Design of a Novel Broadband Antenna for Photomixer Chips in the Terahertz Frequency Range
Abstract
:1. Introduction
2. Antenna Design Procedure
3. Optimization of Broadband Terahertz Antennas
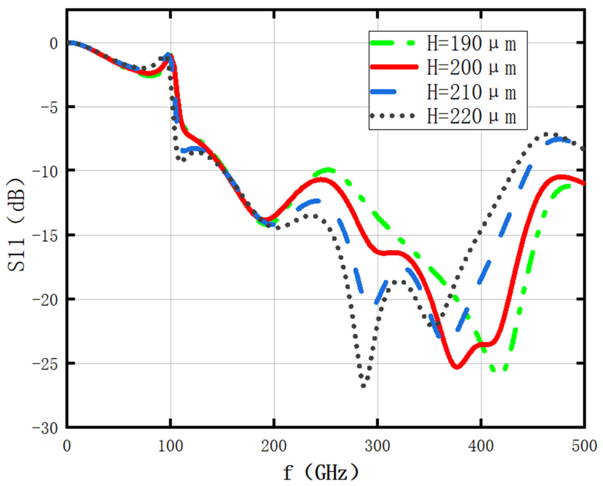
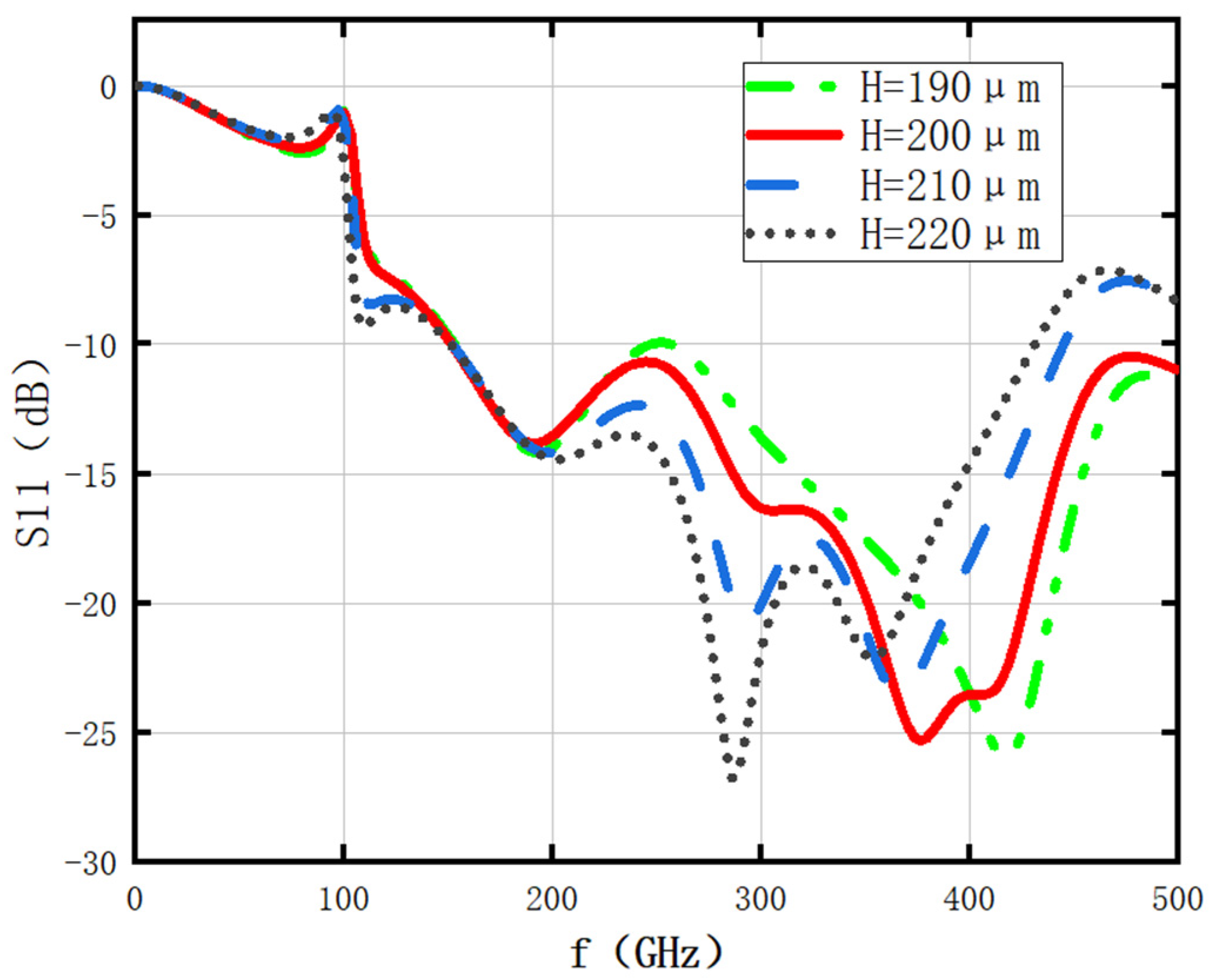
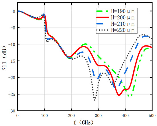
3.1. Effect of Substrate Thickness
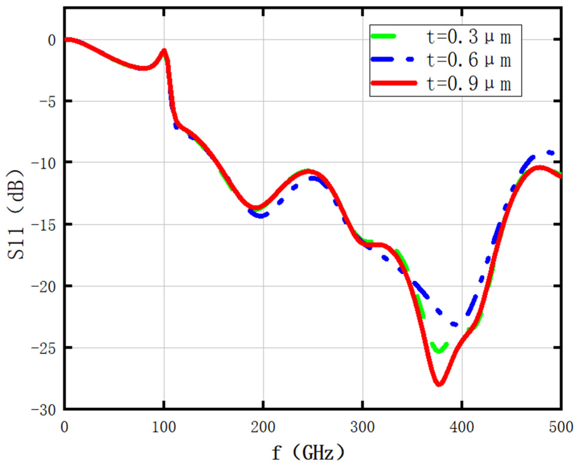
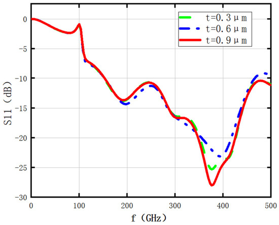
3.2. Effect of Gold Thickness
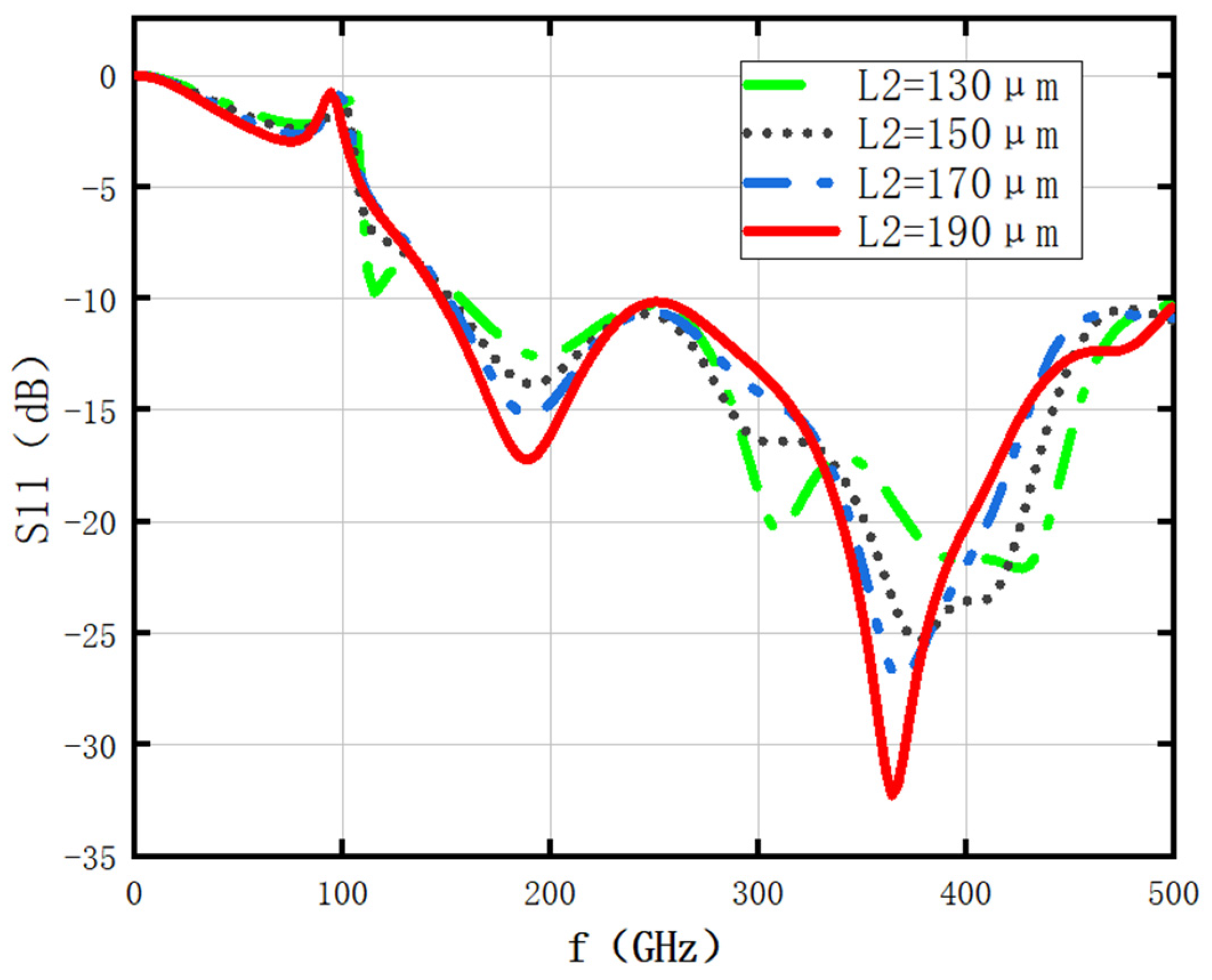
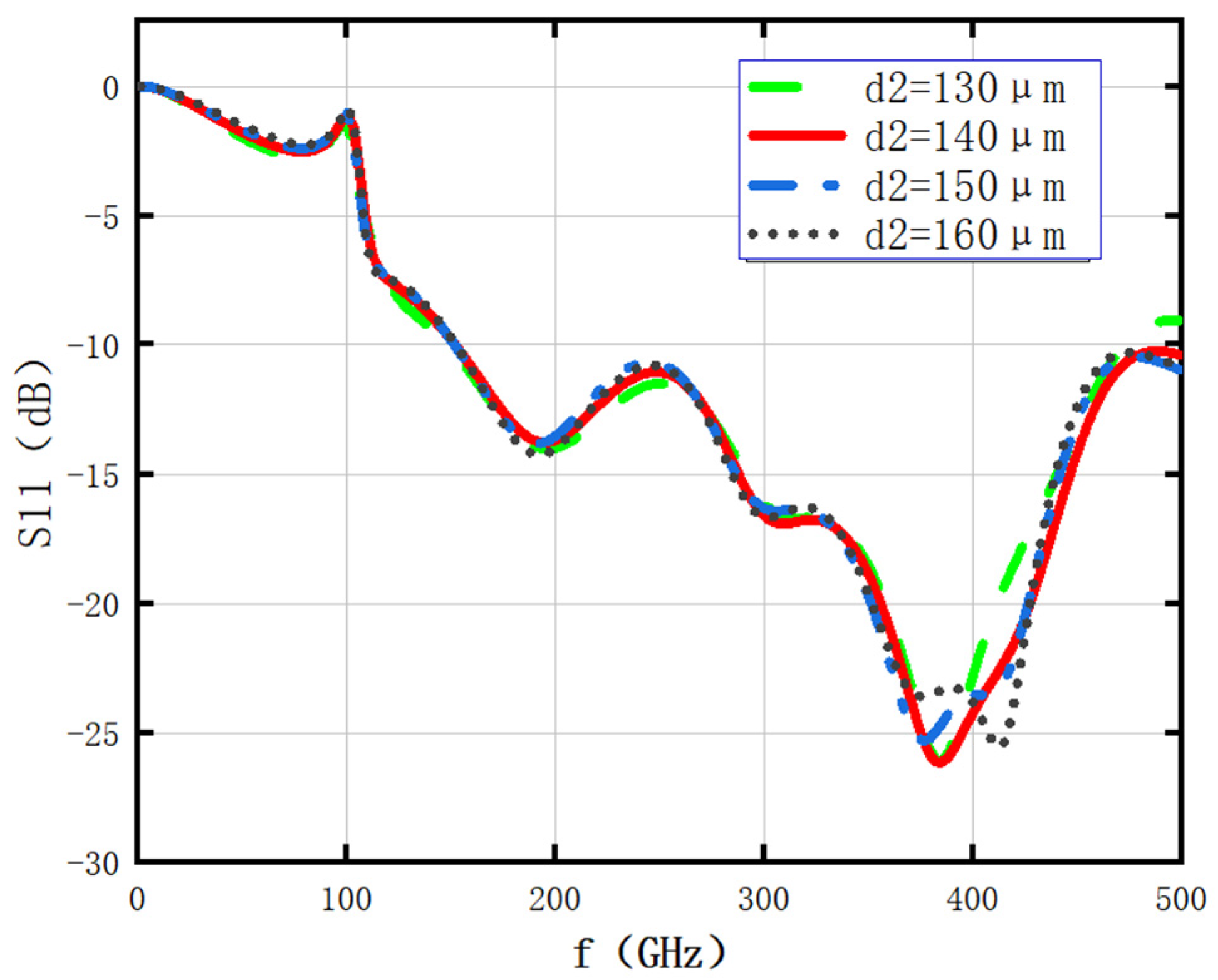
3.3. Effect of Bowtie Patch Antenna Dimensions
3.4. Effect of Circular Patch Antenna Radius
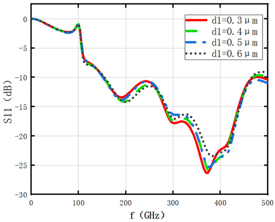
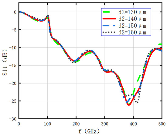
3.5. Effect of Microstrip Line Dimensions
4. Optimized Antenna Radiation Performance
5. Comparison with State of the Art
6. Conclusions
Author Contributions
Funding
Institutional Review Board Statement
Informed Consent Statement
Data Availability Statement
Conflicts of Interest
References
- Zhou, X.; Liu, H.; Urata, R.; Zebian, S. Scaling Large Data Center Interconnects: Challenges and Solutions. Opt. Fiber Technol. 2018, 44, 61–68. [Google Scholar] [CrossRef]
- Miguelez, P. What Applications Are Driving Higher Capacity in Access? In Proceedings of the Optical Fiber Communication Conference (2018), San Diego, CA, USA, 11 March 2018; Optica Publishing Group: Washington, DC, USA, 2018; p. M2B.1. [Google Scholar]
- Akyildiz, I.F.; Jornet, J.M.; Han, C. Terahertz Band: Next Frontier for Wireless Communications. Phys. Commun. 2014, 12, 16–32. [Google Scholar] [CrossRef]
