An All-Digital Optical Phase-Locked Loop Suitable for Satellite Downlinks †
Abstract
:1. Introduction
2. Coherent Optical Receiver
2.1. LEO Slant Path
2.2. Turbulence Model
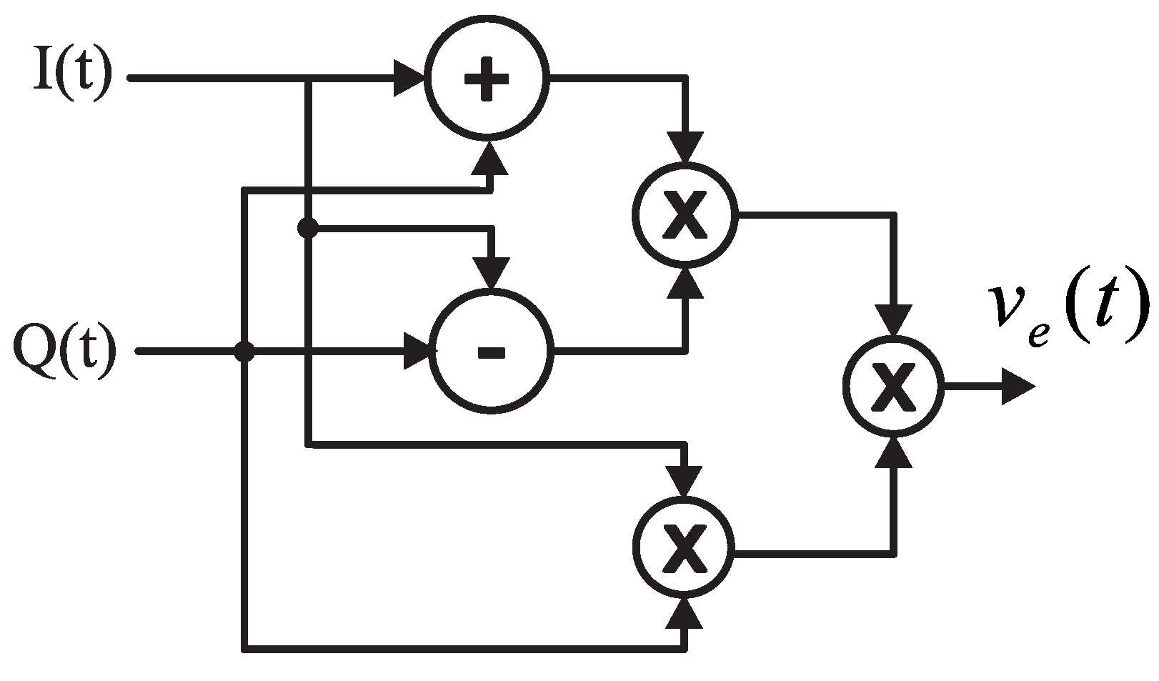
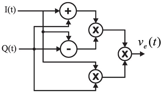
2.3. All-Digital OPLL Description
3. System Implementation and Analysis
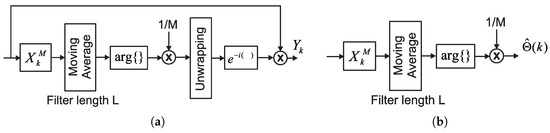
3.1. OPLL
3.2. Results
4. Discussion
5. Conclusions
Author Contributions
Funding
Institutional Review Board Statement
Informed Consent Statement
Data Availability Statement
Conflicts of Interest
References
- Kaushal, H.; Kaddoum, G. Optical Communication in Space: Challenges and Mitigation Techniques. IEEE Commun. Surv. Tutor. 2017, 19, 57–96. [Google Scholar] [CrossRef]
- Andrews, L.C.; Phillips, R.L. Laser Beam Propagation through Random Media, 2nd ed.; SPIE Press: Bellingham, WT, USA, 2005. [Google Scholar]
- Winzer, P.J.; Neilson, D.T.; Chraplyvy, A.R. Fiber-optic transmission and networking: The previous 20 and the next 20 years. Opt. Express 2018, 26, 24190–24239. [Google Scholar] [CrossRef] [PubMed]
- Carrasco-Casado, A.; Mata-Calvo, R. Space Optical Links for Communication Networks. In Springer Handbook of Optical Networks; Mukherjee, B., Tomkos, I., Tornatore, M., Winzer, P., Zhao, Y., Eds.; Springer Handbooks; Springer International Publishing: Cham, Switzerland, 2020; pp. 1057–1103. [Google Scholar] [CrossRef]
- Surof, J.; Poliak, J.; Calvo, R.M. Demonstration of Intradyne BPSK Optical Free-Space Transmission in Representative Atmospheric Turbulence Conditions for Geostationary Uplink Channel. Opt. Lett. 2017, 42, 2173. [Google Scholar] [CrossRef] [PubMed]
- Paillier, L. Architecture de Récepteur Cohérent Pour les Liens Optiques Satellite-Sol Avec Optique Adaptative. Ph.D. Thesis, Institut Polytechnique de Paris, Palaiseau, France, 2020. [Google Scholar]
- Shoji, Y.; Fice, M.J.; Takayama, Y.; Seeds, A.J. A Pilot-Carrier Coherent LEO-to-Ground Downlink System Using an Optical Injection Phase Lock Loop (OIPLL) Technique. J. Light. Technol. 2012, 30, 2696–2706. [Google Scholar] [CrossRef]
- Yue, C.; Li, J.; Sun, J.; Zhu, R.; Hou, X.; Zhang, X.; Liu, L.; Chen, W. Homodyne Coherent Optical Receiver for Intersatellite Communication. Appl. Opt. 2018, 57, 7915–7923. [Google Scholar] [CrossRef] [PubMed]
- Panasiewicz, J.; Arab, N.; Destic, F.; Pacheco, G.M.; Rissons, A. All-Digital Optical Phase-Locked Loop for satellite communications under Turbulence Effects. In Proceedings of the 2022 IEEE International Topical Meeting on Microwave Photonics (MWP), Orlando, FL, USA, 3–7 October 2022; IEEE: Piscataway, NJ, USA, 2022; pp. 1–4. [Google Scholar]
- Kaushal, H.; Jain, V.; Kar, S. Free Space Optical Communication; Optical Networks; Springer: New Delhi, India, 2017. [Google Scholar] [CrossRef]
- Giggenbach, D.; Knopp, M.T.; Fuchs, C. Link budget calculation in optical LEO satellite downlinks with on/off-keying and large signal divergence: A simplified methodology. Int. J. Satell. Commun. Netw. 2023, 41, 460–476. [Google Scholar] [CrossRef]
