High-Speed Spiral-Phase Donut-Modes-Based Hybrid FSO-MMF Communication System by Incorporating OCDMA Scheme
Abstract
:1. Introduction
2. Modeling of MDM-OCDMA System
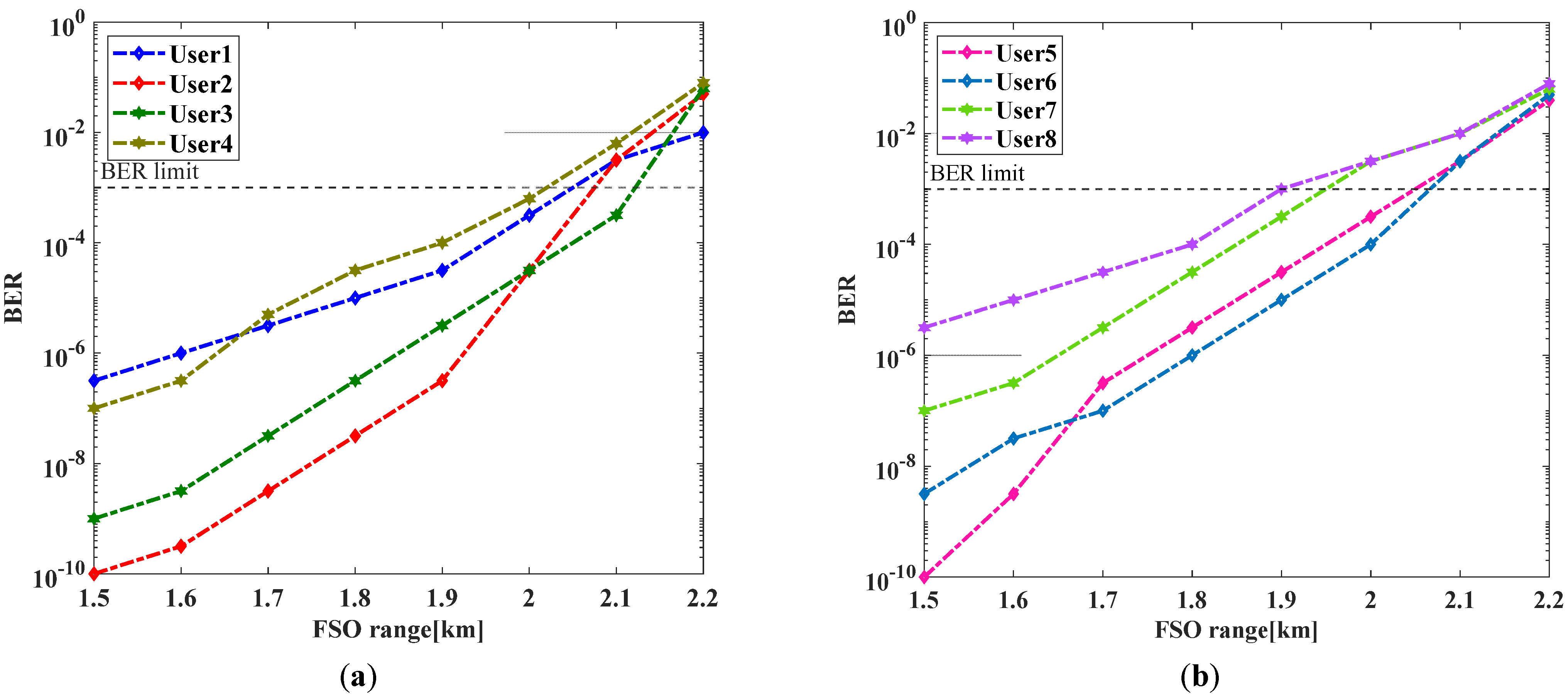
3. Results and Discussion
4. Conclusions
Author Contributions
Funding
Institutional Review Board Statement
Informed Consent Statement
Data Availability Statement
Acknowledgments
Conflicts of Interest
References
- Le, H.D.; Pham, A.T. Link-Layer Retransmission-Based Error-Control Protocols in FSO Communications: A Survey. IEEE Commun. Surv. Tutor. 2022, 24, 1602–1633. [Google Scholar] [CrossRef]
- Mohsan, S.A.H.; Khan, M.A.; Amjad, H. Hybrid FSO/RF Networks: A Review of Practical Constraints, Applications and Challenges. Opt. Switch. Netw. 2023, 47, 100697. [Google Scholar] [CrossRef]
- Singh, M.; Chebaane, S.; Ben Khalifa, S.; Grover, A.; Dewra, S.; Angurala, M. Performance Evaluation of a 4 × 20-Gbps OFDM-Based FSO Link Incorporating Hybrid W-MDM Techniques. Front. Phys. 2021, 9, 460. [Google Scholar] [CrossRef]
- Mohammed, H.A.; Abu Bakar, M.H.; Anas, S.B.A.; Mahdi, M.A.; Yaacob, M.H. Optical Fiber Sensor Network Integrating SAC-OCDMA and Cladding Modified Optical Fiber Sensors Coated with Nanomaterial. Opt. Fiber Technol. 2022, 70, 102875. [Google Scholar] [CrossRef]
- Mrabet, H.; Cherifi, A.; Raddo, T.; Dayoub, I.; Haxha, S. A Comparative Study of Asynchronous and Synchronous OCDMA Systems. IEEE Syst. J. 2021, 15, 3642–3653. [Google Scholar] [CrossRef]
- Ortiz-Ubarri, J. New Asymptotically Optimal Three-Dimensional Wave-Length/Space/Time Optical Orthogonal Codes for OCDMA Systems. Cryptogr. Commun. 2020, 12, 785–794. [Google Scholar] [CrossRef]
- Kumawat, S.; Kumar, M.R. A Review on Code Families for SAC—OCDMA Systems. In Optical and Wireless Technologies; Springer: Berlin/Heidelberg, Germany, 2020; pp. 307–315. [Google Scholar]
- Sarangal, H.; Singh, A.; Malhotra, J.; Chaudhary, S. A Cost Effective 100 Gbps Hybrid MDM–OCDMA–FSO Transmission System under Atmospheric Turbulences. Opt. Quantum Electron. 2017, 49, 184. [Google Scholar] [CrossRef]
- Ahmed, N.; Aljunid, S.A.; Fadil, A.; Ahmad, R.B.; Rashid, M.A. Performance Enhancement of OCDMA System Using NAND Detection with Modified Double Weight (MDW) Code for Optical Access Network. Opt. Int. J. Light Electron. Opt. 2013, 124, 1402–1407. [Google Scholar] [CrossRef]
- Jellali, N.; Najjar, M.; Ferchichi, M.; Rezig, H. Three-Dimensional Multi-Diagonal Codes for OCDMA System. Optik 2017, 145, 428–435. [Google Scholar] [CrossRef]
- Su, Y.; He, Y.; Chen, H.; Li, X.; Li, G. Perspective on Mode-Division Multiplexing. Appl. Phys. Lett. 2021, 118, 200502. [Google Scholar] [CrossRef]
- Upadhyay, K.K.; Shukla, N.K.; Chaudhary, S. A High Speed 100 Gbps MDM-SAC-OCDMA Multimode Transmission System for Short Haul Communication. Optik 2020, 202, 163665. [Google Scholar] [CrossRef]