- Kleine-Ostmann, T.; Nagatsuma, T. A Review on Terahertz Communications Research. J. Infrared Milli. Terahz. Waves 2011, 32, 143–171. [Google Scholar] [CrossRef]
- Dragoman, D.; Dragoman, M. Terahertz Fields and Applications. Prog. Quantum Electron. 2004, 28, 1–66. [Google Scholar] [CrossRef]
- Mukherjee, P.; Gupta, B. Terahertz (THz) Frequency Sources and Antennas—A Brief Review. Int. J. Infrared Milli. Waves 2008, 29, 1091–1102. [Google Scholar] [CrossRef]
- Xu, R.; Gao, S.; Izquierdo, B.S.; Gu, C.; Reynaert, P.; Standaert, A.; Gibbons, G.J.; Bosch, W.; Gadringer, M.E.; Li, D. A Review of Broadband Low-Cost and High-Gain Low-Terahertz Antennas for Wireless Communications Applications. IEEE Access 2020, 8, 57615–57629. [Google Scholar] [CrossRef]
- Natrella, M. Photonic Terahertz Emitters and Receivers. Ph.D. Thesis, University College London, London, UK, 2015. [Google Scholar]
- Rouvalis, E.; Renaud, C.C.; Moodie, D.G.; Robertson, M.J.; Seeds, A.J. Traveling-Wave Uni-Traveling Carrier Photodiodes for Continuous Wave THz Generation. Opt. Express 2010, 18, 11105. [Google Scholar] [CrossRef]
- Nagatsuma, T.; Ito, H.; Ishibashi, T. High-power RF Photodiodes and Their Applications. Laser Photonics Rev. 2009, 3, 123–137. [Google Scholar] [CrossRef]
- Matsuura, S.; Ito, H. Generation of CW Terahertz Radiation with Photomixing. In Terahertz Optoelectronics; Sakai, K., Ed.; Topics in Applied Physics; Springer: Berlin/Heidelberg, Germany, 2005; Volume 97, pp. 157–202. ISBN 978-3-540-20013-0. [Google Scholar]