- Ho, K.P. Phase-Modulated Optical Communication Systems; Springer Science & Business Media: Berlin, Germany, 2005. [Google Scholar]
- Kikuchi, K. Fundamentals of Coherent Optical Fiber Communications. J. Light. Technol. 2016, 34, 157–179. [Google Scholar] [CrossRef]
- Majumdar, A.K. Advanced Free Space Optics (FSO): A Systems Approach; Springer Series in Optical Sciences; Springer: New York, NY, USA, 2015; Volume 186. [Google Scholar] [CrossRef]
- Ferrero, V.; Camatel, S. Optical Phase Locking Techniques: An Overview and a Novel Method Based on Single Side Sub-Carrier Modulation. Opt. Express 2008, 16, 818. [Google Scholar] [CrossRef] [PubMed]
- Rice, M. Digital Communications: A Discrete-Time Approach; Pearson Prentice Hall: Hoboken, NJ, USA, 2009. [Google Scholar]
- Pauluzzi, D.R.; Beaulieu, N.C. A Comparison of SNR Estimation Techniques for the AWGN Channel. IEEE Trans. Commun. 2000, 48, 1681–1691. [Google Scholar] [CrossRef]
- Schaefer, S.; Gregory, M.; Rosenkranz, W. Coherent Receiver Design Based on Digital Signal Processing in Optical High-Speed Intersatellite Links with M-Phase-Shift Keying. Opt. Eng. 2016, 55, 111614. [Google Scholar] [CrossRef]
- Barry, J.R.; Kahn, J.M. Carrier Synchronization for Homodyne and Heterodyne Detection of Optical Quadriphase-Shift Keying. J. Light. Technol. 1992, 10, 1939–1951. [Google Scholar] [CrossRef]
- Lu, S.; Zhou, Y.; Zhu, F.; Sun, J.; Yang, Y.; Zhu, R.; Hu, S.; Zhang, X.; Zhu, X.; Hou, X.; et al. Digital-Analog Hybrid Optical Phase-Lock Loop for Optical Quadrature Phase-Shift Keying. Chin. Opt. Lett. 2020, 18, 090602. [Google Scholar] [CrossRef]
- Tsukamoto, S.; Katoh, K.; Kikuchi, K. Coherent Demodulation of Optical Multilevel Phase-Shift-Keying Signals Using Homodyne Detection and Digital Signal Processing. IEEE Photonics Technol. Lett. 2006, 18, 1131–1133. [Google Scholar] [CrossRef]
- Kikuchi, K. Phase-diversity homodyne detection of multilevel optical modulation with digital carrier phase estimation. IEEE J. Sel. Top. Quantum Electron. 2006, 12, 563–570. [Google Scholar] [CrossRef]
- Collins, T.F.; Getz, R.; Pu, D.; Wyglinski, A.M. Software-Defined Radio for Engineers; Mobile Communications Series; Artech House Publishers: Boston, MA, USA; London, UK, 2018. [Google Scholar]
- Herzog, F.T. An Optical Phase Locked Loop for Coherent Space Communications. Ph.D. Thesis, ETH Zurich, Zurich, Switzerland, 2006. [Google Scholar] [CrossRef]
- Chen, X.; Liu, X.; Zhang, Y.; Shan, Y.; Hu, Q.; Li, J.; Lan, S. Z-Domain Modeling Methodology for Homodyne Digital Optical Phase-Locked Loop. IEICE Electron. Express 2021, 18, 20210078. [Google Scholar] [CrossRef]
- De Dinechin, F.; Istoan, M. Hardware Implementations of Fixed-Point Atan2. In Proceedings of the 2015 IEEE 22nd Symposium on Computer Arithmetic, Lyon, France, 22–24 June 2015; pp. 34–41. [Google Scholar] [CrossRef]
- Oppenheim, A.V.; Buck, J.R.; Schafer, R.W. Discrete-Time Signal Processing, 2nd ed.; Prentice Hall: Upper Saddler River, NJ, USA, 1999. [Google Scholar]
