. [Google Scholar] [CrossRef]
- Lu, P.; Collazo, R.; Dalmau, R.F.; Durkaya, G.; Dietz, N.; Sitar, Z. Different optical absorption edges in AlN bulk crystals grown in m- and c-orientations. Appl. Phys. Lett. 2008, 93, 131922. [Google Scholar] [CrossRef]
- Guerra, J.A.; Montañez, L.; Erlenbach, O.; Galvez, G.; Zela, F.D.; Winnacker, A.; Weingärtner, R. Determination of the optical bandgap and disorder energies of thin amorphous SiC and AlN films produced by radio frequency magnetron sputtering. J. Phys. Conf. Ser. 2011, 274, 012113. [Google Scholar] [CrossRef]
- Zheng, W.; Zheng, R.S.; Wu, H.L.; Li, F.D. Strongly anisotropic behavior of A1(TO) phonon mode in bulk AlN. J. Alloys Compd. 2014, 584, 374–376. [Google Scholar] [CrossRef]
- Callsen, G.; Wagner, M.R.; Reparaz, J.S.; Nippert, F.; Kure, T.; Kalinowski, S.; Hoffmann, A.; Ford, M.J.; Phillips, M.R.; Dalmau, R.F.; et al. Phonon pressure coefficients and deformation potentials of wurtzite AlN determined by uniaxial pressure-dependent Raman measurements. Phys. Rev. B 2014, 90, 205206. [Google Scholar] [CrossRef]
- Yang, F.; Jin, L.; Sun, L.; Ren, X.; Duan, X.; Cheng, H.; Xu, Y.; Zhang, X.; Lai, Z.; Chen, W.; et al. Free-Standing 2D Hexagonal Aluminum Nitride Dielectric Crystals for High-Performance Organic Field-Effect Transistors. Adv. Mater. 2018, 30, e1801891. [Google Scholar] [CrossRef]
- Chen, W.-H.; Qin, Z.-Y.; Tian, X.-Y.; Zhong, X.-H.; Sun, Z.-H.; Li, B.-K.; Zheng, R.-S.; Guo, Y.; Wu, H.-L. The Physical Vapor Transport Method for Bulk AlN Crystal Growth. Molecules 2019, 24, 1562. [Google Scholar] [CrossRef] [PubMed]
- Wang, G.; Zhang, L.; Wang, Y.; Shao, Y.; Chen, C.; Liu, G.; Wu, Y.; Hao, X. Effect of Temperature Gradient on AlN Crystal Growth by Physical Vapor Transport Method. Cryst. Growth Des. 2019, 19, 6736–6742. [Google Scholar] [CrossRef]
- Jin, L.; Wu, H.L.; Zhang, Y.; Qin, Z.Y.; Shi, Y.Z.; Cheng, H.J.; Zheng, R.S.; Chen, W.H. The growth mode and Raman scattering characterization of m-AlN crystals grown by PVT method. J. Alloys Compd. 2020, 824, 153935. [Google Scholar] [CrossRef]
- Musa, I.; Qamhieh, N.; Said, K.; Mahmoud, S.T.; Alawadhi, H. Fabrication and Characterization of Aluminum Nitride Nanoparticles by RF Magnetron Sputtering and Inert Gas Condensation Technique. Coatings 2020, 10, 411. [Google Scholar] [CrossRef]
- Zhang, L.; Qi, H.T.; Cheng, H.J.; Shi, Y.Z.; Lai, Z.P.; Luo, M.C. Morphology and crystalline property of an AlN single crystal grown on AlN seed. J. Semicond. 2021, 42, 052101. [Google Scholar] [CrossRef]
- Ahmad, S.A.; Husnain, G.; Ajmal, M.; Song, P. Irradiation with phosphorus ions modifies the structure and tunable band-gap of a hexagonal AlN thin film. Appl. Phys. A 2021, 127, 719. [Google Scholar] [CrossRef]
- Hartmann, C.; Kabukcuoglu, M.P.; Richter, C.; Klump, A.; Schulz, D.; Juda, U.; Bickermann, M.; Hänschke, D.; Schröder, T.; Straubinger, T. Efficient diameter enlargement of bulk AlN single crystals with high structural quality. Appl. Phys. Express 2023, 16, 075502. [Google Scholar] [CrossRef]