- Tonouchi, M. Cutting-Edge Terahertz Technology. Nat. Photon. 2007, 1, 97–105. [Google Scholar] [CrossRef]
- Stöhr, A.; Babiel, S.; Cannard, P.J.; Charbonnier, B.; van Dijk, F.; Fedderwitz, S.; Moodie, D.; Pavlovic, L.; Ponnampalam, L.; Renaud, C.C.; et al. Millimeter-Wave Photonic Components for Broadband Wireless Systems. IEEE Trans. Microw. Theory Tech. 2010, 58, 3071–3082. [Google Scholar] [CrossRef]
- Sun, K.; Moody, J.; Li, Q.; Bowers, S.M.; Beling, A. High-Power Integrated Photodiode-Antenna Emitter for 100 GHz Applications. In Integrated Photonics Research, Silicon and Nanophotonics; Optica Publishing Group: Washington, DC, USA, 2016; p. IW2A.6. [Google Scholar]
- Dashti, M.; Carey, J.D. Graphene Microstrip Patch Ultrawide Band Antennas for THz Communications. Adv. Funct. Mater. 2018, 28, 1705925. [Google Scholar] [CrossRef]
- Behera, D.; Dwivedy, B.; Mishra, D.; Behera, S.K. Design of a CPW Fed Compact Bow-tie Microstrip Antenna with Versatile Frequency Tunability. IET Microw. Antennas Propag. 2018, 12, 841–849. [Google Scholar] [CrossRef]
- Guo, Z.; Ma, C.; Ou, H.; Wang, X.; Liu, S.; Chen, H.; Zheng, S.; Deng, S. Room–Temperature Terahertz Detector Based on Monolayer Graphene Integrated with an Asymmetric Bowtie Antenna. Photonics 2023, 10, 576. [Google Scholar] [CrossRef]
- He, Y.; Ma, C. Research on Frequency Selection Method for Spatial Terahertz Communication under Multiple Constraints. In Proceedings of the 2022 IEEE 22nd International Conference on Communication Technology (ICCT), Nanjing, China, 11–14 November 2022; pp. 774–781. [Google Scholar]