- Sakamoto, T.; Lu, G.W.; Chiba, A.; Kawanishi, T. Digital Optical Phase Locked Loop for Real-Time Coherent Demodulation of Multilevel PSK/QAM. In Proceedings of the 2010 Conference on Optical Fiber Communication (OFC/NFOEC), Collocated National Fiber Optic Engineers Conference, San Diego, CA, USA, 21–25 March 2010; pp. 1–3. [Google Scholar] [CrossRef]
- Norimatsu, S.; Iwashita, K. PLL Propagation Delay-Time Influence on Linewidth Requirements of Optical PSK Homodyne Detection. J. Light. Technol. 1991, 9, 1367–1375. [Google Scholar] [CrossRef]
- Hamkins, J.; Simon, M.K. Carrier Synchronization. In Autonomous Software-Defined Radio Receivers for Deep Space Applications; Jet Propulsion Laboratory, California Institute of Technology: Pasadena, CA, USA, 2006; p. 227. [Google Scholar]
- Rhodes, S. Effect of Noisy Phase Reference on Coherent Detection of Offset-QPSK Signals. IEEE Trans. Commun. 1974, 22, 1046–1055. [Google Scholar] [CrossRef]
- Liu, Y.; Zhao, X.; Tong, S.; Chang, S.; Song, Y.; Dong, Y.; An, Z.; Yu, F. Study of Multistage Composite Loop Control Based on Optical Phase-Locked Loop Technology. Opt. Commun. 2018, 424, 17–25. [Google Scholar] [CrossRef]
- Lu, M.; Park, H.c.; Bloch, E.; Sivananthan, A.; Parker, J.S.; Griffith, Z.; Johansson, L.A.; Rodwell, M.J.W.; Coldren, L.A. An Integrated 40 Gbit/s Optical Costas Receiver. J. Light. Technol. 2013, 31, 2244–2253. [Google Scholar] [CrossRef]












Disclaimer/Publisher’s Note: The statements, opinions and data contained in all publications are solely those of the individual author(s) and contributor(s) and not of MDPI and/or the editor(s). MDPI and/or the editor(s) disclaim responsibility for any injury to people or property resulting from any ideas, methods, instructions or products referred to in the content. |
© 2023 by the authors. Licensee MDPI, Basel, Switzerland. This article is an open access article distributed under the terms and conditions of the Creative Commons Attribution (CC BY) license (https://creativecommons.org/licenses/by/4.0/).
Share and Cite
Panasiewicz, J.; Arab, N.; Destic, F.; Pacheco, G.M.; Rissons, A. An All-Digital Optical Phase-Locked Loop Suitable for Satellite Downlinks. Photonics 2023, 10, 1312. https://doi.org/10.3390/photonics10121312
Panasiewicz J, Arab N, Destic F, Pacheco GM, Rissons A. An All-Digital Optical Phase-Locked Loop Suitable for Satellite Downlinks. Photonics. 2023; 10(12):1312. https://doi.org/10.3390/photonics10121312
Chicago/Turabian StylePanasiewicz, Jognes, Nisrine Arab, Fabien Destic, Gefeson M. Pacheco, and Angélique Rissons. 2023. "An All-Digital Optical Phase-Locked Loop Suitable for Satellite Downlinks" Photonics 10, no. 12: 1312. https://doi.org/10.3390/photonics10121312
APA StylePanasiewicz, J., Arab, N., Destic, F., Pacheco, G. M., & Rissons, A. (2023). An All-Digital Optical Phase-Locked Loop Suitable for Satellite Downlinks. Photonics, 10(12), 1312. https://doi.org/10.3390/photonics10121312