- Zhang, S.; Yang, H.; Wang, L.; Cheng, H.; Lu, H.; Yang, Y.; Wan, L.; Xu, G.; Feng, Z.C.; Klein, B.; et al. Structural, Surface and Optical Studies of m- and c-face AlN crystals grown by physical vapor transport method. Materials 2023, 16, 1925. [Google Scholar] [CrossRef] [PubMed]
- Tao, X.; Xu, Y.; Chen, J.; Yu, Y.; Qi, X.; Ma, W.; Hu, Z. Growth of Spontaneous Nucleation AlN Crystals by Al-Base Alloy Evaporation in Nitrogen Atmosphere. Crystals 2024, 14, 331. [Google Scholar] [CrossRef]
- Li, S.; Adachi, M.; Ohtsuka, M.; Fukuyama, H. Development of a New Solution Growth Method for AlN Single Crystals Using Type 430 Ferritic Stainless Steel Flux. Cryst. Growth Des. 2024, 24, 5549–5558. [Google Scholar] [CrossRef]
- Liu, Z.; Li, W.; Qin, Z.; Jin, L.; Sun, Z.; Wu, H. Research on the Stability of Different Polar Surfaces in Aluminum Nitride Single Crystals. Crystals 2024, 14, 337. [Google Scholar] [CrossRef]
- Cao, W.; Wang, S.; Yu, R.; Wang, G.; Hu, X.; Zhu, Y.; Wu, Y.; Zhao, X.; Xu, X.; Zhang, L. Effect of Air Layer Thickness on AlN Crystal Growth by the PVT Method. Cryst. Growth Des. 2024, 24, 4613–4621. [Google Scholar] [CrossRef]
- Trodahl, H.J.; Martin, F.; Muralt, P.; Setter, N. Raman spectroscopy of sputtered AlN films: E2(high) biaxial strain dependence. Appl. Phys. Lett. 2006, 89, 061905. [Google Scholar] [CrossRef]
- Sahoo, S.; Dhara, S.; Arora, A.K.; Krishnan, R.; Chandramohan, P.; Srinivasan, M.P. Raman scattering from surface optical phonon in diameter modulated AlN nanotips. Appl. Phys. Lett. 2010, 96, 103113. [Google Scholar] [CrossRef]
- Hu, Y.Y.; Zhou, T.F.; Zheng, S.N.; Liu, X.H.; Zhao, J.J.; Su, X.J.; Huang, J.; Qiu, Y.X.; Zhang, J.C.; Xu, K. Quasi-transverse optical phonon mode in self-generated semipolar AlN grains embedded in c-oriented AlN matrix grown on sapphire using hydride vapor phase epitaxy. J. Appl. Phys. Lett. 2016, 119, 205707. [Google Scholar] [CrossRef]
- Wang, Y.; Yang, S.; Chang, H.; Li, W.; Chen, X.; Hou, R.; Yan, J.; Yi, X.; Wang, J.; Wei, T. Flexible graphene-assisted van der Waals epitaxy growth of crack-free AlN epilayer on SiC by lattice engineering. Appl. Surf. Sci. 2020, 520, 146358. [Google Scholar] [CrossRef]
- Wei, W.; Peng, Y.; Wang, J.; Saleem, M.F.; Wang, W.; Li, L.; Wang, Y.; Sun, W. Temperature Dependence of Stress and Optical Properties in AlN Films Grown by MOCVD. Nanomaterials 2021, 11, 698. [Google Scholar] [CrossRef]
- Zhang, Z.; Hayashi, Y.; Tohei, T.; Sakai, A.; Protasenko, V.; Singhal, J.; Miyake, H.; Xing, H.G.; Jena, D.; Cho, Y.J. Molecular beam homoepitaxy of N-polar AlN: Enabling role of aluminum-assisted surface cleaning. Sci. Adv. 2022, 8, eabo6408. [Google Scholar] [CrossRef] [PubMed]
- Hu, M.; Wang, P.; Wang, D.; Wu, Y.; Mondal, S.; Wang, D.; Ahmadi, E.; Ma, T.; Mi, Z. Heteroepitaxy of N-polar AlN on C-face 4H-SiC: Structural and optical properties. APL Mater. 2023, 11, 121111. [Google Scholar] [CrossRef]
- Zhang, P.; Liu, K.; Zhu, Y.; Ai, Q.; Cheng, Z.; Yang, J.; Chen, X.; Li, B.; Liu, L.; Shen, D. AlN Thin-Film Vacuum Ultraviolet Photodetector with High Operating Temperature and High Rejection Ratio. IEEE Trans. Electron. Devices 2024, 71, 1428–1432. [Google Scholar] [CrossRef]