- Bhutani, A.; Kretschmann, M.; Dittmer, J.; Lu, P.; Stöhr, A.; Zwick, T. A 220 GHz to 325 GHz Grounded Coplanar Waveguide Based Periodic Leaky-Wave Beam-Steering Antenna in Indium Phosphide Process. Electronics 2023, 12, 3482. [Google Scholar] [CrossRef]
- Choe, W.; Jeong, J. A Broadband THz On-Chip Transition Using a Dipole Antenna with Integrated Balun. Electronics 2018, 7, 236. [Google Scholar] [CrossRef]
- Huang, Z.; Li, Z.; Dong, H.; Yang, F.; Yan, W.; Wang, X. Novel Broadband Slot-Spiral Antenna for Terahertz Applications. Photonics 2021, 8, 123. [Google Scholar] [CrossRef]
- Yazdandoost, K.Y.; Kohno, R. Ultra Wideband Antenna. IEEE Commun. Mag. 2004, 42, S29–S32. [Google Scholar] [CrossRef]
- Rubani, Q.; Gupta, S.H.; Kumar, A. Design and Analysis of Circular Patch Antenna for WBAN at Terahertz Frequency. Optik 2019, 185, 529–536. [Google Scholar] [CrossRef]
- Das, S.; Mitra, D.; Bhadra Chaudhuri, S.R. Fractal Loaded Circular Patch Antenna for Super Wide Band Operation in THz Frequency Region. Optik 2021, 226, 165528. [Google Scholar] [CrossRef]
- Dhiflaoui, A.; Yahyaoui, A.; Yousaf, J.; Bashir, S.; Hakim, B.; Aguili, T.; Rmili, H.; Mittra, R. Numerical Analysis of Wideband and High Directive Bowtie THz Photoconductive Antenna. Appl. Comput. Electromagn. Soc. J. 2020, 35, 662–673. [Google Scholar]
- Deng, X.-D.; Li, Y.; Liu, C.; Wu, W.; Xiong, Y.-Z. 340 GHz On-Chip 3-D Antenna With 10 dBi Gain and 80% Radiation Efficiency. IEEE Trans. THz Sci. Technol. 2015, 5, 619–627. [Google Scholar] [CrossRef]