- Kodama, T.; Isoda, T.; Morita, K.; Maruta, A.; Maruyama, R.; Kuwaki, N.; Matsuo, S.; Wada, N.; Cincotti, G.; Kitayama, K. Hybrid MDM/OCDM System with Mode and Code Multi-/Demultiplexers. In Proceedings of the SPIE-Next-Generation Optical Communication: Components, Sub-Systems, and Systems III, San Francisco, CA, USA, 1 February 2014; Volume 9009, pp. 124–130. [Google Scholar]
- Kaur, R.; Singh, K. Performance Analysis of Shift ZCC Codes and Multi Diagonal Codes in 100 Gbps MDM-FSO System. J. Opt. Commun. 2020. [Google Scholar] [CrossRef]
- Kodama, T.; Isoda, T.; Morita, K.; Maruta, A.; Maruyama, R.; Kuwaki, N.; Matsuo, S.; Wada, N.; Cincotti, G.; Kitayama, K. First Demonstration of a Scalable MDM/CDM Optical Access System. Opt. Express 2014, 22, 12060–12069. [Google Scholar] [CrossRef] [PubMed]
- Kodama, T.; Isoda, T.; Morita, K.; Maruta, A.; Maruyama, R.; Kuwaki, N.; Matsuo, S.; Wada, N.; Cincotti, G.; Kitayama, K.I. Asynchronous MDM-OCDM-Based 10G-PON over 40km-SMF and 2km-TMF Using Mode MUX/DeMUX at Remote Node and OLT. In Proceedings of the Optical Fiber Communication Conference, OFC, Los Angeles, CA, USA, 9–14 March 2014; p. W2A-9. [Google Scholar]
- Chaudhary, S.; Lin, B.; Tang, X.; Wei, X.; Zhou, Z.; Lin, C.; Zhang, M.; Zhang, H. 40 Gbps–80 GHz PSK-MDM Based Ro-FSO Transmission System. Opt. Quantum Electron. 2018, 50, 321. [Google Scholar] [CrossRef]
- Sarangal, H.; Nisar, K.S.; Thapar, S.S.; Singh, A.; Malhotra, J. Performance Evaluation of 120 GB/s Hybrid FSO-SACOCDMA-MDM System Using Newly Designed ITM-Zero Cross-Correlation Code. Opt. Quantum Electron. 2021, 53, 64. [Google Scholar] [CrossRef]
- Kumari, M.; Sharma, R.; Sheetal, A. Performance Analysis of Long-Reach 40/40 Gbps Mode Division Multiplexing-Based Hybrid Time and Wavelength Division Multiplexing Passive Optical Network/Free-Space Optics Using Gamma-Gamma Fading Model with Pointing Error under Different Weather Conditions. Trans. Emerg. Telecommun. Technol. 2021, 32, e4214. [Google Scholar] [CrossRef]
- Mandal, P.; Sarkar, N.; Santra, S.; Dutta, B.; Kuiri, B.; Mallick, K.; Patra, A.S. Hybrid WDM-FSO-PON with Integrated SMF/FSO Link for Transportation of Rayleigh Backscattering Noise Mitigated Wired/Wireless Information in Long-Reach. Opt. Commun. 2022, 507, 127594. [Google Scholar] [CrossRef]
- Kumari, M.; Arya, V. Investigation of High-Speed Hybrid WDM-OCDMA-PON System Incorporating Integrated Fiber-FSO Link under Distinct Climate Conditions. Opt. Quantum Electron. 2022, 54, e4699. [Google Scholar] [CrossRef]






| Wavelength (nm) | 1550 | 1550.8 | 1551.6 | 1552.4 | 1553.2 | 1554 | 1554.8 | 1555.6 | 1556.4 | 1557.2 | 1558 | 1558.8 |
|---|---|---|---|---|---|---|---|---|---|---|---|---|
| User 1 | 1 | 0 | 0 | 0 | 1 | 0 | 0 | 0 | 1 | 0 | 0 | 0 |