- Bespalova, K.; Ross, G.; Suihkonen, S.; Paulasto-Kröckel, M. Metalorganic Chemical Vapor Deposition of AlN on High Degree Roughness Vertical Surfaces for MEMS Fabrication. Adv. Electron. Mater. 2024, 10, 2300628. [Google Scholar] [CrossRef]
- Yin, J.; Chen, D.; Yang, H.; Liu, Y.; Talwar, D.N.; He, T.; Ferguson, I.T.; He, K.; Wan, L.; Feng, Z.C. Comparative spectroscopic studies of MOCVD grown AlN films on Al2O3 and 6H-SiC. J. Alloys Compd. 2021, 857, 157487. [Google Scholar] [CrossRef]
- Yang, Y.; Liu, Y.; Wang, Y.; Zhang, S.; Lu, H.; Peng, Y.; Wei, W.; Yang, J.; Feng, Z.C.; Wan, L.; et al. Optical and structural properties of aluminum nitride epi-films at room and high temperature. Materials 2023, 16, 7442. [Google Scholar] [CrossRef]
- Feng, Z. Raman Scattering on Emerging Semiconductors and Oxides; 9 Chapters; CRC Press, Taylor & Francis Group: London, UK; New York, NY, USA, 2024; 180p, ISBN 9781032638874. Available online: www.routledge.com/9781032638874 (accessed on 1 August 2024).
- Jiang, L.F.; Shen, W.Z.; Ogawa, H.; Guo, Q.X. Temperature dependence of the optical properties in hexagonal AlN. J. Appl. Phys. 2003, 94, 5704–5709. [Google Scholar] [CrossRef]
- He, H.; Huang, L.; Zhang, Y.; Fu, Y.; Shen, X.; Zeng, J. Temperature dependence of the bandgap and Urbach’s tail in the transmittance spectra of wurtzite AlN film. Vacuum 2014, 100, 33–35. [Google Scholar] [CrossRef]
- Neha Sharma, K.; Prabakar, S.; Ilango, S.; Dash, A.K. Tyagi, Optical band-gap and associated Urbach energy tails in defected AlN thin films grown by ion beam sputter deposition: Effect of assisted ion energy. Adv. Mater. Proc. 2017, 2, 342–346. [Google Scholar] [CrossRef]
- Jiang, L.B.; Li, H.; Zuo, S.B.; Bao, H.Q.; Wang, W.J.; Chen, X.L. Temperature dependence of Raman scattering in Co-doped AlN whiskers. Appl. Phys. A 2010, 100, 545–550. [Google Scholar] [CrossRef]
- Kuball, M. Raman spectroscopy of GaN, AlGaN and AlN for process and growth monitoring/control. Surf. Interface Anal. 2001, 31, 987–999. [Google Scholar] [CrossRef]
- Li, L.; Zhu, S.; Cheng, L.; Qi, H.; Fan, Y.; Zheng, W. Probing carrier concentration of doped GaN single crystals from LO phonon-plasmon coupled modes. J. Lumin. 2022, 251, 119214. [Google Scholar] [CrossRef]

















| Temperature (K) | 80 | 100 | 200 | 300 | 400 | 500 | 700 |
|---|---|---|---|---|---|---|---|
| A1(LO) peak (cm−1) | 891.72 | 891.66 | 891.27 | 888.66 | 886.13 | 883.01 | 878.19 |
| FWHM (cm−1) | 13.34 | 13.33 | 13.99 | 14.53 | 15.66 | 16.65 | 19.93 |
| ωp (THz) | 0.168 | 0.168 | 0.168 | 0.168 | 0.168 | 0.166 | 0.166 |
| γp (THz) | 2.51 | 2.51 | 2.64 | 2.74 | 2.51 | 3.14 | 3.76 |
| τphonon (ps) | 0.398 | 0.398 | 0.379 | 0.365 | 0.398 | 0.319 | 0.266 |
| Fitting Accuracy | 92.75% | 93.32% | 94.18% | 94.60% | 92.75% | 96.05% | 97.51% |
| N (×1019 cm−3) | 1.35 | 1.37 | 1.47 | 1.52 | 1.56 | 1.60 | 1.69 |
| Temperature (K) | 80 | 90 | 110 | 200 | 250 | 300 | 500 | 800 |
|---|---|---|---|---|---|---|---|---|
| A1(LO) peak (cm−1) | 889.82 | 890.31 | 890.37 | 889.63 | 889.63 | 885.80 | 880.96 | 870.29 |