- Li, Y.; Song, R. A High Gain On-Chip Terahertz Antenna with High Efficiency. In Proceedings of the 2016 IEEE 9th UK-Europe-China Workshop on Millimetre Waves and Terahertz Technologies (UCMMT), Qingdao, China, 20 September 2016; IEEE: Piscataway, NJ, USA, 2016; pp. 222–224. [Google Scholar]
- Bunea, A.-C.; Neculoiu, D.; Avram, M.A.; Iovea, M. Wideband Sub-Terahertz Coplanar Waveguide-Fed Spiral Antenna. Rom. J. Inf. Sci. Technol. 2020, 23, 140–156. [Google Scholar]
- Shamim, S.M.; Uddin, M.S.; Hasan, M.d.R.; Samad, M. Design and Implementation of Miniaturized Wideband Microstrip Patch Antenna for High-Speed Terahertz Applications. J. Comput. Electron. 2021, 20, 604–610. [Google Scholar] [CrossRef]
- Apriono, C.; Aji, A.; Wahyudi, T.; Zulkifli, F.Y.; Rahardjo, E. High-Performance Radiation Design of a Planar Bow-Tie Antenna Combined with a Dielectric Lens and Cascaded Matching Layers at Terahertz Frequency. Int. J. Technol. 2018, 9, 589. [Google Scholar] [CrossRef]
- Krishna, C.M.; Das, S.; Nella, A.; Lakrit, S.; Madhav, B.T.P. A Micro-Sized Rhombus-Shaped THz Antenna for High-Speed Short-Range Wireless Communication Applications. Plasmonics 2021, 16, 2167–2177. [Google Scholar] [CrossRef]
- Babu, K.V.; Das, S.; Sree, G.N.J.; Madhav, B.T.P.; Patel, S.K.K.; Parmar, J. Design and Optimization of Micro-Sized Wideband Fractal MIMO Antenna Based on Characteristic Analysis of Graphene for Terahertz Applications. Opt. Quant. Electron. 2022, 54, 281. [Google Scholar] [CrossRef]
- Vasu Babu, K.; Das, S.; Varshney, G.; Sree, G.N.J.; Madhav, B.T.P. A Micro-Scaled Graphene-Based Tree-Shaped Wideband Printed MIMO Antenna for Terahertz Applications. J. Comput. Electron. 2022, 21, 289–303. [Google Scholar] [CrossRef]