| User 2 | 0 | 1 | 0 | 0 | 0 | 1 | 0 | 0 | 0 | 1 | 0 | 0 |
| User 3 | 0 | 0 | 1 | 0 | 0 | 0 | 1 | 0 | 0 | 0 | 1 | 0 |
| User 4 | 0 | 0 | 0 | 1 | 0 | 0 | 0 | 1 | 0 | 0 | 0 | 1 |
| Wavelength (nm) | 1550 | 1550.8 | 1551.6 | 1552.4 | 1553.2 | 1554 | 1554.8 | 1555.6 | 1556.4 | 1557.2 | 1558 | 1558.8 |
|---|---|---|---|---|---|---|---|---|---|---|---|---|
| User 1 | 1 | 0 | 0 | 0 | 1 | 0 | 0 | 0 | 1 | 0 | 0 | 0 |
| User 2 | 0 | 1 | 0 | 0 | 0 | 1 | 0 | 0 | 0 | 1 | 0 | 0 |
| User 3 | 0 | 0 | 1 | 0 | 0 | 0 | 1 | 0 | 0 | 0 | 1 | 0 |
| User 4 | 0 | 0 | 0 | 1 | 0 | 0 | 0 | 1 | 0 | 0 | 0 | 1 |
| Parameters | Values |
|---|---|
| Laser input power | 10 dBm |
| Wavelength | 1550–1558.8 nm |
| Data rate | 10 Gbps |
| Tx aperture diameter | 15 cm |
| Rx aperture diameter | 20 cm |
| Reference wavelength | 1550 nm |
| Dark current | 10 nA |
| FSO range | 1500–2200 m |
| Measured index multimode fiber length | 320–420 m |
| Mux/De-mux bandwidth | 10 GHz |
| Mux/De-mux filter type | Bessel |
| Mux/De-mux filter order | 2 |
| MZM extinction ratio | 30 dB |
| NRZ rectangle shape | Exponential |
| NRZ amplitude | 1 a.u. |
| Turbulence condition | Weak (10−17 m−2/3) and strong (10−13 m−2/3) |
| Turbulence model | Gamma-Gamma and log-normal |
Disclaimer/Publisher’s Note: The statements, opinions and data contained in all publications are solely those of the individual author(s) and contributor(s) and not of MDPI and/or the editor(s). MDPI and/or the editor(s) disclaim responsibility for any injury to people or property resulting from any ideas, methods, instructions or products referred to in the content. |
© 2023 by the authors. Licensee MDPI, Basel, Switzerland. This article is an open access article distributed under the terms and conditions of the Creative Commons Attribution (CC BY) license (https://creativecommons.org/licenses/by/4.0/).
Share and Cite
Kumari, M.; Sharma, A.; Chaudhary, S. High-Speed Spiral-Phase Donut-Modes-Based Hybrid FSO-MMF Communication System by Incorporating OCDMA Scheme. Photonics 2023, 10, 94. https://doi.org/10.3390/photonics10010094
Kumari M, Sharma A, Chaudhary S. High-Speed Spiral-Phase Donut-Modes-Based Hybrid FSO-MMF Communication System by Incorporating OCDMA Scheme. Photonics. 2023; 10(1):94. https://doi.org/10.3390/photonics10010094
Chicago/Turabian StyleKumari, Meet, Abhishek Sharma, and Sushank Chaudhary. 2023. "High-Speed Spiral-Phase Donut-Modes-Based Hybrid FSO-MMF Communication System by Incorporating OCDMA Scheme" Photonics 10, no. 1: 94. https://doi.org/10.3390/photonics10010094
APA StyleKumari, M., Sharma, A., & Chaudhary, S. (2023). High-Speed Spiral-Phase Donut-Modes-Based Hybrid FSO-MMF Communication System by Incorporating OCDMA Scheme. Photonics, 10(1), 94. https://doi.org/10.3390/photonics10010094