| FWHM (cm−1) | 11.63 | 11.74 | 11.57 | 12.25 | 12.25 | 12.95 | 15.94 | 23.35 |
| ωp (THz) | 0.168 | 0.168 | 0.168 | 0.168 | 0.168 | 0.167 | 0.166 | 0.164 |
| γp (THz) | 2.19 | 2.21 | 2.18 | 2.31 | 2.31 | 2.44 | 3.01 | 4.40 |
| τphonon (ps) | 0.456 | 0.452 | 0.459 | 0.433 | 0.433 | 0.410 | 0.333 | 0.227 |
| Fitting accuracy | 91.14% | 92.29% | 90.45% | 93.50% | 93.50% | 94.93% | 96.59% | 96.50% |
| N (×1019 cm−3) | 1.18 | 1.19 | 1.21 | 1.27 | 1.31 | 1.33 | 1.49 | 1.62 |
| Temperature (K) | 80 | 90 | 100 | 130 | 160 | 300 | 600 |
|---|---|---|---|---|---|---|---|
| A1(LO) peak (cm−1) | 884.07 | 884.13 | 883.90 | 883.84 | 883.67 | 881.35 | 872.96 |
| FWHM (cm−1) | 6.81 | 6.91 | 6.72 | 6.91 | 7.41 | 9.16 | 15.37 |
| ωp (THz) | 0.167 | 0.167 | 0.167 | 0.167 | 0.167 | 0.166 | 0.165 |
| γp (THz) | 1.28 | 1.30 | 1.27 | 1.30 | 1.40 | 1.73 | 2.90 |
| τphonon (ps) | 0.779 | 0.768 | 0.789 | 0.768 | 0.716 | 0.597 | 0.345 |
| Fitting accuracy | 87.06% | 86.58% | 90.41% | 88.71% | 89.80% | 88.11% | 89.08% |
| N (×1019 cm−3) | 1.17 | 1.18 | 1.19 | 1.30 | 1.24 | 1.32 | 1.50 |
Disclaimer/Publisher’s Note: The statements, opinions and data contained in all publications are solely those of the individual author(s) and contributor(s) and not of MDPI and/or the editor(s). MDPI and/or the editor(s) disclaim responsibility for any injury to people or property resulting from any ideas, methods, instructions or products referred to in the content. |
© 2024 by the authors. Licensee MDPI, Basel, Switzerland. This article is an open access article distributed under the terms and conditions of the Creative Commons Attribution (CC BY) license (https://creativecommons.org/licenses/by/4.0/).
Share and Cite
Feng, Z.C.; Nafisa, M.T.; Liu, Y.; Zhang, L.; Wang, Y.; Xia, X.; Tao, Z.; Zhang, C.; Yiin, J.; Klein, B.; et al. Temperature-Dependent Raman Scattering and Correlative Investigation of AlN Crystals Prepared Using a Physical Vapor Transport (PVT) Method. Photonics 2024, 11, 1161. https://doi.org/10.3390/photonics11121161
Feng ZC, Nafisa MT, Liu Y, Zhang L, Wang Y, Xia X, Tao Z, Zhang C, Yiin J, Klein B, et al. Temperature-Dependent Raman Scattering and Correlative Investigation of AlN Crystals Prepared Using a Physical Vapor Transport (PVT) Method. Photonics. 2024; 11(12):1161. https://doi.org/10.3390/photonics11121161
Chicago/Turabian StyleFeng, Zhe Chuan, Manika Tun Nafisa, Yao Liu, Li Zhang, Yingming Wang, Xiaorong Xia, Ze Tao, Chuanwei Zhang, Jeffrey Yiin, Benjamin Klein, and et al. 2024. "Temperature-Dependent Raman Scattering and Correlative Investigation of AlN Crystals Prepared Using a Physical Vapor Transport (PVT) Method" Photonics 11, no. 12: 1161. https://doi.org/10.3390/photonics11121161
APA StyleFeng, Z. C., Nafisa, M. T., Liu, Y., Zhang, L., Wang, Y., Xia, X., Tao, Z., Zhang, C., Yiin, J., Klein, B., & Ferguson, I. (2024). Temperature-Dependent Raman Scattering and Correlative Investigation of AlN Crystals Prepared Using a Physical Vapor Transport (PVT) Method. Photonics, 11(12), 1161. https://doi.org/10.3390/photonics11121161