| Parameters | Values (μm) |
|---|---|
| d1 | 0.5 |
| d2 | 150 |
| t | 0.3 |
| L1 | 150 |
| L2 | 150 |
| H | 200 |
| R | 70 |
| M | 10 |
| Parameters | Values (μm) |
|---|---|
| d1 | 0.3 |
| d2 | 140 |
| t | 0.9 |
| L1 | 170 |
| L2 | 190 |
| H | 200 |
| R | 70 |
| M | 12 |
| References | Antenna Type | Frequency Band Satisfying |S11| ≤ −10 dB (GHz) | Impedance Bandwidth (GHz) | Relative Bandwidth (%) | Published in |
|---|---|---|---|---|---|
| [26] | 3D Yagi-like antenna | 320–360 | 40 | 11.76 | IEEE Trans. THz Sci. Technol. 2015 |
| [27] | Bowtie antenna on InP substrate loaded with a bullet silicon lens | 340–380 | 40 | 11.11 | UCMMT 2016 |
| [21] | Novel broadband slot-spiral antenna | 150–450 | 300 | 100 | Photonics 2021 |
| [28] | Coplanar waveguide-fed Archimedean spiral antenna | 60–150 | 90 | 85.71 | Sci. Technol. 2020 |
| [29] | Graphene-based microstrip patch antenna | 570–840 | 270 | 38.30 | J. Comput. Electron. 2021 |
| [30] | Planar bowtie antenna | 835–1200 | 365 | 35.87 | Int. J. Technol 2018 |
| [31] | Rhombus-shaped wideband THz antenna | 445–714 | 269 | 46.41 | Plasmonics 2021 |
| [20] | Dipole Antenna with Integrated Balun | 220–320 | Electronics 2018 | ||
| [32] | Micro-sized wideband fractal MIMO antenna | 350–750 | 400 | 72.72 | Opt Quant Electron 2022 |
| [33] | Tree-shaped wideband-printed MIMO antenna | 276–711 | 435 | 88.14 | J. Comput. Electron. 2022 |
| This work | Novel broadband antenna comprising bowtie and circular patch | 150–500 | 350 | 107.69 |
Disclaimer/Publisher’s Note: The statements, opinions and data contained in all publications are solely those of the individual author(s) and contributor(s) and not of MDPI and/or the editor(s). MDPI and/or the editor(s) disclaim responsibility for any injury to people or property resulting from any ideas, methods, instructions or products referred to in the content. |
© 2023 by the authors. Licensee MDPI, Basel, Switzerland. This article is an open access article distributed under the terms and conditions of the Creative Commons Attribution (CC BY) license (https://creativecommons.org/licenses/by/4.0/).
Share and Cite
Chu, Y.; Han, Q.; Ye, H.; Wang, S.; Zheng, Y.; Geng, L. Design of a Novel Broadband Antenna for Photomixer Chips in the Terahertz Frequency Range. Photonics 2023, 10, 1321. https://doi.org/10.3390/photonics10121321
Chu Y, Han Q, Ye H, Wang S, Zheng Y, Geng L. Design of a Novel Broadband Antenna for Photomixer Chips in the Terahertz Frequency Range. Photonics. 2023; 10(12):1321. https://doi.org/10.3390/photonics10121321
Chicago/Turabian StyleChu, Yimiao, Qin Han, Han Ye, Shuai Wang, Yu Zheng, and Liyan Geng. 2023. "Design of a Novel Broadband Antenna for Photomixer Chips in the Terahertz Frequency Range" Photonics 10, no. 12: 1321. https://doi.org/10.3390/photonics10121321
APA StyleChu, Y., Han, Q., Ye, H., Wang, S., Zheng, Y., & Geng, L. (2023). Design of a Novel Broadband Antenna for Photomixer Chips in the Terahertz Frequency Range. Photonics, 10(12), 1321. https://doi.org/10.3390/photonics10121321
